A Network-Based Analysis of a Worksite Canteen Dataset
Abstract
1. Introduction
- many people spend a relevant amount of their life at work (approximately more than 60 percent of waking hours), and about one-third of our daily energy intake is consumed in worksites [11], therefore the quality of meals, both in terms of health and pleasure, is significant along the day [12,13] and the promotion of good eating habits further improves such a scenario [14];
- workers usually have limited access to nutrition information, and this prevents them from making an aware choice [15];
- the study of the eating habits at a worksite canteen, and their impact on health that take into account also the correlation among the contact network existing among people due to the presence of different companies;
- the use of network analysis techniques that allow us to search for hidden correlations among people and their environment, for instance, the presence of communities (not only due to company belonging) that cannot be studied or inferred with traditional or statistical methods since they are not known in advance;
- to provide a different view of the dataset, represented as a tripartite network.
2. Related Works
3. Dataset Description and Representation
4. Dataset Analysis
4.1. Topological Analysis
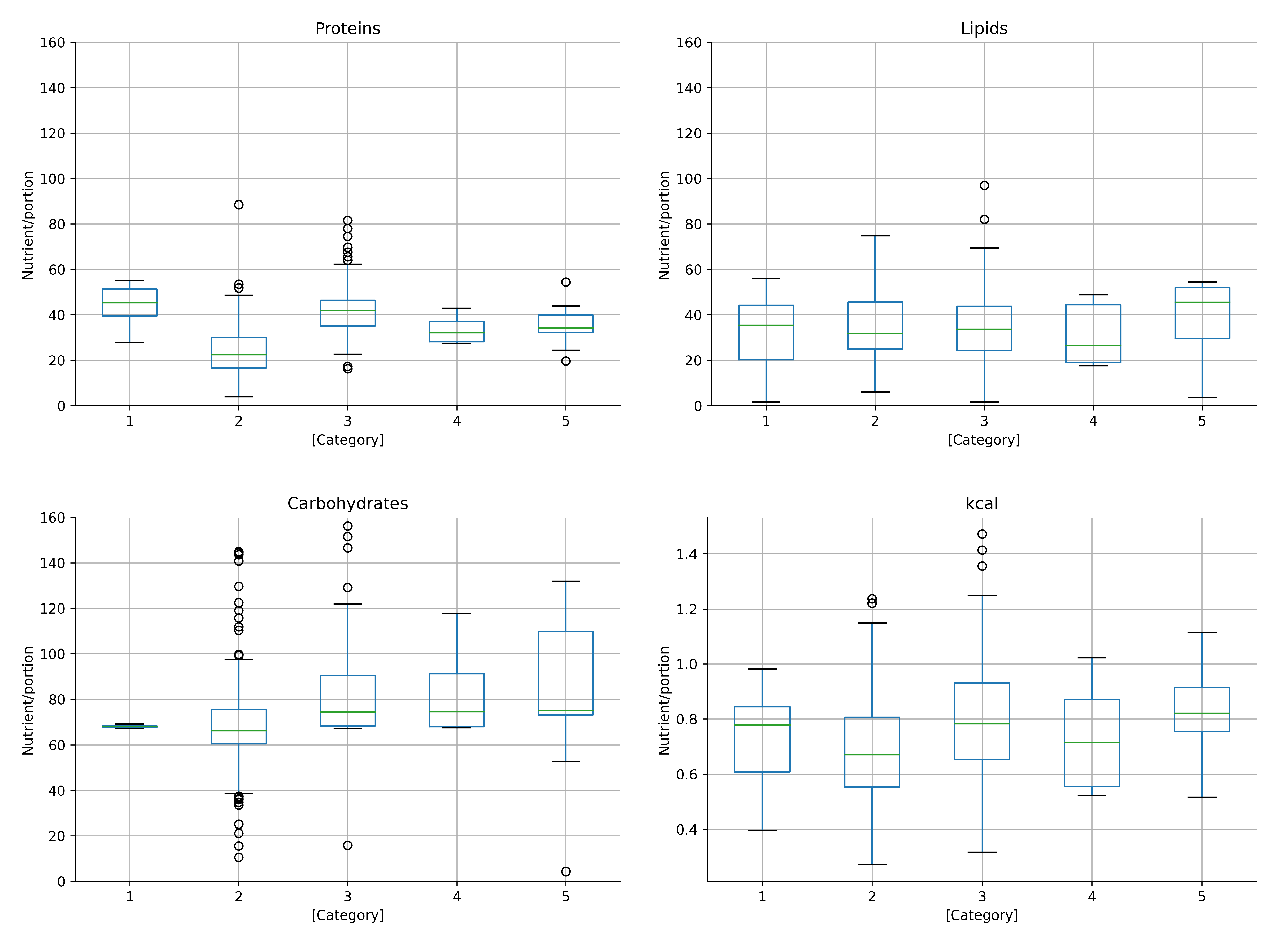
4.2. Macro-Nutrient Analysis
4.3. Understanding the Community Structure of the Canteen Network
5. Conclusions
- to leverage personal information about people eating at the canteen (in addition to those used here), such as sex, age, preferences, medical-health, socio-economic and others, in order to perform more comprehensive analysis;
- similarly, to exploit detailed nutritional facts about food provided would also enrich the dataset and the knowledge we can extract from it;
- a temporal analysis would allow predicting users behaviors, assisting in canteen planning and management as well as to establish more sustainable food practices [50];
- the use of machine learning techniques will endorse food recommender systems, for instance for advancing a healthy behavior programme [51];
Author Contributions
Funding
Institutional Review Board Statement
Informed Consent Statement
Data Availability Statement
Acknowledgments
Conflicts of Interest
References
- Ni Mhurchu, C.; Aston, L.M.; Jebb, S.A. Effects of worksite health promotion interventions on employee diets: A systematic review. BMC Public Health 2010, 10, 62. [Google Scholar] [CrossRef]
- Pridgeon, A.; Whitehead, K. A qualitative study to investigate the drivers and barriers to healthy eating in two public sector workplaces. J. Hum. Nutr. Diet. Off. J. Br. Diet. Assoc. 2012, 26, 85–95. [Google Scholar] [CrossRef]
- Ikhioya, G. The workplace: An ideal priority setting for health promotion and disease prevention. Int. J. Innov. Educ. Res. 2018, 6, 108–115. [Google Scholar] [CrossRef]
- Jensen, J. Can worksite nutritional interventions improve productivity and firm profitability? A literature review. Perspect. Public Health 2011, 131, 184–192. [Google Scholar] [CrossRef] [PubMed]
- Zwetsloot, G.I.; van Scheppingen, A.R.; Dijkman, A.J.; Heinrich, J.; den Besten, H. The organizational benefits of investing in workplace health. Int. J. Workplace Health Manag. 2010, 3, 143–159. [Google Scholar] [CrossRef]
- O’Halloran, S.; Eksteen, G.; Gebremariam, M.; Alston, L. Measurement Methods Used to Assess the School Food Environment: A Systematic Review. Int. J. Environ. Res. Public Health 2020, 17, 1623. [Google Scholar] [CrossRef] [PubMed]
- Canterberry, M.; Francois, S.; Hattum, T.; Rudov, L.; Carton, T. School Lunch Consumption Among 3 Food Service Providers in New Orleans. J. Sch. Health 2018, 88, 93–100. [Google Scholar] [CrossRef]
- Vo, T.; Le, N.; Le, A.T.N.; Tran Minh, N.N.; Nuorti, J.P. Knowledge, attitudes, practices and training needs of food-handlers in large canteens in Southern Vietnam. Food Control 2015, 57, 190–194. [Google Scholar] [CrossRef]
- Bonaccio, M.; Di Castelnuovo, A.; Bonanni, A.; Costanzo, S.; De Lucia, F.; Persichillo, M.; Zito, F.; Donati, M.; de Gaetano, G.; Iacoviello, L. Decline of the Mediterranean diet at a time of economic crisis. Results from the Moli-sani study. Nutr. Metab. Cardiovasc. Dis. 2014, 24, 853–860. [Google Scholar] [CrossRef] [PubMed]
- Jaworowska, A.; Blackham, T.; Davies, I.; Stevenson, L. Nutritional challenges and health implications of takeaway and fast food. Nutr. Rev. 2013, 71, 310–318. [Google Scholar] [CrossRef]
- Vasiljevic, M.; Cartwright, E.; Pechey, R.; Hollands, G.J.; Couturier, D.L.; Jebb, S.A.; Marteau, T.M. Physical micro-environment interventions for healthier eating in the workplace: Protocol for a stepped wedge randomised controlled pilot trial. Pilot Feasibility Stud. 2017, 3, 27. [Google Scholar] [CrossRef]
- Hyseni, L.; Atkinson, M.; Bromley, H.; Orton, L.; Lloyd-Williams, F.; Mcgill, R.; Capewell, S. The effects of policy actions to improve population dietary patterns and prevent diet-related non-communicable diseases: Scoping review. Eur. J. Clin. Nutr. 2016, 71, 694–711. [Google Scholar] [CrossRef]
- Lassen, A.D.; Ernst, L.; Poulsen, S.; Andersen, K.K.; Hansen, G.L.; Biltoft-Jensen, A.; Tetens, I. Effectiveness of a Canteen Take Away concept in promoting healthy eating patterns among employees. Public Health Nutr. 2012, 15, 452–458. [Google Scholar] [CrossRef]
- Orfanos, P.; Naska, A.; Trichopoulos, D.; Slimani, N.; Ferrari, P.; Van Bakel, M.; Deharveng, G.; Overvad, K.; Tjønnel, A.; Halkjær, J.; et al. Eating out of home and its correlates in 10 European countries. The European Prospective Investigation into Cancer and Nutrition (EPIC) study. Public Health Nutr. 2007, 10, 1515–1525. [Google Scholar] [CrossRef]
- Kraak, V.; Rincon-Gallardo Patino, S.; Renukuntla, D.; Kim, E. Progress Evaluation for Transnational Restaurant Chains to Reformulate Products and Standardize Portions to Meet Healthy Dietary Guidelines and Reduce Obesity and Non-Communicable Disease Risks, 2000-2018: A Scoping and Systematic Review to Inform Policy. Int. J. Environ. Res. Public Health 2019, 16, 2732. [Google Scholar] [CrossRef] [PubMed]
- Filimonau, V.; Krivcova, M.; Pettit, F. An exploratory study of managerial approaches to food waste mitigation in coffee shops. Int. J. Hosp. Manag. 2019, 76, 48–57. [Google Scholar] [CrossRef]
- Berkowitz, S.; Marquart, L.; Mykerezi, E.; Degeneffe, D.; Reicks, M. Reduced-portion entrees in a worksite and restaurant setting: Impact on food consumption and waste. Public Health Nutr. 2016, 19, 3048–3054. [Google Scholar] [CrossRef] [PubMed]
- Lorenz-Walther, B.A.S.; Langen, N. Sustainable changes in a worksite canteen: An exploratory study on the acceptance of guests. J. Clean. Prod. 2020, 259, 120737. [Google Scholar] [CrossRef]
- Keys, A.; Mienotti, A.; Karvonen, M.; Aravanis, C.; Blackburn, H.; Buzina, R.; Djordjevic, B.; Dontas, A.; Fidanza, F.; Keys, M.; et al. The diet and 15-year death rate in the seven countries study. Am. J. Epidemiol. 1986, 124, 903–915. [Google Scholar] [CrossRef] [PubMed]
- Lachat, C.; Huybregts, L.; Roberfroid, D.; Camp, J.; Winter, A.M.; Debruyne, P.; Kolsteren, P. Nutritional profile of foods offered and consumed in a Belgian university canteen. Public Health Nutr. 2008, 12, 122–128. [Google Scholar] [CrossRef] [PubMed]
- Lassen, A.D.; Knuthsen, P.; Bysted, A.; Andersen, E.W. The Nutritional Quality of Lunch Meals Eaten at Danish Worksites. Nutrients 2018, 10, 1518. [Google Scholar] [CrossRef]
- Alves, L.G.; Mangioni, G.; Cingolani, I.; Rodrigues, F.A.; Panzarasa, P.; Moreno, Y. The nested structural organization of the worldwide trade multi-layer network. Sci. Rep. 2019, 9, 1–14. [Google Scholar] [CrossRef]
- Alves, L.G.; Mangioni, G.; Rodrigues, F.A.; Panzarasa, P.; Moreno, Y. Unfolding the complexity of the global value chain: Strength and entropy in the single-layer, multiplex, and multi-layer international trade networks. Entropy 2018, 20, 909. [Google Scholar] [CrossRef]
- Mangioni, G.; Jurman, G.; DeDomenico, M. Multilayer flows in molecular networks identify biological modules in the human proteome. IEEE Trans. Netw. Sci. Eng. 2018, 7, 411–420. [Google Scholar] [CrossRef]
- Fagiolo, G.; Mastrorillo, M. International migration network: Topology and modeling. Phys. Rev. E 2013, 88, 012812. [Google Scholar] [CrossRef] [PubMed]
- Min, W.; Jiang, S.; Liu, L.; Rui, Y.; Jain, R. A Survey on Food Computing. ACM Comput. Surv. 2019, 52, 1–36. [Google Scholar] [CrossRef]
- Czarniecka-Skubina, E.; Górska-Warsewicz, H.; Trafiałek, J. Attitudes and Consumer Behavior toward Foods Offered in Staff Canteens. Int. J. Environ. Res. Public Health 2020, 17, 6239. [Google Scholar] [CrossRef]
- Bandoni, D.H.; Sarno, F.; Jaime, P.C. Impact of an intervention on the availability and consumption of fruits and vegetables in the workplace. Public Health Nutr. 2011, 14, 975–981. [Google Scholar] [CrossRef]
- Steyn, N.; Parker, W.; Lambert, E.; Mchiza, Z. Nutrition interventions in the workplace: Evidence of best practice. S. Afr. J. Clin. Nutr. 2009, 22, 111–117. [Google Scholar] [CrossRef]
- Thorsen, A.V.; Lassen, A.D.; Andersen, J.S.; Mikkelsen, B.E. Workforce gender, company size and corporate financial support are predictors of availability of healthy meals in Danish worksite canteens. Public Health Nutr. 2009, 12, 2068–2073. [Google Scholar] [CrossRef]
- Price, S.; Hartwell, H.; Hemingway, A.; Chapleo, C. Workplace foodservice; perception of quality and trust. Appetite 2016, 97, 169–175. [Google Scholar] [CrossRef]
- Lytle, L.A.; Sokol, R.L. Measures of the food environment: A systematic review of the field, 2007–2015. Health Place 2017, 44, 18–34. [Google Scholar] [CrossRef]
- Breathnach, S.; Llewellyn, C.H.; Koutoukidis, D.A.; van Rugge, C.R.; Sutherland, A.; Lally, P. Experience of Using an Online Pre-Ordering System for A Workplace Canteen That Offers Lower-Energy Swaps: A Think-Aloud Study. Nutrients 2020, 12, 3878. [Google Scholar] [CrossRef]
- Kim, W.G.; Choi, I.; Yoon, J. Nutritional quality of lunches consumed by Korean workers: Comparison between institutional and commercial lunches. Nutr. Res. Pract. 2016, 10, 606. [Google Scholar] [CrossRef]
- Jarlenski, M.; Wolfson, J.; Bleich, S. Macronutrient Composition of Menu Offerings in Fast Food Restaurants in the U.S. Am. J. Prev. Med. 2016, 51, e91–e97. [Google Scholar] [CrossRef]
- Vitale, M.; Bianchi, M.; Rapetti, V.; Pepe, J.; Giacco, A.; Giacco, R.; Riccardi, G. A nutritional intervention programme at a worksite canteen to promote a healthful inspired by the traditional Mediterranean diet. Int. J. Food Sci. Nutr. 2017, 69, 1–8. [Google Scholar] [CrossRef] [PubMed]
- Antonelli, M.; Dembska, K.; Fattibene, D.; Principato, L.; Recanati, F. Italy and Food; Technical Report; Barilla Foundation: Parma, Italy, 2019. [Google Scholar]
- Crockett, R.; King, S.; Marteau, T.; Prevost, A.; Bignardi, G.; Roberts, N.; Stubbs, B.; Hollands, G.; Jebb, S. Nutritional labelling for healthier food or non-alcoholic drink purchasing and consumption. Cochrane Database Syst. Rev. 2018, 2018. [Google Scholar] [CrossRef] [PubMed]
- González-GarcÃa, S.; Esteve-Llorens, X.; Moreira, M.; Feijoo, G. Carbon footprint and nutritional quality of different human dietary choices. Sci. Total Environ. 2018, 644, 77–94. [Google Scholar] [CrossRef]
- Carchiolo, V.; Longheu, A.; Barbera, S.; Di Tommaso, P. Personalized wellness in smart offices. In Proceedings of the IADIS International Conference Applied Computing 2019, Cagliari, Italy, 28 June 2019; pp. 97–104. [Google Scholar]
- Wikipedia. Italian Meal Structure. 2021. Available online: https://en.wikipedia.org/wiki/Italian_meal_structure (accessed on 30 January 2021).
- Whitney, E.N.; Rolfes, S.R. Understanding Nutrition; Wadsworth, Cengage Learning: North Ryde, Australia, 2013. [Google Scholar]
- Wikipedia. Fundamentals of Human Nutrition/Average Macronutrient Distribution Range. 2020. Available online: https://en.wikibooks.org/wiki/Fundamentals_of_Human_Nutrition/Average_Macronutrient_Distribution_Range (accessed on 30 January 2021).
- Nicosia, V.; Mangioni, G.; Carchiolo, V.; Malgeri, M. Extending the definition of modularity to directed graphs with overlapping communities. J. Stat. Mech. Theory Exp. 2009, 2009, P03024. [Google Scholar] [CrossRef]
- Fortunato, S.; Castellano, C. Community Structure in Graphs. arXiv 2007, arXiv:0712.2716. [Google Scholar]
- Blondel, V.D.; Guillaume, J.L.; Lambiotte, R.; Lefebvre, E. Fast unfolding of communities in large networks. J. Stat. Mech. Theory Exp. 2008, 2008, 10008. [Google Scholar] [CrossRef]
- Carchiolo, V.; Longheu, A.; Malgeri, M.; Mangioni, G. Communities unfolding in multislice networks. In Complex Networks; Springer: Berlin/Heidelberg, Germany, 2011; pp. 187–195. [Google Scholar]
- Batagelj, V.; Mrvar, A. Pajek-program for large Network analysis. Connect 1998, 21, 47–57. [Google Scholar]
- Newman, M.E.J. Modularity and community structure in networks. Proc. Natl. Acad. Sci. USA 2006, 103, 8577. [Google Scholar] [CrossRef] [PubMed]
- Reisch, L.; Eberle, U.; Lorek, S. Sustainable Food Consumption: An Overview of Contemporary Issues and Policies. Sustain. Sci. Pract. Policy 2013, 9, 7–25. [Google Scholar] [CrossRef]
- Kahn-Marshall, J.L.; Gallant, M.P. Making Healthy Behaviors the Easy Choice for Employees: A Review of the Literature on Environmental and Policy Changes in Worksite Health Promotion. Health Educ. Behav. 2012, 39, 752–776. [Google Scholar] [CrossRef] [PubMed]
- Casadei, R.; Fortino, G.; Pianini, D.; Russo, W.; Savaglio, C.; Viroli, M. Modelling and simulation of Opportunistic IoT Services with Aggregate Computing. Future Gener. Comput. Syst. 2019, 91, 252–262. [Google Scholar] [CrossRef]
- Loria, M.P.; Toja, M.; Carchiolo, V.; Malgeri, M. An efficient real-time architecture for collecting IoT data. In Proceedings of the 2017 Federated Conference on Computer Science and Information Systems (FedCSIS), Prague, Czech Republic, 3–6 September 2017; pp. 1157–1166. [Google Scholar] [CrossRef]















| Company | Meals | Employees | Average Number of Meals | Company | Meals | Employees | Average Number of Meals |
|---|---|---|---|---|---|---|---|
| 0 | 21,030 | 129 | 163.0 | 1 | 4679 | 48 | 97.5 |
| 2 | 7624 | 29 | 262.9 | 3 | 1593 | 264 | 6.0 |
| 4 | 1846 | 11 | 167.8 | 5 | 76 | 1 | 76.0 |
| 6 | 3671 | 10 | 367.1 | 7 | 6991 | 85 | 82.2 |
| 8 | 1206 | 11 | 109.6 | 9 | 303 | 3 | 101.0 |
| 10 | 175 | 4 | 43.8 | 11 | 2 | 2 | 1.0 |
| 12 | 27 | 1 | 27.0 | 13 | 3 | 2 | 1.5 |
| 14 | 72 | 4 | 18.0 | 15 | 4 | 1 | 4.0 |
| 16 | 2 | 1 | 2.0 | 18 | 2 | 1 | 2.0 |
| 19 | 239 | 33 | 7.2 | 20 | 32 | 4 | 8.0 |
| 21 | 13 | 1 | 13.0 | 22 | 3 | 1 | 3.0 |
| Category | Original Name (Italian) | English Name |
|---|---|---|
| 1 | Prosciutto crudo e mozzarella | Raw ham and mozzarella |
| 2 | Pasta alla norma | Eggplant pasta |
| 2 | Vellutata di fagioli bianchi | Cream of white beans |
| 2 | Riso in bianco | White rice |
| 3 | Carne ai ferri | Grilled meat |
| 3 | Tacchino alle erbe aromatiche | Turkey with aromatic herbs |
| 5 | Insalata con rucola, pomodoro, mais, radicchio, iceberg, mozzarella e tonno | Rocket salad with tomato, corn, radicchio, iceberg, mozzarella and tuna |
| Nutrient and Dietary Variables | Average | Minimum | Maximum | Standard Deviation |
|---|---|---|---|---|
| Calories (kcal/meal) | 746.07 | 271.19 | 1472.56 | 197.00 |
| Proteins (g/portion) | 32.73 | 3.96 | 88.56 | 14.23 |
| Lipids (g/portion) | 35.76 | 1.68 | 96.93 | 14.72 |
| Carbohydrates (g/portion) | 75.07 | 4.29 | 162.27 | 22.33 |
| Dish | Frequency |
|---|---|
| Palermitana di pollo (breaded chicken cutlets) | 171 |
| Fettina di carne ai ferri (grilled cutlets) | 170 |
| Petto di pollo (chicken cutlets) | 168 |
| Insalata completa (salad) | 167 |
| Cosce di pollo al forno (oven baked chicken) | 163 |
| Pasta fredda con pesto di basilico e ciliegino (cold pasta) | 147 |
| Cotoletta alla palermitana (breaded cutlets) | 138 |
| Polpette in foglia di limone (lemon meatballs) | 136 |
| Involtini di carne alla messinese (meat roulade) | 135 |
| Gnocchi alla sorrentina (gnocchi with tomato sauce) | 128 |
Publisher’s Note: MDPI stays neutral with regard to jurisdictional claims in published maps and institutional affiliations. |
© 2021 by the authors. Licensee MDPI, Basel, Switzerland. This article is an open access article distributed under the terms and conditions of the Creative Commons Attribution (CC BY) license (http://creativecommons.org/licenses/by/4.0/).
Share and Cite
Carchiolo, V.; Grassia, M.; Longheu, A.; Malgeri, M.; Mangioni, G. A Network-Based Analysis of a Worksite Canteen Dataset. Big Data Cogn. Comput. 2021, 5, 11. https://doi.org/10.3390/bdcc5010011
Carchiolo V, Grassia M, Longheu A, Malgeri M, Mangioni G. A Network-Based Analysis of a Worksite Canteen Dataset. Big Data and Cognitive Computing. 2021; 5(1):11. https://doi.org/10.3390/bdcc5010011
Chicago/Turabian StyleCarchiolo, Vincenza, Marco Grassia, Alessandro Longheu, Michele Malgeri, and Giuseppe Mangioni. 2021. "A Network-Based Analysis of a Worksite Canteen Dataset" Big Data and Cognitive Computing 5, no. 1: 11. https://doi.org/10.3390/bdcc5010011
APA StyleCarchiolo, V., Grassia, M., Longheu, A., Malgeri, M., & Mangioni, G. (2021). A Network-Based Analysis of a Worksite Canteen Dataset. Big Data and Cognitive Computing, 5(1), 11. https://doi.org/10.3390/bdcc5010011

