Fractional Bi-Susceptible Approach to COVID-19 Dynamics with Sensitivity and Optimal Control Analysis
Abstract
1. Introduction
2. Coronavirus Disease Modeling
- The susceptible population is categorized into two groups: individuals without underlying health conditions and individuals with underlying health conditions . This distinction reflects different risk levels of infection and disease progression.
- Disease transmission occurs only through effective contact between susceptible individuals and infected individuals. We do not consider any environmental or indirect transmission pathways.
- Infectious individuals with severe symptoms are transferred to the treatment class at a constant rate .
- Individuals in the treatment class either recover and move to the recovered class or leave the population due to natural death .
- Mild or asymptomatic infections are implicitly included in the infected class and are not modeled separately. This will maintain analytical tractability of the model.
- The population is supposed to be homogeneously mixed, meaning every human has an equal probability of contacting others.
- Recruitment into the susceptible classes and occurs at constant rates and , and a constant natural death rate is assumed across all compartments.
- Recovered individuals are assumed to get complete immunity for the duration of the study period, and hence, reinfection is not considered.
- Disease-induced mortality is not explicitly included in the model, as the focus is on treatment dynamics and awareness-related effects rather than fatal outcomes.
- This work offers a theoretical and strategic modeling platform rather than a predictive tool for a specific outbreak in a particular region.
Fractional Formulation
3. Analytical Results with Discussions
3.1. Existence of a Unique Solution
3.2. Essential Model Characteristics
3.3. Equilibrium Points and Threshold Parameter
3.4. Stability Investigations
3.4.1. Analysis of Local Dynamics
3.4.2. Analysis of Global Dynamics
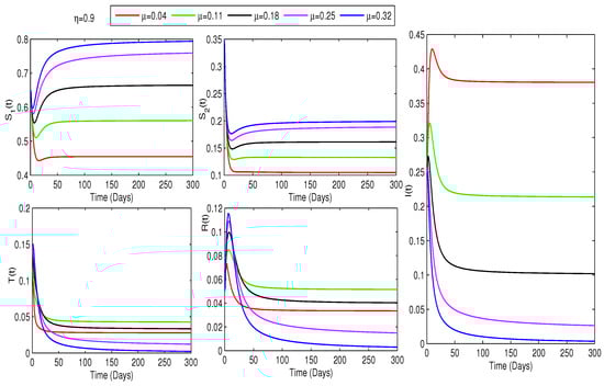
4. Computational Analysis-I
Impact of Time-Invariant Treatment
5. Refined Model for Disease Control
5.1. Analytical Results for Revised Model
5.2. Sensitivity of Parameters
5.3. Forward Bifurcation
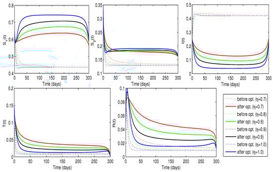
6. Optimal Control Setup and Analysis
6.1. Simulations and Results
- Set the control for .
- Determine using Equation (29).
- Improve using .
- Terminate the iterations when for ; otherwise, increase index k by 1 and go to Step 2.
- Implementation of the treatment strategy only.
- Implementation of the awareness strategy only.
- Implementation of treatment () and awareness () as a combined strategy.
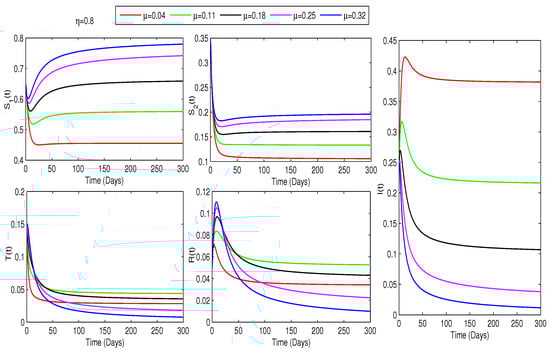
6.1.1. Case-1: Implementation of Treatment Only Strategy
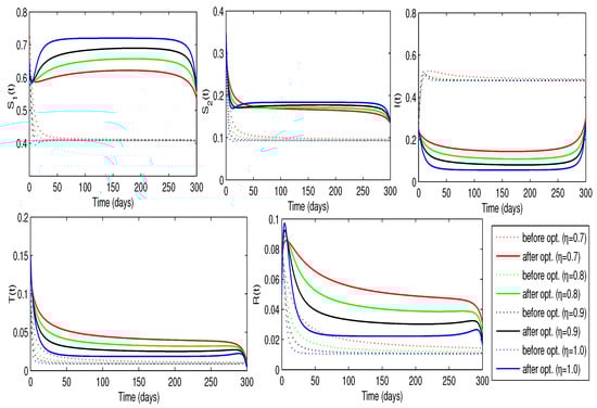
6.1.2. Case-2: COVID-19 Control Through the Awareness-Only Approach
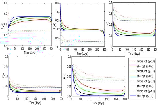
6.1.3. Case-3: Implementation of Treatment and Awareness as a Combined Strategy
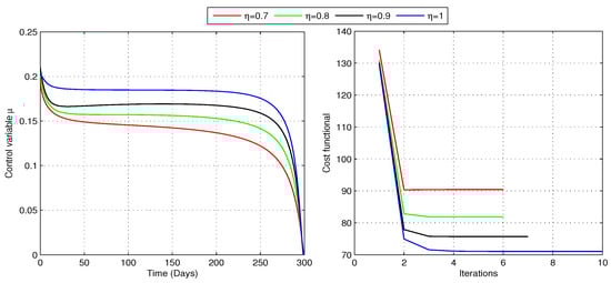
6.1.4. Analysis of Cost Efficacy
7. Conclusions
Author Contributions
Funding
Data Availability Statement
Conflicts of Interest
References
- Ivorra, B.; Ferrndez, M.R.; Vela-Prez, M.; Ramos, A. Mathematical modeling of the spread of the Coronavirus disease 2019 (COVID-19) taking into account the undetected infections, The case of China. Commun. Nonlinear Sci. Numer. Simul. 2020, 88, 105303. [Google Scholar] [CrossRef]
- Hui, D.S.; Azhar, E.I.; Madani, T.A.; Ntoumi, F.; Koch, R.; Dar, O.; Ippolito, G.; McHugh, T.D.; Memish, Z.A.; Drosten, C.; et al. The continuing 2019-nCoV epidemic threat of novel Corona viruses to global health: The latest 2019 novel Coronavirus outbreak in Wuhan, China. Int. J. Infect. 2020, 91, 264–266. [Google Scholar]
- Ndaïrou, F.; Area, I.; Nieto, J.J.; Torres, D.F.M. Mathematical modeling of COVID-19 transmission dynamics with a case study of Wuhan. Chaos Solitons Fractals 2020, 135, 109846. [Google Scholar] [CrossRef]
- Anggriani, N.; Ndii, M.Z.; Amelia, R.; Suryaningrat, W.; Pratama, M.A. A mathematical COVID-19 model considering asymptomatic and symptomatic classes with waning immunity. Alex. Eng. J. 2022, 61, 113–124. [Google Scholar] [CrossRef]
- WHO. COVID-19 Epidemiological Update; WHO: Geneva, Switzerland, 2023. [Google Scholar]
- Mahase, E. COVID-19: Are we seeing a summer wave? BMJ 2024, 386, q1496. [Google Scholar] [CrossRef] [PubMed]
- Rosen, A. Why COVID Surges in the Summer; Johns Hopkins Bloomberg School of Public Health: Baltimore, MD, USA, 2024. [Google Scholar]
- Özküse, F.; Yavuz, M.; Şenel, M.T.; Habbireeh, R. Fractional order modelling of omicron SARS-CoV-2 variant containing heart attack effect using real data from the United Kingdom. Chaos Solitons Fractals 2022, 157, 111954. [Google Scholar] [CrossRef] [PubMed]
- Shaikh, A.S.; Shaikh, I.N.; Nisar, K.S. A mathematical model of COVID-19 using fractional derivative: Outbreak in India with dynamics of transmission and control. Adv. Differ. Equ. 2020, 2020, 373. [Google Scholar] [CrossRef] [PubMed]
- Murthy, S.; Gomersall, C.D.; Fowler, R.A. Care for critically ill patients with COVID-19. JAMA 2020, 323, 1499–1500. [Google Scholar] [CrossRef]
- Liang, T. Handbook of COVID-19 Prevention and Treatment; Compiled According to Clinical Experience; The First Affiliated Hospital, Zhejiang University School of Medicine: Hangzhou, China, 2020. [Google Scholar]
- Habenom, H.; Aychluh, M.; Suthar, D.; Al-Mdallal, Q.; Purohit, S. Modeling and analysis on the transmission of COVID-19 pandemic in Ethiopia. Alex. Eng. J. 2022, 61, 5323–5342. [Google Scholar] [CrossRef]
- Zeb, S.; Yatim, S.A.M.; Rafiq, M.; Ahmad, W.; Kamran, A.; Karim, M.F. Treatment and delay control strategy for a nonlinear rift valley fever epidemic model. AIP Adv. 2024, 14, 115104. [Google Scholar] [CrossRef]
- Butt, A.I.K. Optimal control strategies for sustainable management of Bayoud disease in date palm trees: The role of resistant varieties and treatment. J. Comput. Appl. Math. 2026, 477, 117209. [Google Scholar] [CrossRef]
- Okyere, S.; Ackora-Prah, J. A mathematical model of transmission dynamics of SARS-CoV-2 (COVID-19) with an underlying condition of diabetes. Int. J. Math. Math. Sci. 2022, 2022, 7984818. [Google Scholar] [CrossRef]
- Fanelli, D.; Piazza, F. Analysis and forecast of COVID-19 spreading in China, Italy and France. Chaos Solitons Fractals 2020, 134, 109761. [Google Scholar] [CrossRef]
- Jajarmi, A.; Baleanu, D.; Vahid, K.Z.; Mobayen, S. A general fractional formulation and tracking control for immunogenic tumor dynamics. Math. Methods Appl. Sci. 2022, 45, 667–680. [Google Scholar] [CrossRef]
- Özköse, F.; Yilmaz, S.; Yavuz, M.; Öztürk, I.; Şenel, M.T.; Bağcı, B.Ş.; Doğan, M.; Önal, Ö. A fractional modeling of tumor-immune system interaction related to lung cancer with real data. Eur. Phys. J. Plus 2022, 137, 40. [Google Scholar] [CrossRef]
- Umarov, S. Fractional Calculus and Fractional order operators. In Introduction to Fractional and Pseudo-Differential Equations with Singular Symbols; Springer: Berlin/Heidelberg, Germany, 2015; pp. 121–168. [Google Scholar]
- Magin, R. Fractional calculus in bioengineering. Crit. Rev. Biomed. Eng. 2004, 32, 1–104. [Google Scholar] [CrossRef]
- Aydogan, S.M.; Baleanu, D.; Mohammadi, H.; Rezapour, S. On the mathematical model of Rabies by using the fractional Caputo-Fabrizio derivative. Adv. Differ. Equ. 2020, 2020, 382. [Google Scholar] [CrossRef]
- Alazman, I.; Mishra, M.N.; Alkahtani, B.S.; Goswami, P. Computational analysis of rabies and its solution by applying fractional operator. Appl. Math. Sci. Eng. 2024, 32, 2340607. [Google Scholar] [CrossRef]
- Ndendya, J.Z.; Mwasunda, J.A.; Edward, S.; Shaban, N. A Caputo–Fabrizio fractional-order model with MCMC estimation for rabies transmission dynamics in a multi-host population. Sci. Afr. 2025, 29, e02885. [Google Scholar] [CrossRef]
- Samko, S.G.; Kilbas, A.A.; Marichev, O.I. Fractional Integrals and Derivatives: Theory and Applications; Gordon and Breach: Yverdon, Switzerland, 1993. [Google Scholar]
- Tassaddiq, A.; Qureshi, S.; Soomro, A.; Arqub, O.A.; Senol, M. Comparative analysis of classical and Caputo models for COVID-19 spread: Vaccination and stability assessment. Fixed Point Theory Algorithms Sci. Eng. 2024, 2024, 2. [Google Scholar] [CrossRef]
- Baleanu, D.; Jajarmi, A.; Mohammadi, H.; Rezapour, S. A new study on the mathematical modelling of human liver with Caputo-Fabrizio fractional derivative. Chaos Solitons Fractals 2020, 134, 109705. [Google Scholar] [CrossRef]
- Imran, M.; Butt, A.I.K.; McKinney, B.A.; Al Nuwairan, M.; Al Mukahal, F.H.H.; Batool, S. A Comparative Analysis of Different Fractional Optimal Control Strategies to Eradicate Bayoud Disease in Date Palm Trees. Fractal Fract. 2025, 9, 260. [Google Scholar] [CrossRef]
- Atangana, A.; Baleanu, D. New fractional derivatives with nonlocal and non-singular kernel: Theory and application to heat transfer model. Therm. Sci. 2016, 20, 763–769. [Google Scholar] [CrossRef]
- Khan, T.; Ullah, R.; Zaman, G.; Alzabut, J. A mathematical model for the dynamics of SARS-CoV-2 virus using the Caputo-Fabrizio operator. Math. Biosci. Eng. 2021, 18, 6095–6116. [Google Scholar] [CrossRef] [PubMed]
- Uçar, S. Existence and uniqueness results for a smoking model with determination and education in the frame of non-singular derivatives. Discret. Contin. Dyn. Syst. Ser. S 2021, 14, 2571–2589. [Google Scholar] [CrossRef]
- Sintunavarat, W.; Turab, A. Mathematical analysis of an extended SEIR model of COVID-19 using the ABC-fractional operator. Math. Comput. Simul. 2022, 198, 65–84. [Google Scholar] [CrossRef]
- Bonyaha, E.; Jugab, M.L.; Matsebulab, L.M.; Chukwuc, C.W. On the modeling of COVID-19 spread via fractional derivative: A stochastic approach. Math. Model. Comput. Simul. 2023, 15, 338–356. [Google Scholar] [CrossRef]
- Deressa, C.T.; Duressa, G.F. Analysis of Atangana-Baleanu fractional-order SEAIR epidemic model with optimal control. Adv. Differ. Equ. 2021, 2021, 174. [Google Scholar] [CrossRef]
- Uçar, E.; Uçar, S.; Evirgen, F.; Özdemir, N. A Fractional SAIDR Model in the Frame of Atangana-Baleanu Derivative. Fractal Fract. 2021, 5, 32. [Google Scholar] [CrossRef]
- Chu, Y.M.; Yassen, M.F.; Ahmad, I.; Sunthrayuth, P.; Khan, M.A. A fractional SARS-COV-2 model with Atangana-Baleanu derivative: Application to fourth wave. Fractals 2022, 30, 2240210. [Google Scholar] [CrossRef]
- Ullah, S.; Khan, M.A. Modeling the impact of non-pharmaceutical interventions on the dynamics of novel Coronavirus with optimal control analysis with a case study. Chaos Solitons Fractals 2020, 139, 110075. [Google Scholar] [CrossRef]
- Okyere, S.; Prah, J.A.; Darkwah, K.F.; Oduro, F.T.; Bonyah, E. Fractional optimal control model of SARS-CoV-2 (COVID-19) disease in Ghana. J. Math. 2023, 2023, 3308529. [Google Scholar] [CrossRef]
- Baba, B.A.; Bilgehan, B. Optimal control of a fractional order model for the COVID-19 pandemic. Chaos, Solitons Fractals 2021, 144, 110678. [Google Scholar] [CrossRef]
- Khan, A.; Zarin, R.; Humphries, U.W.; Akgül, A.; Saeed, A.; Gul, T. Fractional optimal control of COVID-19 pandemic model with generalized Mittag-Leffler function. Adv. Differ. Equ. 2021, 2021, 387. [Google Scholar] [CrossRef]
- Nabi, K.N.; Kumar, P.; Erturk, V.S. Projections and fractional dynamics of COVID-19 with optimal control strategies. Chaos Solitons Fractals 2021, 145, 110689. [Google Scholar] [CrossRef]
- Rafiq, M.; Ali, J.; Riaz, M.B.; Awrejcewicz, J. Numerical analysis of a bi-modal COVID-19 SITR model. Alex. Eng. J. 2022, 61, 227–235. [Google Scholar] [CrossRef]
- Toufik, M.; Atangana, A. New numerical approximation of fractional derivative with non-local and non-singular kernel: Application to chaotic models. Eur. Phys. J. Plus 2017, 132, 444. [Google Scholar] [CrossRef]
- Ahmad, W.; Rafiq, M.; Butt, A.I.K.; Ahmad, N.; Ismaeel, T.; Malik, S.; Rabbani, H.G.; Asif, Z. Analytical and numerical explorations of optimal control techniques for the bi-modal dynamics of COVID-19. Nonlinear Dyn. 2024, 112, 3977–4006. [Google Scholar] [CrossRef]
- Aychluh, M.; Purohit, S.D.; Agarwal, P.; Suthar, D.L. Atangana–Baleanu derivative-based fractional model of COVID-19 dynamics in Ethiopia. Appl. Math. Sci. Eng. 2022, 30, 635–660. [Google Scholar] [CrossRef]
- Ghosh, D.; Santra, P.K.; Mahapatra, G.S.; Elsonbaty, A.; Elsadany, A.A. A discrete-time epidemic model for the analysis of transmission of COVID-19 based upon data of epidemiological parameters. Eur. Phys. J. Spec. Topics 2022, 231, 3461–3470. [Google Scholar] [CrossRef]
- Li, Y.; Chen, Y.; Podlubny, I. Stability of fractional-order nonlinear dynamic systems: Lyapunov direct method and generalized Mittag-Leffler stability. Comput. Math. Appl. 2010, 59, 1810–1821. [Google Scholar] [CrossRef]
- Baleanu, D.; Shekari, P.; Torkzadeh, L.; Ranjbar, H.; Jajarmi, A.; Nouri, K. Stability analysis and system properties of Nipah virus transmission: A fractional calculus case study. Chaos Solitons Fractals 2023, 166, 112990. [Google Scholar] [CrossRef]
- LaSalle, J.P. The Stability of Dynamical Systems; SIAM: Philadelphia, PA, USA, 1976. [Google Scholar]
- Butt, A.I.K. Atangana-Baleanu Fractional Dynamics of Predictive Whooping Cough Model with Optimal Control Analysis. Symmetry 2023, 15, 1773. [Google Scholar] [CrossRef]
- Kumara, R.P.; Santrac, P.K.; Mahapatraa, G.S. Global stability and analysing the sensitivity of parameters of a multiple-susceptible population model of SARS-CoV-2 emphasising vaccination drive. Math. Comput. Simul. 2023, 203, 741–766. [Google Scholar] [CrossRef]
- Deressa, C.T.; Mussa, Y.O.; Duressa, G.F. Optimal control and sensitivity analysis for transmission dynamics of Coronavirus. Results Phys. 2020, 19, 103642. [Google Scholar] [CrossRef]














| Parameter | Explanations | Numerical | Reference |
|---|---|---|---|
| Value | |||
| Entering rate of people to . | [41,43] | ||
| Entering rate of people to . | [41,43] | ||
| Infection acquiring rate of individuals. | 0.2 (0.5) | [41,43] | |
| Infection acquiring rate of individuals. | 0.4 (0.6) | [41,43] | |
| Rate at which infected people move to treatment. | [41,43] | ||
| Rate at which treated people recover. | [41,43] | ||
| Natural death rate. | [41,43] |
| Parameter | Sensitivity Index | Relationship |
|---|---|---|
| +ve | ||
| +ve | ||
| +ve | ||
| +ve | ||
| −ve | ||
| −ve | ||
| −ve |
| Implementation Cost Associated with Control | ||||
|---|---|---|---|---|
| Iterations | ||||
| 1 | 134.1363 | 130.8533 | 130.0788 | 129.6468 |
| 2 | 90.3452 | 82.8234 | 77.8782 | 74.9489 |
| 3 | 90.4006 | 81.8737 | 75.7589 | 71.5627 |
| 4 | 90.4274 | 81.8849 | 75.6836 | 71.1267 |
| 5 | 90.4303 | 81.8864 | 75.6814 | 71.0608 |
| 6 | - | 81.8861 | 75.6807 | 71.0497 |
| 7 | - | - | 75.6804 | 71.0475 |
| 8 | - | - | - | 71.0469 |
| 9 | - | - | - | 71.0467 |
| 10 | - | - | - | 71.0466 |
| Implementation Cost Associated with Control | ||||
|---|---|---|---|---|
| No. of Iterations | ||||
| 1 | 398.0514 | 357.5174 | 341.4044 | 332.6591 |
| 2 | 339.1038 | 308.5018 | 290.2455 | 280.1609 |
| 3 | 312.5706 | 278.1348 | 257.7134 | 246.3437 |
| 4 | 301.1539 | 264.4600 | 242.3256 | 229.8219 |
| 5 | 296.4536 | 258.4596 | 235.2711 | 222.0205 |
| 6 | 294.3718 | 255.7349 | 231.9716 | 218.2973 |
| 7 | 293.4234 | 254.4486 | 230.3864 | 216.4887 |
| 8 | 292.9606 | 253.8241 | 229.6108 | 215.5987 |
| 9 | 292.7374 | 253.5169 | 229.2275 | 215.1573 |
| 10 | 292.6249 | 253.3645 | 229.0370 | 214.9374 |
| 11 | 292.5697 | 253.2886 | 228.9421 | 214.8276 |
| 12 | 292.5417 | 253.2507 | 228.8947 | 214.7728 |
| 13 | 292.5279 | 253.2318 | 228.8710 | 214.7454 |
| 14 | 292.5209 | 253.2224 | 228.8592 | 214.7316 |
| Implementation Cost Associated with Controls and | ||||
|---|---|---|---|---|
| No. of Iterations | ||||
| 1 | 154.9364 | 149.8769 | 148.8031 | 148.2067 |
| 2 | 107.3266 | 101.6269 | 97.9859 | 95.9397 |
| 3 | 105.5942 | 98.0650 | 93.1941 | 90.2918 |
| 4 | 105.2374 | 97.4088 | 92.0843 | 88.6797 |
| 5 | 105.1329 | 97.2312 | 91.7685 | 88.1131 |
| 6 | 105.0933 | 97.1724 | 91.6683 | 87.9034 |
| 7 | 105.0807 | 97.1518 | 91.6345 | 87.8249 |
| 8 | 105.0757 | 97.1447 | 91.6229 | 87.7954 |
| 9 | 105.0743 | 97.1422 | 91.6188 | 87.7841 |
| 10 | 105.0739 | 97.1412 | 91.6173 | 87.7797 |
| 11 | 105.0737 | 97.1409 | 91.6167 | 87.7779 |
| 12 | 105.0735 | 97.1407 | 91.6164 | 87.7771 |
| 13 | 105.0732 | 97.1406 | 91.6163 | 87.7767 |
| 14 | - | - | - | 87.7765 |
| 15 | - | - | - | 87.7764 |
Disclaimer/Publisher’s Note: The statements, opinions and data contained in all publications are solely those of the individual author(s) and contributor(s) and not of MDPI and/or the editor(s). MDPI and/or the editor(s) disclaim responsibility for any injury to people or property resulting from any ideas, methods, instructions or products referred to in the content. |
© 2026 by the authors. Licensee MDPI, Basel, Switzerland. This article is an open access article distributed under the terms and conditions of the Creative Commons Attribution (CC BY) license.
Share and Cite
Butt, A.I.K.; Ahmad, W.; Rafiq, M.; Mukhtar, A.H.; Al Mukahal, F.H.H.; Al Elaiw, A.S. Fractional Bi-Susceptible Approach to COVID-19 Dynamics with Sensitivity and Optimal Control Analysis. Fractal Fract. 2026, 10, 35. https://doi.org/10.3390/fractalfract10010035
Butt AIK, Ahmad W, Rafiq M, Mukhtar AH, Al Mukahal FHH, Al Elaiw AS. Fractional Bi-Susceptible Approach to COVID-19 Dynamics with Sensitivity and Optimal Control Analysis. Fractal and Fractional. 2026; 10(1):35. https://doi.org/10.3390/fractalfract10010035
Chicago/Turabian StyleButt, Azhar Iqbal Kashif, Waheed Ahmad, Muhammad Rafiq, Ameer Hamza Mukhtar, Fatemah H. H. Al Mukahal, and Abeer S. Al Elaiw. 2026. "Fractional Bi-Susceptible Approach to COVID-19 Dynamics with Sensitivity and Optimal Control Analysis" Fractal and Fractional 10, no. 1: 35. https://doi.org/10.3390/fractalfract10010035
APA StyleButt, A. I. K., Ahmad, W., Rafiq, M., Mukhtar, A. H., Al Mukahal, F. H. H., & Al Elaiw, A. S. (2026). Fractional Bi-Susceptible Approach to COVID-19 Dynamics with Sensitivity and Optimal Control Analysis. Fractal and Fractional, 10(1), 35. https://doi.org/10.3390/fractalfract10010035

