Hyers–Ulam Stability of Fractal–Fractional Computer Virus Models with the Atangana–Baleanu Operator
Abstract
1. Introduction
2. Preliminar Definitions
3. Model Formulation
4. Boundedness and Non-Negativity of the Solution
5. Existence and Uniqueness
6. Hyers–Ulam Stability
- •
- Hyers–Ulam stability ensures that if the system is subject to small deviations from an approximate solution, there exists a true solution nearby. In other words, small perturbations in the initial conditions do not lead to large deviations in the overall system trajectory, making the model robust to minor errors.
- •
- Lyapunov stability, on the other hand, guarantees that solutions that start close to an equilibrium point remain close over time. It is more focused on maintaining system stability around equilibrium states rather than ensuring proximity to approximate solutions.
7. Numerical Scheme
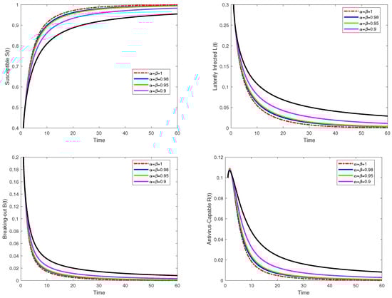
8. Numerical Simulation
9. Discussion
10. Conclusions
Author Contributions
Funding
Data Availability Statement
Acknowledgments
Conflicts of Interest
References
- Arena, P.; Caponetto, R.; Fortuna, L.; Porto, D. Nonlinear Noninteger Order Circuits and Systems; World Scientific: Singapore, 2000. [Google Scholar]
- Nisar, K.S.; Farman, M.; Abdel-Aty, M.; Ravichandran, C. A review of fractional-order models for plant epidemiology. Prog. Fract. Differ. Appl. 2024, 10, 489–521. [Google Scholar]
- Ahmed, E.; Elgazzar, A.S. On fractional order differential equations model for nonlocal epidemics. Physica A 2007, 379, 607–614. [Google Scholar] [CrossRef] [PubMed]
- Li, W.; Wang, Y.; Cao, J.; Abdel-Aty, M. Dynamics and backward bifurcations of SEI tuberculosis models in homogeneous and heterogeneous populations. J. Math. Anal. Appl. 2025, 543, 128924. [Google Scholar] [CrossRef]
- Nisar, K.S.; Farman, M.; Abdel-Aty, M.; Ravichandran, C. A review of fractional order epidemic models for life sciences problems: Past, present and future. Alex. Eng. J. 2024, 95, 283–305. [Google Scholar] [CrossRef]
- Hilfer, R. Applications of Fractional Calculus in Physics; World Scientific: Singapore, 2000. [Google Scholar]
- Saber, S. Control of chaos in the Burke-Shaw system of fractal-fractional order in the sense of Caputo-Fabrizio. J. Appl. Math. Comput. Mech. 2024, 23, 83–96. [Google Scholar] [CrossRef]
- Yan, T.; Alhazmi, M.; Youssif, M.Y.; Elhag, A.E.; Aljohani, A.F.; Saber, S. Analysis of a Lorenz Model Using Adomian Decomposition and Fractal-Fractional Operators. Thermal Sci. 2024, 8, 5001–5009. [Google Scholar] [CrossRef]
- Alsulami, A.; Alharb, R.A.; Albogami, T.M.; Eljaneid, N.H.; Adam, H.D.; Saber, S. Controlled chaos of a fractal–fractional Newton-Leipnik system. Thermal Sci. 2024, 28, 5153–5160. [Google Scholar] [CrossRef]
- Alhazmi, M.; Dawalbait, F.M.; Aljohani, A.; Taha, K.O.; Adam, H.D.; Saber, S. Numerical approximation method and Chaos for a chaotic system in sense of Caputo-Fabrizio operator. Thermal Sci. 2024, 28, 5161–5168. [Google Scholar] [CrossRef]
- Almutairi, N.; Saber, S. Existence of chaos and the approximate solution of the Lorenz–Lü–Chen system with the Caputo fractional operator. AIP Adv. 2024, 14, 015112. [Google Scholar] [CrossRef]
- Almutairi, N.; Saber, S. On chaos control of nonlinear fractional Newton-Leipnik system via fractional Caputo-Fabrizio derivatives. Sci. Rep. 2023, 13, 22726. [Google Scholar] [CrossRef]
- Almutairi, N.; Saber, S. Chaos control and numerical solution of time-varying fractional Newton-Leipnik system using fractional Atangana-Baleanu derivatives. AIMS Math. 2023, 8, 25863–25887. [Google Scholar] [CrossRef]
- Ahmed, K.I.; Adam, H.D.; Almutairi, N.; Saber, S. Analytical solutions for a class of variable-order fractional Liu system under time-dependent variable coefficients. Results Phys. 2024, 56, 107311. [Google Scholar] [CrossRef]
- Bagley, R.L.; Calico, R.A. Fractional order state equations for the control of viscoelastically damped structures. J. Guid. Control Dyn. 1991, 14, 304–311. [Google Scholar] [CrossRef]
- Heaviside, O. Electromagnetic Theory; Chelsea: New York, NY, USA, 1971. [Google Scholar]
- Kusnezov, D.; Bulgac, A.; Dang, G.D. Quantum Levy processes and fractional kinetics. Phys. Rev. Lett. 1999, 82, 1136. [Google Scholar] [CrossRef]
- Hammad, H.A.; Qasymeh, M.; Abdel-Aty, M. Existence and stability results for a Langevin system with Caputo–Hadamard fractional operators. Int. J. Geom. Methods Mod. Phys. 2024, 21, 2450218. [Google Scholar] [CrossRef]
- Tornheim, K. Are metabolic oscillations responsible for normal oscillatory insulin secretion? Diabetes 1997, 46, 1375–1380. [Google Scholar] [CrossRef]
- Derouich, M.; Boutayeb, A. The effect of physical exercise on the dynamics of glucose and insulin. J. Biomech. 2002, 35, 911–917. [Google Scholar] [CrossRef]
- Dalla Man, C.; Caumo, A.; Basu, R.; Rizza, R.; Toffolo, G.; Cobelli, C. Minimal model estimation of glucose absorption and insulin sensitivity from oral test: Validation with a tracer method. Am. J. Physiol.-Endocrinol. Metab. 2004, 287, E637–E643. [Google Scholar] [CrossRef]
- Mukhopadhyay, A.; DeGaetano, A.; Arino, O. Modeling the Intravenous Glucose Tolerance Test: A Global Study for a Single-Distributed-Delay Model. Discret. Contin. Dyn. Syst. Ser. B 2004, 4, 407–418. [Google Scholar]
- Saber, S.; Bashier, E.B.M.; Alzahrani, S.M.; Noaman, I.A. A Mathematical Model of Glucose-Insulin Interaction with Time Delay. J. Appl. Comput. Math. 2018, 7, 416. [Google Scholar]
- Alshehri, M.H.; Duraihem, F.Z.; Alalyani, A.; Saber, S. A Caputo (discretization) fractional-order model of glucose-insulin interaction: Numerical solution and comparisons with experimental data. J. Taibah Univ. Sci. 2021, 15, 26–36. [Google Scholar] [CrossRef]
- Saber, S.; Alalyani, A. Stability analysis and numerical simulations of IVGTT glucose-insulin interaction models with two time delays. Math. Model. Anal. 2022, 27, 383–407. [Google Scholar] [CrossRef]
- Alshehri, M.H.; Saber, S.; Duraihem, F.Z. Dynamical analysis of fractional-order of IVGTT glucose–insulin interaction. Int. J. Nonlinear Sci. Numer. Simul. 2023, 24, 1123–1140. [Google Scholar] [CrossRef]
- Ahmed, K.I.A.; Adam, H.D.S.; Saber, S. Different strategies for diabetes by mathematical modeling: Applications of fractal-fractional derivatives in the sense of Atangana-Baleanu. Results Phys. 2023, 26, 106892. [Google Scholar] [CrossRef]
- Ahmed, K.I.; Adam, H.D.; Youssif, M.Y.; Saber, S. Different strategies for diabetes by mathematical modeling: Modified Minimal Model. Alex. Eng. J. 2023, 80, 74–87. [Google Scholar] [CrossRef]
- Ahmed, K.I.; Mirgani, S.M.; Seadawy, A.; Saber, S. A comprehensive investigation of fractional glucose-insulin dynamics: Existence, stability, and numerical comparisons using residual power series and generalized Runge-Kutta methods. J. Taibah Univ. Sci. 2025, 19, 2460280. [Google Scholar] [CrossRef]
- Saber, S.; Alghamdi, A.M.; Ahmed, G.A.; Alshehri, K.M. Mathematical Modelling and optimal control of pneumonia disease in sheep and goats in Al-Baha region with cost-effective strategies. AIMS Math. 2022, 7, 12011–12049. [Google Scholar] [CrossRef]
- Almutairi, N.; Saber, S.; Ahmad, H. The fractal-fractional Atangana-Baleanu operator for pneumonia disease: Stability, statistical and numerical analyses. AIMS Math. 2023, 8, 29382–29410. [Google Scholar] [CrossRef]
- Atangana, A. Fractal-fractional differentiation and integration: Connecting fractal calculus and fractional calculus to predict complex systems. Chaos Solitons Fractals 2017, 102, 396–406. [Google Scholar] [CrossRef]
- Khan, H.; Alzabut, J.; Shah, A.; Etemad, S.; Rezapour, S.; Park, C. A study on the fractal-fractional tobacco smoking model. AIMS Math. 2022, 7, 13887–13909. [Google Scholar] [CrossRef]
- Khan, H.; Alzabut, J.; Tunç, O.; Kaabar, M.K.A. A fractal–fractional COVID-19 model with a negative impact of quarantine on diabetic patients. Results Control Optim. 2023, 10, 100199. [Google Scholar] [CrossRef]
- Evirgen, F.; Uçar, E.; Uçar, S.; Özdemir, N. Modelling Influenza A disease dynamics under Caputo-Fabrizio fractional derivative with distinct contact rates. Math. Model. Numer. Simul. Appl. 2023, 3, 58–73. [Google Scholar] [CrossRef]
- Özdemir, N.; Uçar, E.; Avcı, D. Dynamic analysis of a fractional SVIR system modeling an infectious disease. Facta Univ. Ser. Math. Inform. 2022, 37, 605–619. [Google Scholar] [CrossRef]
- Olumide, O.O.; Othman, W.A.M.; Özdemir, N. Efficient solution of fractional-order SIR epidemic model of childhood diseases with optimal homotopy asymptotic method. IEEE Access 2022, 10, 9395–9405. [Google Scholar] [CrossRef]
- Özdemir, N.; Uçar, E. Investigating an immune system-cancer mathematical model with Mittag-Leffler kernel. AIMS Math. 2020, 5, 1519–1531. [Google Scholar] [CrossRef]
- Li, X.P.; Ullah, S.; Zahir, H.; Alshehri, A.; Riaz, M.B.; Al Alwan, B. Modeling the dynamics of coronavirus with super-spreader class: A fractal-fractional approach. Results Phys. 2022, 34, 105179. [Google Scholar] [CrossRef]
- Alzubaidi, A.M.; Othman, H.A.; Ullah, S.; Ahmad, N.; Alam, M.M. Analysis of Monkeypox viral infection with human-to-animal transmission via fractional and fractal-fractional operators with power law kernel. Math. Biosci. Eng. 2023, 20, 6666–6690. [Google Scholar] [CrossRef]
- Li, S.; Ullah, S.; Samreen; Khan, I.U.; Al Qahtani, S.A.; Riaz, M.B. A robust computational study for assessing the dynamics and control of emerging zoonotic viral infection with a case study: A novel epidemic modeling approach. AIP Adv. 2024, 14, 015051. [Google Scholar] [CrossRef]
- Li, S.; Samreen; Ullah, S.; Riaz, M.B.; Awwad, F.A.; Teklu, S.W. Global dynamics and computational modeling approach for analyzing and controlling alcohol addiction using a novel fractional and fractal–fractional modeling approach. Sci. Rep. 2024, 14, 5065. [Google Scholar] [CrossRef]
- Rajagopal, K.; Karthikeyan, A. On chaos and synchronization in fractional-order chaotic systems: A biological network perspective. J. Biol. Syst. 2019, 27, 633–647. [Google Scholar]
- Atangana, A.; Akgul, A. Analysis of fractal fractional differential equations. Alex. Eng. J. 2020, 59, 1117–1134. [Google Scholar] [CrossRef]
- Atangana, A.; Baleanu, D.; Akgul, A. A fractional model for disease transmission in wildlife. J. Comput. Phys. 2020, 45, 230–240. [Google Scholar]
- Abro, K.A.; Atangana, A. A comparative study of convective fluid motion in rotating cavity via Atangana–Baleanu and Caputo–Fabrizio fractal–fractional differentiations. Eur. Phys. J. Plus 2020, 135, 226. [Google Scholar] [CrossRef]
- Raza, A.; Fatima, U.; Rafiq, M.; Ahmed, N.; Khan, I.; Nisar, K.S.; Iqbal, Z. Mathematical analysis and design of the nonstandard computational method for an epidemic model of computer virus with delay Effect: Application of mathematical biology in computer science. Results Phys. 2021, 21, 103750. [Google Scholar] [CrossRef]
- Li, H.; Zhang, L.; Hu, C.; Jiang, Y.; Teng, Z. Dynamical Analysis of a Fractional-Order Predator-Prey Model Incorporating a Prey Refuge. J. Appl. Math. Comput. 2016, 54, 435–449. [Google Scholar] [CrossRef]
- Ulam, S.M. A Collection of Mathematical Problems; Interscience Publ.: New York, NY, USA, 1960. [Google Scholar]
- Ulam, S.M. Problems in Modern Mathematics; Courier Corporation: North Chelmsford, MA, USA, 2004. [Google Scholar]
- Atangana, A.; Araz, S.I. New Numerical Scheme with Newton Polynomial: Theory, Methods, and Applications; Academic: Cambridge, UK, 2021. [Google Scholar]


| Parameter | Value |
|---|---|
| 0.5 | |
| 0.5 (VFSS), 0.8 (VPSS) | |
| 0.001 | |
| 0.2 | |
| 0.4 |
Disclaimer/Publisher’s Note: The statements, opinions and data contained in all publications are solely those of the individual author(s) and contributor(s) and not of MDPI and/or the editor(s). MDPI and/or the editor(s) disclaim responsibility for any injury to people or property resulting from any ideas, methods, instructions or products referred to in the content. |
© 2025 by the authors. Licensee MDPI, Basel, Switzerland. This article is an open access article distributed under the terms and conditions of the Creative Commons Attribution (CC BY) license (https://creativecommons.org/licenses/by/4.0/).
Share and Cite
Althubyani, M.; Saber, S. Hyers–Ulam Stability of Fractal–Fractional Computer Virus Models with the Atangana–Baleanu Operator. Fractal Fract. 2025, 9, 158. https://doi.org/10.3390/fractalfract9030158
Althubyani M, Saber S. Hyers–Ulam Stability of Fractal–Fractional Computer Virus Models with the Atangana–Baleanu Operator. Fractal and Fractional. 2025; 9(3):158. https://doi.org/10.3390/fractalfract9030158
Chicago/Turabian StyleAlthubyani, Mohammed, and Sayed Saber. 2025. "Hyers–Ulam Stability of Fractal–Fractional Computer Virus Models with the Atangana–Baleanu Operator" Fractal and Fractional 9, no. 3: 158. https://doi.org/10.3390/fractalfract9030158
APA StyleAlthubyani, M., & Saber, S. (2025). Hyers–Ulam Stability of Fractal–Fractional Computer Virus Models with the Atangana–Baleanu Operator. Fractal and Fractional, 9(3), 158. https://doi.org/10.3390/fractalfract9030158

