EyeSpot: Leveraging Gaze to Protect Private Text Content on Mobile Devices from Shoulder Surfing
Abstract
1. Introduction
Contribution Statement
2. Related Work
2.1. Visual Privacy Protection
2.2. Privacy Protection Using Eye Tracking
3. Concept
3.1. Screen Masks
3.1.1. Blackout Mask
3.1.2. Crystallized Mask
3.1.3. Fake Text
3.2. Spot Size
4. Implementation
4.1. Interface and Masks
4.2. Eye Tracking and the Moving Spot
5. User Study
5.1. Participants
5.2. Setup and Design
5.3. Measures
5.4. Procedure
6. Limitations
6.1. Results
6.1.1. Reading Speed
6.1.2. Text Comprehension
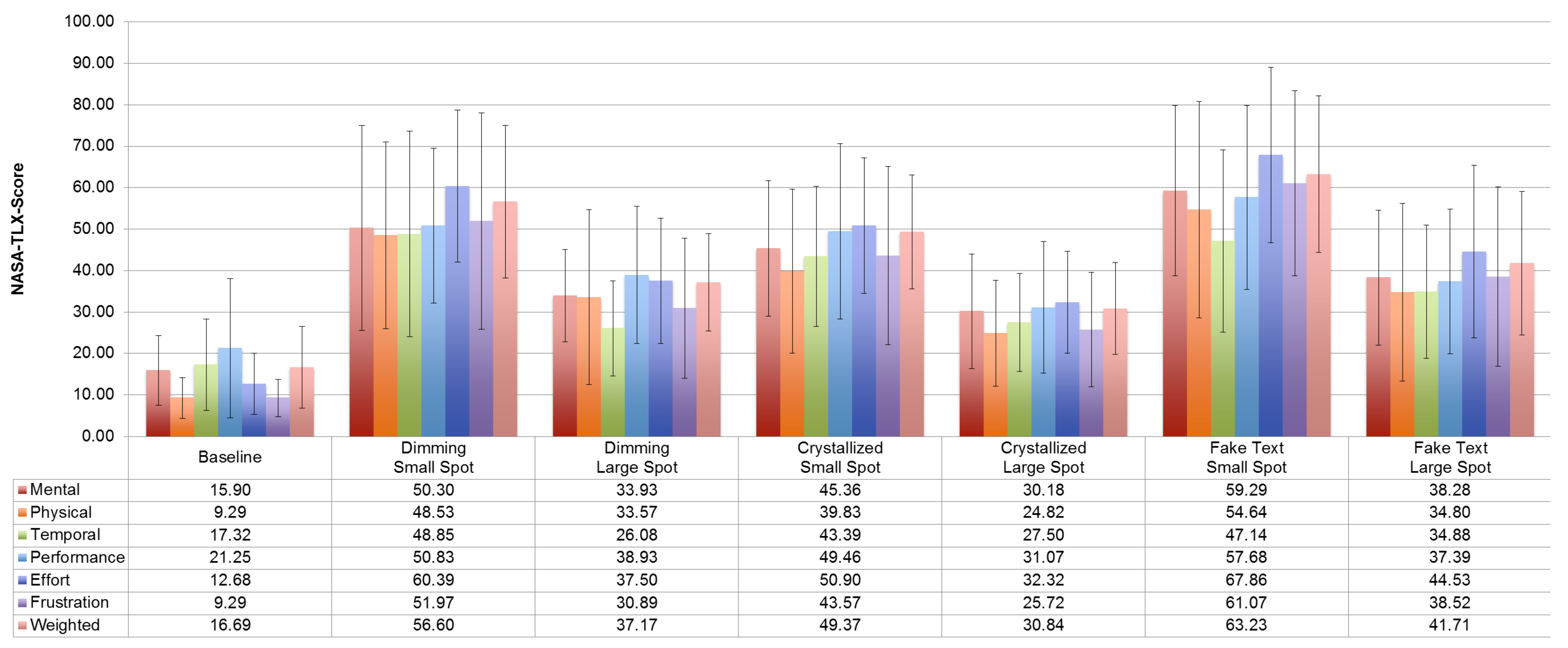
6.1.3. Mental Workload
6.1.4. Subjective Difficulty Rating
6.1.5. Qualitative Feedback
7. Discussion and Future Work
7.1. Threat Model
7.2. Finding the Spot
7.3. Usability–Security Trade-Off
7.4. Applicability to other Content Types
7.5. Technical Realization
8. Conclusions
Supplementary Materials
Author Contributions
Funding
Conflicts of Interest
References
- Eiband, M.; Khamis, M.; von Zezschwitz, E.; Hussmann, H.; Alt, F. Understanding Shoulder Surfing in the Wild: Stories from Users and Observers. In Proceedings of the 2017 CHI Conference on Human Factors in Computing Systems, Denver, CO, USA, 6–11 May 2017; ACM: New York, NY, USA, 2017. [Google Scholar]
- General Data Protection Regulation. 2016. Available online: ec.europa.eu/justice/data-protection/ (accessed on 8 February 2018).
- Ali, M.E.; Anwar, A.; Ahmed, I.; Hashem, T.; Kulik, L.; Tanin, E. Protecting Mobile Users from Visual Privacy Attacks. In Proceedings of the 2014 ACM International Joint Conference on Pervasive and Ubiquitous Computing: Adjunct Publication, Seattle, WA, USA, 13–17 September 2014; ACM: New York, NY, USA, 2014; pp. 1–4. [Google Scholar]
- Eiband, M.; von Zezschwitz, E.; Buschek, D.; Hußmann, H. My Scrawl Hides It All: Protecting Text Messages Against Shoulder Surfing With Handwritten Fonts. In Proceedings of the 2016 CHI Conference Extended Abstracts on Human Factors in Computing Systems, San Jose, CA, USA, 7–12 May 2016; ACM: New York, NY, USA, 2016; pp. 2041–2048. [Google Scholar]
- De Luca, A.; Harbach, M.; von Zezschwitz, E.; Maurer, M.E.; Slawik, B.E.; Hussmann, H.; Smith, M. Now You See Me, Now You Don’T: Protecting Smartphone Authentication from Shoulder Surfers. In Proceedings of the SIGCHI Conference on Human Factors in Computing Systems, Paris, France, 27 April–2 May 2013; ACM: New York, NY, USA, 2014; pp. 2937–2946. [Google Scholar]
- von Zezschwitz, E.; De Luca, A.; Brunkow, B.; Hussmann, H. SwiPIN: Fast and Secure PIN-Entry on Smartphones. In Proceedings of the 33rd Annual ACM Conference on Human Factors in Computing Systems, Seoul, Korea, 18–23 April 2015; ACM: New York, NY, USA, 2015; pp. 1403–1406. [Google Scholar]
- Yang, Y.; Clark, G.D.; Lindqvist, J.; Oulasvirta, A. Free-Form Gesture Authentication in the Wild. In Proceedings of the 2016 CHI Conference on Human Factors in Computing Systems, San Jose, CA, USA, 7–12 May 2016; ACM: New York, NY, USA, 2016; pp. 3722–3735. [Google Scholar]
- Zhou, H.; Tearo, K.; Waje, A.; Alghamdi, E.; Alves, T.; Ferreira, V.; Hawkey, K.; Reilly, D. Enhancing Mobile Content Privacy with Proxemics Aware Notifications and Protection. In Proceedings of the 2016 CHI Conference on Human Factors in Computing Systems, San Jose, CA, USA, 7–12 May 2016; ACM: New York, NY, USA, 2016; pp. 1362–1373. [Google Scholar]
- von Zezschwitz, E.; Ebbinghaus, S.; Hussmann, H.; De Luca, A. You Can’t Watch This!: Privacy-Respectful Photo Browsing on Smartphones. In Proceedings of the 2016 CHI Conference on Human Factors in Computing Systems, San Jose, CA, USA, 7–12 May 2016; ACM: New York, NY, USA, 2016; pp. 4320–4324. [Google Scholar]
- De Luca, A.; Denzel, M.; Hussmann, H. Look into My Eyes!: Can You Guess My Password? In Proceedings of the 5th Symposium on Usable Privacy and Security, Mountain View, CA, USA, 15–17 July 2009; ACM: New York, NY, USA, 2009; pp. 7:1–7:12. [Google Scholar]
- Liu, D.; Dong, B.; Gao, X.; Wang, H. Exploiting Eye Tracking for Smartphone Authentication. In Proceedings of the 13th International Conference on Applied Cryptography and Network Security, New York, NY, USA, 2–5 June 2015. [Google Scholar]
- Probst, G. Analysis of the Effects of Privacy Filter Use on Horizontal Deviations in Posture of VDT Operators. Master’s Thesis, Virginia Polytechnic Institute and State University, Blacksburg, VA, USA, 2000. [Google Scholar]
- Brudy, F.; Ledo, D.; Greenberg, S.; Butz, A. Is Anyone Looking? Mitigating Shoulder Surfing on Public Displays Through Awareness and Protection. In Proceedings of the International Symposium on Pervasive Displays, Copenhagen, Denmark, 5–6 June 2014; ACM: New York, NY, USA, 2014. [Google Scholar]
- Zhou, H.; Ferreira, V.; Alves, T.; Hawkey, K.; Reilly, D. Somebody Is Peeking!: A Proximity and Privacy Aware Tablet Interface. In Proceedings of the 33rd Annual ACM Conference Extended Abstracts on Human Factors in Computing Systems, Seoul, Korea, 18–23 April 2015; ACM: New York, NY, USA, 2015; pp. 1971–1976. [Google Scholar]
- Kinjo, H.; Snodgrass, J.G. Does the Generation Effect Occur for Pictures? Am. J. Psychol. 2000, 113, 95–121. [Google Scholar] [CrossRef] [PubMed]
- Denning, T.; Bowers, K.; van Dijk, M.; Juels, A. Exploring Implicit Memory for Painless Password Recovery. In Proceedings of the SIGCHI Conference on Human Factors in Computing Systems, Vancouver, BC, Canada, 7–12 May 2011; ACM: New York, NY, USA, 2011; pp. 2615–2618. [Google Scholar]
- Harada, A.; Isarida, T.; Mizuno, T.; Nishigaki, M. A User Authentication System Using Schema of Visual Memory. In Proceedings of the Second International Workshop on Biologically Inspired Approaches to Advanced Information Technology (BioADIT 2006), Osaka, Japan, 26–27 January 2006; Ijspeert, A.J., Masuzawa, T., Kusumoto, S., Eds.; Springer: Berlin/Heidelberg, Germany, 2006; pp. 338–345. [Google Scholar]
- Hayashi, E.; Dhamija, R.; Christin, N.; Perrig, A. Use Your Illusion: Secure Authentication Usable Anywhere. In Proceedings of the 4th Symposium on Usable Privacy and Security, Pittsburgh, PA, USA, 23–25 July 2008; ACM: New York, NY, USA, 2008; pp. 35–45. [Google Scholar]
- Khamis, M.; Bulling, A.; Alt, F. Tackling Challenges of Interactive Public Displays Using Gaze. In Adjunct Proceedings of the 2015 ACM International Joint Conference on Pervasive and Ubiquitous Computing and Proceedings of the 2015 ACM International Symposium on Wearable Computers; ACM: New York, NY, USA, 2015; pp. 763–766. [Google Scholar]
- Best, D.S.; Duchowski, A.T. A Rotary Dial for Gaze-based PIN Entry. In Proceedings of the Ninth Biennial ACM Symposium on Eye Tracking Research & Applications, Charleston, SC, USA, 14–17 March 2016; ACM: New York, NY, USA, 2016; pp. 69–76. [Google Scholar]
- Cymek, D.H.; Venjakob, A.C.; Ruff, S.; Lutz, O.H.M.; Hofmann, S.; Roetting, M. Entering PIN codes by smooth pursuit eye movements. J. Eye Mov. Res. 2014, 7. [Google Scholar] [CrossRef]
- De Luca, A.; Weiss, R.; Drewes, H. Evaluation of Eye-gaze Interaction Methods for Security Enhanced PIN-entry. In Proceedings of the 19th Australasian Conference on Computer-Human Interaction: Entertaining User Interfaces, Adelaide, Australia, 28–30 November 2007; ACM: New York, NY, USA, 2007; pp. 199–202. [Google Scholar]
- Forget, A.; Chiasson, S.; Biddle, R. Shoulder-surfing Resistance with Eye-gaze Entry in Cued-recall Graphical Passwords. In Proceedings of the SIGCHI Conference on Human Factors in Computing Systems, Atlanta, GA, USA, 10–15 April 2010; ACM: New York, NY, USA, 2010; pp. 1107–1110. [Google Scholar]
- Kumar, M.; Garfinkel, T.; Boneh, D.; Winograd, T. Reducing Shoulder-surfing by Using Gaze-based Password Entry. In Proceedings of the 3rd Symposium on Usable Privacy and Security, Pittsburgh, PA, USA, 18–20 July 2007; ACM: New York, NY, USA, 2007; pp. 13–19. [Google Scholar]
- Sakai, D.; Yamamoto, M.; Nagamatsu, T.; Fukumori, S. Enter Your PIN Code Securely!: Utilization of Personal Difference of Angle Kappa. In Proceedings of the Ninth Biennial ACM Symposium on Eye Tracking Research & Applications, Charleston, SC, USA, 14–17 March 2016; ACM: New York, NY, USA, 2016; pp. 317–318. [Google Scholar]
- Alt, F.; Mikusz, M.; Schneegass, S.; Bulling, A. Memorability of Cued-Recall Graphical Passwords with Saliency Masks. In Proceedings of the 15th International Conference on Mobile and Ubiquitous Multimedia, Rovaniemi, Finland, 12–15 December 2016; ACM: New York, NY, USA, 2016. [Google Scholar]
- Bulling, A.; Alt, F.; Schmidt, A. Increasing the Security of Gaze-based Cued-recall Graphical Passwords Using Saliency Masks. In Proceedings of the SIGCHI Conference on Human Factors in Computing Systems, Austin, TX, USA, 5–10 May 2012; ACM: New York, NY, USA, 2012; pp. 3011–3020. [Google Scholar]
- Kinnunen, T.; Sedlak, F.; Bednarik, R. Towards Task-independent Person Authentication Using Eye Movement Signals. In Proceedings of the 2010 Symposium on Eye-Tracking Research & Applications, Austin, TX, USA, 22–24 March 2010; ACM: New York, NY, USA, 2010; pp. 187–190. [Google Scholar]
- Zhang, Y.; Hu, W.; Xu, W.; Chou, C.T.; Hu, J. Continuous Authentication Using Eye Movement Response of Implicit Visual Stimuli. In Proceedings of the ACM on Interactive, Mobile, Wearable and Ubiquitous Technologies; ACM: New York, NY, USA, 2018. [Google Scholar]
- Khamis, M.; Alt, F.; Bulling, A. The Past, Present, and Future of Gaze-enabled Handheld Mobile Devices: Survey and Lessons Learned. In Proceedings of the 20th International Conference on Human-Computer Interaction with Mobile Devices and Services, Barcelona, Spain, 3–6 September 2018; ACM: New York, NY, USA, 2018. [Google Scholar]
- Khamis, M.; Alt, F.; Hassib, M.; von Zezschwitz, E.; Hasholzner, R.; Bulling, A. GazeTouchPass: Multimodal Authentication Using Gaze and Touch on Mobile Devices. In Proceedings of the 2016 CHI Conference Extended Abstracts on Human Factors in Computing Systems, San Jose, CA, USA, 7–12 May 2016; ACM: New York, NY, USA, 2016; pp. 2156–2164. [Google Scholar]
- Song, C.; Wang, A.; Ren, K.; Xu, W. EyeVeri: A Secure and Usable Approach for Smartphone User Authentication. In Proceedings of the IEEE International Conference on Computer Communication (INFOCOM’16), San Francisco, CA, USA, 10–15 April 2016; pp. 1–9. [Google Scholar]
- Lian, S.; Hu, W.; Song, X.; Liu, Z. Smart privacy-preserving screen based on multiple sensor fusion. IEEE Trans. Consum. Electron. 2013, 59, 136–143. [Google Scholar] [CrossRef]
- Khamis, M.; Baier, A.; Henze, N.; Alt, F.; Bulling, A. Understanding Face and Eye Visibility in Front-Facing Cameras of Smartphones used in the Wild. In Proceedings of the 2018 CHI Conference on Human Factors in Computing Systems, Montreal, QC, Canada, 21–26 April 2018. [Google Scholar]
- Gregory, R.L. Knowledge in perception and illusion. Phil. Trans. R. Soc. Lond. B 1997, 352, 1121–1127. [Google Scholar] [CrossRef] [PubMed]
- Wang, Z.; Jing, J.; Li, L. Time Evolving Graphical Password for Securing Mobile Devices. In Proceedings of the 8th ACM SIGSAC Symposium on Information, Computer and Communications Security, Berlin, Germany, 4–8 November 2013; ACM: New York, NY, USA, 2013; pp. 347–352. [Google Scholar]
- Bennett, K. Linguistic Steganography: Survey, Analysis, and Robustness Concerns for Hiding Information in Text; Purdue University: West Lafayette, IN, USA, 2004. [Google Scholar]
- Shirali-Shahreza, M.H.; Shirali-Shahreza, M. A New Approach to Persian/Arabic Text Steganography. In Proceedings of the 5th IEEE/ACIS International Conference on Computer and Information Science and 1st IEEE/ACIS International Workshop on Component-Based Software Engineering, Software Architecture and Reuse (ICIS-COMSAR’06), Honolulu, HI, USA, 10–12 July 2006; pp. 310–315. [Google Scholar]
- Petitcolas, F.A.P.; Anderson, R.J.; Kuhn, M.G. Information Hiding–A Survey. Proc. IEEE 1999, 87, 1062–1078. [Google Scholar] [CrossRef]
- Davies, D. RandomText API. 2014. Available online: http://www.randomtext.me/ (accessed on 8 December 2016).
- Wayner, P. Spam Mimic. 2000. Available online: http://www.spammimic.com/ (accessed on 8 December 2016).
- Majaranta, P.; Bulling, A. Eye Tracking and Eye-Based Human—Computer Interaction. In Advances in Physiological Computing; Fairclough, S.H., Gilleade, K., Eds.; Springer: London, UK, 2014; pp. 39–65. [Google Scholar]
- Duchowski, A.; Vertegaal, R. Eye-Based Interaction in Graphical Systems: Theory & Practice; ACM: New York, NY, USA, 2000. [Google Scholar]
- Ho, J.; Pointner, R.; Shih, H.C.; Lin, Y.C.; Chen, H.Y.; Tseng, W.L.; Chen, M.Y. EyeProtector: Encouraging a Healthy Viewing Distance when Using Smartphones. In Proceedings of the 17th International Conference on Human-Computer Interaction with Mobile Devices and Services, Copenhagen, Denmark, 24–27 August 2015; ACM: New York, NY, USA, 2015; pp. 77–85. [Google Scholar]
- Huang, M.X.; Li, J.; Ngai, G.; Leong, H.V. ScreenGlint: Practical, In-situ Gaze Estimation on Smartphones. In Proceedings of the 2017 CHI Conference on Human Factors in Computing Systems, Denver, CO, USA, 6–11 May 2017; ACM: New York, NY, USA, 2017; pp. 2546–2557. [Google Scholar]
- Core Image Filter Reference. 2018. Available online: https://developer.apple.com/library/content/documentation/GraphicsImaging/Reference/CoreImageFilterReference/index.html (accessed on 29 January 2018).
- Wood, E.; Bulling, A. EyeTab: Model-based Gaze Estimation on Unmodified Tablet Computers. In Proceedings of the Symposium on Eye Tracking Research and Applications, Safety Harbor, FL, USA, 26–28 March 2014; ACM: New York, NY, USA, 2014; pp. 207–210. [Google Scholar]
- Krafka, K.; Khosla, A.; Kellnhofer, P.; Kannan, H.; Bhandarkar, S.; Matusik, W.; Torralba, A. Eye Tracking for Everyone. In Proceedings of the 2016 IEEE Conference on Computer Vision and Pattern Recognition (CVPR), Las Vegas, NV, USA, 26 June–1 July 2016; pp. 2176–2184. [Google Scholar]
- Kassner, M.; Patera, W.; Bulling, A. Pupil: An Open Source Platform for Pervasive Eye Tracking and Mobile Gaze-based Interaction. In Proceedings of the 2014 ACM International Joint Conference on Pervasive and Ubiquitous Computing: Adjunct Publication, Seattle, WA, USA, 13–17 September 2014; ACM: New York, NY, USA, 2014; pp. 1151–1160. [Google Scholar]
- Ponemon Institute. Global Visual Hacking Experimental Study: Analysis; Ponemon Institute: Traverse City, MI, USA, 2016. [Google Scholar]
- Süddeutschen-Zeitung Jetzt.de—WhatsApp Column. 2018. Available online: http://www.jetzt.de/tag/whatsapp-kolumne (accessed on 29 January 2018).
- American Association of Teachers of German. Practice Exams. 2016. Available online: http://www.aatg.org/?page=NGEPracExams (accessed on 29 January 2018).
- De Luca, A.; von Zezschwitz, E.; Pichler, L.; Hussmann, H. Using Fake Cursors to Secure On-screen Password Entry. In Proceedings of the SIGCHI Conference on Human Factors in Computing Systems, Paris, France, 27 April–2 May 2013; ACM: New York, NY, USA, 2013; pp. 2399–2402. [Google Scholar]
- Bérard, P.; Bradley, D.; Nitti, M.; Beeler, T.; Gross, M. High-quality Capture of Eyes. ACM Trans. Graph. 2014, 33, 223. [Google Scholar] [CrossRef]




| Spot Size | Mask | |||||
|---|---|---|---|---|---|---|
| Small Spot | Large Spot | No-Mask | Blackout | Crystallize | Fake Text | |
| Median | 2.00 | 4.00 | 5.00 | 3.00 | 4.00 | 1.00 |
| SD | 0.92 | 1.00 | 0.00 | 0.19 | 0.92 | 0.69 |
© 2018 by the authors. Licensee MDPI, Basel, Switzerland. This article is an open access article distributed under the terms and conditions of the Creative Commons Attribution (CC BY) license (http://creativecommons.org/licenses/by/4.0/).
Share and Cite
Khamis, M.; Eiband, M.; Zürn, M.; Hussmann, H. EyeSpot: Leveraging Gaze to Protect Private Text Content on Mobile Devices from Shoulder Surfing. Multimodal Technol. Interact. 2018, 2, 45. https://doi.org/10.3390/mti2030045
Khamis M, Eiband M, Zürn M, Hussmann H. EyeSpot: Leveraging Gaze to Protect Private Text Content on Mobile Devices from Shoulder Surfing. Multimodal Technologies and Interaction. 2018; 2(3):45. https://doi.org/10.3390/mti2030045
Chicago/Turabian StyleKhamis, Mohamed, Malin Eiband, Martin Zürn, and Heinrich Hussmann. 2018. "EyeSpot: Leveraging Gaze to Protect Private Text Content on Mobile Devices from Shoulder Surfing" Multimodal Technologies and Interaction 2, no. 3: 45. https://doi.org/10.3390/mti2030045
APA StyleKhamis, M., Eiband, M., Zürn, M., & Hussmann, H. (2018). EyeSpot: Leveraging Gaze to Protect Private Text Content on Mobile Devices from Shoulder Surfing. Multimodal Technologies and Interaction, 2(3), 45. https://doi.org/10.3390/mti2030045

