Self-Similar Growth and Synergistic Link Prediction in Technology-Convergence Networks: The Case of Intelligent Transportation Systems
Abstract
1. Introduction
- We provide empirical evidence for the fractal characteristic of the technology- convergence network in the ITS field. In terms of the time-evolving mechanism, the technology-convergence networks grow in a self-similar paradigm, in which the rescaled topological properties remain stable. In terms of spatial properties, the annual snapshots of the technology-convergence networks are identified as fractal networks.
- We discovered that the structural information at two different scales has a synergistic effect on link prediction. The structural information at two different scales is measured by local similarity measures and community-based indices, respectively. Therefore, this discovery implies that the joint distribution of the two could be more informative than the marginal distributions of either the local or the community-based indices.
- We designed a link-prediction approach, namely, the SLP approach, based on the joint conditional probability of link existence given both the local and the community-based indices. Experimental results show that the SLP approach could enhance the corresponding local similarity measures by incorporating community structures, which further validates the existence and usefulness of the synergistic effect on link prediction between two scales.
2. Related Work
2.1. Technology Convergence and Its Anticipation
2.2. Fractal Analysis of Complex Networks
2.3. Partial Information Decomposition
- represents the information that both and could provide for Y.
- represents the information about Y that could be provided by but not by .
- represents the information about Y that could be provided by but not by .
- represents the information about Y that could only be obtained by jointly considering both and .
2.4. Link Prediction
3. Methodology
3.1. Constructing Technology-Convergence Networks
3.2. Empirical Analysis of Self-Similar Growth and Fractality
3.3. Link-Prediction-Motivated Partial Information Decomposition for Technology-Convergence Networks
3.3.1. Definitions of Microscopic Variables Based on Two-Hop Link Predictors
3.3.2. Definitions of Macroscopic Variables Based on Coarse-Graining
3.3.3. Problem Formulation and Partial Information Decomposition
3.4. Synergistic Link-Prediction Approach for the Anticipation of Technology Convergence
4. Experiments
4.1. Data Description
4.2. Empirical Evidence of the Self-Similar Growth and Fractality of the Technology-Convergence Network
4.3. Partial Information Decomposition of the Technology-Convergence Network
4.4. Performance Evaluation of Synergistic Link Prediction
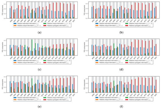
- For 2004, the values of are significantly greater than zero, unlike any other years. Such an observation indicates that the macroscopic variable provides much unique information for link prediction beyond . At the same time, the redundant information approaches (Figure 9a,b) or even exceeds (Figure 9c–f) the synergistic information . Correspondingly, Table 2 shows that outperformed any two-hop link predictor or synergistic link predictor and achieved the best performance.
- For 2009, Table 2 indicates that for each pair of two-hop and synergistic link predictors, the two-hop link predictors remarkably outperform the synergistic ones. Correspondingly, Figure 9 shows that the values of are very large and clearly exceed the values of and . Meanwhile, the values of approach zero for all the six two-hop link predictors.
- The situation for 2011 is similar to that for 2004. outperformed all the two-hop and synergistic link predictors in Table 2 and the redundant information approaches (Figure 9a,b), and even exceeded (Figure 9c–f) the synergistic information in the PID results in Figure 9. In addition, it is shown that the values of are relatively small, and exceeds zero in Figure 9a,b.
- The results for 2012, 2013, and 2017 in Table 2 could be summarized in the same way; that is, there are some two-hop link predictors that outperformed their synergistic counterparts, but the best performance among all the 13 link predictors was still achieved by some kind of synergistic link predictors. Such phenomena could be partially explained by relatively large unique information . Meanwhile, it is noteworthy that most of the differences in performance between two-hop link predictors and their synergistic counterparts are not significant for 2012 and 2017. This might be attributed to the poor performance of (AUCs of 0.6698 and 0.6748, respectively), which resulted in incorporating inaccurate information, hence the unsatisfactory performance of some of the synergistic link predictors.
- The link-prediction performance of 2019 is similar to that of 2009 in Table 2, whereas their PID results in Figure 9 are noticeably different. The 2019 PID results show that although is relatively large, it does not exceed and in most cases. Given the fact that the performance of is remarkably weaker than that of the two-hop link predictors, we speculate that the main reason for the unsatisfactory performance of the synergistic link predictors in 2019 may be the inaccurate information brought by .
- The year of 2021 is a special case. The experiments of 2021 aimed to predict the new links that appear in 2022 based on the snapshot of 2021, but the data collected in 2022 are incomplete and only cover the first half of the year. Since the AUCs for 2021 in Table 2 are relatively small compared to the AUCs for the year before and after 2021, we suspect that the current experimental results in 2021 could not reflect the general characteristics of link prediction.
- For other years, all the synergistic link predictors outperformed the corresponding two-hop link predictors, and the best performance was also achieved by some synergistic link predictors. Moreover, in some representative years, such as 2014–2016, the synergistic link predictors achieved noticeable performance improvements compared to and two-hop link predictors, and relatively large amounts of synergistic information can be observed in the PID results.
5. Conclusions
Author Contributions
Funding
Institutional Review Board Statement
Informed Consent Statement
Data Availability Statement
Acknowledgments
Conflicts of Interest
Appendix A. Rescaled Networks Statistics as Measures of Self-Similar Growth
Appendix B. A Community-Structure-Based Approximation of the Box-Covering Algorithm
| Algorithm A1 Giudicianni’s community-structure-based box-covering algorithm. |
| Input: |
| A snapshot . |
| A list of different resolutions ; |
| Output: |
| A list of the number of boxes . |
| A list of the average size of boxes . |
| 1: . |
| 2: . |
| 3: Obtain the largest connected component of as . |
| 4: Obtain the number of nodes in as . |
| 5: for to do |
| 6: Set . |
| 7: Set . |
| 8: Perform community detection on using Louvian algorithm with setting the resolution as . |
| 9: for Each detected community c do |
| 10: . |
| 11: Obtain the diameter of the subgraph c as . |
| 12: |
| 13: end for |
| 14: if then |
| 15: . |
| 16: . |
| 17: end if |
| 18: end for |
| 19: return , . |
References
- Adner, R.; Levinthal, D.A. The emergence of emerging technologies. Calif. Manag. Rev. 2002, 45, 50–66. [Google Scholar] [CrossRef]
- Rotolo, D.; Hicks, D.; Martin, B.R. What is an emerging technology? Res. Policy 2015, 44, 1827–1843. [Google Scholar] [CrossRef]
- Hacklin, F.; Raurich, V.; Marxt, C. How incremental innovation becomes disruptive: The case of technology convergence. In Proceedings of the 2004 IEEE International Engineering Management Conference (IEEE Cat. No.04CH37574), Singapore, 18–21 October 2004; pp. 32–36. [Google Scholar]
- Kim, K.; Jung, S.; Hwang, J. Technology convergence capability and firm innovation in the manufacturing sector: An approach based on patent network analysis. R D Manag. 2019, 49, 595–606. [Google Scholar] [CrossRef]
- Tang, Y.; Lou, X.; Chen, Z.; Zhang, C. A study on dynamic patterns of technology convergence with IPC Co-Occurrence-based analysis: The case of 3D printing. Sustainability 2020, 12, 2655. [Google Scholar] [CrossRef]
- Song, C.H.; Elvers, D.; Leker, J. Anticipation of converging technology areas—A refined approach for the identification of attractive fields of innovation. Technol. Forecast. Soc. Chang. 2017, 116, 98–115. [Google Scholar] [CrossRef]
- Lee, C.; Hong, S.; Kim, J. Anticipating multi-technology convergence: A machine learning approach using patent information. Scientometrics 2021, 126, 1867–1896. [Google Scholar] [CrossRef]
- Sick, N.; Bröring, S. Exploring the research landscape of convergence from a TIM perspective: A review and research agenda. Technol. Forecast. Soc. Chang. 2022, 175, 121321. [Google Scholar] [CrossRef]
- Lee, W.S.; Han, E.J.; Sohn, S.Y. Predicting the pattern of technology convergence using big-data technology on large-scale triadic patents. Technol. Forecast. Soc. Chang. 2015, 100, 317–329. [Google Scholar] [CrossRef]
- Caviggioli, F. Technology fusion: Identification and analysis of the drivers of technology convergence using patent data. Technovation 2016, 55–56, 22–32. [Google Scholar] [CrossRef]
- Oh, S.; Choi, J.; Ko, N.; Yoon, J. Predicting product development directions for new product planning using patent classification-based link prediction. Scientometrics 2020, 125, 1833–1876. [Google Scholar] [CrossRef]
- Kwon, O.J.; An, Y.; Kim, M.; Lee, C. Anticipating technology-driven industry convergence: Evidence from large-scale patent analysis. Technol. Anal. Strateg. Manag. 2020, 32, 363–378. [Google Scholar] [CrossRef]
- Feng, S.; An, H.; Li, H.; Qi, Y.; Wang, Z.; Guan, Q.; Li, Y.; Qi, Y. The technology convergence of electric vehicles: Exploring promising and potential technology convergence relationships and topics. J. Clean. Prod. 2020, 260, 120992. [Google Scholar] [CrossRef]
- Lee, J.; Ko, N.; Yoon, J.; Son, C. An approach for discovering firm-specific technology opportunities: Application of link prediction to F-term networks. Technol. Forecast. Soc. Chang. 2021, 168, 120746. [Google Scholar] [CrossRef]
- Aaldering, L.J.; Leker, J.; Song, C.H. Competition or collaboration?—Analysis of technological knowledge ecosystem within the field of alternative powertrain systems: A patent-based approach. J. Clean. Prod. 2019, 212, 362–371. [Google Scholar] [CrossRef]
- Hong, S.; Lee, C. Effective indexes and classification algorithms for supervised link prediction approach to anticipating technology convergence: A comparative study. IEEE Trans. Eng. Manag. 2021, 1–12. [Google Scholar] [CrossRef]
- Kim, T.S.; Sohn, S.Y. Machine-learning-based deep semantic analysis approach for forecasting new technology convergence. Technol. Forecast. Soc. Chang. 2020, 157, 120095. [Google Scholar] [CrossRef]
- Choi, S.; Afifuddin, M.; Seo, W. A Supervised/ Learning-Based Approach to Anticipating Potential Technology Convergence. IEEE Access 2022, 10, 19284–19300. [Google Scholar] [CrossRef]
- Zhang Jinzhu, H.Y.; Zhang Jinzhu, H.Y. Prediction and evaluation of technology convergence based on multi-features fusion. Data Anal. Knowl. Discov. 2022, 6, 33–44. [Google Scholar]
- Lü, L.; Zhou, T. Link prediction in complex networks: A survey. Phys. A Stat. Mech. Appl. 2011, 390, 1150–1170. [Google Scholar] [CrossRef]
- Liu, Z.; Zhang, Q.M.; Lü, L.; Zhou, T. Link prediction in complex networks: A local naïve Bayes model. EPL 2011, 96, 48007. [Google Scholar] [CrossRef]
- Wang, W.Q.; Zhang, Q.M.; Zhou, T. Evaluating network models: A likelihood analysis. EPL 2012, 98, 28004. [Google Scholar] [CrossRef]
- Chen, D.B.; Gao, H.; Lü, L.; Zhou, T. Identifying influential nodes in large-scale directed networks: The role of clustering. PLoS ONE 2013, 8, e77455. [Google Scholar] [CrossRef] [PubMed]
- Zhang, Q.M.; Xu, X.K.; Zhu, Y.X.; Zhou, T. Measuring multiple evolution mechanisms of complex networks. Sci. Rep. 2015, 5. [Google Scholar] [CrossRef] [PubMed]
- Pech, R.; Hao, D.; Lee, Y.L.; Yuan, Y.; Zhou, T. Link prediction via linear optimization. Phys. A Stat. Mech. Appl. 2019, 528, 121319. [Google Scholar] [CrossRef]
- Song, C.; Havlin, S.; Makse, H.A. Origins of fractality in the growth of complex networks. Nat. Phys. 2006, 2, 275–281. [Google Scholar] [CrossRef]
- Xi, L.; Wang, L.; Wang, S.; Yu, Z.; Wang, Q. Fractality and scale-free effect of a class of self-similar networks. Phys. A Stat. Mech. Appl. 2017, 478, 31–40. [Google Scholar] [CrossRef]
- Zheng, M.; Garcìa-Pêrez, G.; Boguñâ, M.; Serrano, M.Â. Scaling up real networks by geometric branching growth. Proc. Natl. Acad. Sci. USA 2021, 118, e2018994118. [Google Scholar] [CrossRef]
- Song, C.; Havlin, S.; Makse, H.A. Self-similarity of complex networks. Nature 2005, 433, 392–395. [Google Scholar] [CrossRef]
- Wen, T.; Cheong, K.H. The fractal dimension of complex networks: A review. Inf. Fusion 2021, 73, 87–102. [Google Scholar] [CrossRef]
- Gao, L.; Peng, J.; Tang, C. Optimizing the first-passage process on a class of fractal scale-free trees. Fractal Fract. 2021, 5, 184. [Google Scholar] [CrossRef]
- Babič, M.; Marinkovic, D.; Bonfanti, M.; Calì, M. Complexity modeling of steel-laser-hardened surface microstructures. Appl. Sci. 2022, 12, 2458. [Google Scholar] [CrossRef]
- Garcìa-Pêrez, G.; Boguñâ, M.; Serrano, M.A. Multiscale unfolding of real networks by geometric renormalization. Nat. Phys. 2018, 14, 583–589. [Google Scholar] [CrossRef]
- Zheng, M.; Allard, A.; Hagmann, P.; Alemân-Gômez, Y.; Serrano, M.A. Geometric renormalization unravels self-similarity of the multiscale human connectome. Proc. Natl. Acad. Sci. USA 2020, 117, 20244–20253. [Google Scholar] [CrossRef] [PubMed]
- Ortiz, E.; Garcìa-Pêrez, G.; Serrano, M.A. Geometric detection of hierarchical backbones in real networks. Phys. Rev. Res. 2020, 2, 033519. [Google Scholar] [CrossRef]
- Chen, D.; Su, H.; Wang, X.; Pan, G.J.; Chen, G. Finite-size scaling of geometric renormalization flows in complex networks. Phys. Rev. E 2021, 104, 034304. [Google Scholar] [CrossRef]
- Chen, D.; Su, H.; Zeng, Z. Geometric renormalization reveals the self-similarity of weighted networks. IEEE Trans. Comput. Soc. Syst. 2022, 1–9. [Google Scholar] [CrossRef]
- Giudicianni, C.; Di Nardo, A.; Greco, R.; Scala, A. A community-structure-based method for estimating the fractal dimension, and its application to water networks for the assessment of vulnerability to disasters. Water Resour. Manag. 2021, 35, 1197–1210. [Google Scholar] [CrossRef]
- Cannistraci, C.V.; Alanis-Lobato, G.; Ravasi, T. From link-prediction in brain connectomes and protein interactomes to the local-community-paradigm in complex networks. Sci. Rep. 2013, 3, 1613. [Google Scholar] [CrossRef]
- Yan, B.; Gregory, S. Finding missing edges in networks based on their community structure. Phys. Rev. E 2012, 85, 056112. [Google Scholar] [CrossRef]
- Ding, J.; Jiao, L.; Wu, J.; Liu, F. Prediction of missing links based on community relevance and ruler inference. Knowl.-Based Syst. 2016, 98, 200–215. [Google Scholar] [CrossRef]
- Gao, F.; Musial, K.; Gabrys, B. A community bridge boosting social network link prediction model. In Proceedings of the 2017 IEEE/ACM International Conference on Advances in Social Networks Analysis and Mining 2017, Sydney, Australia, 31 July–3 August 2017; pp. 683–689. [Google Scholar]
- Jalili, M.; Orouskhani, Y.; Asgari, M.; Alipourfard, N.; Perc, M. Link prediction in multiplex online social networks. R. Soc. Open Sci. 2017, 4, 160863. [Google Scholar] [CrossRef] [PubMed]
- Li, L.; Fang, S.; Bai, S.; Xu, S.; Cheng, J.; Chen, X. Effective link prediction based on community relationship strength. IEEE Access 2019, 7, 43233–43248. [Google Scholar] [CrossRef]
- Bai, S.; Fang, S.; Li, L.; Liu, R.; Chen, X. Enhancing link prediction by exploring community membership of nodes. Int. J. Mod. Phys. B 2019, 33, 1950382. [Google Scholar] [CrossRef]
- Javari, A.; Norouzitallab, M.; Jalili, M. Who will accept my request? Predicting response of link initiation in two-way relation networks. arXiv 2020, arXiv:2012.11172. [Google Scholar]
- Saxena, A.; Fletcher, G.; Pechenizkiy, M. HM-EIICT: Fairness-aware link prediction in complex networks using community information. J. Comb. Optim. 2022, 44, 2853–2870. [Google Scholar] [CrossRef]
- Rosenberg, N. Technological change in the machine tool industry, 1840–1910. J. Econ. Hist. 1963, 23, 414–443. [Google Scholar] [CrossRef]
- Kodama, F. Technology fusion and the new R&D. Harvard Business Review 1992. Available online: https://hbr.org/1992/07/technology-fusion-and-the-new-rd (accessed on 18 September 2022).
- Bruce, M.; Leverick, F.; Littler, D.; Wilson, D. Success factors for collaborative product development: A study of suppliers of information and communication technology. R D Manag. 1995, 25, 33–44. [Google Scholar] [CrossRef]
- Duysters, G.; Hagedoorn, J. Technological convergence in the IT industry: The role of strategic technology alliances and technological competencies. Int. J. Econ. Bus. 1998, 5, 355–368. [Google Scholar] [CrossRef]
- Hacklin, F. Management of Convergence in Innovation: Strategies and Capabilities for Value Creation beyond Blurring Industry Boundaries; Springer Science & Business Media: Berlin/Heidelberg, Germany, 2007. [Google Scholar]
- Pennings, J.M.; Puranam, P. Market convergence & firm strategy: New directions for theory and research. In Proceedings of the ECIS Conference, The Future of Innovation Studies, Eindhoven, The Netherlands, 20–23 September; 2001; Volume 20. [Google Scholar]
- Curran, C.S. The Anticipation of Converging Industries; Springer: London, UK, 2013. [Google Scholar]
- Karvonen, M.; Kässi, T. Patent citations as a tool for analysing the early stages of convergence. Technol. Forecast. Soc. Chang. 2013, 80, 1094–1107. [Google Scholar] [CrossRef]
- Ko, N.; Yoon, J.; Seo, W. Analyzing interdisciplinarity of technology fusion using knowledge flows of patents. Expert Syst. Appl. 2014, 41, 1955–1963. [Google Scholar] [CrossRef]
- Hussain, A.; Jeon, J.; Rehman, M. Technological convergence assessment of the smart factory using patent data and network analysis. Sustainability 2022, 14, 1668. [Google Scholar] [CrossRef]
- Feng, L.; Wang, Q.; Wang, J.; Lin, K.Y. A review of technological forecasting from the perspective of complex systems. Entropy 2022, 24, 787. [Google Scholar] [CrossRef] [PubMed]
- No, H.J.; Park, Y. Trajectory patterns of technology fusion: Trend analysis and taxonomical grouping in nanobiotechnology. Technol. Forecast. Soc. Chang. 2010, 77, 63–75. [Google Scholar] [CrossRef]
- Nemet, G.F.; Johnson, E. Do important inventions benefit from knowledge originating in other technological domains? Res. Policy 2012, 41, 190–200. [Google Scholar] [CrossRef]
- Yun, J.; Geum, Y. Analysing the dynamics of technological convergence using a co-classification approach: A case of healthcare services. Technol. Anal. Strateg. Manag. 2019, 31, 1412–1429. [Google Scholar] [CrossRef]
- Lee, J.; Sohn, S.Y. Recommendation system for technology convergence opportunities based on self-supervised representation learning. Scientometrics 2021, 126, 1–25. [Google Scholar] [CrossRef]
- Jee, J.; Shin, H.; Kim, C.; Lee, S. Six different approaches to defining and identifying promising technology through patent analysis. Technol. Anal. Strateg. Manag. 2022, 34, 961–973. [Google Scholar] [CrossRef]
- Mazlumi, S.H.H.; Kermani, M.A.M. Investigation the structure of the Internet of things (IoT) patent network using social network analysis. IEEE Internet Things J. 2022, 9, 13458–13469. [Google Scholar] [CrossRef]
- Wang, P.; Chan, W.K.V. A multilayer community detection algorithm based on aggregation in social Internet of things. In Proceedings of the 2022 7th International Conference on Intelligent Computing and Signal Processing (ICSP), Xi’an, China, 15–17 April 2022; pp. 610–614. [Google Scholar]
- Ancherbak, S.; Kuruoglu, E.E.; Vingron, M. Time-dependent gene network modelling by sequential monte carlo. IEEE/ACM Trans. Comput. Biol. Bioinform. 2016, 13, 1183–1193. [Google Scholar] [CrossRef]
- Kovács, I.A.; Luck, K.; Spirohn, K.; Wang, Y.; Pollis, C.; Schlabach, S.; Bian, W.; Kim, D.K.; Kishore, N.; Hao, T.; et al. Network-based prediction of protein interactions. Nat. Commun. 2019, 10, 1240. [Google Scholar] [CrossRef]
- Ye, Q.; Hsieh, C.Y.; Yang, Z.; Kang, Y.; Chen, J.; Cao, D.; He, S.; Hou, T. A unified drug–target interaction prediction framework based on knowledge graph and recommendation system. Nat. Commun. 2021, 12, 6775. [Google Scholar] [CrossRef] [PubMed]
- Xiu, Y.; Ren, X.; Zhang, T.; Chen, Y.; Jiang, L.; Li, D.; Wang, X.; Zhao, L.; Chan, W.K. Time labeled visibility graph for privacy-preserved physiological time series classification. In Proceedings of the 2022 7th International Conference on Cloud Computing and Big Data Analytics (ICCCBDA), Chengdu, China, 22–24 April 2022; pp. 280–284. [Google Scholar]
- Chan, W.K.V.; Hsu, C. When human networks collide: The degree distributions of hyper-networks. IIE Trans. 2015, 47, 929–942. [Google Scholar] [CrossRef]
- Babič, M.; Purković, D. A new systemic taxonomy of cyber criminal activity. Politehnika 2020, 4, 17–27. [Google Scholar] [CrossRef]
- Xiu, Y.; Wang, G.; Chan, W.K.V. Crash diagnosis and price rebound prediction in NYSE composite index based on visibility graph and time-evolving stock correlation network. Entropy 2021, 23, 1612. [Google Scholar] [CrossRef]
- Babič, M.; Marinković, D.; Kovačič, M.; Šter, B.; Calì, M. A new method of quantifying the complexity of fractal networks. Fractal Fract. 2022, 6, 282. [Google Scholar] [CrossRef]
- Liu, N.; Fang, J.; Sun, J.; Li, S. Epidemic dynamics of a fractional-order SIR weighted network model and its targeted immunity control. Fractal Fract. 2022, 6, 232. [Google Scholar] [CrossRef]
- Gallos, L.K.; Song, C.; Makse, H.A. A review of fractality and self-similarity in complex networks. Phys. A Stat. Mech. Appl. 2007, 386, 686–691. [Google Scholar] [CrossRef]
- Song, C.; Gallos, L.K.; Havlin, S.; Makse, H.A. How to calculate the fractal dimension of a complex network: The box covering algorithm. J. Stat. Mech. Theory Exp. 2007, 2007, P03006. [Google Scholar] [CrossRef]
- Sun, Y.; Zhao, Y. Overlapping-box-covering method for the fractal dimension of complex networks. Phys. Rev. E 2014, 89, 042809. [Google Scholar] [CrossRef]
- Liao, H.; Wu, X.; Wang, B.H.; Wu, X.; Zhou, M. Solving the speed and accuracy of box-covering problem in complex networks. Phys. A: Stat. Mech. Appl. 2019, 523, 954–963. [Google Scholar] [CrossRef]
- Kovács, P.T.; Nagy, M.; Molontay, R. Comparative analysis of box-covering algorithms for fractal networks. Appl. Netw. Sci. 2021, 6, 73. [Google Scholar] [CrossRef]
- Wei, D.J.; Liu, Q.; Zhang, H.X.; Hu, Y.; Deng, Y.; Mahadevan, S. Box-covering algorithm for fractal dimension of weighted networks. Sci. Rep. 2013, 3, 3049. [Google Scholar] [CrossRef] [PubMed]
- Wu, H.; Kuang, L.; Wang, F.; Rao, Q.; Gong, M.; Li, Y. A multiobjective box-covering algorithm for fractal modularity on complex networks. Appl. Soft Comput. 2017, 61, 294–313. [Google Scholar] [CrossRef]
- Shannon, C.E. A mathematical theory of communication. Bell Syst. Tech. J. 1948, 27, 379–423. [Google Scholar] [CrossRef]
- Williams, P.L.; Beer, R.D. Nonnegative decomposition of multivariate information. arXiv 2010, arXiv:1004.2515. [Google Scholar]
- Wibral, M.; Priesemann, V.; Kay, J.W.; Lizier, J.T.; Phillips, W.A. Partial information decomposition as a unified approach to the specification of neural goal functions. Brain Cogn. 2017, 112, 25–38. [Google Scholar] [CrossRef] [PubMed]
- Colenbier, N.; Van de Steen, F.; Uddin, L.Q.; Poldrack, R.A.; Calhoun, V.D.; Marinazzo, D. Disambiguating the role of blood flow and global signal with partial information decomposition. NeuroImage 2020, 213, 116699. [Google Scholar] [CrossRef]
- Sherrill, S.P.; Timme, N.M.; Beggs, J.M.; Newman, E.L. Partial information decomposition reveals that synergistic neural integration is greater downstream of recurrent information flow in organotypic cortical cultures. PLoS Comput. Biol. 2021, 17, e1009196. [Google Scholar] [CrossRef]
- Tax, T.M.S.; Mediano, P.A.M.; Shanahan, M. The partial information decomposition of generative neural network models. Entropy 2017, 19, 474. [Google Scholar] [CrossRef]
- Takimoto, M. An approximation scheme for multivariate information based on partial information decomposition. arXiv 2020, arXiv:2009.00791. [Google Scholar]
- Wollstadt, P.; Schmitt, S.; Wibral, M. A rigorous information-theoretic definition of redundancy and relevancy in feature selection based on (partial) information decomposition. arXiv 2021, arXiv:2105.04187. [Google Scholar]
- Tokui, S.; Sato, I. Disentanglement analysis with partial information decomposition. arXiv 2022, arXiv:2108.13753. [Google Scholar]
- Rosas, F.E.; Mediano, P.A.M.; Jensen, H.J.; Seth, A.K.; Barrett, A.B.; Carhart-Harris, R.L.; Bor, D. Reconciling emergences: An information-theoretic approach to identify causal emergence in multivariate data. PLoS Comput. Biol. 2020, 16, e1008289. [Google Scholar] [CrossRef] [PubMed]
- Zhang, J. Neural information squeezer for causal emergence. arXiv 2022, arXiv:2201.10154. [Google Scholar] [CrossRef]
- Mediano, P.A.M.; Rosas, F.E.; Luppi, A.I.; Jensen, H.J.; Seth, A.K.; Barrett, A.B.; Carhart-Harris, R.L.; Bor, D. Greater than the parts: A review of the information decomposition approach to causal emergence. Philos. Trans. R. Soc. A Math. Phys. Eng. Sci. 2022, 380, 20210246. [Google Scholar] [CrossRef] [PubMed]
- Lorrain, F.; White, H.C. Structural equivalence of individuals in social networks. J. Math. Sociol. 1971, 1, 49–80. [Google Scholar] [CrossRef]
- Jaccard, P. Étude comparative de la distribution florale dans une portion des Alpes et des Jura. Bull. Torrey Bot. Club 1901, 37, 547–579. [Google Scholar]
- Ou, Q.; Jin, Y.D.; Zhou, T.; Wang, B.H.; Yin, B.Q. Power-law strength-degree correlation from resource-allocation dynamics on weighted networks. Phys. Rev. E 2007, 75, 021102. [Google Scholar] [CrossRef]
- Adamic, L.A.; Adar, E. Friends and neighbors on the web. Soc. Netw. 2003, 25, 211–230. [Google Scholar] [CrossRef]
- Clauset, A.; Moore, C.; Newman, M.E.J. Hierarchical structure and the prediction of missing links in networks. Nature 2008, 453, 98–101. [Google Scholar] [CrossRef]
- Guimerà, R.; Sales-Pardo, M. Missing and spurious interactions and the reconstruction of complex networks. Proc. Natl. Acad. Sci. USA 2009, 106, 22073–22078. [Google Scholar] [CrossRef] [PubMed]
- Vallès-Català, T.; Peixoto, T.P.; Sales-Pardo, M.; Guimerà, R. Consistencies and inconsistencies between model selection and link prediction in networks. Phys. Rev. E 2018, 97, 062316. [Google Scholar] [CrossRef] [PubMed]
- Tang, J.; Qu, M.; Wang, M.; Zhang, M.; Yan, J.; Mei, Q. LINE: Large-scale information network embedding. In Proceedings of the 24th International Conference on World Wide Web, Florence, Italy, 18–22 May 2015; pp. 1067–1077. [Google Scholar]
- Grover, A.; Leskovec, J. Node2vec: Scalable feature learning for networks. In Proceedings of the 22nd ACM SIGKDD International Conference on Knowledge Discovery and Data Mining, San Francisco, CA, USA, 13–17 August 2016; pp. 855–864. [Google Scholar]
- Cao, R.M.; Liu, S.Y.; Xu, X.K. Network embedding for link prediction: The pitfall and improvement. Chaos Interdiscip. J. Nonlinear Sci. 2019, 29, 103102. [Google Scholar] [CrossRef] [PubMed]
- He, Y.l.; Liu, J.N.; Hu, Y.x.; Wang, X.z. OWA operator based link prediction ensemble for social network. Expert Syst. Appl. 2015, 42, 21–50. [Google Scholar] [CrossRef]
- Li, K.; Tu, L.; Chai, L. Ensemble-model-based link prediction of complex networks. Comput. Netw. 2020, 166, 106978. [Google Scholar] [CrossRef]
- Ghasemian, A.; Hosseinmardi, H.; Galstyan, A.; Airoldi, E.M.; Clauset, A. Stacking models for nearly optimal link prediction in complex networks. Proc. Natl. Acad. Sci. USA 2020, 117, 23393–23400. [Google Scholar] [CrossRef]
- Zhang, M.; Chen, Y. Link prediction based on graph neural networks. In Proceedings of the 32nd International Conference on Neural Information Processing Systems, Montréal, QC, Canada, 3–8 December 2018; pp. 5171–5181. [Google Scholar]
- Cai, L.; Ji, S. A multi-scale approach for graph link prediction. Proc. AAAI Conf. Artif. Intell. 2020, 34, 3308–3315. [Google Scholar] [CrossRef]
- Cai, L.; Li, J.; Wang, J.; Ji, S. Line graph neural networks for link prediction. IEEE Trans. Pattern Anal. Mach. Intell. 2021, 44, 5103–5113. [Google Scholar] [CrossRef]
- Kumar, A.; Singh, S.S.; Singh, K.; Biswas, B. Link prediction techniques, applications, and performance: A survey. Phys. A Stat. Mech. Appl. 2020, 553, 124289. [Google Scholar] [CrossRef]
- Zhou, T. Progresses and challenges in link prediction. iScience 2021, 24, 103217. [Google Scholar] [CrossRef]
- Barabási, A.L.; Albert, R. Emergence of scaling in random networks. Science 1999, 286, 509–512. [Google Scholar] [CrossRef] [PubMed]
- de Sá, H.R.; Prudêncio, R.B.C. Supervised link prediction in weighted networks. In Proceedings of the 2011 International Joint Conference on Neural Networks, San Jose, CA, USA, 31 July–5 August 2011; pp. 2281–2288. [Google Scholar]
- Martinčić-Ipšić, S.; Močibob, E.; Perc, M. Link prediction on Twitter. PLoS ONE 2017, 12, e0181079. [Google Scholar] [CrossRef] [PubMed]
- Wei, Y.M.; Kang, J.N.; Yu, B.Y.; Liao, H.; Du, Y.F. A dynamic forward-citation full path model for technology monitoring: An empirical study from shale gas industry. Appl. Energy 2017, 205, 769–780. [Google Scholar] [CrossRef]
- Kang, J.N.; Wei, Y.M.; Liu, L.c.; Wang, J.W. Observing technology reserves of carbon capture and storage via patent data: Paving the way for carbon neutral. Technol. Forecast. Soc. Chang. 2021, 171, 120933. [Google Scholar] [CrossRef]
- Kim, J.S.; Goh, K.I.; Kahng, B.; Kim, D. Fractality and self-similarity in scale-free networks. New J. Phys. 2007, 9, 177. [Google Scholar] [CrossRef]
- Murata, T.; Moriyasu, S. Link prediction of social networks based on weighted proximity measures. In Proceedings of the IEEE/WIC/ACM International Conference on Web Intelligence (WI’07), Fremont, CA, USA, 2–5 November 2007; pp. 85–88. [Google Scholar]
- Zhao, J.; Miao, L.; Yang, J.; Fang, H.; Zhang, Q.M.; Nie, M.; Holme, P.; Zhou, T. Prediction of links and weights in networks by reliable routes. Sci. Rep. 2015, 5, 12261. [Google Scholar] [CrossRef] [PubMed]
- Kraskov, A.; Stögbauer, H.; Grassberger, P. Estimating mutual information. Phys. Rev. E 2004, 69, 066138. [Google Scholar] [CrossRef]
- Ross, B.C. Mutual information between discrete and continuous data sets. PLoS ONE 2014, 9, e87357. [Google Scholar] [CrossRef]
- Lin, Y.; Wang, P.; Ma, M. Intelligent transportation system(ITS): Concept, challenge and opportunity. In Proceedings of the 2017 IEEE 3rd International Conference on Big Data Security on Cloud (Bigdatasecurity), IEEE International Conference on High Performance and Smart Computing (HPSC), and IEEE International Conference on Intelligent Data and Security (IDS), Beijing, China, 26–28 May 2017; pp. 167–172. [Google Scholar]
- Pan, M.; Zhou, Y.; Zhou, D.K. Comparing the innovation strategies of Chinese and European wind turbine firms through a patent lens. Environ. Innov. Soc. Transit. 2019, 30, 6–18. [Google Scholar] [CrossRef]
- Wang, B.; Liu, Y.; Zhou, Y.; Wen, Z. Emerging nanogenerator technology in China: A review and forecast using integrating bibliometrics, patent analysis and technology roadmapping methods. Nano Energy 2018, 46, 322–330. [Google Scholar] [CrossRef]
- Li, X.; Xie, Q.; Jiang, J.; Zhou, Y.; Huang, L. Identifying and monitoring the development trends of emerging technologies using patent analysis and Twitter data mining: The case of perovskite solar cell technology. Technol. Forecast. Soc. Chang. 2019, 146, 687–705. [Google Scholar] [CrossRef]
- Xiong, Z.; Sheng, H.; Rong, W.; Cooper, D.E. Intelligent transportation systems for smart cities: A progress review. Sci. China Inf. Sci. 2012, 55, 2908–2914. [Google Scholar] [CrossRef]
- Bishop, R. The potential for Vehicle-highway automation in the United States. In Proceedings of the 1997 IEEE/RSJ International Conference on Intelligent Robot and Systems. Innovative Robotics for Real-World Applications. IROS ’97, Grenoble, France, 11 September 1997; Volume 3, pp. 1215–1216. [Google Scholar]
- Tanaka, T.; Yamamoto, T.; Fukuda, S. Onboard system devices for a vehicle information and communication system. Fujitsu Ten Tech. J. 1995, 7, 26–34. [Google Scholar]
- Auer, A.; Feese, S.; Lockwood, S.; Hamilton, B.A. History of Intelligent Transportation Systems; Technical Report FHWA-JPO-16-329; Department of Transportation, Intelligent Transportation Systems Joint Program Office: Washington, DC, USA, 2016. [Google Scholar]
- Blondel, V.D.; Guillaume, J.L.; Lambiotte, R.; Lefebvre, E. Fast unfolding of communities in large networks. J. Stat. Mech. Theory Exp. 2008, 2008, P10008. [Google Scholar] [CrossRef]
- Lü, L.; Zhou, T. Link Prediction; Higher Education Press: Beijing, China, 2013. [Google Scholar]
- Parastesh, F.; Mehrabbeik, M.; Rajagopal, K.; Jafari, S.; Perc, M. Synchronization in Hindmarsh–Rose neurons subject to higher-order interactions. Chaos Interdiscip. J. Nonlinear Sci. 2022, 32, 013125. [Google Scholar] [CrossRef]
- Kumar, A.; Chowdhary, S.; Capraro, V.; Perc, M. Evolution of honesty in higher-order social networks. Phys. Rev. E 2021, 104, 054308. [Google Scholar] [CrossRef]
- Alvarez-Rodriguez, U.; Battiston, F.; de Arruda, G.F.; Moreno, Y.; Perc, M.; Latora, V. Evolutionary dynamics of higher-order interactions in social networks. Nat. Hum. Behav. 2021, 5, 586–595. [Google Scholar] [CrossRef]
- Majhi, S.; Perc, M.; Ghosh, D. Dynamics on higher-order networks: A review. J. R. Soc. Interface 2022, 19, 20220043. [Google Scholar] [CrossRef]
- Fan, J.; Yin, Q.; Xia, C.; Perc, M. Epidemics on multilayer simplicial complexes. Proc. R. Soc. A Math. Phys. Eng. Sci. 2022, 478, 20220059. [Google Scholar] [CrossRef]
- Sun, Q.; Wang, Z.; Zhao, D.; Xia, C.; Perc, M. Diffusion of resources and their impact on epidemic spreading in multilayer networks with simplicial complexes. Chaos Solitons Fractals 2022, 164, 112734. [Google Scholar] [CrossRef]
- Ángeles Serrano, M.; Boguñá, M. Tuning clustering in random networks with arbitrary degree distributions. Phys. Rev. E 2005, 72, 036133. [Google Scholar] [CrossRef] [PubMed]
- Onnela, J.P.; Saramäki, J.; Kertész, J.; Kaski, K. Intensity and coherence of motifs in weighted complex networks. Phys. Rev. E 2005, 71, 065103. [Google Scholar] [CrossRef] [PubMed]
- Pusch, A.; Weber, S.; Porto, M. Generating random networks with given degree-degree correlations and degree-dependent clustering. Phys. Rev. E 2008, 77, 017101. [Google Scholar] [CrossRef] [PubMed]
- Barrat, A.; Barthélemy, M.; Pastor-Satorras, R.; Vespignani, A. The architecture of complex weighted networks. Proc. Natl. Acad. Sci. USA 2004, 101, 3747–3752. [Google Scholar] [CrossRef] [PubMed]
- Guimerà, R.; Sales-Pardo, M.; Amaral, L.A.N. Classes of complex networks defined by role-to-role connectivity profiles. Nat. Phys. 2007, 3, 63–69. [Google Scholar] [CrossRef]
- Clauset, A.; Newman, M.E.J.; Moore, C. Finding community structure in very large networks. Phys. Rev. E 2004, 70, 066111. [Google Scholar] [CrossRef]









| Names | Definitions |
|---|---|
| Weighted common neighbor (WCN) index [118] | |
| Weighted Adamic–Adar (WAA) index [118] | |
| Weighted resource allocation (WRA) index [118] | |
| Reliable-route weighted common neighbor (rWCN) index [119] | |
| Reliable-route weighted Adamic–Adar (rWAA) index [119] | |
| Reliable-route weighted resource allocation (rWRA) index [119] |
| Year | WCN | S-WCN | WAA | S-WAA | WRA | S-WRA | rWCN | S-rWCN | rWAA | S-rWAA | rWRA | S-rWRA | |
|---|---|---|---|---|---|---|---|---|---|---|---|---|---|
| 2003 | 0.7580 | 0.7192 | 0.8013 | 0.7194 | 0.8028 | 0.7199 | 0.8030 | 0.7192 | 0.8016 | 0.7193 | 0.8021 | 0.7198 | 0.8046 |
| 2004 | 0.7513 | 0.5926 | 0.7500 | 0.5926 | 0.7500 | 0.5922 | 0.7489 | 0.5926 | 0.7497 | 0.5926 | 0.7506 | 0.5925 | 0.7501 |
| 2005 | 0.6785 | 0.6962 | 0.7693 | 0.6964 | 0.7697 | 0.6968 | 0.7840 | 0.6957 | 0.7683 | 0.6960 | 0.7533 | 0.6963 | 0.7520 |
| 2006 | 0.7926 | 0.7145 | 0.8454 | 0.7142 | 0.8233 | 0.7134 | 0.8220 | 0.7148 | 0.8462 | 0.7145 | 0.8238 | 0.7137 | 0.8252 |
| 2007 | 0.7698 | 0.8121 | 0.8844 | 0.8130 | 0.8872 | 0.8143 | 0.8892 | 0.8106 | 0.8823 | 0.8112 | 0.8860 | 0.8129 | 0.8874 |
| 2008 | 0.7700 | 0.7694 | 0.8844 | 0.7697 | 0.8850 | 0.7697 | 0.8712 | 0.7689 | 0.8849 | 0.7690 | 0.8841 | 0.7692 | 0.8713 |
| 2009 | 0.6869 | 0.8813 | 0.8512 | 0.8823 | 0.8554 | 0.8841 | 0.8583 | 0.8797 | 0.8486 | 0.8804 | 0.8526 | 0.8828 | 0.8582 |
| 2010 | 0.6926 | 0.7940 | 0.8295 | 0.7936 | 0.8342 | 0.7914 | 0.8072 | 0.7935 | 0.8313 | 0.7933 | 0.8299 | 0.7916 | 0.8304 |
| 2011 | 0.7769 | 0.6914 | 0.7658 | 0.6914 | 0.7628 | 0.6904 | 0.7661 | 0.6904 | 0.7646 | 0.6904 | 0.7647 | 0.6899 | 0.7666 |
| 2012 | 0.6698 | 0.7068 | 0.7059 | 0.7062 | 0.7115 | 0.7043 | 0.6620 | 0.7069 | 0.7090 | 0.7066 | 0.7075 | 0.7051 | 0.7096 |
| 2013 | 0.7049 | 0.7301 | 0.7525 | 0.7312 | 0.7572 | 0.7335 | 0.7606 | 0.7303 | 0.7180 | 0.7310 | 0.7192 | 0.7334 | 0.7582 |
| 2014 | 0.7089 | 0.7165 | 0.7476 | 0.7176 | 0.7429 | 0.7199 | 0.7590 | 0.7153 | 0.7450 | 0.7160 | 0.7402 | 0.7181 | 0.7498 |
| 2015 | 0.6978 | 0.7045 | 0.7539 | 0.7052 | 0.7474 | 0.7064 | 0.7560 | 0.7036 | 0.7594 | 0.7041 | 0.7559 | 0.7056 | 0.7522 |
| 2016 | 0.7336 | 0.7259 | 0.7743 | 0.7282 | 0.7767 | 0.7301 | 0.7774 | 0.7245 | 0.7738 | 0.7260 | 0.7785 | 0.7284 | 0.7787 |
| 2017 | 0.6748 | 0.7555 | 0.7635 | 0.7565 | 0.7671 | 0.7553 | 0.7573 | 0.7533 | 0.7485 | 0.7540 | 0.7544 | 0.7541 | 0.7521 |
| 2018 | 0.7396 | 0.7678 | 0.8108 | 0.7699 | 0.8148 | 0.7712 | 0.8164 | 0.7662 | 0.8190 | 0.7677 | 0.8082 | 0.7703 | 0.8157 |
| 2019 | 0.7144 | 0.8231 | 0.8201 | 0.8248 | 0.8238 | 0.8237 | 0.8181 | 0.8209 | 0.7962 | 0.8221 | 0.8036 | 0.8216 | 0.7889 |
| 2020 | 0.7640 | 0.8357 | 0.8612 | 0.8392 | 0.8667 | 0.8421 | 0.8684 | 0.8327 | 0.8379 | 0.8355 | 0.8453 | 0.8398 | 0.8603 |
| 2021 | 0.5090 | 0.5506 | 0.5321 | 0.5521 | 0.5399 | 0.5539 | 0.5391 | 0.5483 | 0.5503 | 0.5499 | 0.5508 | 0.5514 | 0.5483 |
Disclaimer/Publisher’s Note: The statements, opinions and data contained in all publications are solely those of the individual author(s) and contributor(s) and not of MDPI and/or the editor(s). MDPI and/or the editor(s) disclaim responsibility for any injury to people or property resulting from any ideas, methods, instructions or products referred to in the content. |
© 2023 by the authors. Licensee MDPI, Basel, Switzerland. This article is an open access article distributed under the terms and conditions of the Creative Commons Attribution (CC BY) license (https://creativecommons.org/licenses/by/4.0/).
Share and Cite
Xiu, Y.; Cao, K.; Ren, X.; Chen, B.; Chan, W.K. Self-Similar Growth and Synergistic Link Prediction in Technology-Convergence Networks: The Case of Intelligent Transportation Systems. Fractal Fract. 2023, 7, 109. https://doi.org/10.3390/fractalfract7020109
Xiu Y, Cao K, Ren X, Chen B, Chan WK. Self-Similar Growth and Synergistic Link Prediction in Technology-Convergence Networks: The Case of Intelligent Transportation Systems. Fractal and Fractional. 2023; 7(2):109. https://doi.org/10.3390/fractalfract7020109
Chicago/Turabian StyleXiu, Yuxuan, Kexin Cao, Xinyue Ren, Bokui Chen, and Wai Kin (Victor) Chan. 2023. "Self-Similar Growth and Synergistic Link Prediction in Technology-Convergence Networks: The Case of Intelligent Transportation Systems" Fractal and Fractional 7, no. 2: 109. https://doi.org/10.3390/fractalfract7020109
APA StyleXiu, Y., Cao, K., Ren, X., Chen, B., & Chan, W. K. (2023). Self-Similar Growth and Synergistic Link Prediction in Technology-Convergence Networks: The Case of Intelligent Transportation Systems. Fractal and Fractional, 7(2), 109. https://doi.org/10.3390/fractalfract7020109

