Finite Difference–Collocation Method for the Generalized Fractional Diffusion Equation
Abstract
:1. Introduction
2. Preliminaries of Fractional Calculus and Jacobi Polynomials
2.1. Generalized Fractional Calculus
2.2. Jacobi Polynomials
3. Numerical Scheme and Stability Analysis
3.1. Discretization in the Time Direction
3.2. Approximation in Space Direction
4. Error and Convergence Analysis
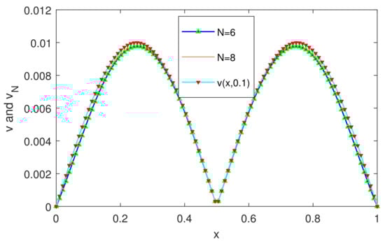
5. Numerical Results
6. Conclusions
Author Contributions
Funding
Data Availability Statement
Acknowledgments
Conflicts of Interest
References
- Podlubny, I. Fractional Differential Equations: An Introduction to Fractional Derivatives, Fractional Differential Equations, to Methods of Their Solution and Some of Their Applications; Elsevier: Amsterdam, The Netherlands, 1998. [Google Scholar]
- McBride, A. V. Kiryakova Generalized fractional calculus and applications (Pitman Research Notes in Mathematics Vol. 301, Longman1994), 388 pp., 0 582 21977 9,£ 39. Proc. Edinb. Math. Soc. 1995, 38, 189–190. [Google Scholar] [CrossRef] [Green Version]
- Podlubny, I. An introduction to fractional derivatives, fractional differential equations, methods of their solution and some of their applications. Math. Sci. Eng. 1999, 198, 340. [Google Scholar]
- Miller, K.S.; Ross, B. An Introduction to the Fractional Calculus and Fractional Differential Equations; Wiley: Hoboken, NJ, USA, 1993. [Google Scholar]
- Cattani, C.; Srivastava, H.M.; Yang, X.J. Fractional Dynamics; De Gruyter Open: Warsaw, Poland, 2016. [Google Scholar]
- Hilfer, R. Applications of Fractional Calculus in Physics; World Scientific: Singapore, 2000. [Google Scholar]
- Hassani, H.; Avazzadeh, Z.; Machado, J.A.T. Solving two-dimensional variable-order fractional optimal control problems with transcendental Bernstein series. J. Comput. Nonlinear Dyn. 2019, 14, 061001. [Google Scholar] [CrossRef]
- Li, X.; Chen, X.D.; Chen, N. A third-order approximate solution of the reaction-diffusion process in an immobilized biocatalyst particle. Biochem. Eng. J. 2004, 17, 65–69. [Google Scholar] [CrossRef]
- Magin, R. Fractional calculus in bioengineering, part 1. Crit. Rev. Biomed. Eng. 2004, 32, 1–104. [Google Scholar] [CrossRef] [PubMed] [Green Version]
- Baleanu, D.; Sajjadi, S.S.; Jajarmi, A.; Asad, J.H. New features of the fractional Euler–Lagrange equations for a physical system within a non-singular derivative operator. Eur. Phys. J. Plus 2019, 134, 181. [Google Scholar] [CrossRef]
- Bagley, R.L.; Torvik, P. A theoretical basis for the application of fractional calculus to viscoelasticity. J. Rheol. 1983, 27, 201–210. [Google Scholar] [CrossRef]
- Carpinteri, A.; Mainardi, F. Fractals and Fractional Calculus in Continuum Mechanics; Springer: Berlin/Heidelberg, Germany, 2014; Volume 378. [Google Scholar]
- Shukla, A.K.; Pandey, R.K.; Pachori, R.B. A fractional filter based efficient algorithm for retinal blood vessel segmentation. Biomed. Signal Process. Control 2020, 59, 101883. [Google Scholar] [CrossRef]
- Agrawal, O.P. Some generalized fractional calculus operators and their applications in integral equations. Fract. Calc. Appl. Anal. 2012, 15, 700–711. [Google Scholar] [CrossRef]
- Xu, Y.; Agrawal, O.P. Numerical solutions and analysis of diffusion for new generalized fractional Burgers equation. Fract. Calc. Appl. Anal. 2013, 16, 709–736. [Google Scholar] [CrossRef]
- Xu, Y.; He, Z.; Xu, Q. Numerical solutions of fractional advection–diffusion equations with a kind of new generalized fractional derivative. Int. J. Comput. Math. 2014, 91, 588–600. [Google Scholar] [CrossRef]
- Kumar, K.; Pandey, R.K.; Sharma, S.; Xu, Y. Numerical scheme with convergence for a generalized time-fractional Telegraph-type equation. Numer. Methods Partial Differ. Equ. 2019, 35, 1164–1183. [Google Scholar] [CrossRef]
- Yadav, S.; Pandey, R.K.; Shukla, A.K.; Kumar, K. High-order approximation for generalized fractional derivative and its application. Int. J. Numer. Methods Heat Fluid Flow 2019, 29, 3515–3534. [Google Scholar] [CrossRef]
- Kumar, K.; Pandey, R.K.; Sultana, F. Numerical schemes with convergence for generalized fractional integro-differential equations. J. Comput. Appl. Math. 2021, 388, 113318. [Google Scholar] [CrossRef]
- Kumari, S.; Pandey, R.K. High-order approximation to generalized Caputo derivatives and generalized fractional advection-diffusion equations. arXiv 2022, arXiv:2206.04033. [Google Scholar]
- Li, X.; Wong, P.J. A gWSGL numerical scheme for generalized fractional sub-diffusion problems. Commun. Nonlinear Sci. Numer. Simul. 2020, 82, 104991. [Google Scholar] [CrossRef]
- Heydari, M.; Atangana, A.; Avazzadeh, Z.; Mahmoudi, M. An operational matrix method for nonlinear variable-order time fractional reaction-diffusion equation involving Mittag–Leffler kernel. Eur. Phys. J. Plus 2020, 135, 237. [Google Scholar] [CrossRef]
- Duan, X.; Leng, J.; Cattani, C.; Li, C. A shannon-runge-kutta-gill method for convection-diffusion equations. Math. Probl. Eng. 2013, 2013, 163734. [Google Scholar] [CrossRef]
- Bhrawy, A.H.; Baleanu, D.; Mallawi, F. A new numerical technique for solving fractional sub-diffusion and reaction sub-diffusion equations with a nonlinear source term. Therm. Sci. 2015, 19, S25–S34. [Google Scholar] [CrossRef]
- Lin, Y.; Xu, C. Finite difference/spectral approximations for the time-fractional diffusion equation. J. Comput. Phys. 2007, 225, 1533–1552. [Google Scholar] [CrossRef]
- Murio, D.A. Implicit finite difference approximation for time-fractional diffusion equations. Comput. Math. Appl. 2008, 56, 1138–1145. [Google Scholar] [CrossRef]
- Sweilam, N.; Khader, M.; Mahdy, A. Crank-Nicolson finite difference method for solving time-fractional diffusion equation. J. Fract. Calc. Appl. 2012, 2, 1–9. [Google Scholar]
- Luchko, Y. Initial-boundary-value problems for the generalized multi-term time-fractional diffusion equation. J. Math. Anal. Appl. 2011, 374, 538–548. [Google Scholar] [CrossRef] [Green Version]
- Dubey, V.P.; Kumar, R.; Kumar, D.; Khan, I.; Singh, J. An efficient computational scheme for nonlinear time-fractional systems of partial differential equations arising in physical sciences. Adv. Differ. Equ. 2020, 2020, 46. [Google Scholar] [CrossRef]
- Oldham, K.; Spanier, J. The Fractional Calculus Theory and Applications of Differentiation and Integration to Arbitrary Order; Elsevier: Amsterdam, The Netherlands, 1974. [Google Scholar]
- Askey, R.; Wilson, J.A. Some Basic Hypergeometric Orthogonal Polynomials that Generalize Jacobi Polynomials; American Mathematical Soc.: Providence, RI, USA, 1985; Volume 319. [Google Scholar]
- Cao, W.; Xu, Y.; Zheng, Z. Finite difference/collocation method for a generalized time-fractional KDV equation. Appl. Sci. 2018, 8, 42. [Google Scholar] [CrossRef] [Green Version]
- Bellomo, N.; Lods, B.; Revelli, R.; Ridolfi, L. Generalized Collocation Methods: Solutions to Nonlinear Problems; Springer Science & Business Media: Berlin/Heidelberg, Germany, 2007. [Google Scholar]
- Pirkhedri, A.; Javadi, H.H.S. Solving the time-fractional diffusion equation via Sinc–Haar collocation method. Appl. Math. Comput. 2015, 257, 317–326. [Google Scholar] [CrossRef]
- Saadatmandi, A.; Dehghan, M.; Azizi, M.R. The Sinc–Legendre collocation method for a class of fractional convection-diffusion equations with variable coefficients. Commun. Nonlinear Sci. Numer. Simul. 2012, 17, 4125–4136. [Google Scholar] [CrossRef]
- Momani, S. An analytical approximate solution for fractional heat-like and wave-like equations with variable coefficients using the decomposition method. Appl. Math. Comput. 2005, 165, 459–472. [Google Scholar] [CrossRef]
- Molliq, Y.; Noorani, M.S.M.; Hashim, I. Variational iteration method for fractional heat-and wave-like equations. Nonlinear Anal. Real World Appl. 2009, 10, 1854–1869. [Google Scholar] [CrossRef]
- Chen, R.; Liu, F.; Anh, V. Numerical methods and analysis for a multi-term time-space variable-order fractional advection–diffusion equations and applications. J. Comput. Appl. Math. 2019, 352, 437–452. [Google Scholar] [CrossRef]





| t | x | Method of [35] | Method of [36] | Method of [37] | Present Method |
|---|---|---|---|---|---|
| 0.25 | 0.3 | 8.009 | |||
| . | 0.6 | 1.313 | |||
| . | 0.9 | 6.041 | |||
| 0.5 | 0.3 | 6.342 | |||
| . | 0.6 | 9.543 | |||
| . | 0.9 | 5.315 | |||
| 0.75 | 0.3 | 5.242 | |||
| . | 0.6 | 6.875 | |||
| . | 0.9 | 4.891 | |||
| 1 | 0.3 | 4.349 | |||
| . | 0.6 | 4.802 | |||
| . | 0.9 | 1.048 |
| t | x | Method of [35] | Method of [36] | Method of [37] | Present Method |
|---|---|---|---|---|---|
| 0.25 | 0.3 | 9.795 | |||
| . | 0.6 | 1.543 | |||
| . | 0.9 | 5.303 | |||
| 0.5 | 0.3 | 7.852 | |||
| . | 0.6 | 1.129 | |||
| . | 0.9 | 9.122 | |||
| 0.75 | 0.3 | 6.677 | |||
| . | 0.6 | 9.517 | |||
| . | 0.9 | 5.475 | |||
| 1 | 0.3 | 5.719 | |||
| . | 0.6 | 6.471 | |||
| . | 0.9 | 1.964 |
| MAE | CO | MAE of PM | CO | MAE of PM | CO | |
| 50 | ⋯ | ⋯ | ⋯ | |||
| 100 | ||||||
| 200 | ||||||
| 400 | ||||||
| 800 |
| 0.1 | ||||||
| 0.2 | ||||||
| 0.3 | ||||||
| 0.4 | ||||||
| 0.5 | ||||||
| 0.6 | ||||||
| 0.7 | ||||||
| 0.8 | ||||||
| 0.9 |
| 0.1 | ||||||
| 0.2 | ||||||
| 0.3 | ||||||
| 0.4 | ||||||
| 0.5 | ||||||
| 0.6 | ||||||
| 0.7 | ||||||
| 0.8 | ||||||
| 0.9 |
| MAE | CO | MAE of PM | CO | MAE of PM | CO | |
| 50 | ⋯ | ⋯ | ||||
| 100 | ||||||
| 200 | ||||||
| 400 | ||||||
| 800 |
| Present Method | Method [34] | |
|---|---|---|
| 2 | ||
| 4 | ||
| 6 | ||
| 8 | ||
| 10 | ||
| 12 | ||
| 14 | ||
| 16 |
Publisher’s Note: MDPI stays neutral with regard to jurisdictional claims in published maps and institutional affiliations. |
© 2022 by the authors. Licensee MDPI, Basel, Switzerland. This article is an open access article distributed under the terms and conditions of the Creative Commons Attribution (CC BY) license (https://creativecommons.org/licenses/by/4.0/).
Share and Cite
Kumar, S.; Pandey, R.K.; Kumar, K.; Kamal, S.; Dinh, T.N. Finite Difference–Collocation Method for the Generalized Fractional Diffusion Equation. Fractal Fract. 2022, 6, 387. https://doi.org/10.3390/fractalfract6070387
Kumar S, Pandey RK, Kumar K, Kamal S, Dinh TN. Finite Difference–Collocation Method for the Generalized Fractional Diffusion Equation. Fractal and Fractional. 2022; 6(7):387. https://doi.org/10.3390/fractalfract6070387
Chicago/Turabian StyleKumar, Sandeep, Rajesh K. Pandey, Kamlesh Kumar, Shyam Kamal, and Thach Ngoc Dinh. 2022. "Finite Difference–Collocation Method for the Generalized Fractional Diffusion Equation" Fractal and Fractional 6, no. 7: 387. https://doi.org/10.3390/fractalfract6070387
APA StyleKumar, S., Pandey, R. K., Kumar, K., Kamal, S., & Dinh, T. N. (2022). Finite Difference–Collocation Method for the Generalized Fractional Diffusion Equation. Fractal and Fractional, 6(7), 387. https://doi.org/10.3390/fractalfract6070387

