The Acute Effects of Different Wearable Resistance Loads Attached to the Forearm on Throwing Kinematics, Myoelectric Activity and Performance in Experienced Female Handball Players
Abstract
:1. Introduction
2. Methods
2.1. Design
2.2. Subjects
2.3. Procedure
2.4. Measurement
2.5. Statistics
3. Results
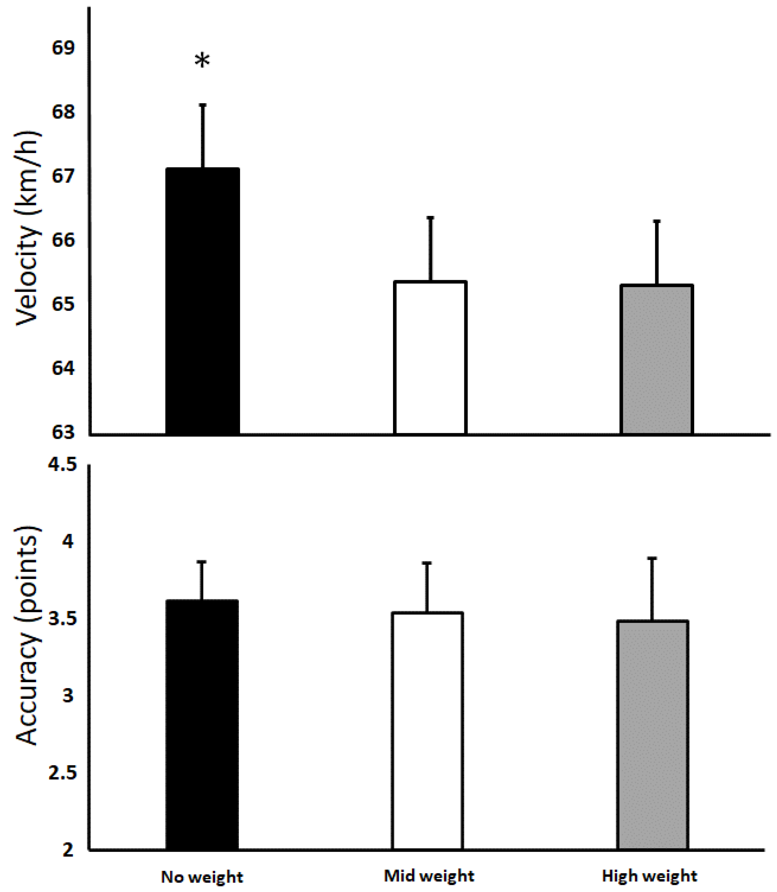
3.1. Velocity and Accuracy
3.2. Kinematics
3.3. EMG Activity
4. Discussion
5. Conclusions
Author Contributions
Funding
Institutional Review Board Statement
Informed Consent Statement
Data Availability Statement
Conflicts of Interest
References
- van den Tillaar, R.; Ettema, G. A comparison of kinematics between overarm throwing with 20% underweight, regular, and 20% overweight balls. J. Appl. Biomech. 2011, 27, 252–257. [Google Scholar] [CrossRef]
- Ettema, G.; Gløsen, T.; van den Tillaar, R. Effect of specific resistance training on overarm throwing performance. Int. J. Sports Physiol. Perf. 2008, 3, 164–175. [Google Scholar] [CrossRef] [PubMed]
- van Edwards Muijen, A.; Joris, H.; Kemper, H.C.G.; van Ingen Schenau, G.J. Throwing practice with different ball weights: Effects on throwing velocity and muscle strength in female handball players. Sports Train. Med. Rehab. 1991, 2, 103–113. [Google Scholar] [CrossRef]
- van den Tillaar, R.; Ettema, G. A three-dimensional analysis of overarm throwing in experienced handball players. J. Appl. Biomech. 2007, 23, 12–19. [Google Scholar] [CrossRef] [PubMed]
- van den Tillaar, R.; Ettema, G. A force-velocity relationship and coordination patterns in overarm throwing. J. Sports Sci. Med. 2004, 3, 211. [Google Scholar]
- Marques, M.A.C.; González-Badillo, J.J. In-season resistance training and detraining in professional team handball players. J. Strength Cond. Res. 2006, 20, 563. [Google Scholar]
- Hoff, J.; Almåsbakk, B. The effects of maximum strength training on throwing velocity and muscle strength in female team-handball players. J. Strength Cond. Res. 1995, 9, 255–258. [Google Scholar]
- van den Tillaar, R.; Ettema, G. Effect of body size and gender in overarm throwing performance. Eur. J. Appl. Physiol. 2004, 91, 413–418. [Google Scholar] [CrossRef]
- Bosco, C.; Rusko, H.; Hirvonen, J. The effect of extra-load conditioning on muscle performance in athletes. Med. Sci. Sports Exerc. 1986, 18, 415–419. [Google Scholar] [CrossRef]
- Hrysomallis, C. The effectiveness of resisted movement training on sprinting and jumping performance. J. Strength Cond. Res. 2012, 26, 299–306. [Google Scholar] [CrossRef]
- Brown, S.; Cooke, J. Movement-related phasic muscle activation. I. Relations with temporal profile of movement. J. Neurophysiol. 1990, 63, 455–464. [Google Scholar] [CrossRef] [PubMed]
- Hatzitaki, V.; McKinley, P. Effect of single-limb inertial loading on bilateral reaching: Interlimb interactions. Exp. Brain Res. 2001, 140, 34–45. [Google Scholar] [CrossRef] [PubMed]
- Skoufas, D.; Skoufa, E.; Christodoulidis, T.; Papadopoulou, S.; Patikas, D.; Zaggelidis, G. The effect of arm and forearm loading on the throwing velocity of novice handball players: Influences during training and detraining. Phys. Train. 2008, 11, 1–12. [Google Scholar]
- Hermens, H.J.; Freriks, B.; Disselhorst-Klug, C.; Rau, G. Development of recommendations for SEMG sensors and sensor placement procedures. J. Electromyogr. Kinesiol. 2000, 10, 361–374. [Google Scholar] [CrossRef]
- Cohen, J. Statistical Power Analysis for the Behavioral Sciences; Lawrence Erlbaum Associates: Hillsdale, UK, 1988; p. 174. [Google Scholar]
- Jöris, H.; van Muyen, A.E.; van Ingen Schenau, G.J.; Kemper, H.C. Force velocity and energy flow during the overarm throw in female handball players. J. Biomech. 1985, 18, 409–414. [Google Scholar] [CrossRef]
- McGinnis, P.M. Biomechanics of Sport and Exercise; Human Kinetics: Champaign, IL, USA, 2013. [Google Scholar]
- Torabi, T.P.; Juul-Kristensen, B.; Dam, M.; Zebis, M.K.; Van Den Tillaar, R.; Bencke, J. Comparison of Shoulder Kinematics and Muscle Activation of Female Elite Handball Players with and Without Pain—An Explorative Cross-Sectional Study. Front. Sports Act. Liv. 2022, 4, 186. [Google Scholar] [CrossRef]
- Wasserstein, R.L.; Lazar, N.A. The ASA Statement on p-Values: Context, Process, and Purpose; Taylor & Francis: Abingdon, UK, 2016; Volume 70, pp. 129–133. [Google Scholar]
- van den Tillaar, R.; Ettema, G. Influence of instruction on velocity and accuracy of overarm throwing. Perc. Mot. Ski. 2003, 96, 423–434. [Google Scholar] [CrossRef]
- van den Tillaar, R.; Ettema, G. Instructions emphasizing velocity, accuracy, or both in performance and kinematics of overarm throwing by experienced team handball players. Perc. Mot. Ski. 2003, 97, 731–742. [Google Scholar] [CrossRef]
- van den Tillaar, R.; Ettema, G. A comparison between novices and experts of the velocity-accuracy trade-off in overarm throwing. Perc. Mot. Ski. 2006, 103, 503–514. [Google Scholar] [CrossRef]
- Vila, H.; Ferragut, C. Throwing speed in team handball: A systematic review. Int. J. Perf. Anal. Sport 2019, 19, 724–736. [Google Scholar] [CrossRef]
- García, J.A.; Sabido, R.; Barbado, D.; Moreno, F.J. Analysis of the relation between throwing speed and throwing accuracy in team-handball according to instruction. Eur. J. Sports Sci. 2013, 13, 149–154. [Google Scholar] [CrossRef]
- van den Tillaar, R.; Cabri, J.M. Gender differences in the kinematics and ball velocity of overarm throwing in elite team handball players. J. Sports Sci. 2012, 30, 807–813. [Google Scholar] [CrossRef] [PubMed]





| Body Mass | No Weight (kg) | Mid Weight (kg) | High Weight (kg) |
| <60 kg | 0 | 0.15 | 0.35 |
| 60–75 kg | 0 | 0.20 | 0.40 |
| 76–90 kg | 0 | 0.25 | 0.45 |
| >90 kg | 0 | 0.30 | 0.50 |
| Wrist Flexion/ Extension | Elbow Flexion | External/Internal Shoulder Rotation | Shoulder Horizontal Adduction | Shoulder Abduction | ||
|---|---|---|---|---|---|---|
| Angles at Ball Release (°) | No Weight | −7.8 ± 7.2 | 35.9 ± 8.0 | 69.7 ± 9.8 | 13.6 ± 9.5 | 84.4 ± 6.5 |
| Mid Weight | −5.5 ± 8.5 | 37.8 ± 3.8 | 77.0 ± 16.0 | 13.2 ± 9.3 | 90.5 ± 13.9 | |
| High Weight | −8.7 ± 8.2 | 37.4 ± 6.0 | 74.0 ± 22.0 | 13.0 ± 8.0 | 86.7 ± 12.3 | |
| Maximal Angle (°) | No Weight | 37.8 ± 12.4 | 118.0 ± 15.3 | 142.2 ± 20.2 | −48.2 ± 29.2 | - |
| Mid Weight | 34.3 ± 12.7 | 116.8 ± 16.8 | 143.6 ± 18.4 | −48.6 ± 32.9 | - | |
| High Weight | 42.9 ± 16.3 | 116.3 ± 16.0 | 145.2 ± 19.0 | −49.8 ± 34.5 | - | |
| Timing Max Angle (s) | No weight | −0.175 ± 0.138 | −0.356 ± 0.231 | −0.051 ± 0.045 | −0.227 ± 0.159 | - |
| Mid Weight | −0.138 ± 0.117 | −0.317 ± 0.251 | −0.065 ± 0.017 | −0.228 ± 0.185 | - | |
| High Weight | −0.161 ± 0.217 | −0.351 ± 0.247 | −0.067 ± 0.013 | −0.239 ± 0.147 | - |
| Maximal Velocity | Timing Max Velocity (s) | |||||
|---|---|---|---|---|---|---|
| No Weight | Mid Weight | High Weight | No Weight | Mid Weight | High Weight | |
| Wrist flexion | 988 ± 455 | 1159 ± 300 | 1474 ± 553 | −0.010 ± 0.015 | −0.007 ± 0.008 | −0.008 ± 0.008 |
| Elbow extension | 644 ± 357 * | 1190 ± 386 | 1218 ± 387 | −0.021 ± 0.042 | −0.019 ± 0.028 | −0.028 ± 0.029 |
| Shoulder horizontal adduction | 447 ± 295 | 466 ± 326 | 499 ± 390 | 0 | 0 | 0 |
| Internal rotation | 3276 ± 687 † | 3184 ± 749 | 3076 ± 834 † | 0 | 0 | 0 |
| Shoulder abduction | 524 ± 258 | 464 ± 246 | 529 ± 327 | 0 | 0 | 0 |
Publisher’s Note: MDPI stays neutral with regard to jurisdictional claims in published maps and institutional affiliations. |
© 2022 by the authors. Licensee MDPI, Basel, Switzerland. This article is an open access article distributed under the terms and conditions of the Creative Commons Attribution (CC BY) license (https://creativecommons.org/licenses/by/4.0/).
Share and Cite
Bao Fredriksen, A.; Tillaar, R.v.d. The Acute Effects of Different Wearable Resistance Loads Attached to the Forearm on Throwing Kinematics, Myoelectric Activity and Performance in Experienced Female Handball Players. J. Funct. Morphol. Kinesiol. 2022, 7, 58. https://doi.org/10.3390/jfmk7030058
Bao Fredriksen A, Tillaar Rvd. The Acute Effects of Different Wearable Resistance Loads Attached to the Forearm on Throwing Kinematics, Myoelectric Activity and Performance in Experienced Female Handball Players. Journal of Functional Morphology and Kinesiology. 2022; 7(3):58. https://doi.org/10.3390/jfmk7030058
Chicago/Turabian StyleBao Fredriksen, Andrea, and Roland van den Tillaar. 2022. "The Acute Effects of Different Wearable Resistance Loads Attached to the Forearm on Throwing Kinematics, Myoelectric Activity and Performance in Experienced Female Handball Players" Journal of Functional Morphology and Kinesiology 7, no. 3: 58. https://doi.org/10.3390/jfmk7030058
APA StyleBao Fredriksen, A., & Tillaar, R. v. d. (2022). The Acute Effects of Different Wearable Resistance Loads Attached to the Forearm on Throwing Kinematics, Myoelectric Activity and Performance in Experienced Female Handball Players. Journal of Functional Morphology and Kinesiology, 7(3), 58. https://doi.org/10.3390/jfmk7030058

