Mechanical Performance and Tribological Behavior of WC-ZrO2 Composites with Different Content of Graphene Oxide Fabricated by Spark Plasma Sintering
Abstract
1. Introduction
2. Materials and Methods
2.1. Graphene Oxide Preparation
2.2. Powder Processing and Sintering
2.3. Microstructural Characterization
2.4. X-Ray Diffraction (XRD) and Raman Characterization
2.5. Density and Mechanical Properties Characterization
2.6. Measurement of Electrical Resistance
2.7. Wear Test Set-Up and Conditions
3. Results and Discussion
4. Conclusions
Author Contributions
Funding
Institutional Review Board Statement
Informed Consent Statement
Data Availability Statement
Acknowledgments
Conflicts of Interest
Appendix A
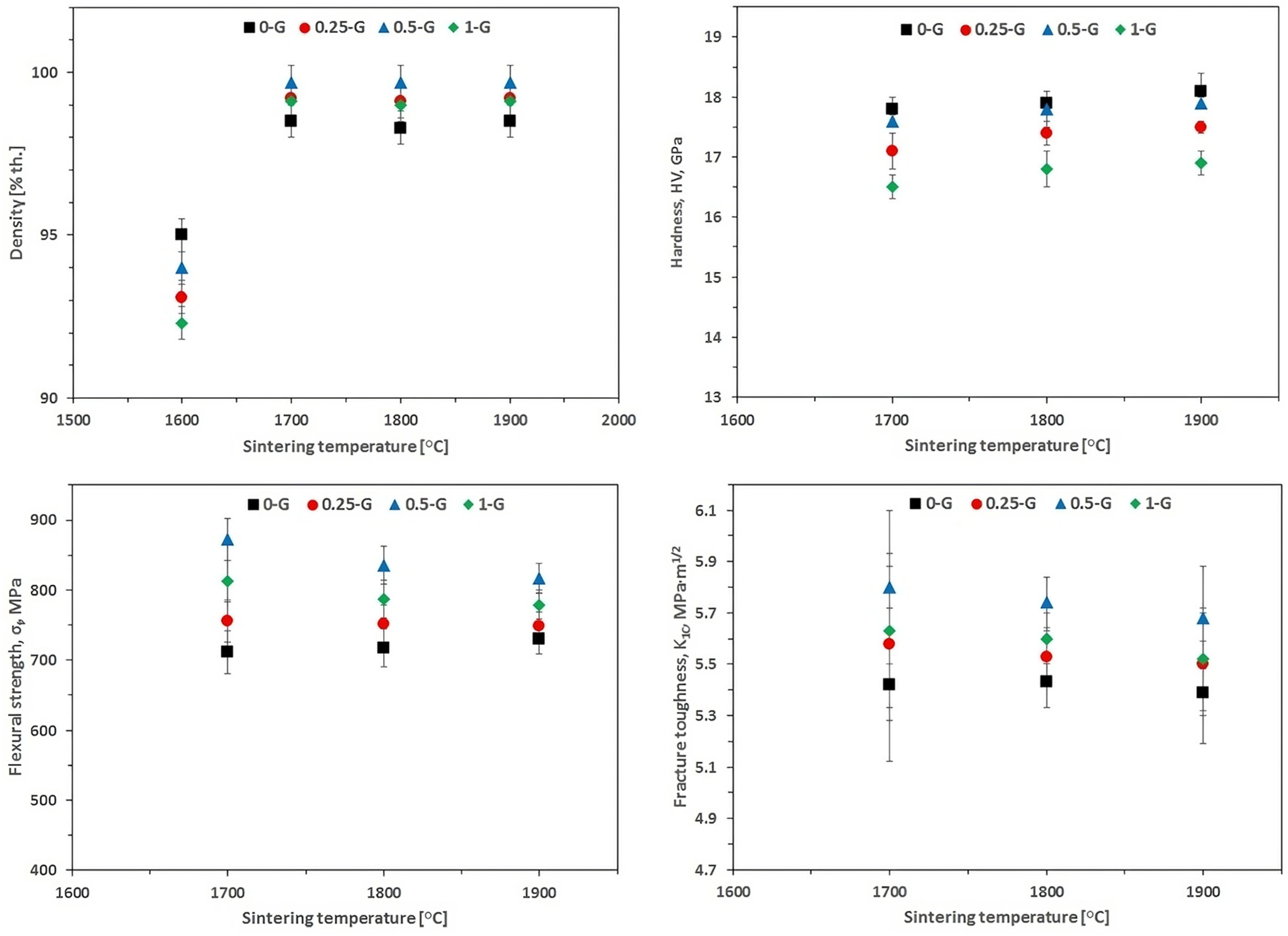
| Sintering Temperature, °C | 0-G | 0.25-G | 0.5-G | 1-G |
|---|---|---|---|---|
| Density, %th. | ||||
| 1600 | 95.0 ± 0.5 | 93.1 ± 0.5 | 94.0 ± 0.5 | 92.3 ± 1.5 |
| 1700 | 98.5 ± 0.5 | 99.2 ± 0.5 | 99.7 ± 0.5 | 99.1 ± 0.5 |
| 1800 | 98.3 ± 0.5 | 99.1 ± 0.5 | 99.7 ± 0.5 | 99.0 ± 0.5 |
| 1900 | 98.5 ± 0.5 | 99.2 ± 0.5 | 99.7 ± 0.5 | 99.1 ± 0.5 |
| Hardness, HV, GPa | ||||
| 1600 | - | - | - | - |
| 1700 | 17.8 ± 0.2 | 17.1 ± 0.3 | 17.6 ± 0.1 | 16.5 ± 0.2 |
| 1800 | 17.9 ± 0.1 | 17.4 ± 0.2 | 17.8 ± 0.3 | 16.8 ± 0.3 |
| 1900 | 18.1 ± 0.3 | 17.5 ± 0.1 | 17.9 ± 0.1 | 16.9 ± 0.2 |
| Flexural strength, σf, MPa | ||||
| 1600 | - | - | - | - |
| 1700 | 711.0 ± 30 | 756.0 ± 30 | 872.0 ± 30 | 813.0 ± 30 |
| 1800 | 718.0 ± 27 | 751.0 ± 27 | 835.0 ± 27 | 787.0 ± 27 |
| 1900 | 730.0 ± 21 | 748.0 ± 21 | 817.0 ± 21 | 779.0 ± 21 |
| Fracture toughness, K1C, MPa·m1/2 | ||||
| 1600 | - | - | - | - |
| 1700 | 5.42 ± 0.3 | 5.58 ± 0.3 | 5.8 ± 0.3 | 5.63 ± 0.3 |
| 1800 | 5.43 ± 0.1 | 5.53 ± 0.1 | 5.74 ± 0.1 | 5.6 ± 0.1 |
| 1900 | 5.39 ± 0.2 | 5.5 ± 0.2 | 5.68 ± 0.2 | 5.52 ± 0.2 |
References
- Katiyar, P.K.; Singh, P.K.; Singh, R.; Kumar, A. Modes of failure of cemented tungsten carbide tool bits (WC/Co): A study of wear parts. Int. J. Refract. Metals Hard Mater. 2016, 54, 27–38. [Google Scholar] [CrossRef]
- Cramer, C.L.; Aguirre, T.G.; Wieber, N.R.; Lowden, R.A.; Trofimov, A.A.; Wang, H.; Yan, J.; Paranthaman, M.P.; Elliot, A.M. Binder jet printed WC infiltrated with pre-made melt of WC and Co. Int. J. Refract. Metals Hard Mater. 2019, 87, 105137. [Google Scholar] [CrossRef]
- Grigoriev, S.N.; Fedorov, S.V.; Hamdy, K. Materials, properties, manufacturing methods and cutting performance of innovative ceramic cutting tools—A review. Manufact. Rev. 2019, 6, 19. [Google Scholar] [CrossRef]
- Grigoriev, S.N.; Kuzin, V.V. Prospects for tools with ceramic cutting plates in modern metal working. Glass Ceram. 2011, 68, 253–257. [Google Scholar] [CrossRef]
- Pristinskiy, Y.; Peretyagin, N.; Solis Pinargote, N.W. Comparative studies on mechanical properties of WC-Co composites sintered by SPS and conventional techniques. MATEC Web Conf. 2017, 129, 0202. [Google Scholar] [CrossRef]
- He, J.; Schoenung, J.M. A review on nanostructured WC–Co coatings. Surf. Coat. Technol. 2002, 157, 72–79. [Google Scholar] [CrossRef]
- de Villiers Lovelock, H.L. Powder/Processing/Structure Relationships in WC-Co Thermal Spray Coatings: A Review of the Published Literature. J. Therm. Spray Technol. 1998, 7, 357–373. [Google Scholar] [CrossRef]
- Shao, G.; Duan, J.R.; Xie, X.; Yu, X.; Zhang, W.; Yuan, R. Sintering of nanocrystalline WC-Co composite powder. Rev. Adv. Mater. Sci. 2003, 5, 281–286. [Google Scholar]
- Park, C.; Kim, J.; Kang, S. Effect of cobalt on the synthesis and sintering of WC-Co composite powders. J. Alloys Compd. 2018, 766, 564–571. [Google Scholar] [CrossRef]
- Huang, S.; Vanmeensel, K.; Van Der Biest, O.; Vluegels, J. Sintering, thermal stability and mechanical properties of ZrO2-WC composites obtained by pulsed electric current sintering. Front. Mater. Sci. 2011, 5, 50–56. [Google Scholar] [CrossRef]
- Sun, J.; Zhao, J.; Gong, F.; Ni, X.; Li, Z. Development and application of WC-based alloys bonded with alternative binder phase. Crit. Rev. Solid State Mater. Sci. 2018, 44, 211–238. [Google Scholar] [CrossRef]
- Xia, X.; Li, X.; Li, J.; Zheng, D. Microstructure and characterization of WC-2.8wt% Al2O3-6.8wt% ZrO2 composites produced by spark plasma sintering. Ceram. Int. 2016, 42, 14182–14188. [Google Scholar] [CrossRef]
- Zheng, D.; Li, X.; Li, Y.; Qu, S.; Yang, C. ZrO2 (3Y) toughened WC composites prepared by spark plasma sintering. J. Alloys Comp. 2013, 572, 62–67. [Google Scholar] [CrossRef]
- Radajewski, M.; Schimpf, C.; Krüger, L. Study of processing routes for WC-MgO composites with varying MgO contents consolidated by FAST/SPS. J. Eur. Ceram. Soc. 2017, 37, 2031–2037. [Google Scholar] [CrossRef]
- Oh, S.J.; Kim, B.S.; Yoon, J.K.; Hong, K.T.; Shon, I.J. Enhanced mechanicalproperties and consolidation of the ultra-fine WC–Al2O3 composites using pulsed current activated heating. Ceram. Int. 2016, 42, 9304–9310. [Google Scholar] [CrossRef]
- Kuzin, V.V.; Fedorov, S.Y.; Grigoriev, S.N. Features of Al2O3–TiC-Ceramic specimen edge morphology formation during diamond grinding. Refract. Ind. Ceram. 2017, 58, 319–323. [Google Scholar] [CrossRef]
- Basu, B.; Venkateswaran, T.; Sarkar, D. Pressureless sintering and tribological properties of WC–ZrO2 composites. J. Eur. Ceram. Soc. 2005, 25, 1603–1610. [Google Scholar] [CrossRef]
- Ouyang, C.; Zhu, S.; Li, D.Y. Experimental and simulation studies on the solid-particle erosion of WC-MgO composites. Tribol. Lett. 2013, 52, 501–510. [Google Scholar] [CrossRef]
- Ouyang, C.; Zhu, S.; Li, D.Y. Corrosion and corrosive wear behavior of WC–MgO composites with and without grain-growth inhibitors. J. Alloys Comp. 2014, 615, 146–155. [Google Scholar] [CrossRef]
- Su, Q.; Zhu, S.; Ding, H.; Bai, Y.; Di, P. Effect of the additive VC on tribological properties of WC-Al2O3 composites. Int. J. Refract. Metals Hard Mater. 2018, 75, 111–117. [Google Scholar] [CrossRef]
- Mukhopadhyay, A.; Chakravarty, D.; Basu, B. Spark Plasma-Sintered WC-ZrO2-Co Nanocomposites with High Fracture Toughness and Strength. J. Am. Ceram. Soc. 2010, 93, 1754–1763. [Google Scholar] [CrossRef]
- Basu, B.; Lee, J.H.; Kim, D.Y. Development of WC-ZrO2Nanocomposites by Spark Plasma Sintering. J. Am. Ceram. Soc. 2004, 87, 317–319. [Google Scholar] [CrossRef]
- Malek, O.; Lauwers, B.; Perez, Y.; De Baets, P.; Vleugels, J. Processing of ultrafine ZrO2 toughened WC composites. J. Am. Ceram. Soc. 2009, 29, 3371–3378. [Google Scholar] [CrossRef]
- Lantsev, E.A.; Nokhrin, A.V.; Boldin, M.S.; Smetanina, K.E.; Blagoveshchenskii, Y.V.; Isaeva, N.V.; Murashov, A.A.; Chuvil’deev, V.N.; Terentev, A.V.; Tabachkova, N.Y. Preparation of Ultrafine-Grained WC–ZrO2 Ceramics by Spark Plasma Sintering. Inorg. Mater. 2023, 59, 537–543. [Google Scholar] [CrossRef]
- Golub, A.V.; Semenov, O.V.; Gurtovoy, V.N. Nanostructural Composites in the WC/ZrO2 (Y2O3) System. Key Eng. Mater. 2019, 822, 298–303. [Google Scholar] [CrossRef]
- Liang, Z.; Liu, X.; Zhao, Z.; Lu, H.; Wang, H.; Liu, C.; Wang, M.; Song, X. Enhancing hardness and toughness of WC simultaneously by dispersed ZrO2. Mater. Sci. Eng. A 2023, 870, 144905. [Google Scholar] [CrossRef]
- Venkateswaran, T.; Sarkar, D.; Basu, B. Tribological Properties of WC-ZrO2 Nanocomposites. J. Am. Ceram. Soc. 2005, 88, 691–697. [Google Scholar] [CrossRef]
- Geim, A.K.; Novoselov, K.S. The rise of graphene. Nat. Mater. 2007, 6, 183–191. [Google Scholar] [CrossRef]
- Lee, C.; Wei, X.; Kysar, J.W.; Hone, J. Measurement of the elastic properties and intrinsic strength of monolayer graphene. Science 2008, 321, 385. [Google Scholar] [CrossRef]
- Zhai, W.; Srikanth, N.; Kong, L.B.; Zhou, K. Carbon nanomaterials in tribology. Carbon 2017, 119, 150–171. [Google Scholar] [CrossRef]
- Grigoriev, S.; Smirnov, A.; Pinargote, N.W.S.; Yanushevich, O.; Kriheli, N.; Kramar, O.; Pristinskiy, Y.; Peretyagin, P. Evaluation of mechanical and electrical performance of aging resistance ZTA composites reinforced with graphene oxide consolidated by SPS. Materials 2022, 15, 2419. [Google Scholar] [CrossRef] [PubMed]
- Porwal, H.; Grasso, S.; Mani, M.K.; Reece, M.J. In situ reduction of graphene oxide nanoplatelet during spark plasma sintering of a silica matrix composite. J. Am. Ceram. Soc. 2014, 34, 3357–3364. [Google Scholar] [CrossRef]
- Xia, H.; Zhang, X.; Shi, Z.; Zhao, C.; Li, Y.; Wang, J.; Qiao, G. Mechanical and thermal properties of reduced graphene oxide reinforced aluminum nitride ceramic composites. Mater. Sci. Eng. A 2015, 639, 29–36. [Google Scholar] [CrossRef]
- Rincón, A.; Moreno, R.; Chinelatto, A.S.A.; Gutierrez, C.F.; Rayón, E.; Salvador, M.D.; Borrell, A. Al2O3-3YTZP-Graphene multilayers produced by tape casting and spark plasma sintering. J. Am. Ceram. Soc. 2014, 34, 2427–2434. [Google Scholar] [CrossRef]
- Broniszewski, K.; Wozniak, J.; Cygan, T.; Kostecki, M.; Moszczynska, D.; Chmielewski, M.; Dydek, K.; Olszyna, A. Effect of Anisotropy of Reduced Graphene Oxide on Thermal and Electrical Properties in Silicon Carbide Matrix Composites. Nanomaterials 2024, 14, 555. [Google Scholar] [CrossRef]
- Centeno, A.; Rocha, V.G.; Alonso, B.; Fernández, A.; Gutierrez-Gonzalez, C.F.; Torrecillas, R.; Zurutuza, A. Graphene for tough and electroconductive alumina ceramics. J. Am. Ceram. Soc. 2013, 33, 3201–3210. [Google Scholar] [CrossRef]
- Liu, L.; Zhou, M.; Jin, L.; Li, L.; Mo, Y.; Su, G.; Tian, Y. Recent advances in friction and lubrication of graphene and other 2D materials: Mechanisms and applications. Friction 2019, 7, 199–216. [Google Scholar] [CrossRef]
- Nyholm, N.; Espallargas, N. Functionalized carbon nanostructures as lubricant additives—A review. Carbon 2023, 201, 1200–1228. [Google Scholar] [CrossRef]
- Tomanik, E.; Christinelli, W.; Souza, R.M.; Oliveira, V.L.; Ferreira, F.; Zhmud, B. Review of Graphene-Based Materials for Tribological Engineering Applications. Eng 2023, 4, 2764–2811. [Google Scholar] [CrossRef]
- Meleshkin, Y.; Solis, W.; Smirnov, A. Influence of graphene oxide content on the wear resistance of zirconia toughened alumina composites consolidated by spark plasma sintering. High Temp. Mater. Processes 2023, 28, 81–91. [Google Scholar] [CrossRef]
- Smirnov, A.; Peretyagin, P.; Bartolomé, J.F. Processing and mechanical properties of new hierarchical metal-graphene flakes reinforced ceramic matrix composites. J. Eur. Ceram. Soc. 2019, 39, 3491–3497. [Google Scholar] [CrossRef]
- Hummers, W.S., Jr.; Offeman, R.E. Preparation of graphitic oxide. J. Am. Chem. Soc. 1958, 80, 1339. [Google Scholar] [CrossRef]
- Botas, C.; Perez-Mas, A.M.; Alvarez, P.; Santamaria, R.; Granda, M.; Blanco, C.; Menendez, R. Optimization of the size and yield of graphene oxide sheets in the exfoliation step. Carbon 2013, 63, 576–578. [Google Scholar] [CrossRef]
- Grigoriev, S.; Peretyagin, P.; Smirnov, A.; Solís, W.; Díaz, L.A.; Fernández, A.; Torrecillas, R. Effect of graphene addition on the mechanical and electrical properties of Al2O3-SiCw ceramics. J. Eur. Ceram. Soc. 2017, 37, 2473–2479. [Google Scholar] [CrossRef]
- Miranzo, P.; Moya, J.S. Elastic/plastic indentation in ceramics: A fracture toughness determination method. Ceram. Int. 1984, 10, 147–152. [Google Scholar] [CrossRef]
- ASTM G99-23; Standard Test Method for Wear Testing with a Pin-on-Disk Apparatus. ASTM International: West Conshohocken, PA, USA, 2023.
- Guo, H.L.; Wang, X.F.; Qian, Q.Y.; Wang, F.B.; Xia, X.H. A green approach to the synthesis of graphene nanosheets. ACS Nano 2009, 3, 2653–2659. [Google Scholar] [CrossRef]
- Ferrari, A.C.; Meyer, J.C.; Scardaci, V.; Casiraghi, C.; Lazzeri, M.; Mauri, F.; Piscanec, S.; Jiang, D.; Novoselov, K.S.; Roth, S.; et al. Raman spectrum of graphene and graphene layers. Phys. Rev. Lett. 2006, 97, 187401. [Google Scholar] [CrossRef]
- Fan, Y.; Jiang, W.; Kawasaki, A. Highly conductive few-layer graphene/Al2O3 nanocomposites with tunable charge carrier type. Adv. Funct. Mater. 2012, 22, 3882–3889. [Google Scholar] [CrossRef]
- Liu, J.; Yan, H.; Jiang, K. Mechanical properties of graphene platelet–reinforced alumina ceramic composites. Ceram. Int. 2013, 39, 6215–6221. [Google Scholar] [CrossRef]
- Wang, K.; Wang, Y.; Fan, Z.; Yan, J.; Wei, T. Preparation of graphene nanosheet/alumina composites by spark plasma sintering. Mater. Res. Bull. 2011, 46, 315–318. [Google Scholar] [CrossRef]
- Nieto, A.; Huang, L.; Han, Y.H.; Schoenung, J.M. Sintering behavior of spark plasma sintered alumina with graphene nanoplatelet reinforcement. Ceram. Int. 2015, 41, 5926–5936. [Google Scholar] [CrossRef]











| Material | Load, [N] | Wear Rate, W [mm3/N·m] |
|---|---|---|
| 0-G | 10 | 14.5 ± 0.7 × 10−9 |
| 0.25-G | 13 ± 0.7 × 10−9 | |
| 0.5-G | 12.3 ± 0.7 × 10−9 | |
| 1-G | 9.8 ± 0.7 × 10−9 | |
| 0-G | 15 | 17.8 ± 0.7 × 10−9 |
| 0.25-G | 7.2 ± 0.7 × 10−9 | |
| 0.5-G | 4.8 ± 0.7 × 10−9 | |
| 1-G | 3.1 ± 0.7 × 10−9 |
Disclaimer/Publisher’s Note: The statements, opinions and data contained in all publications are solely those of the individual author(s) and contributor(s) and not of MDPI and/or the editor(s). MDPI and/or the editor(s) disclaim responsibility for any injury to people or property resulting from any ideas, methods, instructions or products referred to in the content. |
© 2024 by the authors. Licensee MDPI, Basel, Switzerland. This article is an open access article distributed under the terms and conditions of the Creative Commons Attribution (CC BY) license (https://creativecommons.org/licenses/by/4.0/).
Share and Cite
Smirnov, A.; Pristinskiy, Y.; Pinargote, N.W.S.; Meleshkin, Y.; Podrabinnik, P.; Volosova, M.; Grigoriev, S. Mechanical Performance and Tribological Behavior of WC-ZrO2 Composites with Different Content of Graphene Oxide Fabricated by Spark Plasma Sintering. Sci 2024, 6, 82. https://doi.org/10.3390/sci6040082
Smirnov A, Pristinskiy Y, Pinargote NWS, Meleshkin Y, Podrabinnik P, Volosova M, Grigoriev S. Mechanical Performance and Tribological Behavior of WC-ZrO2 Composites with Different Content of Graphene Oxide Fabricated by Spark Plasma Sintering. Sci. 2024; 6(4):82. https://doi.org/10.3390/sci6040082
Chicago/Turabian StyleSmirnov, Anton, Yuri Pristinskiy, Nestor Washington Solis Pinargote, Yaroslav Meleshkin, Pavel Podrabinnik, Marina Volosova, and Sergey Grigoriev. 2024. "Mechanical Performance and Tribological Behavior of WC-ZrO2 Composites with Different Content of Graphene Oxide Fabricated by Spark Plasma Sintering" Sci 6, no. 4: 82. https://doi.org/10.3390/sci6040082
APA StyleSmirnov, A., Pristinskiy, Y., Pinargote, N. W. S., Meleshkin, Y., Podrabinnik, P., Volosova, M., & Grigoriev, S. (2024). Mechanical Performance and Tribological Behavior of WC-ZrO2 Composites with Different Content of Graphene Oxide Fabricated by Spark Plasma Sintering. Sci, 6(4), 82. https://doi.org/10.3390/sci6040082

