Existence of Heteroclinic Orbits in Fractional-Order and Integer-Order Coupled Lorenz Systems
Abstract
1. Introduction
2. The Main Results
2.1. Equilibria and Stability
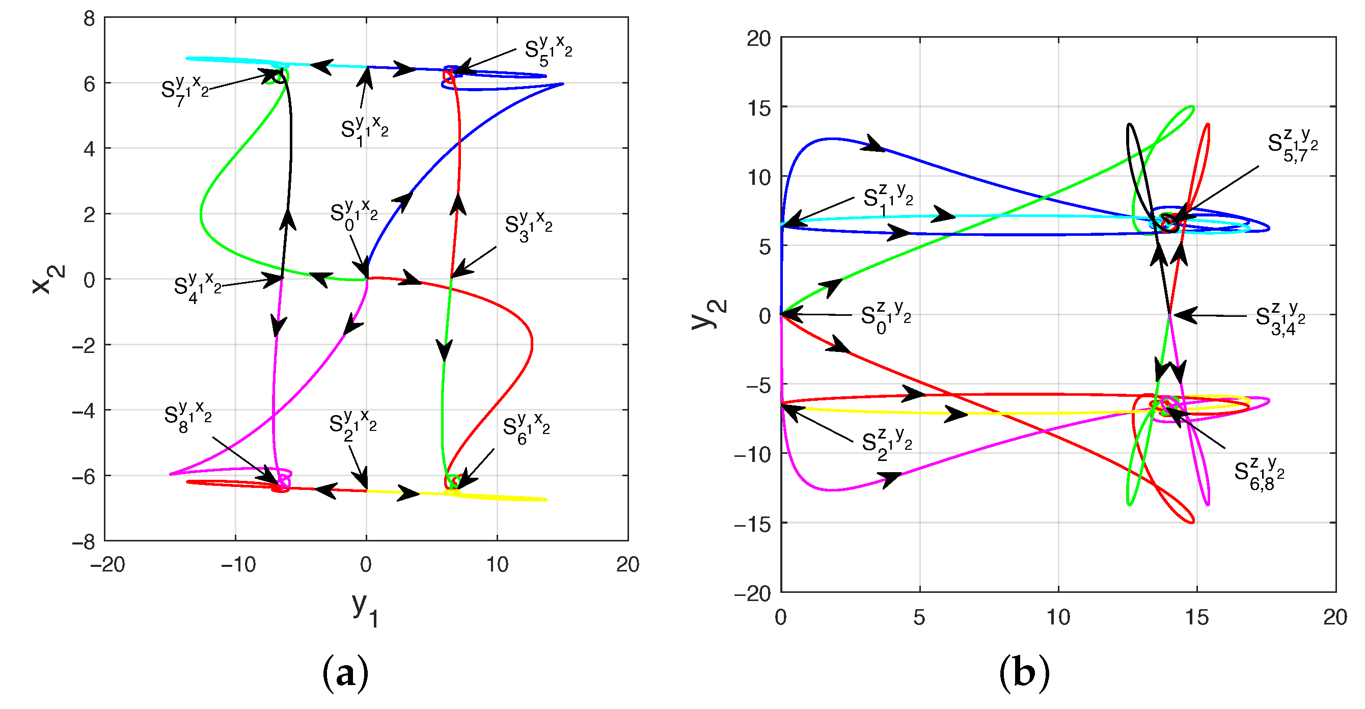
2.2. Existence of Heteroclinic Orbits
- (i)
- System (1) has no closed trajectories, i.e., each of the ω-limit of any orbits of it is one of , .
- (ii)
- There are four heteroclinic orbits to and , and four pairs of ones to and , and , and , and and .
2.3. Numerical Simulation and Stability Analysis
3. Heteroclinic Orbits and the Proof of Theorem 1
- (i)
- If , and , then , .
- (ii)
- If and , then , .
- (iii)
- If (resp. ) and (resp. ), , then we arrive at (resp. ) and (resp. ), . Namely, , .
4. Conclusions
Author Contributions
Funding
Data Availability Statement
Acknowledgments
Conflicts of Interest
References
- Cafagna, D.; Grassi, G. Fractional-order chaos: A novel four-wing attractor in coupled Lorenz systems. Int. J. Bifurc. Chaos 2009, 19, 3329–3338. [Google Scholar] [CrossRef]
- Grassi, G.; Severance, F.L.; Mashev, E.D.; Bazuin, B.J.; Miller, D.A. Generation of a four-wing chaotic attractor by two weakly-coupled Lorenz systems. Int. J. Bifurc. Chaos 2008, 18, 2089–2094. [Google Scholar] [CrossRef]
- Liu, J.; Li, R.; Huang, D. Stability, bifurcation and characteristics of chaos in a new commensurate and incommensurate fractional-order ecological system. Math. Comput. Simul. 2025, 236, 248–269. [Google Scholar] [CrossRef]
- Ghafoor, A.; Fiaz, M.; Afraites, L.; Ullah, A.; Ismai, E.A.A.; Awwad, F.A. Dynamics of the time-fractional reaction-diffusion coupled equations in biological and chemical processes. Sci. Rep. 2025, 14, 7549. [Google Scholar] [CrossRef]
- Srati, M.; Oulmelk, A.; Afraites, L.; Srati, M.; Hadri, A.; Zaky, M.A.; Aldraiweesh, A.; Hendy, A.S. An inverse problem of determining the parameters in diffusion equations by using fractional physics-informed neural networks. Appl. Numer. Math. 2025, 208, 189–213. [Google Scholar] [CrossRef]
- Long, L.D.; Zaky, M.A.; Moghaddam, B.P.; Gürefey, Y. Inverse source problem for time-fractional diffusion equation: Norm-constrained regularization and error estimation under a priori boundedness assumptions. Z. Angew. Math. Phys. 2025, 76, 153. [Google Scholar] [CrossRef]
- Brociek, R.; Goik, M.; Miarka, J.; Napoli, C.; Pleszczyński, M. Solution of inverse problem for diffusion equation with fractional derivatives using metaheuristic optimization algorithm. Informatica 2024, 35, 453–481. [Google Scholar] [CrossRef]
- Mbasso, W.F.; Harrison, A.; Dagal, I.; Jangir, P.; Kumar, R.; Liu, Z. Fractional calculus-inspired metaheuristic algorithm for solving high-dimensional constrained optimization problems. Evol. Intel. 2026, 19, 2. [Google Scholar] [CrossRef]
- Grassi, G.; Severance, F.L.; Miller, D.A. Multi-wing hyperchaotic attractors from coupled Lorenz systems. Chaos Soliton Fract. 2009, 41, 284–291. [Google Scholar] [CrossRef]
- Wang, P.; Li, D.; Wu, X.; Lü, J.; Yu, X. Ultimate bound estimation of a class of high dimensional quadratic autonomous dynamical systems. Int. J. Bifurc. Chaos 2011, 21, 2679–2694. [Google Scholar] [CrossRef]
- Rech, R.C. Complex dynamics of a linear coupling of two chaotic Lorenz systems. Braz. J. Phys. 2024, 54, 15. [Google Scholar] [CrossRef]
- Mayora-Cebollero, C.; Mayora-Cebollero, A.; Lozano, Á.; Barrio, R. Full Lyapunov exponents spectrum with Deep Learning from single-variable time series. Phys. D 2025, 472, 134510. [Google Scholar] [CrossRef]
- Shilnikov, L.P.; Shilnikov, A.L.; Turaev, D.V.; Chua, L.O. Methods of Qualitative Theory in Nonlinear Dynamics. Part II, 2nd ed.; World Scientific: Singapore, 2001. [Google Scholar]
- Wiggins, S. Introduction to Applied Nonlinear Dynamical System and Chaos, 2nd ed.; Springer: New York, NY, USA, 2003. [Google Scholar]
- Leonov, G.A. Fishing principle for homoclinic and heteroclinic trajectories. Nonlinear Dyn. 2014, 78, 2751–2758. [Google Scholar] [CrossRef]
- Tricomi, T. Integrazione di un’equazione differenziale presentatasi in electrotechnica. Ann. Sc. Norm. Super. Pisa-Sci. Fis. Mat. 1933, 2, 1–20. [Google Scholar]
- Feng, B.; Hu, R. A survey on homoclinic and heteroclinic orbits. Appl. Math. E-Notes 2003, 3, 16–37. [Google Scholar]
- Koon, W.S.; Lo, M.W.; Marsden, J.E.; Ross, S.D. Heteroclinic connections between periodic orbits and resonance transitions in celestial mechanics. Chaos 2000, 10, 427–469. [Google Scholar] [CrossRef]
- Wilczak, D.; Zgliczyński, P. Heteroclinic connections between periodic orbits in planar restricted circular three body problem-A computer assisted proof. Commun. Math. Phys. 2003, 234, 37–75. [Google Scholar] [CrossRef][Green Version]
- Wilczak, D.; Zgliczyński, P. Heteroclinic connections between periodic orbits in planar restricted circular three body problem. part II. Commun. Math. Phys. 2005, 259, 561–576. [Google Scholar] [CrossRef][Green Version]
- Hunt, G.W.; Peletier, M.A.; Champneys, A.R.; Woods, P.D.; Ahmerwaddee, M.; Budd, C.J.; Lord, G.J. Cellular buckling in long structures. Nonlinear Dyn. 2000, 21, 3–29. [Google Scholar] [CrossRef]
- May, R.M.; Leonard, W. Nonlinear aspect of competition between three species. SIAM J. Appl. Math. 1975, 29, 243–253. [Google Scholar] [CrossRef]
- Li, T.; Chen, G.; Chen, G. On homoclinic and heteroclinic orbits of the Chen’s system. Int. J. Bifurc. Chaos 2006, 16, 3035–3041. [Google Scholar] [CrossRef]
- Tigan, G.; Llibre, J. Heteroclinic, homoclinic and closed orbits in the Chen system. Int. J. Bifurc. Chaos 2016, 26, 1650072. [Google Scholar] [CrossRef]
- Tigan, G.; Constantinescu, D. Heteroclinic orbits in the T and the Lü system. Chaos Soliton Fract. 2009, 42, 20–23. [Google Scholar] [CrossRef]
- Liu, Y.; Yang, Q. Dynamics of a new Lorenz-like chaotic system. Nonlinear Anal. RWA 2010, 11, 2563–2572. [Google Scholar] [CrossRef]
- Chen, Y.; Yang, Q. Dynamics of a hyperchaotic Lorenz-type system. Nonlinear Dyn. 2014, 77, 569–581. [Google Scholar] [CrossRef]
- Wang, H.; Ke, G.; Pan, J.; Su, Q. Conjoined Lorenz-like attractors coined. Miskolc Math. Notes 2025, 26, 527–546. [Google Scholar] [CrossRef]
- Pan, J.; Wang, H.; Ke, G.; Hu, F. A novel Lorenz-like attractor and stability and equilibrium analysis. Axioms 2025, 14, 264. [Google Scholar] [CrossRef]
- Pan, J.; Wang, H.; Hu, F. Revealing asymmetric homoclinic and heteroclinic orbits. Electron. Res. Arch. 2025, 33, 1337–1350. [Google Scholar] [CrossRef]
- Pan, J.; Wang, H.; Ke, G.; Hu, F. Creation of single-wing Lorenz-like attractors via a ten-ninths-degree term. Open Phys. 2025, 23, 20250165. [Google Scholar] [CrossRef]
- Pan, J.; Wang, H.; Hu, F. Creation of hidden n-scroll Lorenz-like attractors. Electron. Res. Arch. 2025, 33, 4167–4183. [Google Scholar] [CrossRef]
- Wang, H.; Pan, J.; Hu, F.; Ke, G. Asymmetric singularly degenerate heteroclinic cycles. Int. J. Bifurc. Chaos 2025, 35, 2550072. [Google Scholar] [CrossRef]
- Wang, H.; Pan, J.; Ke, G. Revealing more hidden attractors from a new sub-quadratic Lorenz-like system of degree 65. Int. J. Bifurc. Chaos 2024, 34, 2450071. [Google Scholar] [CrossRef]
- Wang, H.; Pan, J.; Ke, G.; Hu, F. A pair of centro-symmetric heteroclinic orbits coined. Adv. Contin. Discret. Model 2024, 2024, 14. [Google Scholar]
- Ren, L.; Muhsen, S.; Shateyi, S.; Saberi-Nik, H. Dynamical behaviour, control, and boundedness of a fractional-order chaotic system. Fractal Fract. 2023, 7, 492. [Google Scholar] [CrossRef]
- Li, X.; Ou, Q. Dynamical properties and simulation of a new Lorenz-like chaotic system. Nonlinear Dyn. 2011, 65, 255–270. [Google Scholar] [CrossRef]
- Li, X.; Wang, P. Hopf bifurcation and heteroclinic orbit in a 3D autonomous chaotic system. Nonlinear Dyn. 2013, 73, 621–632. [Google Scholar] [CrossRef]
- Liu, Y.; Pang, W. Dynamics of the general Lorenz family. Nonlinear Dyn. 2012, 67, 1595–1611. [Google Scholar] [CrossRef]
- Sprott, J.C. A proposed standard for the publication of new chaotic systems. Int. J. Bifurc. Chaos 2011, 21, 2391–2394. [Google Scholar] [CrossRef]
- Xue, D.; Bai, L. Fractional Calculus High-Precision Algorithms and Numerical Implementations, 1st ed.; Springer: Singapore, 2024. [Google Scholar]
- Ahmed, E.; El-Sayed, A.M.A.; El-Saka, H.A.A. On some Routh-Hurwitz conditions for fractional order differential equations and their applications in Lorenz, Rössler, Chua and Chen systems. Phys. Lett. A 2006, 358, 1–4. [Google Scholar] [CrossRef]
- Aguila-Camacho, N.; Duarte-Mermoud, M.A.; Gallegos, J.A. Lyapunov functions for fractional order systems. Commun. Nonlinear Sci. Numer. Simul. 2014, 19, 2951–2957. [Google Scholar] [CrossRef]








| Eigenvalues for Case of | Eigenvalues for Case of | |
|---|---|---|
| Study Object | Number of Heteroclinic Orbits | Type | Order of Differential Operator |
|---|---|---|---|
| The Chen, T, the Lü system and other Lorenz-like systems [23,24,26,27,37,38,39] | A pair | Axisymmetric | Integer-order |
| Periodically forced Lorenz-like systems [28,29] | Infinitely many pairs | Axisymmetric | Integer-order |
| Asymmetric Chen system [30] | A pair and a single | Axisymmetric | Integer-order |
| Lorenz-like systems [31,32] | A single | Axisymmetric | Integer-order |
| Lorenz-like system [33] | A pair | Asymmetric | Integer-order |
| Sub-quadratic Lorenz-like system [34] | A pair | Asymmetric | Integer-order |
| Sub-quadratic Lorenz-like system [35] | A pair | Centro-symmetric | Integer-order |
| Two coupled Lorenz systems (1) | Twelve | Asymmetric | Caputo fractional- and integer-order |
Disclaimer/Publisher’s Note: The statements, opinions and data contained in all publications are solely those of the individual author(s) and contributor(s) and not of MDPI and/or the editor(s). MDPI and/or the editor(s) disclaim responsibility for any injury to people or property resulting from any ideas, methods, instructions or products referred to in the content. |
© 2026 by the authors. Licensee MDPI, Basel, Switzerland. This article is an open access article distributed under the terms and conditions of the Creative Commons Attribution (CC BY) license.
Share and Cite
Ke, G.; Pan, J.; Hu, F.; Wang, H. Existence of Heteroclinic Orbits in Fractional-Order and Integer-Order Coupled Lorenz Systems. Fractal Fract. 2026, 10, 36. https://doi.org/10.3390/fractalfract10010036
Ke G, Pan J, Hu F, Wang H. Existence of Heteroclinic Orbits in Fractional-Order and Integer-Order Coupled Lorenz Systems. Fractal and Fractional. 2026; 10(1):36. https://doi.org/10.3390/fractalfract10010036
Chicago/Turabian StyleKe, Guiyao, Jun Pan, Feiyu Hu, and Haijun Wang. 2026. "Existence of Heteroclinic Orbits in Fractional-Order and Integer-Order Coupled Lorenz Systems" Fractal and Fractional 10, no. 1: 36. https://doi.org/10.3390/fractalfract10010036
APA StyleKe, G., Pan, J., Hu, F., & Wang, H. (2026). Existence of Heteroclinic Orbits in Fractional-Order and Integer-Order Coupled Lorenz Systems. Fractal and Fractional, 10(1), 36. https://doi.org/10.3390/fractalfract10010036

