Determining the Effects of a 6-Week Training Intervention on Reactive Strength: A Single-Case Experimental Design Approach
Abstract
1. Introduction
2. Materials and Methods
2.1. Participants
2.2. Outcome Measures
2.2.1. RQR Assessment
2.2.2. Force–Velocity Profile
2.3. Training Intervention
2.4. Statistical Analysis
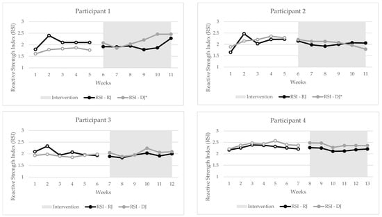
3. Results
4. Discussion
5. Conclusions
Author Contributions
Funding
Institutional Review Board Statement
Informed Consent Statement
Data Availability Statement
Acknowledgments
Conflicts of Interest
Abbreviations
| RSI | Reactive Strength Index |
| RQR | Reactive Quality Ratio |
| GCT | Ground Contact Time |
| FT | Flight Time |
| FVP | Force Velocity Profile |
| DJ | Drop Jump |
| RJ | 10/5 Repeated Jump |
References
- Johnston, R.D.; Black, G.M.; Harrison, P.W.; Murray, N.B.; Austin, D.J. Applied Sport Science of Australian Football: A Systematic Review. Sports Med. 2018, 48, 1673–1694. [Google Scholar] [CrossRef] [PubMed]
- Scanlan, A.; Dascombe, B.; Reaburn, P. A comparison of the activity demands of elite and sub-elite Australian men’s basketball competition. J. Sports Sci. 2011, 29, 1153–1160. [Google Scholar] [CrossRef] [PubMed]
- Póvoas, S.C.; Ascensão, A.A.; Magalhães, J.; Seabra, A.F.; Krustrup, P.; Soares, J.M.; Rebelo, A.N. Physiological demands of elite team handball with special reference to playing position. J. Strength Cond. Res. 2014, 28, 430–442. [Google Scholar] [CrossRef] [PubMed]
- Taylor, J.B.; Wright, A.A.; Dischiavi, S.L.; Townsend, M.A.; Marmon, A.R. Activity Demands During Multi-Directional Team Sports: A Systematic Review. Sports Med. 2017, 47, 2533–2551. [Google Scholar] [CrossRef]
- Fiatarone Singh, M.A.; Gates, N.; Saigal, N.; Wilson, G.C.; Meiklejohn, J.; Brodaty, H.; Wen, W.; Singh, N.; Baune, B.T.; Suo, C.; et al. The Study of Mental and Resistance Training (SMART) Study—Resistance Training and/or Cognitive Training in Mild Cognitive Impairment: A Randomized, Double-Blind, Double-Sham Controlled Trial. J. Am. Med. Dir. Assoc. 2014, 15, 873–880. [Google Scholar] [CrossRef]
- Church, T.S.; Blair, S.N.; Cocreham, S.; Johannsen, N.; Johnson, W.; Kramer, K.; Mikus, C.R.; Myers, V.; Nauta, M.; Rodarte, R.Q.; et al. Effects of Aerobic and Resistance Training on Hemoglobin A1c Levels in Patients with Type 2 Diabetes: A Randomized Controlled Trial. JAMA 2010, 304, 2253–2262. [Google Scholar] [CrossRef]
- Amanat, S.; Sinaei, E.; Panji, M.; MohammadporHodki, R.; Bagheri-Hosseinabadi, Z.; Asadimehr, H.; Fararouei, M.; Dianatinasab, A. A Randomized Controlled Trial on the Effects of 12 Weeks of Aerobic, Resistance, and Combined Exercises Training on the Serum Levels of Nesfatin-1, Irisin-1 and HOMA-IR. Front. Physiol. 2020, 11, 562895. [Google Scholar] [CrossRef]
- Gavelin, H.M.; Dong, C.; Minkov, R.; Bahar-Fuchs, A.; Ellis, K.A.; Lautenschlager, N.T.; Mellow, M.L.; Wade, A.T.; Smith, A.E.; Finke, C.; et al. Combined physical and cognitive training for older adults with and without cognitive impairment: A systematic review and network meta-analysis of randomized controlled trials. Ageing Res. Rev. 2021, 66, 101232. [Google Scholar] [CrossRef]
- Mueller, S.; Winzer, E.B.; Duvinage, A.; Gevaert, A.B.; Edelmann, F.; Haller, B.; Pieske-Kraigher, E.; Beckers, P.; Bobenko, A.; Hommel, J.; et al. Effect of High-Intensity Interval Training, Moderate Continuous Training, or Guideline-Based Physical Activity Advice on Peak Oxygen Consumption in Patients with Heart Failure with Preserved Ejection Fraction: A Randomized Clinical Trial. JAMA 2021, 325, 542–551. [Google Scholar] [CrossRef]
- Campa, F.; Colognesi, L.A.; Moro, T.; Paoli, A.; Casolo, A.; Santos, L.; Correia, R.R.; Lemes, Í.R.; Milanez, V.F.; Christofaro, D.D.; et al. Effect of resistance training on bioelectrical phase angle in older adults: A systematic review with Meta-analysis of randomized controlled trials. Rev. Endocr. Metab. Disord. 2023, 24, 439–449. [Google Scholar] [CrossRef]
- Hecksteden, A.; Faude, O.; Meyer, T.; Donath, L. How to Construct, Conduct and Analyze an Exercise Training Study? Front. Physiol. 2018, 9, 1007. [Google Scholar] [CrossRef] [PubMed]
- Krasny-Pacini, A.; Evans, J. Single-case experimental designs to assess intervention effectiveness in rehabilitation: A practical guide. Ann. Phys. Rehabil. Med. 2018, 61, 164–179. [Google Scholar] [CrossRef]
- Dutia, I.M.; Connick, M.J.; Beckman, E.M.; Johnston, L.M.; Wilson, P.J.; Macaro, A.; Tweedy, S.M. Evaluating the Effects of Performance-Focused Swimming Training on People with Cerebral Palsy Who Have High Support Needs—A Study Protocol Using Single-Case Experimental Design. Brain Impair. 2020, 21, 217–234. [Google Scholar] [CrossRef]
- Wilson, P.J.; Connick, M.J.; Dutia, I.M.; Beckman, E.M.; Macaro, A.; Tweedy, S.M. Does sports-specific training improve measures of impairment developed for para sport classification? A multiple-baseline, single-case experiment. J. Sports Sci. 2021, 39, 81–90. [Google Scholar] [CrossRef]
- Pate, J.W.; McCambridge, A.B. Single Case Experimental Design: A New Approach for Non-invasive Brain Stimulation Research? Front. Neuroergon. 2021, 2, 678579. [Google Scholar] [CrossRef]
- Stratford, C.; Dos’Santos, T.; McMahon, J. A Comparison Between the Drop Jump and 10/5 Repeated Jumps Test to Measure the Reactive Strength Index. UKSCA Prof. Strength Cond. Journal. 2020, 57, 23–28. [Google Scholar]
- Southey, B.M.; Connick, M.J.; Spits, D.R.; Austin, D.J.; Beckman, E.M. A reliability and kinetic analysis of the 10/5 repeated jump and drop jump tests to determine the use of a novel reactive strength measure: The reactive quality ratio. Kinesiology 2024, 56, 198–204. [Google Scholar] [CrossRef]
- Southey, B.; Connick, M.; Spits, D.; Austin, D.; Beckman, E. Determining Interday & Intraday Reliability of the 10/5 Repeated Jump Test in Elite Australian Footballers. Int. J. Strength Cond. 2023, 3. [Google Scholar] [CrossRef]
- Markwick, W.J.; Bird, S.P.; Tufano, J.J.; Seitz, L.B.; Haff, G.G. The intraday reliability of the Reactive Strength Index calculated from a drop jump in professional men’s basketball. Int. J. Sports Physiol. Perform. 2015, 10, 482–488. [Google Scholar] [CrossRef]
- Comyns, T.; Flangan, E.; Harper, D.; Fleming, S.; Fitzgerald, E. Interday reliability and usefulness of reactive strength index derived from the ten to five repeated jump test. J. Sports Sci. 2017, 35, S80. [Google Scholar]
- Comyns, T.M.; Flanagan, E.P.; Fleming, S.; Fitzgerald, E.; Harper, D.J. Interday Reliability and Usefulness of Reactive Strength Index Derived from Two Maximal Rebound Jump Tests. Int. J. Sports Physiol. Perform. 2019, 14, 1200–1204. [Google Scholar] [CrossRef] [PubMed]
- Baker, J.; Shillabeer, B.; Brandner, C.; Graham-Smith, P.; Mills, P.; Read, P. Reliability, Validity, and Performance Characteristics of Elite Adolescent Athletes at Different Stages of Maturity in the 10 to 5 Repeated Jump Test. Pediatr. Exerc. Sci. 2021, 34, 20–27. [Google Scholar] [CrossRef] [PubMed]
- Haynes, T.; Bishop, C.; Antrobus, M.; Brazier, J. The validity and reliability of the My Jump 2 app for measuring the reactive strength index and drop jump performance. J. Sports Med. Phys. Fit. 2018, 59, 253–258. [Google Scholar] [CrossRef] [PubMed]
- Slocum, T.A.; Pinkelman, S.E.; Joslyn, P.R.; Nichols, B. Threats to Internal Validity in Multiple-Baseline Design Variations. Perspect. Behav. Sci. 2022, 45, 619–638. [Google Scholar] [CrossRef]
- Samozino, P.; Morin, J.-B.; Hintzy, F.; Belli, A. A simple method for measuring force, velocity and power output during squat jump. J. Biomech. 2008, 41, 2940–2945. [Google Scholar] [CrossRef]
- Samozino, P.; Edouard, P.; Sangnier, S.; Brughelli, M.; Gimenez, P.; Morin, J.-B. Force-Velocity Profile: Imbalance Determination and Effect on Lower Limb Ballistic Performance. Int. J. Sports Med. 2013, 35, 505–510. [Google Scholar] [CrossRef]
- Morin, J.-B.; Samozino, P. Interpreting Power-Force-Velocity Profiles for Individualized and Specific Training. Int. J. Sports Physiol. Perform. 2015, 11, 267–272. [Google Scholar] [CrossRef]
- Perez-Gomez, J.; Olmedillas, H.; Delgado-Guerra, S.; Ara, I.; Vicente-Rodriguez, G.; Ortiz, R.A.; Chavarren, J.; Calbet, J.A. Effects of weight lifting training combined with plyometric exercises on physical fitness, body composition, and knee extension velocity during kicking in football. Appl. Physiol. Nutr. Metab. 2008, 33, 501–510. [Google Scholar] [CrossRef]
- Adams, K.; O’Shea, J.P.; O’Shea, K.L.; Climstein, M. The Effect of Six Weeks of Squat, Plyometric and Squat-Plyometric Training on Power Production. J. Strength Cond. Res. 1992, 6, 36–41. [Google Scholar]
- Lum, D.; Comfort, P.; Barbosa, T.M.; Balasekaran, G. Comparing the effects of plyometric and isometric strength training on dynamic and isometric force-time characteristics. Biol. Sport 2022, 39, 189–197. [Google Scholar] [CrossRef]
- Bourgeois, F.A.; Gamble, P.; Gill, N.D.; McGuigan, M.R. Effects of a Six-Week Strength Training Programme on Change of Direction Performance in Youth Team Sport Athletes. Sports 2017, 5, 83. [Google Scholar] [CrossRef] [PubMed]
- Lum, D.; Barbosa, T.M.; Joseph, R.; Balasekaran, G. Effects of Two Isometric Strength Training Methods on Jump and Sprint Performances: A Randomized Controlled Trial. J. Sci. Sport Exerc. 2021, 3, 115–124. [Google Scholar] [CrossRef]
- Lum, D.; Barbosa, T.M.; Aziz, A.R.; Balasekaran, G. Effects of Isometric Strength and Plyometric Training on Running Performance: A Randomized Controlled Study. Res. Q. Exerc. Sport 2022, 94, 263–271. [Google Scholar] [CrossRef]
- Li, F.; Wang, R.; Newton, R.U.; Sutton, D.; Shi, Y.; Ding, H. Effects of complex training versus heavy resistance training on neuromuscular adaptation, running economy and 5-km performance in well-trained distance runners. PeerJ 2019, 7, e6787. [Google Scholar] [CrossRef]
- Ronnestad, B.R.; Kvamme, N.H.; Sunde, A.; Raastad, T. Short-Term Effects of Strength and Plyometric Training on Sprint and Jump Performance in Professional Soccer Players. J. Strength Cond. Res. 2008, 22, 773–780. [Google Scholar] [CrossRef]
- Perez-Gomez, J.; Calbet, J.A. Training methods to improve vertical jump performance. J. Sports Med. Phys. Fit. 2013, 53, 339–357. [Google Scholar]
- Rebelo, A.; Pereira, J.R.; Martinho, D.V.; Duarte, J.P.; Coelho-e-Silva, M.J.; Valente-dos-Santos, J. How to Improve the Reactive Strength Index Among Male Athletes? A Systematic Review with Meta-Analysis. Healthcare 2022, 10, 593. [Google Scholar] [CrossRef]
- Southey, B.; Willshire, M.; Connick, M.J.; Austin, D.; Spits, D.; Beckman, E. Reactive Strength Index as a Key Performance Indicator in Different Athlete Populations—A Systematic Review. Sci. Sports 2023, 39, 129–143. [Google Scholar] [CrossRef]
- Schoenfeld, B.J.; Grgic, J.; Van Every, D.W.; Plotkin, D.L. Loading Recommendations for Muscle Strength, Hypertrophy, and Local Endurance: A Re-Examination of the Repetition Continuum. Sports 2021, 9, 32. [Google Scholar] [CrossRef]
- Morley, S. Single Case Methods in Clinical Psychology: A Practical Guide, 1st ed.; Routledge: Abingdon, Oxon, UK, 2017; p. 210. [Google Scholar]
- Parker, R.I.; Vannest, K.J.; Davis, J.L.; Sauber, S.B. Combining nonoverlap and trend for single-case research: Tau-U. Behav. Ther. 2011, 42, 284–299. [Google Scholar] [CrossRef]
- Lee Jaime, B.; Cherney Leora, R. Tau-U: A Quantitative Approach for Analysis of Single-Case Experimental Data in Aphasia. Am. J. Speech-Lang. Pathol. 2018, 27, 495–503. [Google Scholar] [CrossRef] [PubMed]
- Ross, S.G.; Begeny, J.C. Single-case effect size calculation: Comparing regression and non-parametric approaches across previously published reading intervention data sets. J. Sch. Psychol. 2014, 52, 419–431. [Google Scholar] [CrossRef]
- Brossart, D.F.; Laird, V.C.; Armstrong, T.W. Interpreting Kendall’s Tau and Tau-U for single-case experimental designs. Cogent Psychol. 2018, 5, 1518687. [Google Scholar] [CrossRef]
- Deschenes, M.R.; Kraemer, W.J. Performance and Physiologic Adaptations to Resistance Training. Am. J. Phys. Med. Rehabil. 2002, 81, S3–S16. [Google Scholar] [CrossRef]
- Bouchard, C.; Rankinen, T. Individual differences in response to regular physical activity. Med. Sci. Sports Exerc. 2001, 33, S446–S451. [Google Scholar] [CrossRef]
- Räntilä, A.; Ahtiainen, J.P.; Avela, J.; Restuccia, J.; Kidgell, D.; Häkkinen, K. High Responders to Hypertrophic Strength Training Also Tend to Lose More Muscle Mass and Strength During Detraining Than Low Responders. J. Strength Cond. Res. 2021, 35, 1500–1511. [Google Scholar] [CrossRef]
- Mann, T.N.; Lamberts, R.P.; Lambert, M.I. High Responders and Low Responders: Factors Associated with Individual Variation in Response to Standardized Training. Sports Med. 2014, 44, 1113–1124. [Google Scholar] [CrossRef]
- Haun, C.T.; Vann, C.G.; Mobley, C.B.; Osburn, S.C.; Mumford, P.W.; Roberson, P.A.; Romero, M.A.; Fox, C.D.; Parry, H.A.; Kavazis, A.N.; et al. Pre-training Skeletal Muscle Fiber Size and Predominant Fiber Type Best Predict Hypertrophic Responses to 6 Weeks of Resistance Training in Previously Trained Young Men. Front. Physiol. 2019, 10, 297. [Google Scholar] [CrossRef]
- Davidsen, P.K.; Gallagher, I.J.; Hartman, J.W.; Tarnopolsky, M.A.; Dela, F.; Helge, J.W.; Timmons, J.A.; Phillips, S.M. High responders to resistance exercise training demonstrate differential regulation of skeletal muscle microRNA expression. J. Appl. Physiol. 2011, 110, 309–317. [Google Scholar] [CrossRef]
- Morton, R.W.; Sato, K.; Gallaugher, M.P.; Oikawa, S.Y.; McNicholas, P.D.; Fujita, S.; Phillips, S.M. Muscle androgen receptor content but not systemic hormones is associated with resistance training-induced skeletal muscle hypertrophy in healthy, young men. Front. Physiol. 2018, 9, 1373. [Google Scholar] [CrossRef]
- Mitchell, C.J.; Churchward-Venne, T.A.; Bellamy, L.; Parise, G.; Baker, S.K.; Phillips, S.M. Muscular and systemic correlates of resistance training-induced muscle hypertrophy. PLoS ONE 2013, 8, e78636. [Google Scholar] [CrossRef] [PubMed]
- Ahtiainen, J.P.; Pakarinen, A.; Alen, M.; Kraemer, W.J.; Häkkinen, K. Muscle hypertrophy, hormonal adaptations and strength development during strength training in strength-trained and untrained men. Eur. J. Appl. Physiol. 2003, 89, 555–563. [Google Scholar] [CrossRef] [PubMed]
- Davies, G.; Riemann, B.L.; Manske, R. Current concepts of plyometric exercise. Int. J. Sports Phys. Ther. 2015, 10, 760–786. [Google Scholar]
- Bohm, S.; Mersmann, F.; Arampatzis, A. Human tendon adaptation in response to mechanical loading: A systematic review and meta-analysis of exercise intervention studies on healthy adults. Sports Med.-Open 2015, 1, 7. [Google Scholar] [CrossRef]
- Seynnes, O.R.; Erskine, R.M.; Maganaris, C.N.; Longo, S.; Simoneau, E.M.; Grosset, J.-F.; Narici, M.V. Training-induced changes in structural and mechanical properties of the patellar tendon are related to muscle hypertrophy but not to strength gains. J. Appl. Physiol. 2009, 107, 523–530. [Google Scholar] [CrossRef]
- Fletcher, J.R.; Esau, S.P.; MacIntosh, B.R. Changes in tendon stiffness and running economy in highly trained distance runners. Eur. J. Appl. Physiol. 2010, 110, 1037–1046. [Google Scholar] [CrossRef]
- Damas, F.; Phillips, S.M.; Lixandrão, M.E.; Vechin, F.C.; Libardi, C.A.; Roschel, H.; Tricoli, V.; Ugrinowitsch, C. Early resistance training-induced increases in muscle cross-sectional area are concomitant with edema-induced muscle swelling. Eur. J. Appl. Physiol. 2016, 116, 49–56. [Google Scholar] [CrossRef]
- Brook, M.S.; Wilkinson, D.J.; Mitchell, W.K.; Lund, J.N.; Szewczyk, N.J.; Greenhaff, P.L.; Smith, K.; Atherton, P.J. Skeletal muscle hypertrophy adaptations predominate in the early stages of resistance exercise training, matching deuterium oxide-derived measures of muscle protein synthesis and mechanistic target of rapamycin complex 1 signaling. FASEB J. 2015, 29, 4485–4496. [Google Scholar] [CrossRef]
- DeFreitas, J.M.; Beck, T.W.; Stock, M.S.; Dillon, M.A.; Kasishke, P.R. An examination of the time course of training-induced skeletal muscle hypertrophy. Eur. J. Appl. Physiol. 2011, 111, 2785–2790. [Google Scholar] [CrossRef]
- Ebben, W.P.; Fauth, M.L.; Garceau, L.R.; Petushek, E.J. Kinetic Quantification of Plyometric Exercise Intensity. J. Strength Cond. Res. 2011, 25, 3288–3298. [Google Scholar] [CrossRef]
- Ebben, W.P.; Simenz, C.; Jensen, R.L. Evaluation of plyometric intensity using electromyography. J. Strength Cond. Res. 2008, 22, 861–868. [Google Scholar] [CrossRef] [PubMed]
- Voigt, M.; Dyhre-Poulsen, P.; Simonsen, E.B. Modulation of short latency stretch reflexes during human hopping. Acta. Physiol. Scand. 1998, 163, 181–194. [Google Scholar] [CrossRef] [PubMed]
- De Lacey, J.; Brughelli, M.; McGuigan, M.; Hansen, K.; Samozino, P.; Morin, J.-B. The Effects of Tapering on Power-Force-Velocity Profiling and Jump Performance in Professional Rugby League Players. J. Strength Cond. Res. 2014, 28, 3567–3570. [Google Scholar] [CrossRef]
- Kompf, J.; Arandjelović, O. The Sticking Point in the Bench Press, the Squat, and the Deadlift: Similarities and Differences, and Their Significance for Research and Practice. Sports Med. 2017, 47, 631–640. [Google Scholar] [CrossRef]
- Schoenfeld, B.J. Squatting kinematics and kinetics and their application to exercise performance. J. Strength Cond. Res. 2010, 24, 3497–3506. [Google Scholar] [CrossRef] [PubMed]
- Escamilla, R.F.; Francisco, A.C.; Kayes, A.V.; Speer, K.P.; Moorman, C.T., 3rd. An electromyographic analysis of sumo and conventional style deadlifts. Med. Sci. Sports Exerc. 2002, 34, 682–688. [Google Scholar]
- Haff, G.G.; Whitley, A.; Potteiger, J.A. A Brief Review: Explosive Exercises and Sports Performance. Strength Cond. J. 2001, 23, 13. [Google Scholar] [CrossRef]
- Gianakos, A.L.; Hartman, H.; Kerkhoffs, G.M.M.J.; Calder, J.; Kennedy, J.G. Sex differences in biomechanical properties of the Achilles tendon may predispose men to higher risk of injury: A systematic review. J. ISAKOS 2024, 9, 184–191. [Google Scholar] [CrossRef]




| Day 1. | Week 1 | Week 2 | Week 3 | Week 4 | Week 5 | Week 6 |
| Reps | Reps | Reps | Reps | Reps | Reps | |
| Warm-Up | ||||||
| Stationary Bike | 5 min | 5 min | 5 min | 5 min | 5 min | 5 min |
| BW Split Squat | 1 × 5 ea | 1 × 5 ea | 1 × 5 ea | 1 × 5 ea | 1 × 5 ea | 1 × 5 ea |
| Glute Bridges | 1 × 10 | 1 × 10 | 1 × 10 | 1 × 10 | 1 × 10 | 1 × 10 |
| BW CMJ | 1 × 3 | 1 × 3 | 1 × 3 | 1 × 3 | 1 × 3 | 1 × 3 |
| Testing Protocol | ||||||
| 10/5 Repeated Jump | 1 × 10 | 1 × 10 | 1 × 10 | 1 × 10 | 1 × 10 | 1 × 10 |
| Drop Jump @ 45 cm | 1 × 3 | 1 × 3 | 1 × 3 | 1 × 3 | 1 × 3 | 1 × 3 |
| Loaded Squat Jump | 4 × 2 | 4 × 2 | 4 × 2 | 4 × 2 | 4 × 2 | 4 × 2 |
| Main Session | ||||||
| Barbell Box Squat | 5 × 5 | 5 × 5 | 5 × 5 | 5 × 5 | 5 × 5 | 5 × 5 |
| Skipping | 3 × 20 | 3 × 30 | 3 × 30 | 3 × 40 | 3 × 40 | 3 × 40 |
| SL Calf Raise—Straight Knee | 2 × 10 | 2 × 10 | 2 × 15 | 2 × 15 | 2 × 20 | 2 × 20 |
| Day 2. | Week 1 | Week 2 | Week 3 | Week 4 | Week 5 | Week 6 |
| Reps | Reps | Reps | Reps | Reps | Reps | |
| Warm-Up | ||||||
| Stationary Bike | 5 min | 5 min | 5 min | 5 min | 5 min | 5 min |
| BW Split Squat | 1 × 5 ea | 1 × 5 ea | 1 × 5 ea | 1 × 5 ea | 1 × 5 ea | 1 × 5 ea |
| Glute Bridges | 1 × 10 | 1 × 10 | 1 × 10 | 1 × 10 | 1 × 10 | 1 × 10 |
| BW CMJ | 1 × 3 | 1 × 3 | 1 × 3 | 1 × 3 | 1 × 3 | 1 × 3 |
| Main Session | ||||||
| Box Squat/Deadlift | 4 × 6 | 4 × 6 | 4 × 6 | 4 × 6 | 4 × 6 | 4 × 6 |
| Drop Jump | 3 × 3 @ 30 cm | 3 × 3 @ 30 cm | 3 × 3 @ 30 cm | 3 × 3 @ 40 cm | 3 × 3 @ 40 cm | 3 × 3 @ 40 cm |
| Barbell Romanian Deadlift | 3 × 8 | 3 × 8 | 3 × 8 | 3 × 8 | 3 × 8 | 3 × 8 |
| Split Squat | 3 × 8 ea | 3 × 8 ea | 3 × 8 ea | 3 × 8 ea | 3 × 8 ea | 3 × 8 ea |
| SL Calf Raise—Bent Knee | 2 × 10 | 2 × 10 | 2 × 15 | 2 × 15 | 2 × 20 | 2 × 20 |
| Metric | Baseline | Intervention | Tau | p-Value | CI 95% | ||
|---|---|---|---|---|---|---|---|
| Median | IQR | Median | IQR | ||||
| Bodyweight (kg) | 76 | 71–91 | 77 | 70–88 | 0.60 | <0.001 | 0.252–0.950 |
| Reactive Quality Ratio | 1.02 | 0.89–1.06 | 1.08 | 1.03–1.10 | 0.61 | <0.001 | 0.268–0.959 |
| 10/5 RSI | 2.15 | 2.01–2.32 | 2.00 | 1.92–2.14 | −0.50 | 0.005 | −0.845–−0.154 |
| DJ RSI | 1.98 | 1.87–2.37 | 2.13 | 2.03–2.34 | 0.03 | 0.859 | −0.317–0.380 |
| 10/5 Repeated Jump | |||||||
| GCT (ms) | 191 | 174–205 | 206 | 185–224 | 0.76 | <0.001 | 0.415–1.000 |
| FT (ms) | 415 | 359–452 | 431 | 376–474 | 0.43 | 0.017 | 0.076–0.775 |
| Impulse (Ns) | 448 | 413–480 | 479 | 402–503 | 0.46 | 0.009 | 0.110–0.808 |
| Peak Force (N) | 4414 | 3791–4923 | 3914 | 3694–4490 | −0.53 | 0.003 | −0.881–−0.183 |
| Average Force (N) | 2394 | 2133–2577 | 2191 | 2037–2450 | −0.46 | 0.009 | −0.808–−0.110 |
| Landing RFD (N/s) | 51,315 | 38,627–69,166 | 44,754 | 35,225–53,221 | −0.58 | 0.001 | −0.928–−0.230 |
| Active Stiffness (N/m) | 29,360 | 26,321–217,710 | 25,622 | 21,710–34,047 | −0.67 | <0.001 | −1.000–−0.323 |
| Peak Power (W) | 5060 | 4622–5887 | 4621 | 4356–5360 | −0.42 | 0.019 | −0.767–−0.069 |
| Drop Jump | |||||||
| GCT (ms) | 213 | 206–219 | 218 | 207–222 | 0.41 | 0.021 | 0.060–0.758 |
| FT (ms) | 430 | 409–482 | 462 | 452–495 | 0.59 | <0.001 | 0.240–0.938 |
| Impulse (Ns) | 621 | 543–671 | 613 | 563–644 | 0.25 | 0.164 | −0.101–0.597 |
| Peak Force (N) | 4422 | 3354–5613 | 3825 | 3448–4934 | −0.13 | 0.45 | −0.483–0.214 |
| Average Force (N) | 2187 | 1835–2273 | 2138 | 1898–2261 | 0.06 | 0.724 | −0.286–0.411 |
| Landing RFD (N/s) | 4422 | 3354–5613 | 3825 | 3448–4934 | 0.07 | 0.699 | −0.280–0.418 |
| Active Stiffness (N/m) | 19,506 | 16,305–22,797 | 18,804 | 17,122–21,297 | −0.06 | 0.730 | −0.410–0.287 |
| Peak Power (W) | 13,410 | 11,036–14,094 | 13,284 | 11,628–13,554 | −0.25 | 0.167 | −0.595–0.102 |
| Passive Stiffness (N/m) | 12,561 | 10,990–21,770 | 13,713 | 9665–16,224 | −0.13 | 0.479 | −0.475–0.222 |
| Force–Velocity Profile | |||||||
| JH @ Bodyweight (cm) | 27.8 | 26.6–30.4 | 30.5 | 28.2–35.4 | 0.63 | <0.001 | 0.288–0.980 |
| JH @ + 40 kg (cm) | 14.6 | 12.5–16.2 | 16.6 | 14.3–18.5 | 0.68 | <0.001 | 0.331–1.000 |
| Fmax (N/kg) | 27 | 25.9–28.3 | 28.3 | 27–30 | 0.38 | 0.03 | 0.036–0.728 |
| Vmax (m/s) | 1.9 | 1.8–2.0 | 1.9 | 1.8–2.0 | 0.02 | 0.905 | −0.324–0.366 |
| Pmax (W/kg) | 12.8 | 12.2–13.2 | 13.7 | 12.6–14.9 | 0.75 | <0.001 | 0.405–1.000 |
Disclaimer/Publisher’s Note: The statements, opinions and data contained in all publications are solely those of the individual author(s) and contributor(s) and not of MDPI and/or the editor(s). MDPI and/or the editor(s) disclaim responsibility for any injury to people or property resulting from any ideas, methods, instructions or products referred to in the content. |
© 2025 by the authors. Licensee MDPI, Basel, Switzerland. This article is an open access article distributed under the terms and conditions of the Creative Commons Attribution (CC BY) license (https://creativecommons.org/licenses/by/4.0/).
Share and Cite
Southey, B.; Spits, D.; Austin, D.; Connick, M.; Beckman, E. Determining the Effects of a 6-Week Training Intervention on Reactive Strength: A Single-Case Experimental Design Approach. J. Funct. Morphol. Kinesiol. 2025, 10, 191. https://doi.org/10.3390/jfmk10020191
Southey B, Spits D, Austin D, Connick M, Beckman E. Determining the Effects of a 6-Week Training Intervention on Reactive Strength: A Single-Case Experimental Design Approach. Journal of Functional Morphology and Kinesiology. 2025; 10(2):191. https://doi.org/10.3390/jfmk10020191
Chicago/Turabian StyleSouthey, Benjamin, Dirk Spits, Damien Austin, Mark Connick, and Emma Beckman. 2025. "Determining the Effects of a 6-Week Training Intervention on Reactive Strength: A Single-Case Experimental Design Approach" Journal of Functional Morphology and Kinesiology 10, no. 2: 191. https://doi.org/10.3390/jfmk10020191
APA StyleSouthey, B., Spits, D., Austin, D., Connick, M., & Beckman, E. (2025). Determining the Effects of a 6-Week Training Intervention on Reactive Strength: A Single-Case Experimental Design Approach. Journal of Functional Morphology and Kinesiology, 10(2), 191. https://doi.org/10.3390/jfmk10020191

