Reduced-Order Legendre–Galerkin Extrapolation Method with Scalar Auxiliary Variable for Time-Fractional Allen–Cahn Equation
Abstract
1. Introduction
- We propose, for the first time, a ROLGE-SAV method for the tFAC equation. The framework integrates:
- –
- The SAV method for linearizing the nonlinear term and ensuring unconditional energy stability.
- –
- A LG spectral method for high-resolution spatial discretization.
- We develop a computationally efficient POD-based reduced-order algorithm that fundamentally avoids the redundancy common in conventional approaches. Instead of collecting snapshots over the entire time domain , our algorithm constructs the POD basis using solutions from only a short initial interval (with ). The ROLGE-SFTR-SAV is then employed to extrapolate the solution efficiently over the extended interval , leading to significant savings in both computation time and storage.
- We establish a complete theoretical foundation, including:
- –
- Proofs of unconditional energy stability for both SFTR-SAV and the LG-SFTR-SAV schemes.
- –
- Detailed error estimates for the SFTR-SAV, LG-SFTR-SAV, and ROLGE-SFTR-SAV models. These estimates provide practical guidance for selecting critical parameters such as the POD basis rank d and the snapshot interval length .
- Extensive experiments are conducted to validate the theory and demonstrate efficiency.
- –
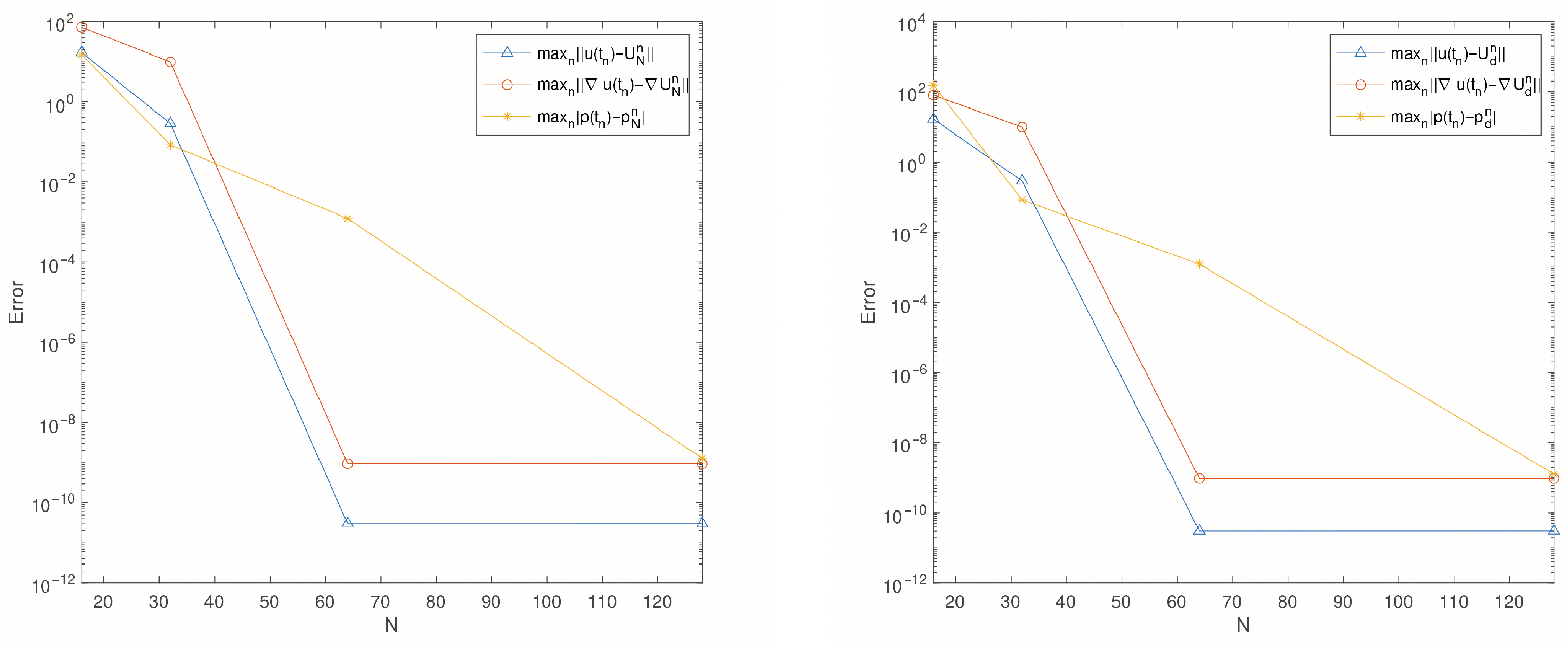
- The scheme achieves second-order temporal convergence and spectral spatial convergence.
- –
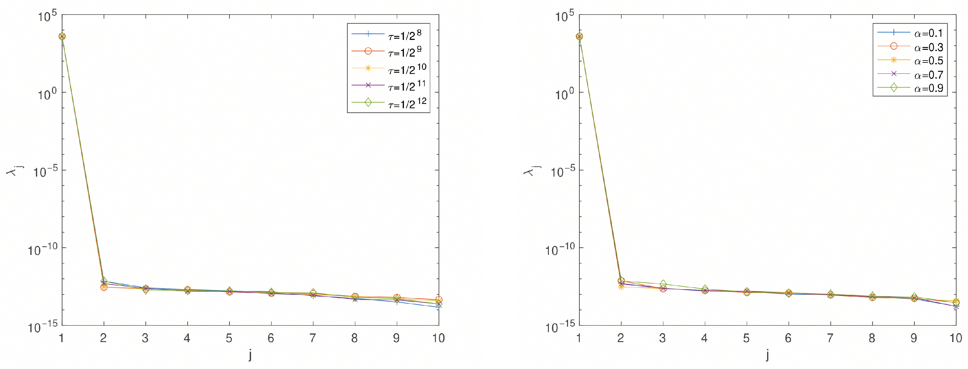
- The POD eigenvalues exhibit rapid exponential decay, justifying the low-dimensional approximation.
- –
- The ROLGE-SFTR-SAV scheme achieves a significant reduction in CPU time compared to the full-order model, while maintaining comparable numerical accuracy.
2. SFTR-SAV Scheme and Error Estimate
2.1. Kernel Properties of the SFTR Formula
- (i)
- and for all .
- (ii)
- for all .
- (iii)
- for any .
- (i)
- and for all ,
- (ii)
- for any .
2.2. Discrete Energy Dissipation Law of the SFTR-SAV Scheme
2.3. Temporal Error Estimate
3. The LG-SFTR-SAV Scheme
Error Analysis of LG-SFTR-SAV Solutions
4. The ROLGE-SFTR-SAV Scheme
4.1. Construct the POD Basis and Establish ROLGE-SFTR-SAV Formulation
4.2. Error Estimates of the ROLGE-SFTR-SAV Solution for tFAC Equation
5. Numerical Tests
6. Conclusions
Author Contributions
Funding
Data Availability Statement
Acknowledgments
Conflicts of Interest
Abbreviations
| POD | proper orthogonal decomposition |
| ROLGE | reduced-order Legendre–Galerkin extrapolation |
| ROLGE-SFTR-SAV | reduced-order LG extrapolation SFTR-SAV model |
References
- Sasso, M.; Palmieri, G.; Amodio, D. Application of fractional derivative models in linear viscoelastic problems. Mech. Time-Depend. Mat. 2011, 15, 367–387. [Google Scholar]
- Zeng, H.; Xie, Z.; Gu, J.; Sun, H. A 1D thermomechanical network transition constitutive model coupled with multiple structural relaxation for shape memory polymers. Smart Mater. Struct. 2018, 27, 035024. [Google Scholar] [CrossRef]
- Liao, G.-K.; Long, Z.; Xu, F.; Liu, W.; Zhang, Z.-Y.; Yang, M. Investigation on the viscoelastic behavior of an fe-base bulk amorphous alloys based on the fractional order rheological model. Acta Phys. Sin. 2015, 64, 136101. [Google Scholar] [CrossRef]
- Zhou, H.; Yang, S. Fractional derivative approach to non-Darcian flow in porous media. J. Hydrol. 2018, 566, 910–918. [Google Scholar] [CrossRef]
- Linchao, L.; Xiao, Y. Analysis of vertical vibrations of a pile in saturated soil described by fractional derivative model. Rock Soil Mech. 2011, 32, 526–532. [Google Scholar]
- Li, B.; Liu, F. Boundary layer flows of viscoelastic fluids over a non-uniform permeable surface. Comput. Math. Appl. 2020, 79, 2376–2387. [Google Scholar] [CrossRef]
- Zeng, H.; Leng, J.; Gu, J.; Yin, C.; Sun, H. Modeling the strain rate-, hold time-, and temperature-dependent cyclic behaviors of amorphous shape memory polymers. Smart Mater. Struct. 2018, 27, 075050. [Google Scholar] [CrossRef]
- Guo, Y.; Azaïez, M.; Xu, C. Error analysis of a reduced order method for the Allen-Cahn equation. Appl. Numer. Math. 2024, 203, 186–201. [Google Scholar] [CrossRef]
- Acosta, G.; Bersetche, F.M. Numerical approximations for a fully fractional Allen–Cahn equation. Math. Model. Numer. Anal. 2021, 55, S3–S28. [Google Scholar] [CrossRef]
- Du, Q.; Yang, J.; Zhou, Z. Time-fractional Allen–Cahn equations: Analysis and numerical methods. J. Sci. Comput. 2020, 85, 42. [Google Scholar]
- Khalid, N.; Abbas, M.; Iqbal, M.K.; Baleanu, D. A numerical investigation of Caputo time fractional Allen–Cahn equation using redefined cubic B-spline functions. Adv. Differ. Equ. 2020, 2020, 158. [Google Scholar]
- Ji, B.; Liao, H.l.; Zhang, L. Simple maximum principle preserving time-stepping methods for time-fractional Allen-Cahn equation. Adv. Comput. Math. 2020, 46, 37. [Google Scholar]
- Liao, H.l.; Tang, T.; Zhou, T. An energy stable and maximum bound preserving scheme with variable time steps for time fractional Allen–Cahn equation. SIAM J. Sci. Comput. 2021, 43, A3503–A3526. [Google Scholar]
- Jiang, H.; Hu, D.; Huang, H.; Liu, H. Linearly Implicit Schemes Preserve the Maximum Bound Principle and Energy Dissipation for the Time-fractional Allen–Cahn Equation. J. Sci. Comput. 2024, 101, 25. [Google Scholar]
- Chen, H.; Sun, H.W. A dimensional splitting exponential time differencing scheme for multidimensional fractional Allen-Cahn equations. J. Sci. Comput. 2021, 87, 30. [Google Scholar] [CrossRef]
- Hou, D.; Zhu, H.; Xu, C. Highly efficient schemes for time-fractional Allen-Cahn equation using extended SAV approach. Numer. Algorithms 2021, 88, 1077–1108. [Google Scholar]
- Yu, Y.; Zhang, J.; Qin, R. The exponential SAV approach for the time-fractional Allen–Cahn and Cahn–Hilliard phase-field models. J. Sci. Comput. 2023, 94, 33. [Google Scholar]
- Zhang, H.; Jiang, X. A high-efficiency second-order numerical scheme for time-fractional phase field models by using extended SAV method. Nonlinear Dyn. 2020, 102, 589–603. [Google Scholar] [CrossRef]
- Shen, J.; Xu, J.; Yang, J. The scalar auxiliary variable (SAV) approach for gradient flows. J. Comput. Phys. 2018, 353, 407–416. [Google Scholar] [CrossRef]
- Zhang, G.; Huang, C.; Alikhanov, A.A.; Yin, B. A high-order discrete energy decay and maximum-principle preserving scheme for time fractional Allen–Cahn equation. J. Sci. Comput. 2023, 96, 39. [Google Scholar]
- Yin, B.; Liu, Y.; Li, H.; Zhang, Z. Efficient shifted fractional trapezoidal rule for subdiffusion problems with nonsmooth solutions on uniform meshes. Bit Numer. Math. 2022, 62, 631–666. [Google Scholar] [CrossRef]
- Yin, B.; Liu, Y.; Li, H. Necessity of introducing non-integer shifted parameters by constructing high accuracy finite difference algorithms for a two-sided space-fractional advection–diffusion model. Appl. Math. Lett. 2020, 105, 106347. [Google Scholar] [CrossRef]
- Volkwein, S. Proper Orthogonal Decomposition: Theory and Reduced-Order Modelling; Lecture Notes; University of Konstanz: Konstanz, Germany, 2013; Volume 4, pp. 1–29. [Google Scholar]
- Li, H.; Song, Z. A reduced-order energy-stability-preserving finite difference iterative scheme based on POD for the Allen-Cahn equation. J. Math. Anal. Appl. 2020, 491, 124245. [Google Scholar] [CrossRef]
- Li, H.; Song, Z. A reduced-order finite element method based on proper orthogonal decomposition for the Allen-Cahn model. J. Math. Anal. Appl. 2021, 500, 125103. [Google Scholar]
- Li, H.; Wang, D.; Song, Z.; Zhang, F. Numerical analysis of an unconditionally energy-stable reduced-order finite element method for the Allen-Cahn phase field model. Comput. Math. Appl. 2021, 96, 67–76. [Google Scholar]
- Song, H.; Jiang, L.; Li, Q. A reduced order method for Allen–Cahn equations. J. Comput. Appl. Math. 2016, 292, 213–229. [Google Scholar] [CrossRef]
- Zhou, X.; Azaiez, M.; Xu, C. Reduced-order modelling for the Allen-Cahn equation based on scalar auxiliary variable approaches. J. Math. Study 2019, 52, 258–276. [Google Scholar] [CrossRef]
- Luo, Z.; Chen, G. Proper Orthogonal Decomposition Methods for Partial Differential Equations; Academic Press: Cambridge, MA, USA, 2018. [Google Scholar]
- Luo, Z. A reduced-order extrapolation algorithm based on SFVE method and POD technique for non-stationary Stokes equations. Appl. Math. Comput. 2014, 247, 976–995. [Google Scholar]
- Luo, Z. A POD-based reduced-order TSCFE extrapolation iterative format for two-dimensional heat equations. Bound. Value Probl. 2015, 2015, 1–15. [Google Scholar]
- Xia, H.; Luo, Z. An optimized finite element extrapolating method for 2D viscoelastic wave equation. J. Inequal. Appl. 2017, 2017, 218. [Google Scholar]
- Luo, Z.; Teng, F. An optimized SPDMFE extrapolation approach based on the POD technique for 2D viscoelastic wave equation. Bound. Value Probl. 2017, 2017, 6. [Google Scholar] [CrossRef]
- Luo, Z.; Teng, F. Reduced-order proper orthogonal decomposition extrapolating finite volume element format for two-dimensional hyperbolic equations. J. Comput. Appl. Math. 2017, 38, 289–310. [Google Scholar] [CrossRef]
- Teng, F.; Luo, Z.; Yang, J. A reduced-order extrapolated natural boundary element method based on POD for the 2D hyperbolic equation in unbounded domain. Math. Methods Appl. Sci. 2019, 42, 4273–4291. [Google Scholar] [CrossRef]
- Luo, Z.; Teng, F.; Chen, J. A POD-based reduced-order Crank–Nicolson finite volume element extrapolating algorithm for 2D Sobolev equations. Math. Comput. Simul. 2018, 146, 118–133. [Google Scholar] [CrossRef]
- Luo, Z. Proper orthogonal decomposition-based reduced-order stabilized mixed finite volume element extrapolating model for the nonstationary incompressible Boussinesq equations. J. Math. Anal. Appl. 2015, 425, 259–280. [Google Scholar] [CrossRef]
- Gunzburger, M.; Jiang, N.; Schneier, M. An ensemble-proper orthogonal decomposition method for the nonstationary Navier–Stokes equations. J. Numer. Anal. 2017, 55, 286–304. [Google Scholar] [CrossRef]
- Adams, R.A.; Fournier, J.J. Sobolev Spaces; Elsevier: Amsterdam, The Netherlands, 2003; Volume 140. [Google Scholar]
- Lubich, C. Discretized fractional calculus. SIAM J. Math. Anal. 1986, 17, 704–719. [Google Scholar] [CrossRef]
- Shen, J.; Xu, J. Convergence and error analysis for the scalar auxiliary variable (SAV) schemes to gradient flows. J. Numer. Anal. 2018, 56, 2895–2912. [Google Scholar] [CrossRef]
- Shen, J.; Tang, T.; Wang, L.L. Spectral Methods: Algorithms, Analysis and Applications; Springer Science & Business Media: Berlin/Heidelberg, Germany, 2011; Volume 41. [Google Scholar]
- Kunisch, K.; Volkwein, S. Galerkin proper orthogonal decomposition methods for a general equation in fluid dynamics. J. Numer. Anal. 2002, 40, 492–515. [Google Scholar] [CrossRef]
- Huang, C.; Li, H.; Yin, B. Reduced-order Legendre-Galerkin extrapolation method based on proper orthogonal decomposition for Allen-Cahn equation. J. Appl. Math. Comput. 2025. submitted. [Google Scholar]


| Rates | Rates | Rates | CPU(s) | |||||
|---|---|---|---|---|---|---|---|---|
| 0.1 | 6.766312 | 8.502820 | 3.298273 | 4.298 | ||||
| 1.692652 | 2.00 | 2.127056 | 2.00 | 8.248303 | 2.00 | 9.831 | ||
| 4.233224 | 2.00 | 5.319684 | 2.00 | 2.062403 | 2.00 | 25.719 | ||
| 0.5 | 4.839621 | 6.081676 | 3.298918 | 4.155 | ||||
| 1.210199 | 2.00 | 1.520789 | 2.00 | 8.249919 | 2.00 | 9.870 | ||
| 3.026003 | 2.00 | 3.802590 | 2.00 | 2.062808 | 2.00 | 25.697 | ||
| 0.9 | 4.552962 | 5.721450 | 3.299014 | 4.418 | ||||
| 1.138514 | 2.00 | 1.430703 | 2.00 | 8.250160 | 2.00 | 9.916 | ||
| 2.846870 | 2.00 | 3.577245 | 2.00 | 2.062867 | 2.00 | 25.365 |
| Rates | Rates | Rates | CPU(s) | |||||
|---|---|---|---|---|---|---|---|---|
| 0.1 | 6.766247 | 8.502718 | 3.298266 | 2.496 | ||||
| 1.692561 | 2.00 | 2.126934 | 2.00 | 8.248300 | 2.00 | 5.645 | ||
| 4.233295 | 2.00 | 5.319630 | 2.00 | 2.062403 | 2.00 | 15.517 | ||
| 0.5 | 4.839613 | 6.081639 | 3.298911 | 2.580 | ||||
| 1.210215 | 2.00 | 1.520801 | 2.00 | 8.249917 | 2.00 | 5.683 | ||
| 3.025812 | 2.00 | 3.802332 | 2.00 | 2.062809 | 2.00 | 15.277 | ||
| 0.9 | 4.552957 | 5.721416 | 3.299007 | 2.594 | ||||
| 1.138505 | 2.00 | 1.430689 | 2.00 | 8.250157 | 2.00 | 5.654 | ||
| 2.846576 | 2.00 | 3.577126 | 2.00 | 2.062868 | 2.00 | 15.303 |
Disclaimer/Publisher’s Note: The statements, opinions and data contained in all publications are solely those of the individual author(s) and contributor(s) and not of MDPI and/or the editor(s). MDPI and/or the editor(s) disclaim responsibility for any injury to people or property resulting from any ideas, methods, instructions or products referred to in the content. |
© 2026 by the authors. Licensee MDPI, Basel, Switzerland. This article is an open access article distributed under the terms and conditions of the Creative Commons Attribution (CC BY) license.
Share and Cite
Huang, C.; Li, H.; Yin, B. Reduced-Order Legendre–Galerkin Extrapolation Method with Scalar Auxiliary Variable for Time-Fractional Allen–Cahn Equation. Fractal Fract. 2026, 10, 83. https://doi.org/10.3390/fractalfract10020083
Huang C, Li H, Yin B. Reduced-Order Legendre–Galerkin Extrapolation Method with Scalar Auxiliary Variable for Time-Fractional Allen–Cahn Equation. Fractal and Fractional. 2026; 10(2):83. https://doi.org/10.3390/fractalfract10020083
Chicago/Turabian StyleHuang, Chunxia, Hong Li, and Baoli Yin. 2026. "Reduced-Order Legendre–Galerkin Extrapolation Method with Scalar Auxiliary Variable for Time-Fractional Allen–Cahn Equation" Fractal and Fractional 10, no. 2: 83. https://doi.org/10.3390/fractalfract10020083
APA StyleHuang, C., Li, H., & Yin, B. (2026). Reduced-Order Legendre–Galerkin Extrapolation Method with Scalar Auxiliary Variable for Time-Fractional Allen–Cahn Equation. Fractal and Fractional, 10(2), 83. https://doi.org/10.3390/fractalfract10020083

