Development of Traffic Rules Training Platform Using LLMs and Cloud Video Streaming
Abstract
1. Introduction
2. Background
3. Materials and Methods
3.1. Overview of the Virtual Simulator
3.2. Structure of Traffic Scenarios and Learning Process
3.3. Interactive Learning Mechanism and Contextual Prompts
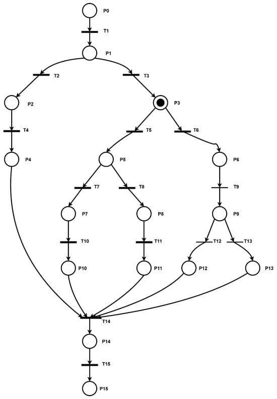
3.4. Algorithmic Framework and Petri Net Modeling
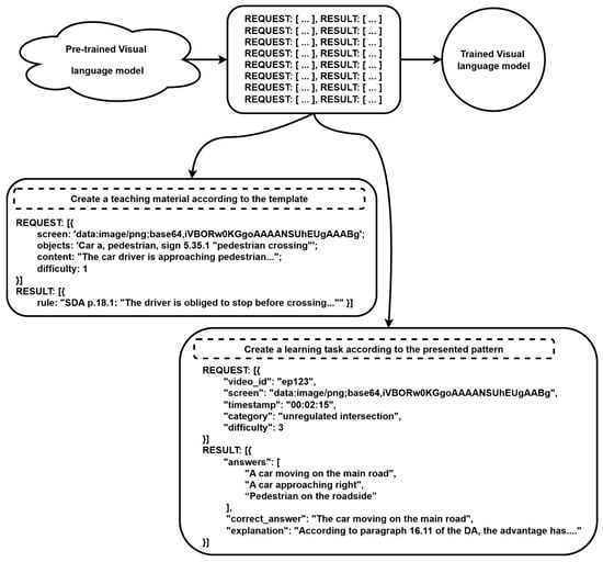
3.5. Automated Generation of Educational Content Using LLMs
- Video Fragment ID: a unique identifier for the episode or situation.
- Timecode: the exact moment in the video to which the task is linked.
- Situation Category: for example, “roundabout intersection,” “pedestrian crossing,” “priority sign,” etc.
- Question Text: formulated clearly and concisely.
- Answer Options List: four items, with only one being correct.
- Explanation of the Correct Answer: a brief rationale based on a specific traffic rule.
- Task Difficulty: defined according to pre-established criteria (e.g., “beginner,” “intermediate,” “advanced”).
- Context of the Learning Situation: description of the video, type of scenario, user role;
- Generation Instructions: tasks for the LLM;
- Output Format Requirements: structure in JSON, YAML, or tables;
- Example of Expected Outcome: to demonstrate the generation template.
3.6. Retrieval-Augmented Generation Integration for Traffic Data
3.7. Data Structures and Performance Evaluation
4. Features of the Virtual Simulator Implementation
- 1.
- User Registration and Authentication Module: This module creates new users and identifies existing simulator users.
- 2.
- User Database Connector: This module facilitates communication with the database that stores user data, personal settings, history of completed tasks, and testing results.
- 3.
- Content Database Connector: This module communicates with the database containing content, consisting of spherical videos depicting real traffic situations.
- 4.
- Multidimensional Time Series Database Connector: This module interacts with the database that stores information about camera rotation coordinates, questions for assessing users’ knowledge of traffic rules, and possible answer options.
- 5.
- Display Module: This module plays panoramic videos for users, allowing them to observe real traffic situations, virtual graphic elements with prompts and explanations, or questions and answer options.
- 6.
- Testing Module: This module is responsible for timing and positioning questions related to traffic rules, displaying to users the current traffic situation depicted in the still frame of the panoramic video, and storing their response results.
- 7.
- Analytics Module: This module collects user data and their response outcomes to help improve the virtual simulator and develop more effective test tasks.
- 8.
- Management Module: This module allows system administrators to configure settings for the virtual simulator, add new content, and manage user access.
- 9.
- Feedback Module: This module enables users to seek assistance and receive feedback about the virtual simulator.
- High Availability: Cloud services offer high availability, ensuring that learning materials are accessible to users at any time, regardless of location.
- Scalability: Cloud services can scale, allowing more users to access learning resources simultaneously, reducing server load and improving video content streaming speed.
- Cost Savings: Utilizing cloud services can help lower infrastructure costs, eliminating the need to build and maintain storage and streaming infrastructure for videos.
- High Speed: Cloud services provide high communication speeds, enabling users to access videos, facilitating the effective learning of traffic rules quickly.
- Data Security: Cloud services offer high data security, ensuring that videos and users’ personal information are protected from unauthorized access and data theft.
- Ease of Use: Cloud services allow for easy and rapid addition of new video materials and updates to prompts and test questions, making the learning process more flexible. This includes the ability to implement new traffic rules and update prompts in line with legislative changes, ensuring the relevance of the educational material.
5. Results
6. Discussion
7. Conclusions
Author Contributions
Funding
Institutional Review Board Statement
Informed Consent Statement
Data Availability Statement
Conflicts of Interest
Abbreviations
| VR | Virtual Reality |
| AR | Augmented Reality |
| LLM | Large Language Model |
| VLM | Visual Language Model |
| RAG | Retrieval-Augmented Generation |
| API | Application Programming Interface |
| GPU | Graphics Processing Unit |
References
- Lege, R.; Bonner, E. Virtual reality in education: The promise, progress, and challenge. JALT CALL J. 2020, 16, 167–180. [Google Scholar] [CrossRef]
- Scavarelli, A.; Arya, A.; Teather, R.J. Virtual reality and augmented reality in social learning spaces: A literature review. Virtual Real. 2021, 25, 55–72. [Google Scholar] [CrossRef]
- Lege, R.; Bonner, E.; Frazier, E.; Pascucci, L. Pedagogical considerations for successful implementation of virtual reality in the language classroom. In Innovative Approaches to Technology-Enhanced Language Teaching and Learning; Tafazoli, D., Romero, M., Eds.; IGI Global: Hershey, PA, USA, 2020; pp. 18–33. [Google Scholar] [CrossRef]
- Lampropoulos, G.; Barkoukis, V.; Burden, K.; Anastasiadis, T. 360-degree video in education: An overview and a comparative social media data analysis of the last decade. Smart Learn. Environ. 2021, 8, 20. [Google Scholar] [CrossRef]
- Rosendahl, P.; Wagner, I. 360° videos in education—A systematic literature review on application areas and future potentials. Educ. Inf. Technol. 2023, 38, 4371–4402. [Google Scholar] [CrossRef]
- Taslibeyaz, E.; Aydemir, M.; Karaman, S. An analysis of research trends in articles on video usage in medical education. Educ. Inf. Technol. 2017, 22, 873–881. [Google Scholar] [CrossRef]
- Kohler, S.; Dietrich, T.C. Potentials and Limitations of Educational Videos on YouTube for Science Communication. Front. Commun. 2021, 6, 581302. [Google Scholar] [CrossRef]
- Berns, A.; Mota, J.M.; Ruiz-Rube, I.; Dodero, J.M. Exploring the potential of a 360 video application for foreign language learning. In Proceedings of the Sixth International Conference on Technological Ecosystems for Enhancing Multiculturality, Salamanca, Spain, 24–26 October 2018; Association for Computing Machinery: New York, NY, USA; pp. 776–780. [Google Scholar] [CrossRef]
- Liu, D.; Bhagat, K.K.; Gao, Y.; Chang, T.W.; Huang, R. The potentials and trends of virtual reality in education. In Virtual, Augmented, and Mixed Realities in Education; Springer: Berlin/Heidelberg, Germany, 2017; pp. 105–130. [Google Scholar] [CrossRef]
- Chang, S.-C.; Hsu, T.-C.; Chen, Y.-N.; Jong, M.S.-Y. Spherical video-based virtual reality implementation affects students’ natural science learning effectiveness. Interact. Learn. Environ. 2020, 28, 915–929. [Google Scholar] [CrossRef]
- Netland, T.; Lorenz, R.; Kwasnitschka, D.; Senoner, J.; Gróf, C. Immersive Learning with Virtual Field Visits: Spherical Video-Based Virtual Reality of Factory Environments. Inf. Trans. Educ. 2023, 24, 163–174. [Google Scholar] [CrossRef]
- Ranieri, M.; Bruni, I.; Luzzi, D. Introducing 360-Degree Video in Higher Education: An Overview of the Literature. EDEN Conf. Proc. 2020, 345–353. [Google Scholar] [CrossRef]
- Cook, M.; Lischer-Katz, Z.; Hall, N.; Hardesty, J.; Johnson, J.; McDonald, R.; Carlisle, T. Challenges and Strategies for Educational Virtual Reality. Inf. Technol. Libr. 2019, 38, 25–48. [Google Scholar] [CrossRef]
- Sümer, M.; Vaněček, D. A systematic review of virtual and augmented realities in higher education: Trends and issues. Innov. Educ. Teach. Int. 2024, 61, 506–520. [Google Scholar] [CrossRef]
- Samala, A.D.; Rawas, S.; Rahmadika, S.; Criollo-C, S.; Fikri, R.; Sandra, R.P. Virtual reality in education: Global trends, challenges, and impacts—Game changer or passing trend? Discov. Educ. 2025, 4, 229. [Google Scholar] [CrossRef]
- Warchoł-Jakubowska, A.; Nowak, A.; Romanowski, A.; Fjeld, M.; Krejtz, I.; Krejtz, K. Augmented Reality Eye Tracking for Tram Driver Simulator Training: Concept, Implementation, and Early Feedback. In Proceedings of the ETRA 2025—ACM Symposium on Eye Tracking Research & Applications, Tokyo, Japan, 26–29 May 2025. [Google Scholar] [CrossRef]
- Jang, H.; Kim, H.K. Effects of Driver Expertise and Device Type on Digital Traffic Safety Education: An Experimental Study. Appl. Sci. 2023, 15, 9175. [Google Scholar] [CrossRef]
- Scorgie, D.; Feng, Z.; Paes, D.; Parisi, F.; Yiu, T.; Lovreglio, R. Virtual Reality for Safety Training: A Systematic Literature Review and Meta-Analysis. Saf. Sci. 2023, 163, 106372. [Google Scholar] [CrossRef]
- Han, X.; Luo, H.; Wang, Z.; Zhang, D. Using virtual reality for teacher education: A systematic review and meta-analysis of literature from 2014 to 2024. Front. Virtual Real. 2025, 6, 1620905. [Google Scholar] [CrossRef]
- Gong, P.; Lu, Y.; Lovreglio, R.; Lv, X.; Chi, Z. Applications and effectiveness of augmented reality in safety training: A systematic literature review and meta-analysis. Saf. Sci. 2024, 178, 106624. [Google Scholar] [CrossRef]
- Cheng, Y.-Q.; Mansor, S.; Chin, J.-J.; Karim, H.A. Driving Simulator for Drivers Education with Artificial Intelligence Traffic and Virtual Reality: A Review. In Proceedings of the 8th International Conference on Computational Science and Technology (ICCST), Labuan, Malaysia, 28–29 August 2021; Lecture Notes in Electrical Engineering. Springer: Berlin/Heidelberg, Germany, 2021; Volume 835, pp. 483–494. [Google Scholar] [CrossRef]
- Chanmas, G.; Taveekitworachai, P.; You, X.; Thawonmas, R.; Nukoolkit, C.; Dajpratham, P. Driving Assistant Using Generative AI Pre-Generated Messages in Simulator-Based Driving Assessment: A Step Towards Low-Cost Simulator-Based Driving Assessment. Heliyon 2024, 10, e35941. [Google Scholar] [CrossRef]
- Rehm, J.; Reshodko, I.; Gundersen, O.E. A virtual driving instructor that assesses driving performance on par with human experts. Expert Syst. Appl. 2024, 248, 119225. [Google Scholar] [CrossRef]
- Deng, R.; Jiang, M.; Yu, X.; Lu, Y.; Liu, S. Does ChatGPT enhance student learning? A systematic review and meta-analysis of experimental studies. Comput. Educ. 2024, 227, 105224. [Google Scholar] [CrossRef]
- Peterson, C.M.; Visclosky, T.; Flannagan, C.A.; Mahajan, P.; Gabanyicz, A.; Bouchard, J.-J.; Cervantes, V.; Gribbin, W.; Hashikawa, A.N. Evaluating a Virtual Reality Game to Enhance Teen Distracted Driving Education: Mixed Methods Pilot Study. JMIR Form. Res. 2024, 8, e60674. [Google Scholar] [CrossRef]
- Kasneci, E.; Sessler, K.; Küchemann, S.; Bannert, M.; Dementieva, D.; Fischer, F.; Gasser, U.; Groh, G.; Günnemann, S.; Hüllermeier, E.; et al. ChatGPT for Good? On Opportunities and Challenges of Large Language Models for Education. Learn. Individ. Differ. 2023, 103, 102274. [Google Scholar] [CrossRef]
- Adel, A.; Ahsan, A.; Davison, C. ChatGPT Promises and Challenges in Education: Computational and Ethical Perspectives. Educ. Sci. 2023, 14, 814. [Google Scholar] [CrossRef]
- Ali, N.; Ansari, M.A.; Khan, D.; Rahman, H.; Ullah, S. Virtual Reality Driving Simulator: Investigating the Effectiveness of Image—Arrow Aids in Improving the Performance of Trainees. Future Transp. 2025, 5, 130. [Google Scholar] [CrossRef]
- Stracke, C.M.; Bothe, P.; Adler, S.; Heller, E.S.; Deuchler, J.; Pomino, J.; Wölfel, M. Immersive virtual reality in higher education: A systematic review of the scientific literature. Virtual Real. 2025, 29, 63–81. [Google Scholar] [CrossRef]
- JLee, J.; Hicke, Y.; Yu, R.; Brooks, C.; Kizilcec, R.F. The life cycle of large language models in education: A framework for understanding sources of bias. Br. J. Educ. Technol. 2024, 55, 1982–2002. [Google Scholar] [CrossRef]
- Vrdoljak, J.; Boban, Z.; Vilović, M.; Kumrić, M.; Božić, J. A Review of Large Language Models in Medical Education, Clinical Decision Support, and Healthcare Administration. Healthcare 2025, 13, 603. [Google Scholar] [CrossRef] [PubMed]
- Lajos, N. Modelling some Higher Education Processes using Petri Nets. J. Appl. Multimed. 2021, 16, 11–16. [Google Scholar]
- Teslyuk, V.; Kazarian, A.; Kazymyra, I. Data processing in a “smart” home system using models based on Petri nets. Nauk. Visnyk NLTU Ukr. 2021, 31, 131–136. [Google Scholar]
- De Winter, J.C.F.; Happee, R. How drivers adapt their behaviour to changes in task complexity: The role of driving experience and cognitive control. Transp. Res. Part F Traffic Psychol. Behav. 2020, 72, 289–305. [Google Scholar]
- Elvik, R. How is traffic safety affected by changes in traffic speeds following speed limit increases? Transp. Saf. Environ. 2023, 5, 000017. [Google Scholar]
- Zhang, Y.; Chen, X.; Jin, B.; Wang, S.; Ji, S.; Wang, W.; Han, J. A comprehensive survey of scientific large language models and their applications in scientific discovery. In Proceedings of the 2024 Conference on Empirical Methods in Natural Language Processing (EMNLP 2024), Miami, FL, USA, 12–16 November 2024; Association for Computational Linguistics: Stroudsburg, PA, USA, 2024; pp. 8783–8817. [Google Scholar]
- Grand View Research, 2024. Large Language Model Powered Tools Market Report, 2030. Available online: https://www.grandviewresearch.com/industry-analysis/large-language-model-tools-market (accessed on 28 June 2025).
- Breton, J.; Billami, M.M.; Chevalier, M.; Nguyen, H.T.; Satoh, K.; Trojahn, C.; Zin, M.M. Leveraging LLMs for Legal Terms Extraction with Limited Annotated Data: A Case Study on Luxembourg Traffic Regulations. In Artificial Intelligence and Law; Springer: Berlin/Heidelberg, Germany, 2025. [Google Scholar] [CrossRef]
- Beurer-Kellner, L.; Fischer, M.; Vechev, M. Prompting Is Programming: A Query Language for Large Language Models. arXiv 2022, arXiv:2212.06094. [Google Scholar] [CrossRef]
- Yang, J.; Zhang, L.; Li, H. RAG-based Multi-Task Learning for Open-Domain Question Answering. J. Artif. Intell. Res. 2022, 73, 413–439. [Google Scholar]
- Agrawal, A.; Kedia, N.; Panwar, A.; Mohan, J.; Kwatra, N.; Gulavani, B.S.; Tumanov, A.; Ramjee, R. Taming Throughput-Latency Tradeoff in LLM Inference with Sarathi-Serve. In Proceedings of the 18th USENIX Symposium on Operating Systems Design and Implementation (OSDI ’24), Santa Clara, CA, USA, 10–12 July 2024; USENIX Association: Berkeley, CA, USA, 2024; pp. 123–138. [Google Scholar]
- Yang, Y.; Xu, Y.; Jiao, L. A Queueing Theoretic Perspective on Low-Latency LLM Inference with Variable Token Length. In Proceedings of the 22nd International Symposium on Modeling and Optimization in Mobile, Ad Hoc, and Wireless Networks (WiOpt 2024), Seoul, Republic of Korea, 21–24 October 2024; IEEE: New York, NY, USA, 2024; pp. 212–225. [Google Scholar]
- Abirami, N.; Lavanya, S.; Madhanghi, A. A Detailed Study of Client–Server and Its Architecture. ResearchGate. Available online: https://www.researchgate.net/publication/337469571_A_Detailed_Study_of_Client-Server_and_its_Architecture (accessed on 26 November 2025).
- Kazarian, A.; Teslyuk, V.; Tykhan, M.; Mashevska, M. Usage of SaaS software delivery model in intelligent house systems. Przegląd Elektrotechniczny 2019, 95, 38–41. [Google Scholar] [CrossRef]
- Solange, M.; Jorge, C. Web-based Virtual Reality with A-Frame. In Proceedings of the 2019 14th Iberian Conference on Information Systems and Technologies (CISTI), Coimbra, Portugal, 19–22 June 2019; IEEE: New York, NY, USA, 2019; pp. 1–2. [Google Scholar] [CrossRef]
- Huang, X. Research and Application of Node.js Core Technology. In Proceedings of the 2020 International Conference on Intelligent Computing and Human-Computer Interaction (ICHCI), Sanya, China, 4–6 December 2020; IEEE: New York, NY, USA, 2020; pp. 1–4. [Google Scholar] [CrossRef]
- Artem, K.; Holoshchuk, R.; Kunanets, N.; Shestakevysh, T.; Rzheuskyi, A. Information Support of Scientific Researches of Virtual Communities on the Platform of Cloud Services. In Proceedings of the Advances in Intelligent Systems and Computing III. CSIT 2018, Lviv, Ukraine, 11–14 September 2018; Shakhovska, N., Medykovskyy, M., Eds.; Advances in Intelligent Systems and Computing. Springer: Cham, Switzerland, 2019; Volume 871. [Google Scholar] [CrossRef]
- Muhammad, T.; Mishal, S.; Hajar, H. Analysis of research on amazon AWS cloud computing seller data security. Int. J. Res. Eng. Innov. 2020, 4, 131–136. [Google Scholar] [CrossRef]

















| State | State Name | State Description |
|---|---|---|
| P0 | Start | The user begins interaction with the training simulator. |
| P1 | Viewing Video | The user is watching a video of a specific traffic situation. |
| P2 | Complex Moment | The user encounters a complex traffic situation, such as experiencing an intersection or stopping on the road. |
| P3 | Decision Making | The user decides on the actions to take in the given traffic situation. |
| P4 | Action Execution | The user executes the actions they have decided on, such as stopping at an intersection or changing direction. |
| P5 | Action Verification | The system checks the user’s actions to ensure compliance with traffic rules. |
| P6 | Positive Outcome | The system informs the user of the correctness of their actions in that traffic situation. |
| P7 | Negative Outcome | The system informs the user of the incorrectness of their actions in that traffic situation and suggests corrections. |
| P8 | New Traffic Situation | The system presents a new traffic situation for the user to address. |
| P9 | End | The user concludes their interaction with the training simulator. |
| P0 | Start | The user begins interaction with the training simulator. |
| State | State Name | State Description |
|---|---|---|
| P0 | Start | The beginning of the traffic situation visualization by the system. |
| P1 | Decision Making | The system displays possible options for the user to make the correct decision. |
| P2 | Stop Decision | The user decides to stop the vehicle. |
| P3 | Continue Driving Decision | The user decides to continue moving the vehicle. |
| P4 | Braking | The user selects actions for braking the vehicle from the presented options. |
| P5 | Gear Shifting | The user selects actions for shifting gears from the presented options. |
| P6 | Steering Adjustment | The user selects actions to change the steering position from the presented options. |
| P7 | Acceleration | The user selects actions to accelerate the vehicle from the presented options. |
| P8 | Deceleration | The user selects actions for decelerating the vehicle from the presented options. |
| P9 | Changing Direction | The user selects actions to change the vehicle’s direction from the presented options. |
| P10 | Overtaking | The user selects actions to perform an overtaking maneuver from the presented options. |
| P11 | Maintaining Distance | The user maintains a distance from the vehicle ahead and avoids a collision. |
| P12 | Turning | The user performs actions to execute a turning maneuver. |
| P13 | Avoiding Obstacle | The user performs actions to execute an obstacle avoidance maneuver. |
| P14 | Action Completion | Completion of displaying possible action options to the user for selection. |
| P15 | Situation End | Completion of the traffic situation display by the system. |
| Field | Value |
|---|---|
| Context | You are a traffic rules expert helping to create test tasks for the VR simulator. Below is a description of the video situation. |
| Description of the situation | A car is traveling on the main road. A vehicle is approaching from the right, intending to enter the intersection. There are no traffic lights at the intersection. A “Give Way” sign (2.1) is placed at the roadside. |
| Instruction | Create an educational task based on the provided template. |
| Template | { “video_id”: “ep123”, “screen”: “data:image/png;base64,iVBORw0K…hEUgAAABg”, “timestamp”: “00:02:15”, “category”: “ unregulated intersection “, “difficulty”: “ intermediate “, “question”: “Who has the priority at this intersection?”, “answers”: [ “The vehicle traveling on the main road,” “The vehicle is approaching from the right”, “A pedestrian on the roadside.” ], “correct_answer”: “The vehicle traveling on the main road.”, “explanation”: “According to paragraph 16.11 of the traffic rules, the vehicle traveling on the main road has priority.” } |
| Field | Description |
|---|---|
| Image | Static image from the VR video or key frame of the traffic situation. |
| Objects | Identified road participants, traffic signs, markings, traffic lights, pedestrians, etc. |
| Content | Textual description of the situation as it should be interpreted by the user (e.g., “Driver A approaches an intersection with a ‘Yield sign’…”). |
| Category | Type of situation (e.g., “unregulated intersection,” “exit from a secondary road,” “stop before a pedestrian,” etc.). |
| Rules | Reference to specific traffic regulations that govern behavior in the given situation. |
| Difficulty | Assessment of the task’s level of complexity based on pre-established criteria (e.g., “beginner,” “intermediate,” “advanced”). |
| Field | Sample 1 | Sample 2 |
|---|---|---|
| Image | img_004.jpg | img_012.jpg |
| Objects | Car, a pedestrian, sign 5.35.1 “pedestrian crossing” | Car A, Car B, sign 2.1 ‘Give way’, intersection without traffic lights |
| Content | “The driver of the car is approaching the pedestrian crossing where the pedestrian is located.” | “Car A is approaching an unregulated intersection from a minor road, with sign 2.1 in front of it. Car B is travelling on the main road. Both drivers approach the intersection at the same time.” |
| Category | Pedestrian crossing | Unregulated intersection |
| Regulations | SDA p.18.1: ‘The driver is obliged to stop before crossing…’ | SDA p.16.11: ‘At intersections of unequal roads, drivers moving on the secondary road must give way to vehicles approaching the main road.’ |
| Complexity | Initial | Medium |
| Number | Category | Rule |
|---|---|---|
| 1.2 | General Provisions | In Ukraine, right-hand traffic is established for vehicles. |
| 14.3 | Overtaking | The driver of a vehicle being overtaken is prohibited from obstructing the overtaking by increasing speed or other actions. |
| 33.1.1.37 | Traffic Signs | “Road Works.” A section of the road where road works are being carried out. |
| Number | Category | Image | Name | Description |
|---|---|---|---|---|
| 1.2 | Warning Signs | ![]() | Dangerous Turn Left | In Ukraine, right-hand traffic is established for vehicles. |
| 6.7.3 | Service Signs | ![]() | Electric Charging Stations | Charging for electric vehicles. The color of the symbol depicted on the sign is green. |
| 7.9 | Plates for Traffic Signs | ![]() | Lane Usage | Indicates the lane to which the action of the sign or traffic light applies. |
| Timestamp | 00:01:43 | 00:03:12 |
|---|---|---|
| Screen Image | img_034.jpg | img_057.jpg |
| Title | Priority on the Main Road | Overtaking on Roads with Limited Visibility |
| Content | The driver on the main road has priority over all vehicles on the secondary road. Before entering an intersection, one must ensure that there are no threats from other participants. | Overtaking on sections of roads with limited visibility (e.g., uphill, around turns) is prohibited due to the risk of head-on collisions. In such cases, overtaking violates rules and endangers all road users. |
| Category | Intersection | Overtaking |
| Rules | Traffic Rules, p. 16.11 | Traffic Rules, p. 14.6 |
| Difficulty | Intermediate | High |
| Timestamp | 00:00:51 | 00:01:02 |
|---|---|---|
| Screen Image | img_034.jpg | img_057.jpg |
| Question | Who has priority at this intersection? | Is overtaking allowed on this section of the road? |
| Answer 1 | The driver on the left | Yes, if the road is clear |
| Answer 2 | The driver on the secondary road | Yes, if the vehicle is slow |
| Answer 3 | The driver on the main road | No, due to limited visibility |
| Answer 4 | A driver with a higher speed | Yes, if emergency lights are on |
| Correct Option | 3 | 3 |
| Category | Intersection | Overtaking |
| Rules | Traffic Rules, p. 16.11 | Traffic Rules, p. 14.6 |
| Difficulty | Intermediate | High |
| Timestamp | Vehicle Rotation Angle (°) | X Coordinate of Question | Y Coordinate of Question | Z Coordinate of Question | Question Text | Answer Options | Correct Answer (Option) |
|---|---|---|---|---|---|---|---|
| 00:00:00.000 | 0 | ||||||
| 00:00:03.156 | 19 | ||||||
| 00:00:14.256 | 11 | 30 | 25 | 10 | Max speed at the current time | [“50”, “70”, “90”, “110”] | 2 |
| 00:02:37.258 | −45 | ||||||
| 00:14:07.256 | 48 | 45 | 15 | 15 | Can you start the drive? | [“Yes”, “No”] | 0 |
| 00:20:35.856 | 119 | 25 | 70 | 15 | Available Direction | [“Right”, “Left”, “Forward”, “Reverse”] | 1 |
| … | … | … | … | … | … | … | … |
| 99:99:99.999 | −105 |
Disclaimer/Publisher’s Note: The statements, opinions and data contained in all publications are solely those of the individual author(s) and contributor(s) and not of MDPI and/or the editor(s). MDPI and/or the editor(s) disclaim responsibility for any injury to people or property resulting from any ideas, methods, instructions or products referred to in the content. |
© 2025 by the authors. Licensee MDPI, Basel, Switzerland. This article is an open access article distributed under the terms and conditions of the Creative Commons Attribution (CC BY) license (https://creativecommons.org/licenses/by/4.0/).
Share and Cite
Kazarian, A.; Teslyuk, V.; Berezsky, O.; Pitsun, O. Development of Traffic Rules Training Platform Using LLMs and Cloud Video Streaming. Big Data Cogn. Comput. 2025, 9, 304. https://doi.org/10.3390/bdcc9120304
Kazarian A, Teslyuk V, Berezsky O, Pitsun O. Development of Traffic Rules Training Platform Using LLMs and Cloud Video Streaming. Big Data and Cognitive Computing. 2025; 9(12):304. https://doi.org/10.3390/bdcc9120304
Chicago/Turabian StyleKazarian, Artem, Vasyl Teslyuk, Oleh Berezsky, and Oleh Pitsun. 2025. "Development of Traffic Rules Training Platform Using LLMs and Cloud Video Streaming" Big Data and Cognitive Computing 9, no. 12: 304. https://doi.org/10.3390/bdcc9120304
APA StyleKazarian, A., Teslyuk, V., Berezsky, O., & Pitsun, O. (2025). Development of Traffic Rules Training Platform Using LLMs and Cloud Video Streaming. Big Data and Cognitive Computing, 9(12), 304. https://doi.org/10.3390/bdcc9120304




