Analysis of the Optical Response of Opaque Urban Envelope Materials: The Case of Madrid †
Abstract
:1. Introduction
2. Objectives
3. Materials and Methods
3.1. First Campaign
3.2. Second Campaign
4. Results
4.1. First Campaign: Identification of Materials
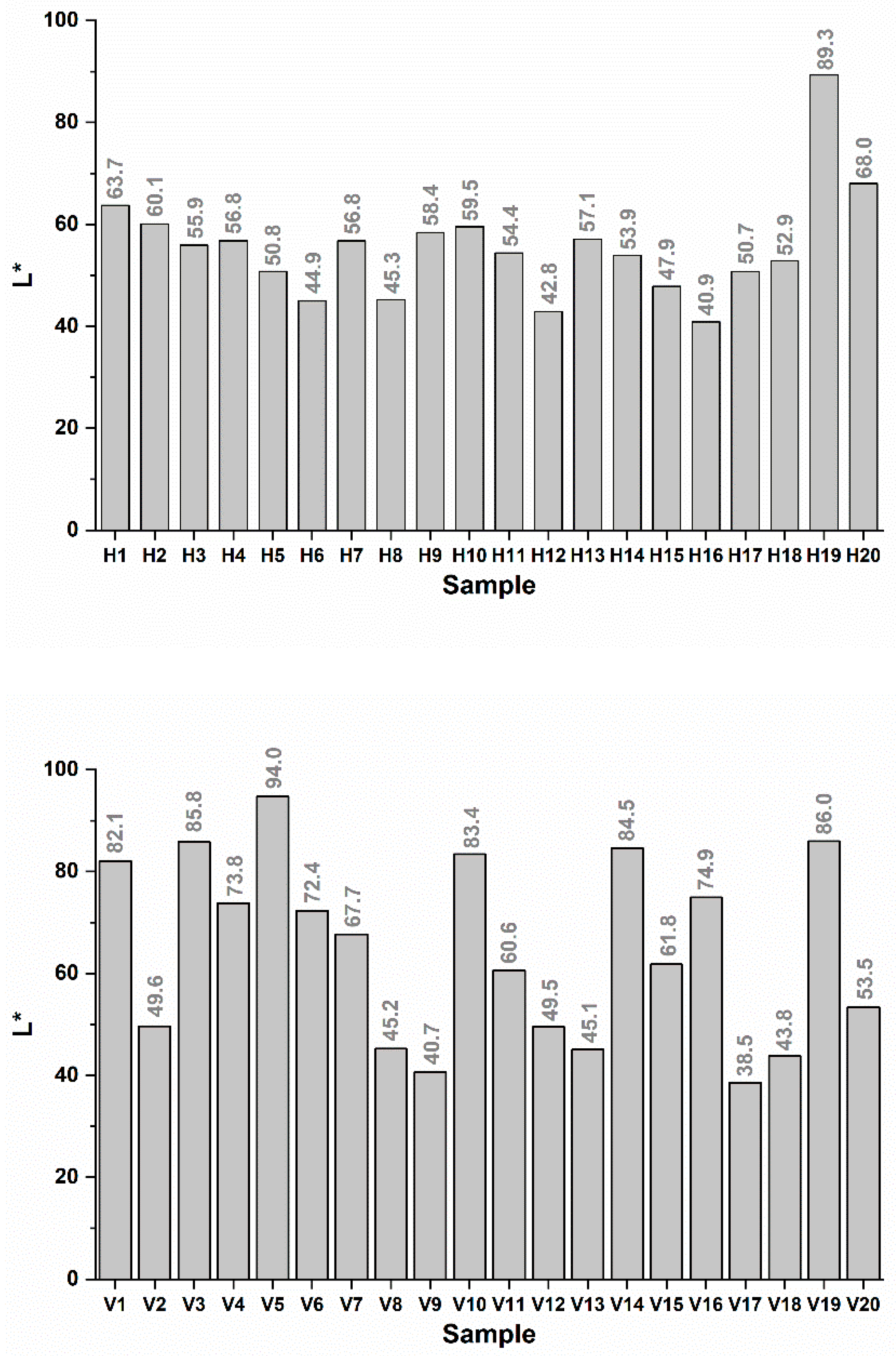
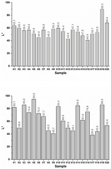
4.2. Second Campaign: Optical Characterization of Materials
5. Discussion
6. Conclusions
Author Contributions
Funding
Institutional Review Board Statement
Informed Consent Statement
Data Availability Statement
Acknowledgments
Conflicts of Interest
References
- Freitas, S.; Catita, C.; Redweik, P.; Brito, M. Modelling solar potential in the urban environment: State-of-the-art review. Renew. Sustain. Energy Rev. 2015, 41, 915–931. [Google Scholar] [CrossRef]
- Redweik, P.; Catita, C.; Brito, M. Solar energy potential on roofs and facades in an urban landscape. Sol. Energy 2013, 97, 332–341. [Google Scholar] [CrossRef]
- Sarralde, J.J.; Quinn, D.J.; Wiesmann, D.; Steemers, K. Solar energy and urban morphology: Scenarios for increasing the renewable energy potential of neighbourhoods in London. Renew. Energy 2015, 73, 10–17. [Google Scholar] [CrossRef]
- Shi, Z.; Fonseca, J.A.; Schlueter, A. A parametric method using vernacular urban block typologies for investigating interactions between solar energy use and urban design. Renew. Energy 2020, 165, 823–841. [Google Scholar] [CrossRef]
- Takebayashi, H.; Ishii, E.; Moriyama, M.; Sakaki, A.; Nakajima, S.; Ueda, H. Study to examine the potential for solar energy utilization based on the relationship between urban morphology and solar radiation gain on building rooftops and wall surfaces. Sol. Energy 2015, 119, 362–369. [Google Scholar] [CrossRef]
- Wegertseder, P.; Lund, P.; Mikkola, J.; Alvarado, R.G. Combining solar resource mapping and energy system integration methods for realistic valuation of urban solar energy potential. Sol. Energy 2016, 135, 325–336. [Google Scholar] [CrossRef]
- Bertoldi, P.; Economidou, M.; Palermo, V.; Boza-Kiss, B.; Todeschi, V. How to finance energy renovation of residential buildings: Review of current and emerging financing instruments in the EU. WIREs Rev. Energy Environ. 2020, 10, e384. [Google Scholar] [CrossRef]
- Martín-Consuegra, F.; Hernández Aja, A.; Oteiza, I.; Alonso, C. Energy needs and vulnerability estimation at an urban scale for residential neighbourhoods heating in Madrid (Spain). In Proceedings of the PLEA 2016 Los Angeles—32th Interna-tional Conference on Passive and Low Energy Architecture, Los Angeles, CA, USA, 24 October 2016; pp. 1413–1419. [Google Scholar]
- Helge Sigurd Næss-Schmidt. Multiple Benefits of Investing in Energy Efficient Renovation of Buildings. Copenhagen Economics. 2012. Available online: https://copenhageneconomics.com/publication/multiple-benefits-of-investing-in-energy-efficient-renovation-of-buildings/ (accessed on 7 July 2022).
- Anderson, J.E.; Wulfhorst, G.; Lang, W. Energy analysis of the built environment—A review and outlook. Renew. Sustain. Energy Rev. 2015, 44, 149–158. [Google Scholar] [CrossRef]
- Ascione, F.; Bellia, L.; Mazzei, P.; Minichiello, F. Solar gain and building envelope: The surface factor. Build. Res. Inf. 2010, 38, 187–205. [Google Scholar] [CrossRef]
- Fabbri, K.; Gaspari, J.; Bartoletti, S.; Antonini, E. Effect of facade reflectance on outdoor microclimate: An Italian case study. Sustain. Cities Soc. 2020, 54, 101984. [Google Scholar] [CrossRef]
- Yang, J.; Ren, J.; Sun, D.; Xiao, X.; Xia, J.C.; Jin, C.; Li, X. Understanding land surface temperature impact factors based on local climate zones. Sustain. Cities Soc. 2021, 69, 102818. [Google Scholar] [CrossRef]
- Li, Z.; Zhang, H.; Wen, C.-Y.; Yang, A.-S.; Juan, Y.-H. Effects of frontal area density on outdoor thermal comfort and air quality. Build. Environ. 2020, 180, 107028. [Google Scholar] [CrossRef]
- Alchapar, N.L.; Correa, E.N. Optothermal properties of façade coatings. Effects of environmental exposure over solar reflective index. J. Build. Eng. 2020, 32, 101536. [Google Scholar] [CrossRef]
- Doulos, L.; Santamouris, M.; Livada, I. Passive cooling of outdoor urban spaces. The role of materials. Sol. Energy 2004, 77, 231–249. [Google Scholar] [CrossRef]
- Hanafi, I.; El Araby, M.; Al Hagla, K.; El Sayary, S. Human Social Behavior in Public Urban Spaces: Towards Higher Quality Cities. Spaces Flows Int. J. Urban Extra Urban Stud. 2013, 3, 23–35. [Google Scholar] [CrossRef]
- Santamouris, M. Recent progress on urban overheating and heat island research. Integrated assessment of the energy, environmental, vulnerability and health impact. Synergies with the global climate change. Energy Build. 2020, 207, 109482. [Google Scholar] [CrossRef]
- Ko, Y.; Radke, J.D. The Effect of Urban Form and Residential Cooling Energy Use in Sacramento, California. Environ. Plan. B Plan. Des. 2014, 41, 573–593. [Google Scholar] [CrossRef]
- Berardi, U.; Garai, M.; Morselli, T. Preparation and assessment of the potential energy savings of thermochromic and cool coatings considering inter-building effects. Sol. Energy 2020, 209, 493–504. [Google Scholar] [CrossRef]
- Atwa, S.; Ibrahim, M.G.; Murata, R. Evaluation of plantation design methodology to improve the human thermal comfort in hot-arid climatic responsive open spaces. Sustain. Cities Soc. 2020, 59, 102198. [Google Scholar] [CrossRef]
- Lau, K.K.-L.; Tan, Z.; Morakinyo, T.E.; Ren, C. Environmental Perception and Outdoor Thermal Comfort in High-Density Cities. In Outdoor Thermal Comfort in Urban Environment: Assessments and Applications in Urban Planning and Design, Springer Briefs in Architectural Design and Technology; Lau, K.K.-L., Tan, Z., Morakinyo, T.E., Ren, C., Eds.; Springer: Singapore, 2021; pp. 51–65. [Google Scholar] [CrossRef]
- Falasca, S.; Ciancio, V.; Salata, F.; Golasi, I.; Rosso, F.; Curci, G. High albedo materials to counteract heat waves in cities: An assessment of meteorology, buildings energy needs and pedestrian thermal comfort. Build. Environ. 2019, 163, 106242. [Google Scholar] [CrossRef]
- Middel, A.; Turner, V.K.; Schneider, F.A.; Zhang, Y.; Stiller, M. Solar reflective pavements—A policy panacea to heat mitigation? Environ. Res. Lett. 2020, 15, 064016. [Google Scholar] [CrossRef]
- Kondo, M.C.; Triguero-Mas, M.; Donaire-Gonzalez, D.; Seto, E.; Valentín, A.; Hurst, G.; Carrasco-Turigas, G.; Masterson, D.; Ambròs, A.; Ellis, N.; et al. Momentary mood response to natural outdoor environments in four European cities. Environ. Int. 2019, 134, 105237. [Google Scholar] [CrossRef] [PubMed]
- Wang, C.; Wang, Z.-H.; Kaloush, K.E.; Shacat, J. Cool pavements for urban heat island mitigation: A synthetic review. Renew. Sustain. Energy Rev. 2021, 146, 111171. [Google Scholar] [CrossRef]
- Santamouris, M. Cooling the cities—A review of reflective and green roof mitigation technologies to fight heat island and improve comfort in urban environments. Sol. Energy 2012, 103, 682–703. [Google Scholar] [CrossRef]
- Urrutia, N.; Grijalba, O.; Hernández Aja, A. A case-based urban microclimate variety classification procedure: Finishing materials and shading in urban design. J. Urban Environ. Eng. 2020, 14, 42–51. [Google Scholar] [CrossRef]
- Alonso, C.; Martín-Consuegra, F.; Oteiza, I.; Asensio, E.; Pérez, G.; Martínez, I.; Frutos, B. Effect of façade surface finish on building energy rehabilitation. Sol. Energy 2017, 146, 470–483. [Google Scholar] [CrossRef]
- Irmak, M.A.; Yilmaz, S.; Dursun, D. Effect of different pavements on human thermal comfort conditions. Atmósfera 2017, 30, 355–366. [Google Scholar] [CrossRef]
- Mirzabeigi, S.; Razkenari, M. Design optimization of urban typologies: A framework for evaluating building energy performance and outdoor thermal comfort. Sustain. Cities Soc. 2022, 76, 103515. [Google Scholar] [CrossRef]
- Frutos, F.; Martin-Consuegra, F.; Oteiza, I.; Alonso, C.; Frutos, B.; Galeano, J. Energy efficiency and comfort on a deprived neighbourhood in Madrid (Spain). In Planning Post Carbon Cities. Proceedings of the 35th PLEA Conference on Passive and Low Energy Architecture; Rodríguez Álvarez, J., Soares Gonçalves, J.C., Eds.; University of A Coruña: A Coruña, Spain, 2020. [Google Scholar] [CrossRef]
- Martín-Consuegra, F.; de Frutos, F.; Oteiza, I.; Alonso, C.; Frutos, B. Minimal Monitoring of Improvements in Energy Performance after Envelope Renovation in Subsidized Single Family Housing in Madrid. Sustainability 2020, 13, 235. [Google Scholar] [CrossRef]
- Santos, T.; Gomes, N.; Freire, S.; Brito, M.; Santos, L.; Tenedório, J. Applications of solar mapping in the urban environment. Appl. Geogr. 2014, 51, 48–57. [Google Scholar] [CrossRef]
- Acero, J.A.; Herranz-Pascual, K. A comparison of thermal comfort conditions in four urban spaces by means of measurements and modelling techniques. Build. Environ. 2015, 93, 245–257. [Google Scholar] [CrossRef]
- Levinson, R.; Akbari, H. Solar Reflectance of Cool Paving Materials Effects of Composition and Exposure on Albedo of Con-crete. Cem. Concr. Res. 2002, 32, 2001–2002. [Google Scholar] [CrossRef]
- Takebayashi, H.; Moriyama, M. Study on Surface Heat Budget of Various Pavements for Urban Heat Island Mitigation. Adv. Mater. Sci. Eng. 2012, 2012, 523051. [Google Scholar] [CrossRef]
- Lin, Y.; Ichinose, T. Experimental evaluation of mitigation of thermal effects by “Katsuren travertine” paving material. Energy Build. 2014, 81, 253–261. [Google Scholar] [CrossRef]
- Sanjuán, M.Á.; Morales, Á.; Zaragoza, A. Precast Concrete Pavements of High Albedo to Achieve the Net “Zero-Emissions” Commitments. Appl Sci. 2022, 12, 1955. [Google Scholar] [CrossRef]
- Sen, S.; Roesler, J. Thermal and optical characterization of asphalt field cores for microscale urban heat island analysis. Constr. Build. Mater. 2019, 217, 600–611. [Google Scholar] [CrossRef]
- Alchapar, N.; Correa, E.N.; Cantón, M.A. Classification of building materials used in the urban envelopes according to their capacity for mitigation of the urban heat island in semiarid zones. Energy Build. 2014, 69, 22–32. [Google Scholar] [CrossRef]
- Karlessi, T.; Santamouris, M.; Apostolakis, K.; Synnefa, A.; Livada, I. Development and testing of thermochromic coatings for buildings and urban structures. Sol. Energy 2009, 83, 538–551. [Google Scholar] [CrossRef]
- Zinzi, M. Characterisation and assessment of near infrared reflective paintings for building facade applications. Energy Build. 2016, 114, 206–213. [Google Scholar] [CrossRef]
- Perez, G.; Sirvent, P.; Sanchez-Garcia, J.A.; Guerrero, A. Improved methodology for the characterization of thermochromic coatings for adaptive façades. Sol. Energy 2021, 230, 409–420. [Google Scholar] [CrossRef]
- Qin, Y. A review on the development of cool pavements to mitigate urban heat island effect. Renew. Sustain. Energy Rev. 2015, 52, 445–459. [Google Scholar] [CrossRef]
- Ferrari, A.; Kubilay, A.; Derome, D.; Carmeliet, J. The use of permeable and reflective pavements as a potential strategy for urban heat island mitigation. Urban Clim. 2019, 31, 100534. [Google Scholar] [CrossRef]
- Mackey, C.W.; Lee, X.; Smith, R.B. Remotely sensing the cooling effects of city scale efforts to reduce urban heat island. Build. Environ. 2011, 49, 348–358. [Google Scholar] [CrossRef]
- Ramzi, A.I. Towards Construction of Spectral Library of Urban Surface Materials Based on Spectroscopy. J. Al Azhar Univ. Eng. Sect. 2016, 11, 33–43. [Google Scholar] [CrossRef]








| Neighborhood | Picazo |
| Date of data collection | 18 January 2022 |
| Campaign | 1—Identification |
| VERTICAL FINISHING MATERIALS | |
| A. GENERAL DATA | |
| Reference | TVS-5 |
| Image | ![]() |
| Location | García Llamas 16 |
| Wall height | 3 to 5 |
| Wall orientation | South-east |
| Frequency of use | >50% |
| B.1. MORFO-MATERIAL CHARACTERISTICS | |
| Surface material | Brick |
| Color | Orange |
| Tone | Mean |
| Ageing level | Mean |
| Texture | Mean |
| Unit size (cm) | 4 × 9 |
| B.2.OPTO-THERMAL PARAMETERS | |
| Solar absorptance | 0.495 |
| Visible absorptance | 0.657 |
| Color coordinates (L*/a*/b*) | 60.6/20.0/26.8 |
| Infrared emissivity | Pending |
Publisher’s Note: MDPI stays neutral with regard to jurisdictional claims in published maps and institutional affiliations. |
© 2022 by the authors. Licensee MDPI, Basel, Switzerland. This article is an open access article distributed under the terms and conditions of the Creative Commons Attribution (CC BY) license (https://creativecommons.org/licenses/by/4.0/).
Share and Cite
Pérez, G.; Martín-Consuegra, F.; de Frutos, F.; Martínez, A.; Oteiza, I.; Frutos, B.; Alonso, C. Analysis of the Optical Response of Opaque Urban Envelope Materials: The Case of Madrid. Infrastructures 2022, 7, 116. https://doi.org/10.3390/infrastructures7090116
Pérez G, Martín-Consuegra F, de Frutos F, Martínez A, Oteiza I, Frutos B, Alonso C. Analysis of the Optical Response of Opaque Urban Envelope Materials: The Case of Madrid. Infrastructures. 2022; 7(9):116. https://doi.org/10.3390/infrastructures7090116
Chicago/Turabian StylePérez, Gloria, Fernando Martín-Consuegra, Fernando de Frutos, Arturo Martínez, Ignacio Oteiza, Borja Frutos, and Carmen Alonso. 2022. "Analysis of the Optical Response of Opaque Urban Envelope Materials: The Case of Madrid" Infrastructures 7, no. 9: 116. https://doi.org/10.3390/infrastructures7090116
APA StylePérez, G., Martín-Consuegra, F., de Frutos, F., Martínez, A., Oteiza, I., Frutos, B., & Alonso, C. (2022). Analysis of the Optical Response of Opaque Urban Envelope Materials: The Case of Madrid. Infrastructures, 7(9), 116. https://doi.org/10.3390/infrastructures7090116


