Sympathetic Vagal Balance and Cognitive Performance in Young Adults during the NIH Cognitive Test
Abstract
:1. Introduction
2. Materials and Methods
2.1. Participants
2.2. Instrumentation
2.3. Testing Procedure
2.4. Data Analysis
2.5. Quartile Analysis for Cognitive Scores
2.6. Statistical Analysis
3. Results
3.1. HR Response to Overall Cognitive Testing
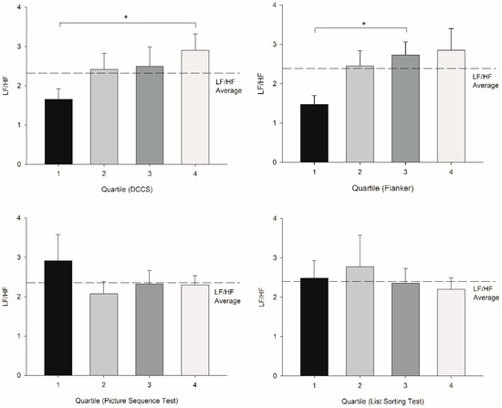
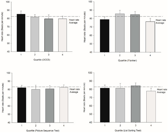
3.2. HR Responses to Cognitive Domain Quartile Scores
3.3. Model to Predict Cognitive Scores
4. Discussion
4.1. Potential Mechanisms Relating Autonomic Balance and Cognitive Function
4.2. Developing Technologies
4.3. Limitations
5. Conclusions
Author Contributions
Funding
Institutional Review Board Statement
Informed Consent Statement
Data Availability Statement
Acknowledgments
Conflicts of Interest
References
- Leibson, C.L.; Long, K.H.; Ransom, J.E.; Roberts, R.O.; Hass, S.L.; Duhig, A.M.; Smith, C.Y.; Emerson, J.A.; Pankratz, V.A.; Petersen, R.C. Direct medical costs and source of cost differences across the spectrum of cognitive decline: A population-based study. Alzheimers Dement. 2015, 11, 917–932. [Google Scholar] [CrossRef] [PubMed]
- Akshoomoff, N.; Beaumont, J.L.; Bauer, P.J.; Dikmen, S.S.; Gershon, R.C.; Mungas, D.; Slotkin, J.; Tulsky, D.; Weintraub, S.; Zelazo, P.D.; et al. VIII. NIH Toolbox Cognition Battery (CB): Composite scores of crystallized, fluid, and overall cognition. Monogr. Soc. Res. Child Dev. 2013, 78, 119–132. [Google Scholar] [CrossRef] [PubMed]
- Cygankiewicz, I.; Zareba, W. Heart rate variability. Handb. Clin. Neurol. 2013, 117, 379–393. [Google Scholar] [PubMed]
- Thayer, J.F.; Åhs, F.; Fredrikson, M.; Sollers, J.J., III; Wager, T.D. A meta-analysis of heart rate variability and neuroimaging studies: Implications for heart rate variability as a marker of stress and health. Neurosci. Biobehav. Rev. 2012, 36, 747–756. [Google Scholar] [CrossRef] [PubMed]
- Zulli, R.; Nicosia, F.; Borroni, B.; Agosti, C.; Prometti, P.; Donati, P.; De Vecchi, M.; Romanelli, G.; Grassi, V.; Padovani, A.; et al. QT dispersion and heart rate variability abnormalities in Alzheimer’s disease and in mild cognitive impairment. J. Am. Geriatr. Soc. 2005, 53, 2135–2139. [Google Scholar] [CrossRef]
- Galluzzi, S.; Nicosia, F.; Geroldi, C.; Alicandri, A.; Bonetti, M.; Romanelli, G.; Zulli, R.; Frisoni, G.B. Cardiac autonomic dysfunction is associated with white matter lesions in patients with mild cognitive impairment. J. Gerontol. A Biol. Sci. Med. Sci. 2009, 64, 1312–1315. [Google Scholar] [CrossRef]
- Forte, G.; Favieri, F.; Casagrande, M. Heart Rate Variability and Cognitive Function: A Systematic Review. Front. Neurosci. 2019, 13, 710. [Google Scholar] [CrossRef]
- Alba, G.; Vila, J.; Rey, B.; Montoya, P.; Muñoz, M. The Relationship Between Heart Rate Variability and Electroencephalography Functional Connectivity Variability Is Associated With Cognitive Flexibility. Front. Hum. Neurosci. 2019, 13, 64. [Google Scholar] [CrossRef]
- Alasfour, A.; Jiang, X.; Gonzalez-Martinez, J.; Gilja, V.; Halgren, E. High γ Activity in Cortex and Hippocampus Is Correlated with Autonomic Tone during Sleep. eNeuro 2021, 8, ENEURO.0194-21.2021. [Google Scholar] [CrossRef]
- van Oort, J.; Tendolkar, I.; Hermans, E.; Mulders, P.; Beckmann, C.; Schene, A.; Fernández, G.; van Eijndhoven, P. How the brain connects in response to acute stress: A review at the human brain systems level. Neurosci. Biobehav. Rev. 2017, 83, 281–297. [Google Scholar] [CrossRef]
- Kim, H.-G.; Cheon, E.-J.; Bai, D.-S.; Lee, Y.H.; Koo, B.-H. Stress and Heart Rate Variability: A Meta-Analysis and Review of the Literature. Psychiatry Investig. 2018, 15, 235–245. [Google Scholar] [CrossRef] [PubMed]
- Sazma, M.A.; McCullough, A.M.; Shields, G.; Yonelinas, A.P. Using acute stress to improve episodic memory: The critical role of contextual binding. Neurobiol. Learn. Mem. 2019, 158, 1–8. [Google Scholar] [CrossRef] [PubMed]
- Shaffer, F.; Ginsberg, J.P. An Overview of Heart Rate Variability Metrics and Norms. Front. Public Health 2017, 5, 258. [Google Scholar] [CrossRef] [PubMed]
- Zhang, Y.; Agnoletti, D.; Blacher, J.; Safar, M.E. Blood pressure variability in relation to autonomic nervous system dysregulation: The X-CELLENT study. Hypertens. Res. 2012, 35, 399–403. [Google Scholar] [CrossRef]
- Vetter, R.; Virag, N.; Vesin, J.-M.; Celka, P.; Scherrer, U. Observer of autonomic cardiac outflow based on blind source separation of ECG parameters. IEEE Trans. Biomed. Eng. 2000, 47, 578–582. [Google Scholar] [CrossRef]
- Hilgarter, K.; Schmid-Zalaudek, K.; Csanády-Leitner, R.; Mörtl, M.; Rössler, A.; Lackner, H.K. Phasic heart rate variability and the association with cognitive performance: A cross-sectional study in a healthy population setting. PLoS ONE 2021, 16, e0246968. [Google Scholar] [CrossRef]
- Von Rosenberg, W.; Chanwimalueang, T.; Adjei, T.; Jaffer, U.; Goverdovsky, V.; Mandic, D.P. Resolving Ambiguities in the LF/HF Ratio: LF-HF Scatter Plots for the Categorization of Mental and Physical Stress from HRV. Front. Physiol. 2017, 8, 360. [Google Scholar] [CrossRef]
- Pinna, G.D.; Maestri, R.; Torunski, A.; Danilowicz-Szymanowicz, L.; Szwoch, M.; La Rovere, M.T.; Raczak, G. Heart rate variability measures: A fresh look at reliability. Clin. Sci. 2007, 113, 131–140. [Google Scholar] [CrossRef]
- Nunan, D.; Donovan, G.; Jakovljevic, D.G.; Hodges, L.D.; Sandercock, G.R.H.; Brodie, D.A. Validity and reliability of short-term heart-rate variability from the Polar S810. Med. Sci. Sports Exerc. 2009, 41, 243–250. [Google Scholar] [CrossRef]
- Slotkin, J.; Kallen, M.; Griffith, J.; Magasi, S.; Salsman, H.; Nowinski, C.; Gershon, R. NIH Toolbox Technical Manual; National Institutes of Health: Bethesda, MD, USA, 2012.
- Dikmen, S.S.; Bauer, P.J.; Weintraub, S.; Mungas, D.; Slotkin, J.; Beaumont, J.L.; Gershon, R.; Temkin, N.R.; Heaton, R.K. Measuring episodic memory across the lifespan: NIH Toolbox Picture Sequence Memory Test. J. Int. Neuropsychol. Soc. 2014, 20, 611–619. [Google Scholar] [CrossRef]
- Zelazo, P.D.; Anderson, J.E.; Richler, J.; Wallner-Allen, K.; Beaumont, J.L.; Conway, K.P.; Gershon, R.; Weintraub, S. NIH Toolbox Cognition Battery (CB): Validation of executive function measures in adults. J. Int. Neuropsychol. Soc. 2014, 20, 620–629. [Google Scholar] [CrossRef] [PubMed]
- Bauer, P.J.; Dikmen, S.S.; Heaton, R.K.; Mungas, D.; Slotkin, J.; Beaumont, J. III. NIH Toolbox Cognition Battery (CB): Measuring episodic memory. Monogr. Soc. Res. Child Dev. 2013, 78, 34–48. [Google Scholar] [CrossRef] [PubMed]
- Tulsky, D.S.; Carlozzi, N.; Chiaravalloti, N.D.; Beaumont, J.L.; Kisala, P.A.; Mungas, D.; Conway, K.; Gershon, R. NIH Toolbox Cognition Battery (NIHTB-CB): List sorting test to measure working memory. J. Int. Neuropsychol. Soc. 2014, 20, 599–610. [Google Scholar] [CrossRef] [PubMed]
- Cole, K.R.; Yen, C.-L.; Dudley-Javoroski, S.; Shields, R.K. NIH Toolbox Cognition Battery in Young and Older Adults: Reliability and Relationship to Adiposity and Physical Activity. J. Geriatr. Phys. Ther. 2021, 44, 51–59. [Google Scholar] [CrossRef]
- Xhyheri, B.; Manfrini, O.; Mazzolini, M.; Pizzi, C.; Bugiardini, R. Heart rate variability today. Prog. Cardiovasc. Dis. 2012, 55, 321–331. [Google Scholar] [CrossRef]
- Lee, J.; Dudley-Javoroski, S.; Shields, R.K. Motor demands of cognitive testing may artificially reduce executive function scores in individuals with spinal cord injury. J. Spinal Cord Med. 2019, 44, 253–261. [Google Scholar] [CrossRef]
- Saalasti, S. Neural Networks for Heart Rate Time Series Analysis; Jyväskylän Yliopisto: Jyväskylän, Finland, 2003. [Google Scholar]
- Vesterinen, V.; Häkkinen, K.; Hynynen, E.; Mikkola, J.; Hokka, L.; Nummela, A. Heart rate variability in prediction of individual adaptation to endurance training in recreational endurance runners. Scand. J. Med. Sci. Sports 2013, 23, 171–180. [Google Scholar] [CrossRef]
- Ammaiyappan, S.T.; Pal, G.K.; Yerrabelli, D.; Pal, P.; Nanda, N. Association of Sympathovagal Imbalance with Cognitive Deficit, Insulin Resistance and Oxidative Stress in Newly Diagnosed Hypertension. Int. J. Clin. Exp. Physiol. 2019, 5, 145–150. [Google Scholar] [CrossRef]
- Tanaka, M.; Mizuno, K.; Tajima, S.; Sasabe, T.; Watanabe, Y. Central nervous system fatigue alters autonomic nerve activity. Life Sci. 2009, 84, 235–239. [Google Scholar] [CrossRef]
- Mizuno, K.; Tanaka, M.; Yamaguti, K.; Kajimoto, O.; Kuratsune, H.; Watanabe, Y. Mental fatigue caused by prolonged cognitive load associated with sympathetic hyperactivity. Behav. Brain Funct. 2011, 7, 17. [Google Scholar] [CrossRef]
- Orr, S.P.; Metzger, L.J.; Lasko, N.B.; Macklin, M.L.; Peri, T.; Pitman, R.K. De novo conditioning in trauma-exposed individuals with and without posttraumatic stress disorder. J. Abnorm. Psychol. 2000, 109, 290–298. [Google Scholar] [CrossRef]
- Edwards, M.; Moore, P.; Champion, J.C.; Edwards, E. Effects of trait anxiety and situational stress on attentional shifting are buffered by working memory capacity. Anxiety Stress Coping 2015, 28, 1–16. [Google Scholar] [CrossRef] [PubMed]
- Sindi, S.; Fiocco, A.J.; Juster, R.-P.; Pruessner, J.; Lupien, S.J. When we test, do we stress? Impact of the testing environment on cortisol secretion and memory performance in older adults. Psychoneuroendocrinology 2013, 38, 1388–1396. [Google Scholar] [CrossRef]
- Johnson, S.A.; Yechiam, E.; Murphy, R.R.; Queller, S.; Stout, J.C. Motivational processes and autonomic responsivity in Asperger’s disorder: Evidence from the Iowa Gambling Task. J. Int. Neuropsychol. Soc. 2006, 12, 668–676. [Google Scholar] [CrossRef]
- Nicolini, P.; Ciulla, M.M.; de Asmundis, C.; Magrini, F.; Brugada, P. The prognostic value of heart rate variability in the elderly, changing the perspective: From sympathovagal balance to chaos theory. Pacing Clin. Electrophysiol. 2012, 35, 621–638. [Google Scholar] [CrossRef]
- Frewen, J.; Finucane, C.; Savva, G.M.; Boyle, G.; Coen, R.F.; Kenny, R.A. Cognitive function is associated with impaired heart rate variability in ageing adults: The Irish longitudinal study on ageing wave one results. Clin. Auton. Res. 2013, 23, 313–323. [Google Scholar] [CrossRef]
- Lane, R.D.; McRae, K.; Reiman, E.M.; Chen, K.; Ahern, G.L.; Thayer, J.F. Neural correlates of heart rate variability during emotion. NeuroImage 2009, 44, 213–222. [Google Scholar] [CrossRef]
- Thayer, J.F.; Hansen, A.L.; Saus-Rose, E.; Johnsen, B.H. Heart rate variability, prefrontal neural function, and cognitive performance: The neurovisceral integration perspective on self-regulation, adaptation, and health. Ann. Behav. Med. 2009, 37, 141–153. [Google Scholar] [CrossRef]
- Al Hazzouri, A.Z.; Elfassy, T.; Carnethon, M.; Lloyd-Jones, D.M.; Yaffe, K. Heart Rate Variability and Cognitive Function In Middle-Age Adults: The Coronary Artery Risk Development in Young Adults. Am. J. Hypertens. 2017, 31, 27–34. [Google Scholar] [CrossRef]
- Li, M.; Li, Y.; Zuo, L.; Hu, W.; Jiang, T. Increase of blood-brain barrier leakage is related to cognitive decline in vascular mild cognitive impairment. BMC Neurol. 2021, 21, 1–8. [Google Scholar] [CrossRef]
- Auroprajna, P.; Naik, B.M.; Sahoo, J.P.; Keerthi, G.S.; Pavanya, M.; Pal, G.K. Association of Sympathovagal Imbalance With Cognitive Impairment in Type 2 Diabetes in Adults. Can. J. Diabetes 2018, 42, 44–50. [Google Scholar] [CrossRef] [PubMed]
- Billman, G.E. The LF/HF ratio does not accurately measure cardiac sympatho-vagal balance. Front. Physiol. 2013, 4, 26. [Google Scholar] [CrossRef] [PubMed]
- Thayer, J.F.; Lane, R.D. A model of neurovisceral integration in emotion regulation and dysregulation. J. Affect. Disord. 2000, 61, 201–216. [Google Scholar] [CrossRef]
- Sakaki, M.; Yoo, H.J.; Nga, L.; Lee, T.-H.; Thayer, J.F.; Mather, M. Heart rate variability is associated with amygdala functional connectivity with MPFC across younger and older adults. Neuroimage 2016, 139, 44–52. [Google Scholar] [CrossRef]
- Porges, S.W. Polyvagal Theory: A biobehavioral journey to sociality. Compr. Psychoneuroendocrinol. 2021, 7, 100069. [Google Scholar] [CrossRef]
- Hu, J.; Gao, J.; Principe, J.C. Analysis of biomedical signals by the lempel-Ziv complexity: The effect of finite data size. IEEE Trans. Biomed. Eng. 2006, 53 Pt 2, 2606–2609. [Google Scholar]
- Hornero, R.; Abásolo, D.; Escudero, J.; Gómez, C. Nonlinear analysis of electroencephalogram and magnetoencephalogram recordings in patients with Alzheimer’s disease. Philos. Trans. R. Soc. A Math. Phys. Eng. Sci. 2009, 367, 317–336. [Google Scholar] [CrossRef]
- Mendez, M.O.; Corthout, J.; Van Huffel, S.; Matteucci, M.; Penzel, T.; Cerutti, S.; Bianchi, A.M. Automatic screening of obstructive sleep apnea from the ECG based on empirical mode decomposition and wavelet analysis. Physiol. Meas. 2010, 31, 273–289. [Google Scholar] [CrossRef]
- Pucer, J.F.; Kukar, M. A topological approach to delineation and arrhythmic beats detection in unprocessed long-term ECG signals. Comput. Methods Programs Biomed. 2018, 164, 159–168. [Google Scholar] [CrossRef]
- Bajić, D.; Đajić, V.; Milovanović, B. Entropy Analysis of COVID-19 Cardiovascular Signals. Entropy 2021, 23, 87. [Google Scholar] [CrossRef]
- Fuadah, Y.N.; Lim, K.M. Optimal Classification of Atrial Fibrillation and Congestive Heart Failure Using Machine Learning. Front. Physiol. 2022, 12, 761013. [Google Scholar] [CrossRef] [PubMed]
- Kuusela, T.A.; Jartti, T.T.; Tahvanainen, K.U.O.; Kaila, T.J. Nonlinear methods of biosignal analysis in assessing terbutaline-induced heart rate and blood pressure changes. Am. J. Physiol. Circ. Physiol. 2002, 282, H773–H781. [Google Scholar] [CrossRef] [PubMed]
- Rivolta, M.W.; Migliorini, M.; Aktaruzzaman, M.; Sassi, R.; Bianchi, A.M. Effects of the series length on Lempel-Ziv Complexity during sleep. In Proceedings of the 2014 36th Annual International Conference of the IEEE Engineering in Medicine and Biology Society, Chicago, IL, USA, 26–30 August 2014; Volume 2014, pp. 693–696. [Google Scholar]
- Zhang, T.; He, F.; Hu, J.; Wang, X.; Li, F.; Zhai, Y.; Gu, X.; Wu, M.; Lin, J. Blood pressure and cognitive decline over the course of 2 years in elderly people: A community-based prospective cohort study. Aging Clin. Exp. Res. 2021, 33, 1903–1908. [Google Scholar] [CrossRef]
- Henderson, V.W. Progesterone and human cognition. Climacteric 2018, 21, 333–340. [Google Scholar] [CrossRef]
- Lee, J.; Shields, R.K. Extracellular to Intracellular Body Water and Cognitive Function among Healthy Older and Younger Adults. J. Funct. Morphol. Kinesiol. 2022, 7, 18. [Google Scholar] [CrossRef]
- Petersson, S.D.; Philippou, E. Mediterranean Diet, Cognitive Function, and Dementia: A Systematic Review of the Evidence. Adv. Nutr. 2016, 7, 889–904. [Google Scholar] [CrossRef]
- Dzierzewski, J.M.; Dautovich, N.; Ravyts, S. Sleep and Cognition in Older Adults. Sleep Med. Clin. 2018, 13, 93–106. [Google Scholar] [CrossRef]





| Cognitive Domain: Episodic Memory (Picture Sequence) | Quartile 1 (N = 15, Males = 9) | Quartile 2 (N = 13, Males = 4) | Quartile 3 (N = 19, Males = 10) | Quartile 4 (N = 15, Males = 8) | Total (N = 62) | Male (N = 31) | Female (N = 31) |
|---|---|---|---|---|---|---|---|
| Age (years) | 23.6 (2.4) | 23.5 (1.9) | 23.3 (1.8) | 24.7 (2.5) | 23.7 (2.2) | 24.3 § (2.7) | 23.2 (1.4) |
| Height (cm) | 177.5 (6.5) | 168.1 (9.7) | 175 (10.4) | 174.6 (9.4) | 174 (9.6) | 181 § (5.4) | 167.1 (7.6) |
| Weight (kg) | 74.1 (8.4) | 66.9 (13.3) | 76.2 (18.4) | 76.3 (11.9) | 73.8 (14) | 83.4 § (11.7) | 64.1 (8.5) |
| BMI (Body Mass Index) | 23.5 (1.7) | 23.5 (2.9) | 24.6 (3.4) | 25.1 (3.7) | 24.2 (3) | 25.5 § (3) | 22.9 (2.5) |
| Activity Levels | 6.1 (2.4) | 6.2 (2.1) | 6.5 (1.8) | 6 (2) | 6.2 (2) | 6.6 (2.3) | 5.9 (1.7) |
| HR (beats per minute) | 82.1 (11.8) | 80.1 (18.4) | 80.8 (17.6) | 82.4 (12.4) | 81.3 (15) | 77.2 § (12) | 85.5 (16.7) |
| SDNN (ms) | 25.7 (12.3) | 30.3 (13.8) | 26 (10.3) | 26.7 (18.9) | 27 (13.7) | 27.9 (14.2) | 26.2 (13.5) |
| LF/HF | 2.9 (2.6) | 2.1 (1.1) | 2.3 (1.5) | 2.3 (0.9) | 2.4 (1.7) | 2.4 (1.7) | 2.4 (1.7) |
| Picture Sequence Score * | 95.1 (7.7) | 108.6 (3) | 124.6 (8.2) | 137.6 (1.4) | 117.3 (17) | 118.2 (18.2) | 116.3 (16) |
| Cognitive Domain: Executive Function (DCCS) | Quartile 1 (N = 14, 5 Males) | Quartile 2 (N = 14, 11 Males) | Quartile 3 (N = 16, 7 Males) | Quartile 4 (N = 18, 8 Males) | Total (N = 62) | Male (N = 31) | Female (N = 31) |
|---|---|---|---|---|---|---|---|
| Age (years) | 23.4 (3.6) | 23.9 (2.4) | 23.6 (1.4) | 24 (1.1) | 23.7 (2.2) | 24.3 § (2.7) | 23.2 (1.4) |
| Height (cm) | 168.1 (11.1) | 178.1 (8) | 176.1 (8.1) | 173.6 (9) | 174 (9.6) | 181 § (5.4) | 167.1 (7.6) |
| Weight (kg) | 71.5 (21.5) | 76.3 (11.4) | 73.4 (13) | 73.9 (9.7) | 73.8 (14) | 83.4 § (11.7) | 64.1 (8.5) |
| BMI (Body Mass Index) | 24.9 (4.6) | 23.9 (2.1) | 23.5 (2.9) | 24.5 (2.3) | 24.2 (3) | 25.5 § (3) | 22.9 (2.5) |
| Activity Levels | 5.7 (2.5) | 6.1 (2.2) | 6.7 (1.9) | 6.3 (1.8) | 6.2 (2) | 6.6 (2.3) | 5.9 (1.7) |
| HR (beats per minute) | 85.2 (14.7) | 81.7 (11) | 79.6 (20) | 79.6 (13.8) | 81.3 (15) | 77.2 § (12) | 85.5 (16.7) |
| SDNN (ms) * | 23.3 (8.4) | 21.1 (9.5) | 35.6 (19.5) | 26.9 (10.6) | 27 (13.7) | 27.9 (14.2) | 26.2 (13.5) |
| LF/HF * | 1.7 (1) | 2.4 (1.6) | 2.5 (2) | 2.9 (1.8) | 2.4 (1.7) | 2.4 (1.7) | 2.4 (1.7) |
| DCCS score * | 97.9 (7.5) | 112.1 (4.3) | 123.9 (3.4) | 131.9 (0.8) | 117.7 (13.6) | 117.2 (14.1) | 118.2 (13.4) |
| Cognitive Domain: Executive Function (Flanker) | Quartile 1 (N = 14, Males = 8) | Quartile 2 (N = 17, Males = 9) | Quartile 3 (N = 14, Males = 6) | Quartile 4 (N = 17, Males = 8) | Total (N = 62) | Male (N = 31) | Female (N = 31) |
|---|---|---|---|---|---|---|---|
| Age (years) | 23.7 (3.8) | 23.3 (1.6) | 23.7 (1.5) | 24.2 (1.4) | 23.7 (2.2) | 24.3 § (2.7) | 23.2 (1.4) |
| Height (cm) | 173.1 (10.7) | 173.1 (11.8) | 173.9 (7.2) | 175.9 (8.3) | 174 (9.6) | 181 § (5.4) | 167.1 (7.6) |
| Weight (kg) | 77.1 (19.7) | 71.1 (14.3) | 74.9 (7.7) | 72.9 (12.7) | 73.8 (14) | 83.4 § (11.7) | 64.1 (8.5) |
| BMI (Body Mass Index) | 25.5 (4.4) | 23.5 (2.1) | 24.8 (2.6) | 23.4 (2.5) | 24.2 (3) | 25.5 § (3) | 22.9 (2.5) |
| Activity Levels | 5.8 (2.5) | 6.4 (1.9) | 5.9 (2.1) | 6.8 (1.8) | 6.2 (2) | 6.6 (2.3) | 5.9 (1.7) |
| HR (beats per minute) | 78.8 (11.8) | 85.7 (16.8) | 84.7 (13.7) | 76.3 (15.8) | 81.3 (15) | 77.2 § (12) | 85.5 (16.7) |
| SDNN (ms) | 28.7 (13.6) | 25.3 (11.8) | 21.7 (11.3) | 31.9 (16.5) | 27 (13.7) | 27.9 (14.2) | 26.2 (13.5) |
| LF/HF * | 1.5 (0.8) | 2.5 (1.6) | 2.7 (1.3) | 2.9 (2.3) | 2.4 (1.7) | 2.4 (1.7) | 2.4 (1.7) |
| Flanker score * | 89.2 (6.7) | 99.7 (2.5) | 111.5 (4) | 127.1 (4.8) | 107.5 (15) | 106.5 (15.4) | 108.5 (14.8) |
| Cognitive Domain: Working Memory (List Sorting) | Quartile 1 (N = 14, Males = 7) | Quartile 2 (N = 9, Males = 3) | Quartile 3 (N = 21, Males = 10) | Quartile 4 (N = 18, Males = 11) | Total (N = 62) | Male (N = 31) | Female (N = 31) |
|---|---|---|---|---|---|---|---|
| Age (years) | 23.4 (2.6) | 23.1 (1.4) | 23.4 (1.5) | 24.7 (2.7) | 23.7 (2.2) | 24.3 § (2.7) | 23.2 (1.4) |
| Height (cm) | 174.6 (11.5) | 170.2 (11.3) | 173.4 (9.6) | 176.2 (6.7) | 174 (9.6) | 181 § (5.4) | 167.1 (7.6) |
| Weight (kg) | 76 (21.2) | 68.7 (13) | 73 (10.2) | 75.6 (11.8) | 73.8 (14) | 83.4 § (11.7) | 64.1 (8.5) |
| BMI (Body Mass Index) | 24.5 (3.9) | 23.6 (2.7) | 24.2 (2.1) | 24.3 (3.6) | 24.2 (3) | 25.5 § (3) | 22.9 (2.5) |
| Activity Levels | 6.5 (2) | 6.9 (2.3) | 5.7 (2) | 6.3 (2) | 6.2 (2) | 6.6 (2.3) | 5.9 (1.7) |
| HR (beats per minute) | 81.5 (14) | 81.2 (17.7) | 84.3 (15.3) | 77.8 (14.7) | 81.3 (15) | 77.2 § (12) | 85.5 (16.7) |
| SDNN (ms) | 23.3 (12.1) | 26.6 (9) | 27.5 (13) | 29.6 (17.6) | 27 (13.7) | 27.9 (14.2) | 26.2 (13.5) |
| LF/HF | 2.5 (1.7) | 2.8 (2.4) | 2.4 (1.7) | 2.2 (1.3) | 2.4 (1.7) | 2.4 (1.7) | 2.4 (1.7) |
| List Sorting score | 93.6 (5.3) | 102.7 (1.7) | 110.6 (2.9) | 123.2 (4.9) | 109.2 (11.7) | 110.8 (13.3) | 107.7 (9.8) |
| Picture Sequence | List Sorting | Flanker | DCCS | |
|---|---|---|---|---|
| Heart Rate | 0.04 | 0.22 | 0.1 | 0.93 |
| LF/HF | 0.31 | 0.45 | 0.76 | 0.93 |
| SDNN | 0.01 | 0.94 | 0.07 | 0.3 |
| Cognitive Test | Variable | R-Squared |
|---|---|---|
| DCCS | ||
| Step 1 | LF/HF | 0.06 |
| Step 2 | SDNN | 0.13 |
| Flanker | ||
| Step 1 | LF/HF | 0.07 |
| Step 2 | HR | 0.1 |
| Step 3 | Age | 0.13 |
| Step 4 | Sex | 0.16 |
Publisher’s Note: MDPI stays neutral with regard to jurisdictional claims in published maps and institutional affiliations. |
© 2022 by the authors. Licensee MDPI, Basel, Switzerland. This article is an open access article distributed under the terms and conditions of the Creative Commons Attribution (CC BY) license (https://creativecommons.org/licenses/by/4.0/).
Share and Cite
Lee, J.; Shields, R.K. Sympathetic Vagal Balance and Cognitive Performance in Young Adults during the NIH Cognitive Test. J. Funct. Morphol. Kinesiol. 2022, 7, 59. https://doi.org/10.3390/jfmk7030059
Lee J, Shields RK. Sympathetic Vagal Balance and Cognitive Performance in Young Adults during the NIH Cognitive Test. Journal of Functional Morphology and Kinesiology. 2022; 7(3):59. https://doi.org/10.3390/jfmk7030059
Chicago/Turabian StyleLee, Jinhyun, and Richard K. Shields. 2022. "Sympathetic Vagal Balance and Cognitive Performance in Young Adults during the NIH Cognitive Test" Journal of Functional Morphology and Kinesiology 7, no. 3: 59. https://doi.org/10.3390/jfmk7030059
APA StyleLee, J., & Shields, R. K. (2022). Sympathetic Vagal Balance and Cognitive Performance in Young Adults during the NIH Cognitive Test. Journal of Functional Morphology and Kinesiology, 7(3), 59. https://doi.org/10.3390/jfmk7030059

