An Investigation of Microclimatic Influences on Pedestrian Perception and Walking Experience in Contrasting Urban Fabrics: The Case of the Old Town and the Lower City of Béjaïa, Algeria
Abstract
1. Introduction
2. Methodology and Case Study
2.1. Study Context and Investigation Area
- Lower Béjaïa (Figure 1a): Mainly built after Algeria’s independence in 1962, following a more modern urban planning, creating a contrast with the old city.
2.2. Research Methodology
2.2.1. Morphological, Historical, and Iconographic Study
2.2.2. Selection of Study Areas and Itineraries
- (A)
- Selection of study areas throughout the Old and Lower Cities (OC and LC)
- (B)
- Selection of Itineraries
2.3. Periods and Methods of Data Collection
2.3.1. Study Period
2.3.2. Microclimatic Measurements
- (a)
- Microclimatic monitoring
- ▪
- Measurement devices
- (b)
- Sky View Factor (SVF) values
- ▪
- The calculation of SVF using RayMan Pro 3.1 Beta software
2.3.3. Collection of Perceptions and Walking Quality
- (a)
- The questionnaire used to collect pedestrians’ thermal perceptions at each focal point
- The first part collects general information about pedestrians: age, gender, occupation, and clothing.
- (b)
- Perception and mental maps
- (c)
- Direct observation
- (d)
- Sampling and respondent profile
- (e)
- Preparation and consent
- (f)
- The number and characteristics of the participants:
- Thirty-one (31) people participated in the old city (16 participants for OCI1 and 15 participants for OCI2).
- Thirty-nine (39) people participated in the lower city (15 participants for LCI1, 13 participants for LCI2, and 11 participants for LCI3).
3. Results
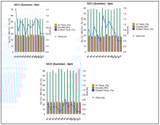
3.1. Microclimatic Measurement Results
3.2. Relationship Between SVF and Surface Temperature (Ts) at 2 p.m
3.3. Relationship Between Sky View Factor (SVF) and Air Temperature (Ta) at 2 p.m.
3.4. Questionnaire Results
- Comparison of squares, gardens, and urban staircases:
3.5. Mental Map Results
3.6. Influence of Non-Physical vs. Physical Factors on Walking Thermal Comfort
4. Discussion and Recommendations
4.1. Influence of Sky View Factor (SVF) on Microclimatic Variables and Pedestrian Perception
4.2. Influence of Wind on Heat Perception (ASV) and Walking Comfort (WTC)
4.3. Influence of Urban Morphology on dASV
4.4. Comparison Between the Old City Zones (OC1 and OC2)
4.5. Comparison Between the Lower City Zones (LC1, LC2, LC3)
4.6. Pedestrians’ Subjective Perceptions Through Mental Maps and Questionnaires in Relation to Microclimatic Measurements
4.7. Strengths and Limitations of the Research
4.7.1. Strengths
4.7.2. Limitations
4.8. Practical and Research Implications
4.8.1. For Urban Planners
4.8.2. For Researchers
5. Conclusions
Author Contributions
Funding
Institutional Review Board Statement
Informed Consent Statement
Data Availability Statement
Conflicts of Interest
Abbreviations
| Symbol/Abbreviation | Definition | Unit |
| ASV | Actual sensation vote | [–] |
| dASV | Differential ASV—change in ASV between two successive points | [–] |
| WSV | Wind Sensation Vote—perceived wind intensity | [–] |
| WTC | Walking thermal comfort | [–] |
| Ta | Air temperature | [°C] |
| Ts | Surface temperature | [°C] |
| Va | Air velocity | [m/s] |
| RH | Relative humidity | [%] |
| ε | Emissivity | [–] |
| SVF | Sky view factor | [–] |
| H/W | Height-to-width ratio of an urban canyon | [–] |
| PET | Physiological equivalent temperature | [°C] |
| Tmrt | Mean Radiant Temperature | [°C] |
| CWI | Comfort Walkability Index | [–] |
| NDVI | Normalized Difference Vegetation Index | [–] |
| R2 | Coefficient of determination (regression model fit) | [–] |
| ρ (Spearman’s) | Spearman’s rank correlation coefficient | [–] |
| τᵦ (Kendall’s) | Kendall’s tau correlation coefficient | [–] |
| R | Statistical computing and data visualization software | [–] |
| OR | Odds Ratio | [–] |
| CI | Confidence Interval | [–] |
| OC | Old city zone (OC1, OC2) | [–] |
| LC | Lower city zone (LC1 to LC3) | [–] |
| OCI | Old city pedestrian itinerary (OCI1, OCI2) | [–] |
| LCI | Lower city pedestrian itinerary (LCI1 to LCI3) | [–] |
| PPSMVSS | Plan Permanent de Sauvegarde et de Mise en Valeur du Secteur Sauvegardé (Algerian urban heritage conservation plan) | [–] |
Appendix A. Information Regarding Temperature and Vegetation in the City of Béjaïa





Appendix B. Sky View Factor (SVF) Values for All Points Across the Five Urban Areas
| Point A | SVF A | Point B | SVF B | Point C | SVF C | Point D | SVF D | Point E | SVF E |
|---|---|---|---|---|---|---|---|---|---|
| A1 | 0.2 | B1 | 0.383 | C1 | 0.097 | D1 | 0.654 | E1 | 0.561 |
| A2 | 0.5 | B2 | 0.698 | C2 | 0.233 | D2 | 0.533 | E2 | 0.451 |
| A3 | 0.4 | B3 | 0.235 | C3 | 0.752 | D3 | 0.872 | E3 | 0.399 |
| A4 | 0.5 | B4 | 0.035 | C4 | 0.188 | D4 | 0.833 | E4 | 0.267 |
| A5 | 0.2 | B5 | 0.382 | C5 | 0.839 | D5 | 0.854 | E5 | 0.690 |
| A6 | 0.3 | B6 | 0.136 | C6 | 0.471 | — | — | — | — |
| A7 | 0.7 | B7 | 0.399 | C7 | 0.864 | — | — | — | — |
| A8 | 0.3 | B8 | 0.692 | — | — | — | — | — | — |
| A9 | 0.5 | B9 | 0.467 | — | — | — | — | — | — |
| A10 | 0.4 | B10 | 0.001 | — | — | — | — | — | — |
| A11 | 0.3 | B11 | 0.697 | — | — | — | — | — | — |
| A12 | 0.3 | — | — | — | — | — | — | — | — |
Appendix C. Methodology for Studying Mental Maps and an Example Created by a Pedestrian Participant


Appendix D. Details of the Participation Rates in the Study
| Zone/Itinerary | Number of Participants | Participants in Both Zones | Unique Participants for This Itinerary | % of Total Participants |
|---|---|---|---|---|
| Old City | ||||
| OCI1 | 16 | 13 | 3 | 22.9% |
| OCI2 | 15 | 12 | 3 | 21.4% |
| Total Old City | 31 | 25 | 6 | 44.3% |
| Lower City | ||||
| LCI1 | 15 | 11 | 4 | 21.4% |
| LCI2 | 13 | 9 | 4 | 18.6% |
| LCI3 | 11 | 5 | 6 | 15.7% |
| Total Lower City | 39 | 25 | 14 | 55.7% |
| Overall Total (Summer) | 70 | 25 | 20 | 100% |
| Category | Number of Participants | Percentage (%) |
|---|---|---|
| Total Participants | 70 | 100.0% |
| Gender | ||
| - Male | 44 | 62.9% |
| - Female | 26 | 37.1% |
| Age Group | ||
| - Under 18 | 10 | 14.3% |
| - 18–30 years | 24 | 34.3% |
| - 31–45 years | 19 | 27.1% |
| - 46–60 years | 14 | 20.0% |
| - Over 60 | 3 | 4.3% |
| Occupation | ||
| - Students | 36 | 51.4% |
| - Professionals | 24 | 34.3% |
| - Retirees | 5 | 7.1% |
| - Others | 5 | 7.1% |
| Status | ||
| - Local residents | 49 | 70.0% |
| - Domestic tourists | 17 | 24.3% |
| - International tourists | 4 | 5.7% |
Appendix E. Results of the Microclimatic Measurements for Each Itinerary






References
- Distefano, N.; Leonardi, S. Fostering Urban Walking: Strategies Focused on Pedestrian Satisfaction. Sustainability 2023, 15, 16649. [Google Scholar] [CrossRef]
- Kuşkapan, E.; Çodur, M.Y. Promoting Pedestrian Transportation to Reducing Air Pollution from Urban Transport. J. Environ. Earth Sci. 2022, 4, 47–53. [Google Scholar] [CrossRef]
- Mansouri, Y.; Attar, A. The Role of Walkability in Creating Sustainable Cities and Communities. Case of the City of Bejaia in Algeria. In Proceedings of the OIC Youth Scientific Congress, Kazan, Russia, 21–25 November 2022. [Google Scholar]
- World Health Organization. WHO Guidelines on Physical Activity and Sedentary Behaviour, 1st ed.; World Health Organization: Geneva, Switzerland, 2020; ISBN 978-92-4-001512-8. [Google Scholar]
- Westenhöfer, J.; Nouri, E.; Reschke, M.L.; Seebach, F.; Buchcik, J. Walkability and Urban Built Environments—A Systematic Review of Health Impact Assessments (HIA). BMC Public Health 2023, 23, 518. [Google Scholar] [CrossRef] [PubMed]
- Karolemeas, C.; Mitropoulos, L.; Koliou, K.; Tzamakos, D.; Stavropoulou, E.; Moschou, E.; Kepaptsoglou, K. A Systematic Literature Review on Health Benefits, Incentives, and Applications to Promote Walking in Urban Areas. Future Transp. 2023, 3, 1385–1400. [Google Scholar] [CrossRef]
- Ungvari, Z.; Fazekas-Pongor, V.; Csiszar, A.; Kunutsor, S.K. The Multifaceted Benefits of Walking for Healthy Aging: From Blue Zones to Molecular Mechanisms. GeroScience 2023, 45, 3211–3239. [Google Scholar] [CrossRef]
- Brouillard, M.; Calleja, E.; Gadaleta, T.; Lang, K. Walking Our Way to a Healthier Australia. Heart Lung Circ. 2024, 33, 144. [Google Scholar] [CrossRef]
- Forsyth, A. What Is a Walkable Place? The Walkability Debate in Urban Design. URBAN Des. Int. 2015, 20, 274–292. [Google Scholar] [CrossRef]
- Hajna, S.; Ross, N.A.; Brazeau, A.-S.; Bélisle, P.; Joseph, L.; Dasgupta, K. Associations between Neighbourhood Walkability and Daily Steps in Adults: A Systematic Review and Meta-Analysis. BMC Public Health 2015, 15, 768. [Google Scholar] [CrossRef]
- Mansouri, Y.; Attar, A. Walking as a Vector of Urban and Landscape Requalification, Focused on the Perception of Lived Spaces. In Proceedings of the 58th ISOCARP World Planning Congress, Brussels, Belgium, 3–6 October 2022. [Google Scholar]
- Tobin, M.; Hajna, S.; Orychock, K.; Ross, N.; DeVries, M.; Villeneuve, P.J.; Frank, L.D.; McCormack, G.R.; Wasfi, R.; Steinmetz-Wood, M.; et al. Rethinking Walkability and Developing a Conceptual Definition of Active Living Environments to Guide Research and Practice. BMC Public Health 2022, 22, 450. [Google Scholar] [CrossRef]
- Venerandi, A.; Mellen, H.; Romice, O.; Porta, S. Walkability Indices—The State of the Art and Future Directions: A Systematic Review. Sustainability 2024, 16, 6730. [Google Scholar] [CrossRef]
- Gao, W.; Qian, Y.; Chen, H.; Zhong, Z.; Zhou, M.; Aminpour, F. Assessment of Sidewalk Walkability: Integrating Objective and Subjective Measures of Identical Context-Based Sidewalk Features. Sustain. Cities Soc. 2022, 87, 104142. [Google Scholar] [CrossRef]
- Huang, X.; Zeng, L.; Liang, H.; Li, D.; Yang, X.; Zhang, B. Comprehensive Walkability Assessment of Urban Pedestrian Environments Using Big Data and Deep Learning Techniques. Sci. Rep. 2024, 14, 26993. [Google Scholar] [CrossRef] [PubMed]
- Chiang, Y.-C.; Lei, H.-Y. Using Expert Decision-Making to Establish Indicators of Urban Friendliness for Walking Environments: A Multidisciplinary Assessment. Int. J. Health Geogr. 2016, 15, 40. [Google Scholar] [CrossRef] [PubMed]
- Poklewski-Koziełł, D.; Dudzic-Gyurkovich, K.; Duarte, C.M. Investigating Urban Form, and Walkability Measures in the New Developments. The Case Study of Garnizon in Gdansk. Land Use Policy 2023, 125, 106471. [Google Scholar] [CrossRef]
- Labdaoui, K.; Mazouz, S.; Acidi, A.; Cools, M.; Moeinaddini, M.; Teller, J. Utilizing Thermal Comfort and Walking Facilities to Propose a Comfort Walkability Index (CWI) at the Neighbourhood Level. Build. Environ. 2021, 193, 107627. [Google Scholar] [CrossRef]
- Fanger, P.O. Thermal Comfort: Analysis and Applications in Environmental Engineering; McGraw-Hill: New York, NY, USA, 1970. [Google Scholar]
- Liu, Z.; Li, J.; Xi, T. A Review of Thermal Comfort Evaluation and Improvement in Urban Outdoor Spaces. Buildings 2023, 13, 3050. [Google Scholar] [CrossRef]
- Boumaraf, H.; Amireche, L. Microclimatic Quality of Urban Routes and Pedestrian Behavior in Arid Zones Case of the City of Biskra, South-East Algeria. Front. Eng. Built Environ. 2023, 3, 93–107. [Google Scholar] [CrossRef]
- Muslimin, R.; Brasier, N. An Analysis of Outdoor Thermal Comfort Impact on Pedestrian Walking Patterns at Sub-Hour Timescales with Agent-Based Modelling. Smart Sustain. Built Environ. 2024. ahead of print. [Google Scholar] [CrossRef]
- Krüger, E.L.; Minella, F.O.; Rasia, F. Impact of Urban Geometry on Outdoor Thermal Comfort and Air Quality from Field Measurements in Curitiba, Brazil. Build. Environ. 2011, 46, 621–634. [Google Scholar] [CrossRef]
- Qaoud, R.; Adel, B.; Sayad, B.; Alkama, D.; Attia, S. Assessing the Influence of Neighborhood Urban Form on Outdoor Thermal Conditions in the Hot Dry City of Biskra, Algeria. Ain Shams Eng. J. 2023, 14, 102525. [Google Scholar] [CrossRef]
- Guo, F.; Luo, M.; Zhang, C.; Cai, J.; Zhang, X.; Zhang, H.; Dong, J. The Mechanism of Street Spatial Form on Thermal Comfort from Urban Morphology and Human-Centered Perspectives: A Study Based on Multi-Source Data. Buildings 2024, 14, 3253. [Google Scholar] [CrossRef]
- Sharmin, T.; Steemers, K.; Matzarakis, A. Microclimatic Modelling in Assessing the Impact of Urban Geometry on Urban Thermal Environment. Sustain. Cities Soc. 2017, 34, 293–308. [Google Scholar] [CrossRef]
- Lau, T.-K.; Lin, T.-P. Lowering the Difficulty of Mesoscale Sky View Factor Mapping Using Satellite Products. Remote Sens. Appl. Soc. Environ. 2024, 34, 101174. [Google Scholar] [CrossRef]
- Nikolopoulou, M. Designing Open Spaces in the Urban Environment: A Bioclimatic Approach; Centre for Renewable Energy Sources, EESD, FP5: Attica, Greece, 2004; ISBN 960-86907-2-2. [Google Scholar]
- Elnabawi, M.H.; Hamza, N.; Dudek, S. Thermal Perception of Outdoor Urban Spaces in the Hot Arid Region of Cairo, Egypt. Sustain. Cities Soc. 2016, 22, 136–145. [Google Scholar] [CrossRef]
- Liu, Z.; Yao, Z.; Wang, R. Evaluating the Surface Temperature and Vegetation Index (Ts/VI) Method for Estimating Surface Soil Moisture in Heterogeneous Regions. Hydrol. Res. 2018, 49, 689–699. [Google Scholar] [CrossRef]
- Salvati, A.; Kolokotroni, M.; Kotopouleas, A.; Watkins, R.; Giridharan, R.; Nikolopoulou, M. Impact of Reflective Materials on Urban Canyon Albedo, Outdoor and Indoor Microclimates. Build. Environ. 2022, 207, 108459. [Google Scholar] [CrossRef]
- Lopez-Cabeza, V.P.; Alzate-Gaviria, S.; Diz-Mellado, E.; Rivera-Gomez, C.; Galan-Marin, C. Albedo Influence on the Microclimate and Thermal Comfort of Courtyards under Mediterranean Hot Summer Climate Conditions. Sustain. Cities Soc. 2022, 81, 103872. [Google Scholar] [CrossRef]
- Lindner-Cendrowska, K.; Kuchcik, M. The Impact of Wind Speed Measurement Method on MRT and PET Values in Limited Air Flow Conditions on Warm, Sunny Days. Int. J. Biometeorol. 2024, 68, 807–810. [Google Scholar] [CrossRef]
- Shooshtarian, S.; Rajagopalan, P. Perception of Wind in Open Spaces. Climate 2019, 7, 106. [Google Scholar] [CrossRef]
- Watanabe, H.; Sugi, T.; Saito, K.; Nagashima, K. Mechanism Underlying the Influence of Humidity on Thermal Comfort and Stress under Mimicked Working Conditions. Physiol. Behav. 2024, 285, 114653. [Google Scholar] [CrossRef]
- Middel, A.; Selover, N.; Hagen, B.; Chhetri, N. Impact of Shade on Outdoor Thermal Comfort—A Seasonal Field Study in Tempe, Arizona. Int. J. Biometeorol. 2016, 60, 1849–1861. [Google Scholar] [CrossRef] [PubMed]
- Chapman, S.; Thatcher, M.; Salazar, A.; Watson, J.E.M.; McAlpine, C.A. The Effect of Urban Density and Vegetation Cover on the Heat Island of a Subtropical City. J. Appl. Meteorol. Climatol. 2018, 57, 2531–2550. [Google Scholar] [CrossRef]
- Weng, Q.; Liu, H.; Lu, D. Assessing the Effects of Land Use and Land Cover Patterns on Thermal Conditions Using Landscape Metrics in City of Indianapolis, United States. Urban Ecosyst. 2007, 10, 203–219. [Google Scholar] [CrossRef]
- Zhao, Q.; Sailor, D.J.; Wentz, E.A. Impact of Tree Locations and Arrangements on Outdoor Microclimates and Human Thermal Comfort in an Urban Residential Environment. Urban For. Urban Green. 2018, 32, 81–91. [Google Scholar] [CrossRef]
- Arrar, F.H.; Kaoula, D.; Matallah, M.E.; Abdessemed-Foufa, A.; Taleghani, M.; Attia, S. Quantification of Outdoor Thermal Comfort Levels under Sea Breeze in the Historical City Fabric: The Case of Algiers Casbah. Atmosphere 2022, 13, 575. [Google Scholar] [CrossRef]
- Ali-Toudert, F.; Mayer, H. Numerical Study on the Effects of Aspect Ratio and Orientation of an Urban Street Canyon on Outdoor Thermal Comfort in Hot and Dry Climate. Build. Environ. 2006, 41, 94–108. [Google Scholar] [CrossRef]
- Ali Smail, S.; Zemmouri, N.; Djenane, M.; Nikolopoulou, M. Investigating the Transient Conditions of “Sabat” Space and Its Influence on Pedestrian Sensations during Thermal Walks. Algiers’ Casbah Case Study. Build. Environ. 2024, 261, 111760. [Google Scholar] [CrossRef]
- Vasilikou, C.; Nikolopoulou, M. Outdoor Thermal Comfort for Pedestrians in Movement: Thermal Walks in Complex Urban Morphology. Int. J. Biometeorol. 2020, 64, 277–291. [Google Scholar] [CrossRef]
- Boumezoued, S.; Bada, Y.; Bougdah, H. Pedestrian Itinerary Choice: Between Multi-Sensory, Affective and Syntactic Aspects of the Street Pattern in the Historic Quarter of Bejaia, Algeria. Int. Rev. Spat. Plan. Sustain. Dev. 2020, 8, 91–108. [Google Scholar] [CrossRef]
- Ikni, K.; Debache-Benzagouta, S.; Woloszyn, P. La Chronotopie Du Paysage Sonore Urbain Des Places Publiques: Le Cas de La Place 1er Novembre 1954 à Béjaïa (Algérie). Cybergeo: European Journal of Geography. Environnement Nature Paysage, Document 942. Available online: http://journals.openedition.org/cybergeo/34704 (accessed on 15 January 2022). [CrossRef]
- Bouaifel, K.; Madani, S. Urban landscape and sensitive dimension. The Case of the old city of Béjaia, Algeria. Bull. Société Géographique Liège 2021, 77, 45–67. [Google Scholar] [CrossRef]
- Caillart, E.; Cusenier, P.; Bazizi, K. Pour la Sauvegarde et la Mise en Valeur de la Médina de Béjaïa 2004. Available online: https://whc.unesco.org/fr/activites/769/ (accessed on 11 January 2022).
- Salvator, L. Bougie, la Perle de l’Afrique du Nord; Jambert, V., Translator; L’Harmattan: Paris, France, 1999. [Google Scholar]
- Mansouri, Y.; Stefàno, D. The Perception of Mediterranean Cities through Walking. The Landscape of Béjaïa in Algeria and Loulé in Portugal. In Proceedings of the International Conference on Changing Cities VI: Spatial, Design, Landscape, Heritage & Socio-economic Dimensions, Rhodes Island, Greece, 24–28 June 2024. [Google Scholar]
- Bardin, L. Le texte et l’image. Commun. Lang. 1975, 26, 98–112. [Google Scholar] [CrossRef]
- Mucchielli, R. L’Analyse de Contenu des Documents et des Communications; ESF Éditeur: Paris, France, 1974; ISBN 978-2-7101-3719-1. [Google Scholar]
- ISO 7726:1998; Ergonomics of the Thermal Environment—Instruments for Measuring Physical Quantities. International Organization for Standardization: Geneva, Switzerland, 1998.
- World Meteorological Organization Guide to Instruments and Methods of Observation; WMO-No. 8; World Meteorological Organization: Geneva, Switzerland, 2018.
- Matallah, M.E.; Alkama, D.; Ahriz, A.; Attia, S. Assessment of the Outdoor Thermal Comfort in Oases Settlements. Atmosphere 2020, 11, 185. [Google Scholar] [CrossRef]
- Matzarakis, A.; Graw, K. Human Bioclimate Analysis for the Paris Olympic Games. Atmosphere 2022, 13, 269. [Google Scholar] [CrossRef]
- Matzarakis, A.; Gangwisch, M.; Fröhlich, D. RayMan and SkyHelios Model. In Urban Microclimate Modelling for Comfort and Energy Studies; Palme, M., Salvati, A., Eds.; Springer International Publishing: Cham, Switzerland, 2021; pp. 339–361. ISBN 978-3-030-65420-7. [Google Scholar]
- Matzarakis, A.; Laschewski, G.; Muthers, S. The Heat Health Warning System in Germany—Application and Warnings for 2005 to 2019. Atmosphere 2020, 11, 170. [Google Scholar] [CrossRef]
- Fröhlich, D.; Gangwisch, M.; Matzarakis, A. Effect of Radiation and Wind on Thermal Comfort in Urban Environments—Application of the RayMan and SkyHelios Model. Urban Clim. 2019, 27, 1–7. [Google Scholar] [CrossRef]
- Matzarakis, A. Comments about Urban Bioclimate Aspects for Consideration in Urban Climate and Planning Issues in the Era of Climate Change. Atmosphere 2021, 12, 546. [Google Scholar] [CrossRef]
- Matzarakis, A.; Fröhlich, D. Influence of Urban Green on Human Thermal Bioclimate—Application of Thermal Indices and Micro-Scale Models. Acta Hortic. 2018, 1215, 1–10. [Google Scholar] [CrossRef]
- Matzarakis, A.; Rutz, F.; Mayer, H. Modelling Radiation Fluxes in Simple and Complex Environments: Basics of the RayMan Model. Int. J. Biometeorol. 2010, 54, 131–139. [Google Scholar] [CrossRef]
- Matzarakis, A.; Rutz, F.; Mayer, H. Modelling Radiation Fluxes in Simple and Complex Environments—Application of the RayMan Model. Int. J. Biometeorol. 2007, 51, 323–334. [Google Scholar] [CrossRef]
- Vallejo-Borda, J.A.; Cantillo, V.; Rodriguez-Valencia, A. A Perception-Based Cognitive Map of the Pedestrian Perceived Quality of Service on Urban Sidewalks. Transp. Res. Part F Traffic Psychol. Behav. 2020, 73, 107–118. [Google Scholar] [CrossRef]
- Huguenin-Richard, F.; Cloutier, M.-S. Mesure du Potentiel de Marche et de l’accessibilité dans les Espaces Urbains pour les Piétons Âgés. Flux 2021, 123, 30–53. [Google Scholar] [CrossRef]
- Limna, P. The Impact of NVivo in Qualitative Research: Perspectives from Graduate Students. J. Appl. Learn. Teach. 2023, 6, 6.2.17. [Google Scholar] [CrossRef]
- ISO 20252:2019; Market, Opinion and Social Research, Including Insights and Data Analytics—Vocabulary and Service Requirements. International Organization for Standardization: Geneva, Switzerland, 2019.
- Kuo, C.-Y.; Wang, R.-J.; Lin, Y.-P.; Lai, C.-M. Urban Design with the Wind: Pedestrian-Level Wind Field in the Street Canyons Downstream of Parallel High-Rise Buildings. Energies 2020, 13, 2827. [Google Scholar] [CrossRef]
- Adamek, K.; Vasan, N.; Elshaer, A.; English, E.; Bitsuamlak, G. Pedestrian Level Wind Assessment through City Development: A Study of the Financial District in Toronto. Sustain. Cities Soc. 2017, 35, 178–190. [Google Scholar] [CrossRef]
- Wang, R.; Liu, Y. A Long Sequence Urban Block Wind Speed Prediction and Wind-Induced Pedestrian Risk Analysis Method. In Proceedings of the IEEE 2024 3rd International Conference on Artificial Intelligence, Internet of Things and Cloud Computing Technology (AIoTC), Wuhan, China, 13 September 2024; pp. 248–251. [Google Scholar]
- Wu, B.; Zhang, Y.; Wang, Y.; He, Y.; Wang, J.; Wu, Y.; Lin, X.; Wu, S. Mitigation of Urban Heat Island in China (2000–2020) through Vegetation-Induced Cooling. Sustain. Cities Soc. 2024, 112, 105599. [Google Scholar] [CrossRef]
- Calhoun, Z.D.; Willard, F.; Ge, C.; Rodriguez, C.; Bergin, M.; Carlson, D. Estimating the Effects of Vegetation and Increased Albedo on the Urban Heat Island Effect with Spatial Causal Inference. Sci. Rep. 2024, 14, 540. [Google Scholar] [CrossRef]
- Schlaerth, H.L.; Silva, S.J.; Li, Y.; Li, D. Albedo as a Competing Warming Effect of Urban Greening. J. Geophys. Res. Atmospheres 2023, 128, e2023JD038764. [Google Scholar] [CrossRef]
- Wei, R.; Yan, J.; Cui, Y.; Song, D.; Yin, X.; Sun, N. Studies on the Specificity of Outdoor Thermal Comfort during the Warm Season in High-Density Urban Areas. Buildings 2023, 13, 2473. [Google Scholar] [CrossRef]
- Lau, K.K.-L.; Choi, C.Y. The Influence of Perceived Aesthetic and Acoustic Quality on Outdoor Thermal Comfort in Urban Environment. Build. Environ. 2021, 206, 108333. [Google Scholar] [CrossRef]
- Guergour, H.; Cheraitia, M.; Dechaicha, A.; Alkama, D. Optimization of Urban Morphology to Enhance Outdoor Thermal Comfort: A Microclimate Analysis. J. Bulg. Geogr. Soc. 2024, 51, 107–130. [Google Scholar] [CrossRef]
- Salmanian, M.; Mousavi, M.; Nasirimehr, P.; Takhmiri, H.; Binti Ujang, N.; Fairuz Shahidan, M.; Binti Dahlan, N.D. Examining the influence of urban form on the thermal comfort of street canyons in tehran: A case study of narmak neighbourhood. J. Archit. Plan. Constr. Manag. 2024, 14. [Google Scholar] [CrossRef]
- Diz-Mellado, E.; López-Cabeza, V.P.; Roa-Fernández, J.; Rivera-Gómez, C.; Galán-Marín, C. Energy-Saving and Thermal Comfort Potential of Vernacular Urban Block Porosity Shading. Sustain. Cities Soc. 2023, 89, 104325. [Google Scholar] [CrossRef]
- Siani, R.; De Luca, F.; Gherri, B. Improving Climate Adaptation of Urban Spaces in Historical Contexts Through Shading Structures—A Case Study of Integration of Research and Student Work in Italy. In Blucher Design Proceedings; Editora Blucher: Punta del Este, Uruguay, 2024; pp. 82–93. [Google Scholar]
- Behzad, Z.; Guilandoust, A. Enhancing Outdoor Thermal Comfort in a Historic Site in a Hot Dry Climate (Case Study: Naghsh-e-Jahan Square, Isfahan). Sustain. Cities Soc. 2024, 102, 105209. [Google Scholar] [CrossRef]
- Gehl, J. Life Between Buildings: Using Public Space; Island Press: Washington, DC, USA, 2011; ISBN 978-1-59726-827-1. [Google Scholar]
- Bowler, D.E.; Buyung-Ali, L.M.; Knight, T.M.; Pullin, A.S. A Systematic Review of Evidence for the Added Benefits to Health of Exposure to Natural Environments. BMC Public Health 2010, 10, 456. [Google Scholar] [CrossRef]
- Ji, W.; Cao, B.; Luo, M.; Zhu, Y. Influence of Short-Term Thermal Experience on Thermal Comfort Evaluations: A Climate Chamber Experiment. Build. Environ. 2017, 114, 246–256. [Google Scholar] [CrossRef]
- Lau, K.K.-L.; Shi, Y.; Ng, E.Y.-Y. Dynamic Response of Pedestrian Thermal Comfort under Outdoor Transient Conditions. Int. J. Biometeorol. 2019, 63, 979–989. [Google Scholar] [CrossRef]
- Jiang, Y.; Liu, D.; Ren, L.; Grekousis, G.; Lu, Y. Tree Abundance, Species Richness, or Species Mix? Exploring the Relationship between Features of Urban Street Trees and Pedestrian Volume in Jinan, China. Urban For. Urban Green. 2024, 95, 128294. [Google Scholar] [CrossRef]
- Norton, B.A.; Mears, M.; Warren, P.H.; Siriwardena, G.M.; Plummer, K.E.; Turner, T.; Hancock, S.; Grafius, D.R.; Evans, K.L. Biodiversity and Environmental Stressors along Urban Walking Routes. Urban For. Urban Green. 2023, 85, 127951. [Google Scholar] [CrossRef]
- Janeczko, E.; Czyżyk, K.; Korcz, N.; Woźnicka, M.; Bielinis, E. The Psychological Effects and Benefits of Using Green Spaces in the City: A Field Experiment with Young Polish Adults. Forests 2023, 14, 497. [Google Scholar] [CrossRef]
- Rathnayke, S.; Amofah, S. Health and Wellbeing Implications of Urban Green Exposure on Young Adults in a European City. J. Adv. Res. Soc. Sci. 2023, 6, 53–70. [Google Scholar] [CrossRef]














| Area | Crossed Areas | Itinerary | Main Characteristics of the Crossed Areas |
|---|---|---|---|
| Old City (OC) | OC1 | OCI1 | Pre-colonial and colonial fabric (presence of Kabyle and Ottoman style) |
| OC2 | OCI2 | Mainly colonial fabric with traces of pre-colonial fabric | |
| Lower City (LC) | LC1 | LCI1 | Planned area, structured in blocks |
| LC2 | LCI2 | Planned area (mixed industrial zone) | |
| LC3 | LCI3 | Transition between planned and unplanned areas |
| Microclimatic Variables | Unit of Measurement | Instrument Used | Accuracy |
|---|---|---|---|
| Air Temperature (Ta) | °C | Testo 174 H | ±0.5 °C (−20 to +70 °C) |
| Relative Humidity (RH) | % | ±3% (0 to 100%) | |
| Wind Speed (Va) | m/s | Testo 405i | ±(0.3 m/s + 5% v.m.) (2 to 15 m/s) |
| ±(0.1 m/s + 5% v.m.) (0 to 2 m/s) | |||
| Surface Temperature (Ts) | °C | Testo 830-T1 | 0.1 to 1.0 adjustable |
| Fisheye Images | |||
| Camera | Canon EOS 2000D | Processing Software | RayMan Pro 3.1 Beta |
| Element | Question | Answer Options |
|---|---|---|
| Temperature (ASV) Actual Sensation Vote | How do you feel the temperature at this moment? | (1) Cold (2) Cool (3) Neither hot nor cool (4) Warm (5) hot |
| Wind (WSV) Wind Sensation Vote | How do you feel the wind at this moment? | (1) No wind (2) Light breeze (3) Pleasant (4) Windy (5) Very windy |
| Thermal Variation (dASV) Differential Actual Sensation Vote | Do you feel a thermal variation compared to your previous sensation? | (1) Colder (2) Cooler (3) No variation (4) Warmer (5) Much warmer |
| Walking Thermal Comfort (WTC) | How do you find the comfort of your walk based on the thermal conditions? | (1) Very uncomfortable due to cold (2) Uncomfortable due to cold (3) Comfortable (4) Uncomfortable due to heat (5) Very uncomfortable due to heat |
Disclaimer/Publisher’s Note: The statements, opinions and data contained in all publications are solely those of the individual author(s) and contributor(s) and not of MDPI and/or the editor(s). MDPI and/or the editor(s) disclaim responsibility for any injury to people or property resulting from any ideas, methods, instructions or products referred to in the content. |
© 2025 by the authors. Licensee MDPI, Basel, Switzerland. This article is an open access article distributed under the terms and conditions of the Creative Commons Attribution (CC BY) license (https://creativecommons.org/licenses/by/4.0/).
Share and Cite
Mansouri, Y.; Matallah, M.E.; Attar, A.; Mahar, W.A.; Attia, S. An Investigation of Microclimatic Influences on Pedestrian Perception and Walking Experience in Contrasting Urban Fabrics: The Case of the Old Town and the Lower City of Béjaïa, Algeria. Urban Sci. 2025, 9, 243. https://doi.org/10.3390/urbansci9070243
Mansouri Y, Matallah ME, Attar A, Mahar WA, Attia S. An Investigation of Microclimatic Influences on Pedestrian Perception and Walking Experience in Contrasting Urban Fabrics: The Case of the Old Town and the Lower City of Béjaïa, Algeria. Urban Science. 2025; 9(7):243. https://doi.org/10.3390/urbansci9070243
Chicago/Turabian StyleMansouri, Yacine, Mohamed Elhadi Matallah, Abdelghani Attar, Waqas Ahmed Mahar, and Shady Attia. 2025. "An Investigation of Microclimatic Influences on Pedestrian Perception and Walking Experience in Contrasting Urban Fabrics: The Case of the Old Town and the Lower City of Béjaïa, Algeria" Urban Science 9, no. 7: 243. https://doi.org/10.3390/urbansci9070243
APA StyleMansouri, Y., Matallah, M. E., Attar, A., Mahar, W. A., & Attia, S. (2025). An Investigation of Microclimatic Influences on Pedestrian Perception and Walking Experience in Contrasting Urban Fabrics: The Case of the Old Town and the Lower City of Béjaïa, Algeria. Urban Science, 9(7), 243. https://doi.org/10.3390/urbansci9070243

