On the Impact of the Off-Design Operating Condition on the Thermal Performance of Rotor Platform Cooling †
Abstract
1. Introduction
2. Experimental Setup
3. Measurement Technique
4. Aerodynamic Background
5. Results
5.1. Flow Visualization
5.2. Film Cooling Effectiveness
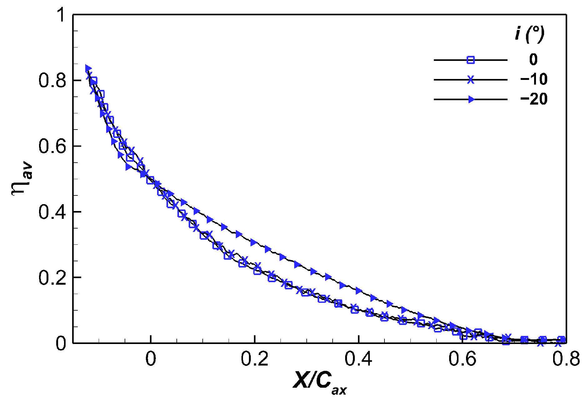
5.2.1. Influence of i and MFR at Ma2is = 0.4 and Tu1 = 7.5%
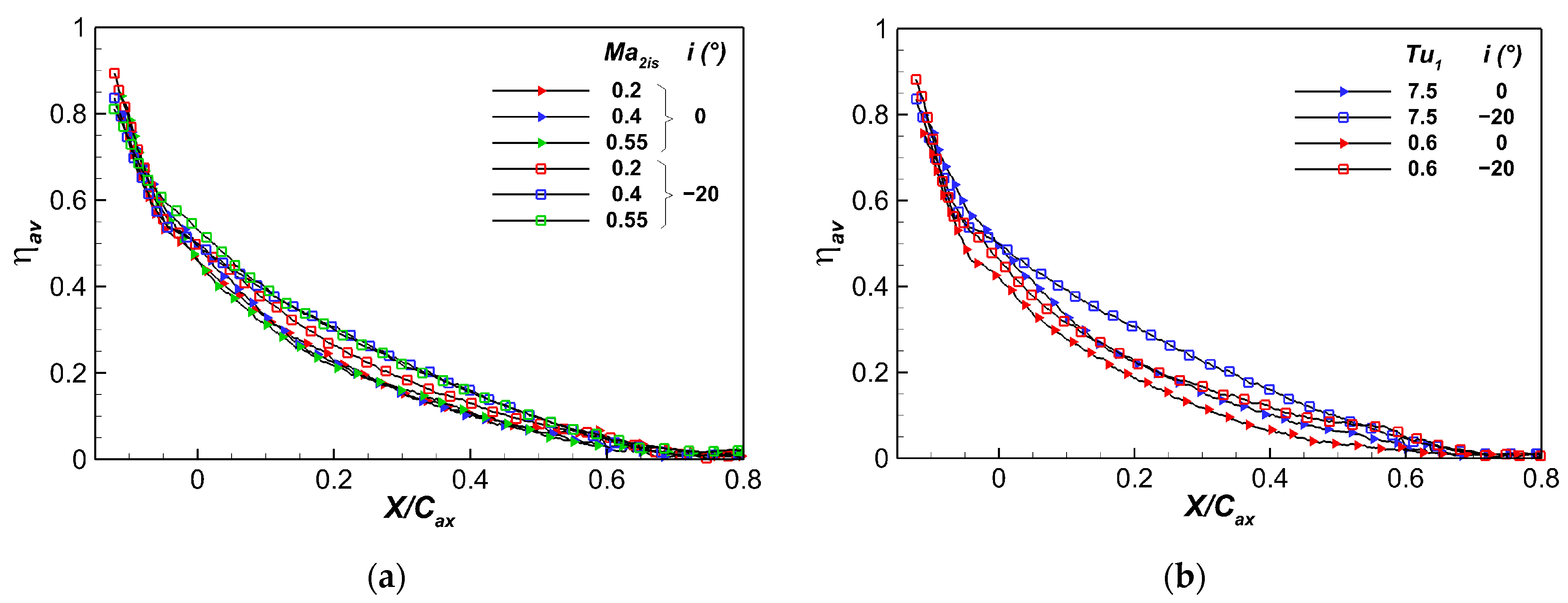
5.2.2. Influence of Ma2is and Tu1
6. Conclusions
- As expected, since negative incidence reduces secondary-flows generation and development across the cascade, improved film cooling effectiveness distributions are observed at negative incidence, especially at −20°. An incidence reduction of −10° instead only marginally impacts the thermal protection. In all cases, coolant only protects the passage front portion, as it is not allowed to cross the passage vortex-related 3D separation line.
- In the investigated MFR range, increasing the coolant flow rate always results in a better thermal protection of the front platform region, whatever the incidence. It is worth noting that the gain in effectiveness decreases when increasing MFR.
- When considering both thermal and aerodynamic aspects, a compromise has to be found since aerodynamic losses increase with rising MFR. A good solution is found at an MFR of 1.5%: at design condition (i = 0°), the overall loss increases by Δζ = +3.22%, with the area-averaged film cooling effectiveness reaching ηAA = 0.22. At reduced incidence (i = −20°), the extra loss due to film cooling decreases to Δζ = 2.23%, while ηAA increases up to 0.25.
- A change in mainstream flow condition (Ma2is and Tu1) marginally modifies the platform thermal protection. In addition to some local differences in the film cooling effectiveness distribution, both pitch-averaged and area-averaged data almost coincide when changing the free-stream Mach number, while a decrease in the approaching turbulence intensity level results in a slight decrease in thermal protection. At MFR = 1.5% and design incidence, a ΔηAA = −0.005 is observed, almost doubling at −20° incidence.
Author Contributions
Funding
Data Availability Statement
Acknowledgments
Conflicts of Interest
List of Symbols
| C | blade chord |
| DR = ρc/ρ∞ | density ratio |
| H | blade height |
| i | flow incidence angle |
| Ma = U/a | Mach number |
| MFR = mc/m∞ | mass flow rate (%) |
| P | Pressure |
| Re2,is = U2isC/ν | isentropic outlet Reynolds number |
| s | blade pitch |
| T | temperature |
| Tu = u’/U | turbulence Intensity (%) |
| u, v, w | velocity components |
| U | mean velocity |
| X, Y, Z | cascade coordinate system |
| W | slot width |
| β | flow angle |
| ν | kinematic viscosity |
| η | film cooling effectiveness |
| ζ | kinetic energy loss coefficient |
| Superscript | |
| ‘ | RMS |
| - | pitch-averaged |
| = | area- or mass-averaged |
| Subscript | |
| ax | Axial |
| aw | adiabatic wall |
| c | Coolant |
| is | isentropic condition |
| 1 | rotor inlet |
| 2 | rotor exit |
| ∞ | Mainstream |
References
- Ray, A.; De, S. Renewable Electricity Generation–Effect on GHG Emission. In Encyclopedia of Renewable and Sustainable Materials; Hashmi, S., Choudhury, I.A., Eds.; Elsevier: Amsterdam, The Netherlands, 2020; pp. 728–735. [Google Scholar]
- BP Statistical Review of World Energy 2022, 71st Edition. Available online: https://www.bp.com/content/dam/bp/business-sites/en/global/corporate/pdfs/energy-economics/statistical-review/bp-stats-review-2022-full-report.pdf (accessed on 17 July 2024).
- Bozzi, L.; D’Angelo, E.; Facchini, B.; Micio, M.; Da Soghe, R. Experimental Investigation on Leakage Losses and Heat Transfer in a Non-Conventional Labyrinth Seal. In Proceedings of the ASME Turbo Expo 2011: Turbine Technical Conference and Exposition, Vancouver, BC, Canada, 6–10 June 2011. Paper No. GT2011-46362. [Google Scholar]
- Szyma’nski, A.; Wroblewski, W.; Bochon, K.; Majkut, M.; Strozik, M.; Marugi, K. Experimental validation of optimised straight-through labyrinth seals with various land structures. Int. J. Heat Mass Transf. 2020, 158, 119930. [Google Scholar] [CrossRef]
- Nayak, K.C. Effect of Rotation on Leakage and Windage Heating in Labyrinth Seals with Honeycomb Lands. J. Eng. Gas Turbines Power 2020, 142, 081001. [Google Scholar] [CrossRef]
- Fraczek, D.; Bochon, K.; Wroblewski, W. Influence of Honeycomb Land Geometry on Seal Performance. In Proceedings of the ASME Turbo Expo 2016: Turbomachinery Technical Conference and Exposition, Seoul, Republic of Korea, 13–17 June 2016. Paper No. GT2016-57569. [Google Scholar]
- De Cosmo, G.; Scobie, J.A.; Lock, G.D.; Sangan, C.M.; Carnevale, M. Fluid Dynamics of Turbine Rim Seal Structures: A Physical Interpretation Using URANS. J. Eng. Gas Turbines Power 2023, 145, 031009. [Google Scholar] [CrossRef]
- Graikos, D.; Tang, H.; Carnevale, M.; Bailey, N.Y.; Scobie, J.A. Rotationally induced ingress in rotor–stator systems. Phys. Fluids 2024, 36, 075141. [Google Scholar] [CrossRef]
- Vella, S.; Tang, H.; Carnevale, M.; Scobie, J.A.; Lock, G.D.; Salvatori, F.; Sangan, C.M. On the relationship between swirl and unsteadiness within turbine rim seals. J. Eng. Gas Turbines Power 2025, 147, 041031. [Google Scholar] [CrossRef]
- Darby, P.W.; Mesny, A.W.; De Cosmo, G.; Carnevale, M.; Lock, G.D.; Scobie, J.A.; Sangan, C.M. Conditioning of leakage flows in gas turbine rotor–stator cavities. J. Eng. Gas Turbines Power 2021, 143, 021009. [Google Scholar] [CrossRef]
- Schreiner, B.D.J.; Wilson, M.; Li, Y.S.; Sangan, C.M. Effect of Purge on the Secondary Flow-Field of a Gas Turbine Blade-Row. J. Turbomach. 2020, 142, 101006. [Google Scholar] [CrossRef]
- Barigozzi, G.; Abdeh, H.; Rouina, S.; Franchina, N. The Aero-Thermal Performance of Purge Flow and Discrete Holes Film Cooling of Rotor Blade Platform in Modern High Pressure Gas Turbines: A Review. Int. J. Turbomach. Propuls. Power 2022, 7, 22. [Google Scholar] [CrossRef]
- Regina, K.; Kalfas, A.I. Experimental investigation of purge flow effects on a high pressure turbine stage. J. Turbomach. 2015, 135, 041006. [Google Scholar] [CrossRef]
- Narzary, D.P.; Liu, K.C.; Rallabandi, A.P.; Han, J.C. Influence of coolant density on turbine blade film-cooling using pressure sensitive paint technique. J. Turbomach. 2012, 134, 031006. [Google Scholar] [CrossRef]
- Schuepbach, R.S.; Abhari, M.G.; Rose, T.; Germain, I.; Raab, J.G. Effects of Suction and Injection Purge-Flow on the Secondary Flow Structures of a High-Work Turbine. J. Turbomach. 2010, 132, 021021. [Google Scholar] [CrossRef]
- Popovíc, I.; Hodson, H.P. Aerothermal impact of the interaction between hub leakage and mainstream flows in highly-loaded high pressure turbine blades. J. Turbomach. 2013, 135, 061014. [Google Scholar] [CrossRef]
- Suryanarayanan, A.; Mhetras, S.P.; Schobeiri, M.T.; Han, J.C. Film-Cooling Effectiveness on a Rotating Turbine Platform using Pressure Sensitive Paint Technique. J. Turbomach. 2010, 132, 041001. [Google Scholar] [CrossRef]
- Lynch, S.P.; Thole, K.A. Heat Transfer and film cooling on a contoured blade endwall with platform gap leakage. J. Turbomach. 2017, 139, 051002. [Google Scholar] [CrossRef]
- Barigozzi, G.; Franchini, G.; Perdichizzi, A.; Maritano, M.; Abram, R. Purge flow and interface gap geometry influence on the aero-thermal performance of a rotor blade cascade. Int. J. Heat Fluid Flow 2013, 44, 563–575. [Google Scholar] [CrossRef]
- Perdichizzi, A. Mach Number Effects on Secondary Flow Development Downstream of a Turbine Cascade. J. Turbomach. 1990, 112, 643–651. [Google Scholar] [CrossRef]
- Abdeh, H.; Barigozzi, G.; Perdichizzi, A.; Henze, M.; Krueckels, J. Incidence Effect on the Aero-Thermal Performance of a Film Cooled Nozzle Vane Cascade. J. Turbomach. 2019, 141, 051005. [Google Scholar] [CrossRef]
- Chen, A.F.; Shiau, C.C.; Han, J.C. Turbine blade platform film cooling with simulated swirl purge flow and slashface leakage conditions. J. Turbomach. 2017, 139, 031012. [Google Scholar] [CrossRef]
- Barigozzi, G.; Brumana, G.; Franchina, N.; Ghirardi, E. On the impact of Off-Design Condition on the Thermal Per-formance of Rotor Plat-form Cooling. In Proceedings of the 16th European Turbomachinery Conference, Hannover, Germany, 24–28 March 2025; Available online: https://www.euroturbo.eu/29092025/publications/proceedings-papers/etc2025-106/ (accessed on 11 December 2025).
- Abdeh, H.; Barigozzi, G.; Franchina, N. Rotor Cascade Assessment at Off-Design Condition: An Aerodynamic Investigation on Platform Cooling. Int. J. Turbomach. Propuls. Power 2023, 8, 23. [Google Scholar] [CrossRef]
- Barigozzi, G.; Franchini, G.; Perdichizzi, A.; Maritano, M.; Abram, R. Influence of purge flow injection angle on the aerothermal performance of a rotor blade cascade. J. Turbomach. 2014, 136, 041012. [Google Scholar] [CrossRef]
- Barigozzi, G.; Perdichizzi, A.; Pestelli, L.; Abram, R. Combined Experimental and Numerical Investigation of the Aero-Thermal Performance of a Rotor Blade Cascade with Platform Cooling. In Proceedings of the ASME Turbo Expo 2019: Turbomachinery Technical Conference and Exposition, Phoenix, AZ, USA, 17–21 June 2019. Paper No. GT2019-91601. [Google Scholar]
- Camci, C.; Kim, K.; Hippensteele, S.A. A New Hue Capturing Technique for the Quantitative Interpretation of Liquid Crystal Images Used in Convective Heat Transfer Studies. J. Turbomach. 1992, 114, 765–775. [Google Scholar] [CrossRef]
- Barigozzi, G.; Perdichizzi, A.; Henze, M.; Krueckels, J. Aerodynamic and Heat Transfer Characterization of a Nozzle Vane Cascade with and without Platform Cooling. In Proceedings of the ASME Turbo Expo, Montreal, QB, Canada, 15–19 June 2015. Paper No. GT2015-42845. [Google Scholar] [CrossRef]
- Barigozzi, G.; Benzoni, G.; Franchini, G.; Perdichizzi, A. Fan-shaped Hole Effects on the Aero-Thermal Performance of a Film Cooled Endwall. J. Turbomach 2006, 128, 43–52. [Google Scholar] [CrossRef]
- Green, B.R.; Mathison, R.M.; Dunn, M.G. Time-averaged and Time-accurate Aerodynamic Effects of Rotor Purge Flow for a Modern, One and One-half Stage High-pressure Turbine-Part II: Analytical Flow Field Analysis. J. Turbomach 2012, 136, 011009. [Google Scholar] [CrossRef]
- Suryanarayanan, A.; Mhetras, S.P.; Schobeiri, M.T.; Han, J.C. Film cooling effectiveness on a rotating blade platform. J. Turbomach. 2009, 131, 011014. [Google Scholar] [CrossRef]















| Design | Off-Design | |
|---|---|---|
| s/C = 0.637 | Ma2is = 0.55 | Ma2is = 0.2–0.4 |
| H/C = 1.24 | Tu1 = 7.5% | Tu1 = 0.6% |
| β1 = 30.87° | Re2is = 1.51 × 106 | Re2is = 0.55–1.1 × 106 |
Disclaimer/Publisher’s Note: The statements, opinions and data contained in all publications are solely those of the individual author(s) and contributor(s) and not of MDPI and/or the editor(s). MDPI and/or the editor(s) disclaim responsibility for any injury to people or property resulting from any ideas, methods, instructions or products referred to in the content. |
© 2026 by the authors. Published by MDPI on behalf of the EUROTURBO. Licensee MDPI, Basel, Switzerland. This article is an open access article distributed under the terms and conditions of the Creative Commons Attribution (CC BY) license.
Share and Cite
Barigozzi, G.; Brumana, G.; Franchina, N.; Ghirardi, E. On the Impact of the Off-Design Operating Condition on the Thermal Performance of Rotor Platform Cooling. Int. J. Turbomach. Propuls. Power 2026, 11, 7. https://doi.org/10.3390/ijtpp11010007
Barigozzi G, Brumana G, Franchina N, Ghirardi E. On the Impact of the Off-Design Operating Condition on the Thermal Performance of Rotor Platform Cooling. International Journal of Turbomachinery, Propulsion and Power. 2026; 11(1):7. https://doi.org/10.3390/ijtpp11010007
Chicago/Turabian StyleBarigozzi, Giovanna, Giovanni Brumana, Nicoletta Franchina, and Elisa Ghirardi. 2026. "On the Impact of the Off-Design Operating Condition on the Thermal Performance of Rotor Platform Cooling" International Journal of Turbomachinery, Propulsion and Power 11, no. 1: 7. https://doi.org/10.3390/ijtpp11010007
APA StyleBarigozzi, G., Brumana, G., Franchina, N., & Ghirardi, E. (2026). On the Impact of the Off-Design Operating Condition on the Thermal Performance of Rotor Platform Cooling. International Journal of Turbomachinery, Propulsion and Power, 11(1), 7. https://doi.org/10.3390/ijtpp11010007

