Multifractal Characteristics of Smooth Blasting Overbreak in Extra-Long Hard Rock Tunnel
Abstract
:1. Introduction
2. Materials and Methods
2.1. Overview of the Tunnel Project
2.1.1. Tunnel Project Introduction
2.1.2. Original Tunnel Excavation Design
2.2. Optimization of Tunnel Smooth Blasting
2.2.1. Spaced Decoupled Charge Blasting
- Blasting equipment
- 2.
- Parameters of hole arrangement
- 3.
- Charge structure
2.2.2. Bidirectional Shaped Charge Blasting
- 1.
- Peripheral hole parameters
- 2.
- Charge structure
2.3. Tunnel Profile Measurement
2.4. Multifractal Detrended Fluctuation Analysis Methodology
3. Results and Discussion
3.1. Analysis of the Optimized Effect of Tunnel Smooth Blasting
3.1.1. Smooth Blasting with Spaced Decoupled Charge
3.1.2. Smooth Blasting with Bidirectional Shaped Charge
3.1.3. Overbreak and Underbreak of Tunnel Profile of Smooth Blasting
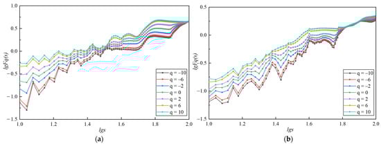
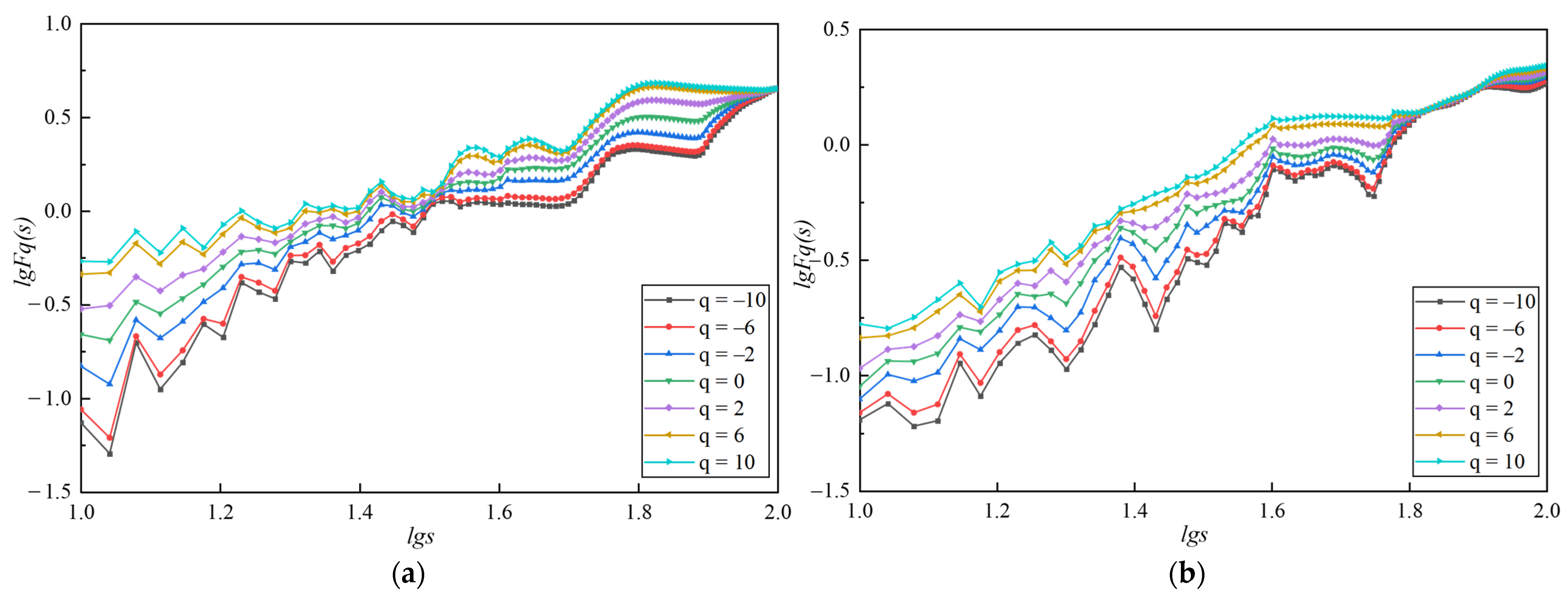
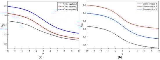
3.2. Multifractal Characteristics of Tunnel Profile Overbreak
3.2.1. MF-DFA Key Parameters Determination
3.2.2. Multifractal Characterization of Overbreak Section Profile
4. Conclusions
- The peripheral hole charging structure and blasting parameters are improved and optimized to enhance the effect of tunnel smooth blasting. The implementation of the bidirectional shaped charge significantly improves the smooth blasting effect. After blasting, the tunnel excavation contour line becomes flat, and the half-hole trace marks on the tunnel wall become more distinct. In comparison to spaced decoupled charging blasting, the smooth blasting effect with a bidirectional shaped charge is notably superior.
- The laser profiler is utilized to measure the actual excavation contour line of the tunnel section, obtaining specific data on overbreak and underbreak. A further quantitative comparison of the optimization effect of smooth blasting parameters is conducted. It is observed that the overbreak and underbreak value of each area of the tunnel section after bidirectional shaped charge blasting does not differ significantly, and the smooth blasting effect is evidently better than that of spaced decoupled charge blasting.
- MF-DFA is employed to analyze the multifractal features of the overbreak point sequences of the tunnel profile under different smooth blasting plans. It is concluded that both spaced decoupled charge and bidirectional shaped charge blasting result in measurement point sequences with multifractal features in the overbreak area. The statistical calculation results of the multifractal features of the tunnel profile under different smooth blasting plans align more closely with the actual situation.
Author Contributions
Funding
Data Availability Statement
Acknowledgments
Conflicts of Interest
References
- Cui, P.; Ge, Y.; Li, S.; Li, Z.; Xu, X.; Zhou, G.G.; Chen, H.; Wang, H.; Lei, Y.; Zhou, L.; et al. Scientific challenges in disaster risk reduction for the Sichuan-Tibet Railway. Eng. Geol. 2022, 309, 106837. [Google Scholar] [CrossRef]
- Lv, Y.; Jiang, Y.; Hu, W.; Cao, M.; Mao, Y. A review of the effects of tunnel excavation on the hydrology, ecology, and environment in karst areas: Current status, challenges, and perspectives. J. Hydrol. 2020, 586, 124891. [Google Scholar] [CrossRef]
- Liu, X.; Tao, T.; Tian, X.; Luo, Q.; Xie, C. Layout method and numerical simulation study of reduced-hole blasting in large-section tunnels. Front. Earth Sci. 2022, 10, 976419. [Google Scholar] [CrossRef]
- Zhou, P.; Li, J.; Jiang, Y.; Zhou, F.; Lin, M.; Lin, J.; Wang, Z. Damage mechanism of tunnels in the high-content salt rock stratum. Bull. Eng. Geol. Environ. 2021, 80, 7633–7652. [Google Scholar] [CrossRef]
- Yan, P.; Lu, W.; Chen, M.; Hu, Y.; Zhou, C.; Wu, X. Contributions of In-Situ Stress Transient Redistribution to Blasting Excavation Damage Zone of Deep Tunnels. Rock Mech. Rock Eng. 2015, 48, 715–726. [Google Scholar] [CrossRef]
- Wang, S.; Tang, Y.; Li, X.; Du, K. Analyses and predictions of rock cuttabilities under different confining stresses and rock properties based on rock indentation tests by conical pick. Trans. Nonferrous Met. Soc. 2021, 31, 1766–1783. [Google Scholar] [CrossRef]
- Hu, Y.; Lu, W.; Chen, M.; Yan, P.; Yang, J. Comparison of Blast-Induced Damage between Presplit and Smooth Blasting of High Rock Slope. Rock Mech. Rock Eng. 2014, 47, 1307–1320. [Google Scholar] [CrossRef]
- Wang, S.; Li, X.; Yao, J.; Gong, F.; Li, X.; Du, K.; Tao, M.; Huang, L.; Du, S. Experimental investigation of rock breakage by a conical pick and its application to non-explosive mechanized mining in deep hard rock. Int. J. Rock Mech. Min. Sci. 2019, 122, 104063. [Google Scholar] [CrossRef]
- Li, C.; Yang, R.; Wang, Y.; Kang, Y.; Zhang, Y. Theory and numerical simulation of deep hole cut blasting based on dispersed charge and staged detonation. Int. J. Rock Mech. Min. Sci. 2023, 169, 105453. [Google Scholar] [CrossRef]
- Yilmaz, O.; Unlu, T. An application of the modified Holmberg-Persson approach for tunnel blasting design. Tunn. Undergr. Space Technol. 2014, 43, 113–122. [Google Scholar] [CrossRef]
- Monjezi, M.; Dehghani, H. Evaluation of effect of blasting pattern parameters on back break using neural networks. Int. J. Rock Mech. Min. Sci. 2008, 45, 1446–1453. [Google Scholar] [CrossRef]
- Mahdevari, S.; Haghighat, H.S.; Torabi, S.R. A dynamically approach based on SVM algorithm for prediction of tunnel convergence during excavation. Tunn. Undergr. Space Technol. 2013, 38, 59–68. [Google Scholar] [CrossRef]
- Oggeri, C.; Ova, G. Quality in tunnelling: ITA-AITES Working Group 16 Final Report. Tunn. Undergr. Space Technol. 2004, 19, 239–272. [Google Scholar] [CrossRef]
- Hamdi, E.; Romdhane, N.B.; Le Cléac’h, J.M. A tensile damage model for rocks: Application to blast induced damage assessment. Comput. Geotech. 2011, 38, 133–141. [Google Scholar] [CrossRef]
- Garcia Bastante, F.; Alejano, L.; Gonzalez-Cao, J. Predicting the extent of blast-induced damage in rock masses. Int. J. Rock Mech. Min. Sci. 2012, 56, 44–53. [Google Scholar] [CrossRef]
- Xia, X.; Li, H.B.; Li, J.C.; Liu, B.; Yu, C. A case study on rock damage prediction and control method for underground tunnels subjected to adjacent excavation blasting. Tunn. Undergr. Space Technol. 2013, 35, 1–7. [Google Scholar] [CrossRef]
- Costamagna, E.; Oggeri, C.; Segarra, P.; Castedo, R.; Navarro, J. Assessment of contour profile quality in D&B tunnelling. Tunn. Undergr. Space Technol. 2018, 75, 67–80. [Google Scholar] [CrossRef]
- Fodera, G.M.; Voza, A.; Barovero, G.; Tinti, F.; Boldini, D. Factors influencing overbreak volumes in drill-and-blast tunnel excavation. A statistical analysis applied to the case study of the Brenner Base Tunnel—BBT. Tunn. Undergr. Space Technol. 2020, 105, 103475. [Google Scholar] [CrossRef]
- Singh, S.P.; Xavier, P. Causes, impact and control of overbreak in underground excavations. Tunn. Undergr. Space Technol. 2005, 20, 63–71. [Google Scholar] [CrossRef]
- Habib, K.; Shnorhokian, S.; Mitri, H. Evaluating the Application of Rock Breakage without Explosives in Underground Construction-A Critical Review of Chemical Demolition Agents. Minerals 2022, 12, 220. [Google Scholar] [CrossRef]
- Liu, D.; Tang, Y.; Cai, C.; Jian, Y. A Rock Fracturing Method Using High-Pressure Gas Expansion: Case Study on Its Application in Hangzhou-Lin’an Intercity Railway. Adv. Civ. Eng. 2021, 2021, 6654471. [Google Scholar] [CrossRef]
- Zare, S.; Bruland, A. Comparison of tunnel blast design models. Tunn. Undergr. Space Technol. 2006, 21, 533–541. [Google Scholar] [CrossRef]
- Kim, Y.; Moon, H. Application of the guideline for overbreak control in granitic rock masses in Korean tunnels. Tunn. Undergr. Space Technol. 2013, 35, 67–77. [Google Scholar] [CrossRef]
- Chen, Y.; Chen, S.; Wu, Z.; Dai, B.; Xv, L.; Wu, G. Optimization of Genetic Algorithm through Use of Back Propagation Neural Network in Forecasting Smooth Wall Blasting Parameters. Mathematics 2022, 10, 1271. [Google Scholar] [CrossRef]
- Liu, K.; Liu, B. Optimization of smooth blasting parameters for mountain tunnel construction with specified control indices based on a GA and ISVR coupling algorithm. Tunn. Undergr. Space Technol. 2017, 70, 363–374. [Google Scholar] [CrossRef]
- Khandelwal, M.; Monjezi, M. Prediction of Backbreak in Open-Pit Blasting Operations Using the Machine Learning Method. Rock Mech. Rock Eng. 2013, 46, 389–396. [Google Scholar] [CrossRef]
- Zou, B.; Wang, J.; Luo, Z.; Hu, L. Intelligent Control of Smooth Blasting Quality in Rock Tunnels Using BP-ANN, ENN, and ANFIS. Geofluids 2021, 2021, 6612824. [Google Scholar] [CrossRef]
- Jang, H.; Topal, E. Optimizing overbreak prediction based on geological parameters comparing multiple regression analysis and artificial neural network. Tunn. Undergr. Space Technol. 2013, 38, 161–169. [Google Scholar] [CrossRef]
- Ma, C.; Xie, W.; Liu, Z.; Li, Q.; Xu, J.; Tan, G. A New Technology for Smooth Blasting without Detonating Cord for Rock Tunnel Excavation. Appl. Sci. 2020, 10, 6764. [Google Scholar] [CrossRef]
- Pan, C.; Xie, L.; Li, X.; Liu, K.; Gao, P.; Tian, L. Numerical investigation of effect of eccentric decoupled charge structure on blasting-induced rock damage. J. Cent. South Univ. 2022, 29, 663–679. [Google Scholar] [CrossRef]
- Huo, X.; Shi, X.; Qiu, X.; Zhou, J.; Gou, Y.; Yu, Z.; Ke, W. Rock damage control for large-diameter-hole lateral blasting excavation based on charge structure optimization. Tunn. Undergr. Space Technol. 2020, 106, 103569. [Google Scholar] [CrossRef]
- Ji, L.; Zhou, C.; Lu, S.; Jiang, N.; Gutierrez, M. Numerical Studies on the Cumulative Damage Effects and Safety Criterion of a Large Cross-section Tunnel Induced by Single and Multiple Full-Scale Blasting. Rock Mech. Rock Eng. 2021, 54, 6393–6411. [Google Scholar] [CrossRef]
- Zou, B.; Xu, Z.; Wang, J.; Luo, Z.; Hu, L. Numerical Investigation on Influential Factors for Quality of Smooth Blasting in Rock Tunnels. Adv. Civ. Eng. 2020, 2020, 9854313. [Google Scholar] [CrossRef]
- Cho, S.H.; Nakamura, Y.; Mohanty, B.; Yang, H.; Kaneko, K. Numerical study of fracture plane control in laboratory-scale blasting. Eng. Fract. Mech. 2008, 75, 3966–3984. [Google Scholar] [CrossRef]
- Zhu, Z. Numerical prediction of crater blasting and bench blasting. Int. J. Rock Mech. Min. Sci. 2009, 46, 1088–1096. [Google Scholar] [CrossRef]
- Wang, Z.; Wang, H.; Wang, J.; Tian, N. Finite element analyses of constitutive models performance in the simulation of blast-induced rock cracks. Comput. Geotech. 2021, 135, 104172. [Google Scholar] [CrossRef]
- Nasseri, M.H.B.; Rezanezhad, F.; Young, R.P. Analysis of fracture damage zone in anisotropic granitic rock using 3D X-ray CT scanning techniques. Int. J. Fract. 2011, 168, 1–13. [Google Scholar] [CrossRef]
- Fekete, S.; Diederichs, M.; Lato, M. Geotechnical and operational applications for 3-dimensional laser scanning in drill and blast tunnels. Tunn. Undergr. Space Technol. 2010, 25, 614–628. [Google Scholar] [CrossRef]
- Sun, S.; Li, S.; Li, L.; Shi, S.; Liu, H.; Hu, J.; Zhou, S. Structural planes surveying and fractal dimension characteristics of tunnel face based on digital photogrammetry. Arab. J. Geosci. 2018, 11, 622. [Google Scholar] [CrossRef]
- Kim, Y.; Bruland, A. A study on the establishment of Tunnel Contour Quality Index considering construction cost. Tunn. Undergr. Space Technol. 2015, 50, 218–225. [Google Scholar] [CrossRef]
- Grassberger, P. Generalized dimensions of strange attractors. Phys. Lett. A 1983, 97, 227–230. [Google Scholar] [CrossRef]
- Kantelhardt, J.W.; Zschiegner, S.A.; Koscielny-Bunde, E.; Havlin, S.; Bunde, A.; Stanley, H.E. Multifractal detrended fluctuation analysis of nonstationary time series. Phys. A 2002, 316, 87–114. [Google Scholar] [CrossRef]
- Liu, J.; Li, Q.; Wang, X.; Wang, Z.; Lu, S.; Sa, Z.; Wang, H. Dynamic multifractal characteristics of acoustic emission about composite coal-rock samples with different strength rock. Chaos Solitons Fract. 2022, 164, 112725. [Google Scholar] [CrossRef]
- Lopes, R.; Betrouni, N. Fractal and multifractal analysis: A review. Med. Image Anal. 2009, 13, 634–649. [Google Scholar] [CrossRef] [PubMed]
- Ehlen, J. Fractal analysis of joint patterns in granite. Int. J. Rock Mech. Min. Sci. 2000, 37, 909–922. [Google Scholar] [CrossRef]
- Nayak, S.R.; Mishra, J.; Palai, G. Analysing roughness of surface through fractal dimension: A review. Image Vis. Comput. 2019, 89, 21–34. [Google Scholar] [CrossRef]
- Li, W.; Zhao, H.; Wu, H.; Wang, L.; Sun, W.; Ling, X. A novel approach of two-dimensional representation of rock fracture network characterization and connectivity analysis. J. Pet. Sci. Eng. 2020, 184, 106507. [Google Scholar] [CrossRef]
- Xie, X.; Li, S.; Guo, J. Study on Multiple Fractal Analysis and Response Characteristics of Acoustic Emission Signals from Goaf Rock Bodies. Sensors 2022, 22, 2746. [Google Scholar] [CrossRef]
- Zhang, Q.; Shen, Y.; Pei, Y.; Wang, X.; Wang, M.; Lai, J. Determination of Integrity Index Kv. in CHN-BQ Method by BP Neural Network Based on Fractal Dimension D. Fractal Fract. 2023, 7, 546. [Google Scholar] [CrossRef]
- Zhao, Y.; Feng, Z.; Yang, D.; Liang, W.; Feng, Z. Three-dimensional fractal distribution of the number of rock-mass fracture surfaces and its simulation technology. Comput. Geotech. 2015, 65, 136–146. [Google Scholar] [CrossRef]
- Yin, Y.; Wang, J.; Zou, B.; Zhang, J.; Su, Y.; Sun, Q. Evaluation of Controlled Blasting Quality for Rock-Mass Tunneling Based on Multiple Indices. J. Constr. Eng. Manag. 2023, 149, 04022155. [Google Scholar] [CrossRef]
- Li, X.; Liu, K.; Sha, Y.; Yang, J.; Ma, S.; Hong, Z. Investigation on radial fracturing around borehole under combined static stress and blasting. Theor. Appl. Fract. Mech. 2023, 127, 104038. [Google Scholar] [CrossRef]
- Ren, F.; Zhu, C.; He, M.; Shang, J.; Feng, G.; Bai, J. Characteristics and Precursor of Static and Dynamic Triggered Rockburst: Insight from Multifractal. Rock Mech. Rock Eng. 2023, 56, 1945–1967. [Google Scholar] [CrossRef]
- Dimitrakopoulos, R.; Scott, J.; Li, S. Multi-fractal conditional simulation of fault populations in coal seams using analogues: Method and application. Int. J. Min. Reclam. Environ. 2019, 33, 340–352. [Google Scholar] [CrossRef]
- Ma, L.H.; Jiang, X.; Chen, J.; Zhao, Y.; Liu, R.; Ren, S. Analysis of Damages in Layered Surrounding Rocks Induced by Blasting During Tunnel Construction. Int. J. Struct. Stab. Dyn. 2021, 21, 2150089. [Google Scholar] [CrossRef]
- Liu, D.; Zhang, J.; Tang, Y.; Jian, Y.; Cai, C. Damage Analysis of Concrete Structure under Multidirectional Shaped Charge Blasting Using Model Experiment and Ultrasonic Testing. Adv. Civ. Eng. 2021, 2021, 6677041. [Google Scholar] [CrossRef]
- Chen, W.; Ma, H.; Shen, Z.; Wang, D. Experiment research on the rock blasting effect with radial jet cracker. Tunn. Undergr. Space Technol. 2015, 49, 249–252. [Google Scholar] [CrossRef]
- Kong, X.; Wang, E.; Hu, S.; Shen, R.; Li, X.; Zhan, T. Fractal characteristics and acoustic emission of coal containing methane in triaxial compression failure. J. Appl. Geophys. 2016, 124, 139–147. [Google Scholar] [CrossRef]
- Kong, X.; Wang, E.; He, X.; Li, Z.; Li, D.; Liu, Q. Multifractal characteristics and acoustic emission of coal with joints under uniaxial loading. Fractals 2017, 25, 1750045. [Google Scholar] [CrossRef]
- Kong, B.; Wang, E.; Li, Z.; Lu, W. Study on the feature of electromagnetic radiation under coal oxidation and temperature rise based on multifractal theory. Fractals 2019, 27, 1950038. [Google Scholar] [CrossRef]
















| Specimen Number | Specimen 1 | Specimen 2 | Specimen 3 | Specimen 4 | Average Value |
|---|---|---|---|---|---|
| Compressive strength | 106.0 MPa | 119.1 MPa | 129.1 MPa | 120.3 MPa | 118.6 MPa |
| Event | Blasthole Depth (m) | Number of Holes | Number of Rolls per Hole (Rolls/Hole) | Charge of Single Hole (kg/Hole) | Subtotal Dosage (kg) | Total Number of Holes | Total Amount of Explosives (kg) |
|---|---|---|---|---|---|---|---|
| Cut hole | 4.4 | 34 | 14.5 | 2.9 | 98.6 | 252 | 437.1 |
| Auxiliary hole | 4.2 | 139 | 10 | 2 | 278 | ||
| Peripheral hole | 4.2 | 65 | 2.5 | 0.5 | 32.5 | ||
| Floor hole | 4.2 | 14 | 10 | 2 | 28 |
| Sports Event | Spaced Decoupled Charge Smooth Blasting | Bidirectional Shaped Charge BSmooth Blasting | Efficiencies |
|---|---|---|---|
| Number of smooth holes | 65 | 51 | Decrease 21.5% |
| Semi-porous trace rate/% | 56 | 89 | Increase 59.9% |
| Peripheral hole explosives/kg | 32.5 | 30.6 | Decrease 5.8% |
| Maximum unevenness/cm | 30 | 10 | Decrease 66.7% |
| Amount of concrete m3/m | 13.01 | 4.61 | Decrease 64.6% |
| Cross-Section | Cross-Section 1 | Cross-Section 2 | Cross-Section 3 | Cross-Section 4 | Cross-Section 5 | Cross-Section 6 | |
|---|---|---|---|---|---|---|---|
| Index | |||||||
| 0.559 | 0.695 | 0.746 | 0.734 | 0.737 | 0.818 | ||
| 0.133 | 0.196 | 0.137 | 0.222 | 0.292 | 0.644 | ||
Disclaimer/Publisher’s Note: The statements, opinions and data contained in all publications are solely those of the individual author(s) and contributor(s) and not of MDPI and/or the editor(s). MDPI and/or the editor(s) disclaim responsibility for any injury to people or property resulting from any ideas, methods, instructions or products referred to in the content. |
© 2023 by the authors. Licensee MDPI, Basel, Switzerland. This article is an open access article distributed under the terms and conditions of the Creative Commons Attribution (CC BY) license (https://creativecommons.org/licenses/by/4.0/).
Share and Cite
Zhang, W.; Liu, D.; Tang, Y.; Qiu, W.; Zhang, R. Multifractal Characteristics of Smooth Blasting Overbreak in Extra-Long Hard Rock Tunnel. Fractal Fract. 2023, 7, 842. https://doi.org/10.3390/fractalfract7120842
Zhang W, Liu D, Tang Y, Qiu W, Zhang R. Multifractal Characteristics of Smooth Blasting Overbreak in Extra-Long Hard Rock Tunnel. Fractal and Fractional. 2023; 7(12):842. https://doi.org/10.3390/fractalfract7120842
Chicago/Turabian StyleZhang, Wanmao, Dunwen Liu, Yu Tang, Weichao Qiu, and Ruiping Zhang. 2023. "Multifractal Characteristics of Smooth Blasting Overbreak in Extra-Long Hard Rock Tunnel" Fractal and Fractional 7, no. 12: 842. https://doi.org/10.3390/fractalfract7120842
APA StyleZhang, W., Liu, D., Tang, Y., Qiu, W., & Zhang, R. (2023). Multifractal Characteristics of Smooth Blasting Overbreak in Extra-Long Hard Rock Tunnel. Fractal and Fractional, 7(12), 842. https://doi.org/10.3390/fractalfract7120842

