RAS-Designed Diets Result in Lower Accumulation of Nitrogen, Phosphorus, and Zinc in Recirculating Aquaculture System Compared with Traditional Flow-Through Designed Diets
Abstract
1. Introduction
2. Materials and Methods
2.1. Experimental System
2.2. Pre-Trial
2.3. Culture Conditions
2.4. Commercial Feed Formulations and Feeding
2.5. Water Quality Sampling and Analysis
2.6. Minerals Sampling and Analysis
2.7. Fecal Stability and Drum Filter Activation
2.8. Statistical Analysis
3. Results
3.1. Pre-Trial
3.2. Fish Performance
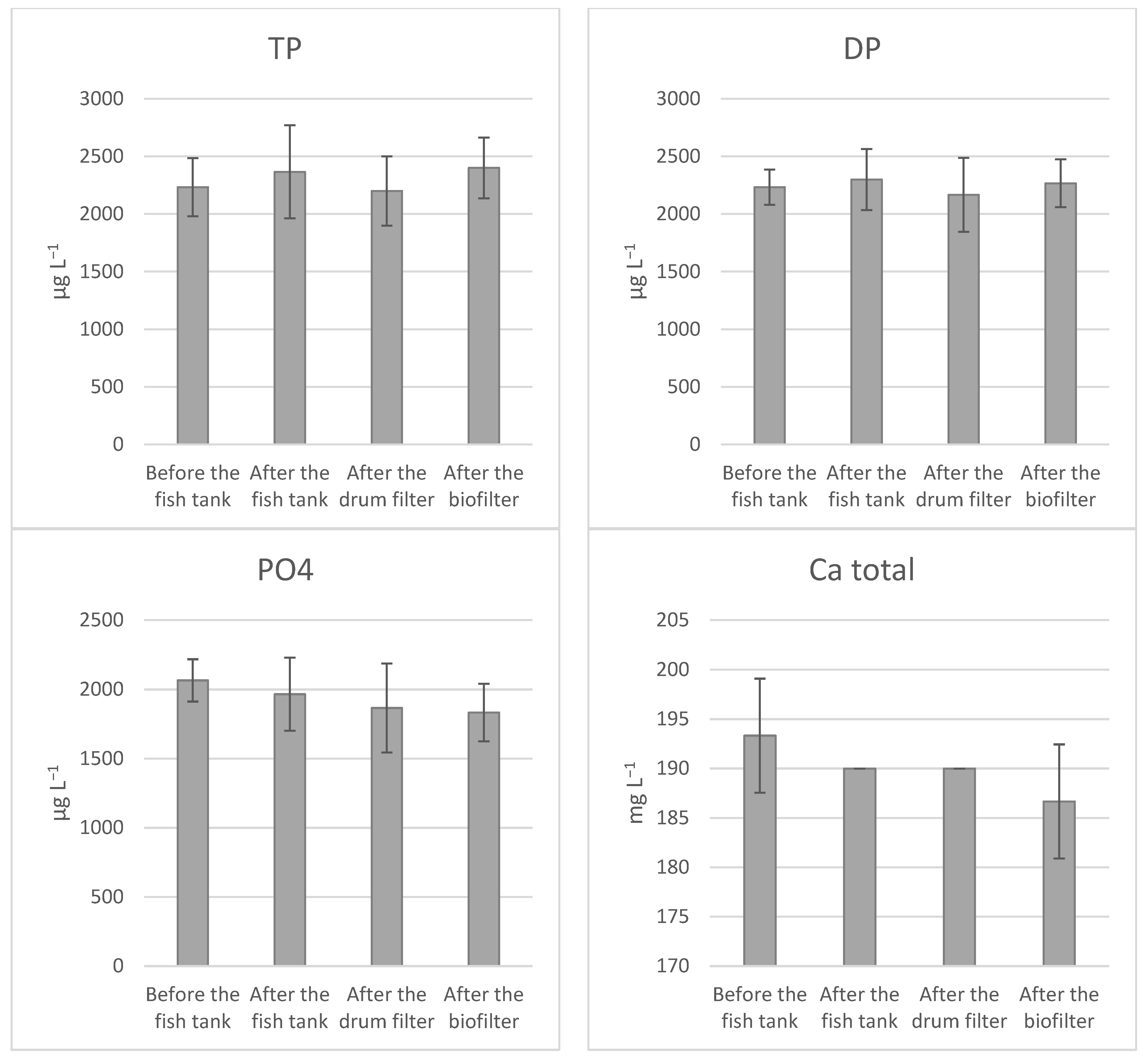
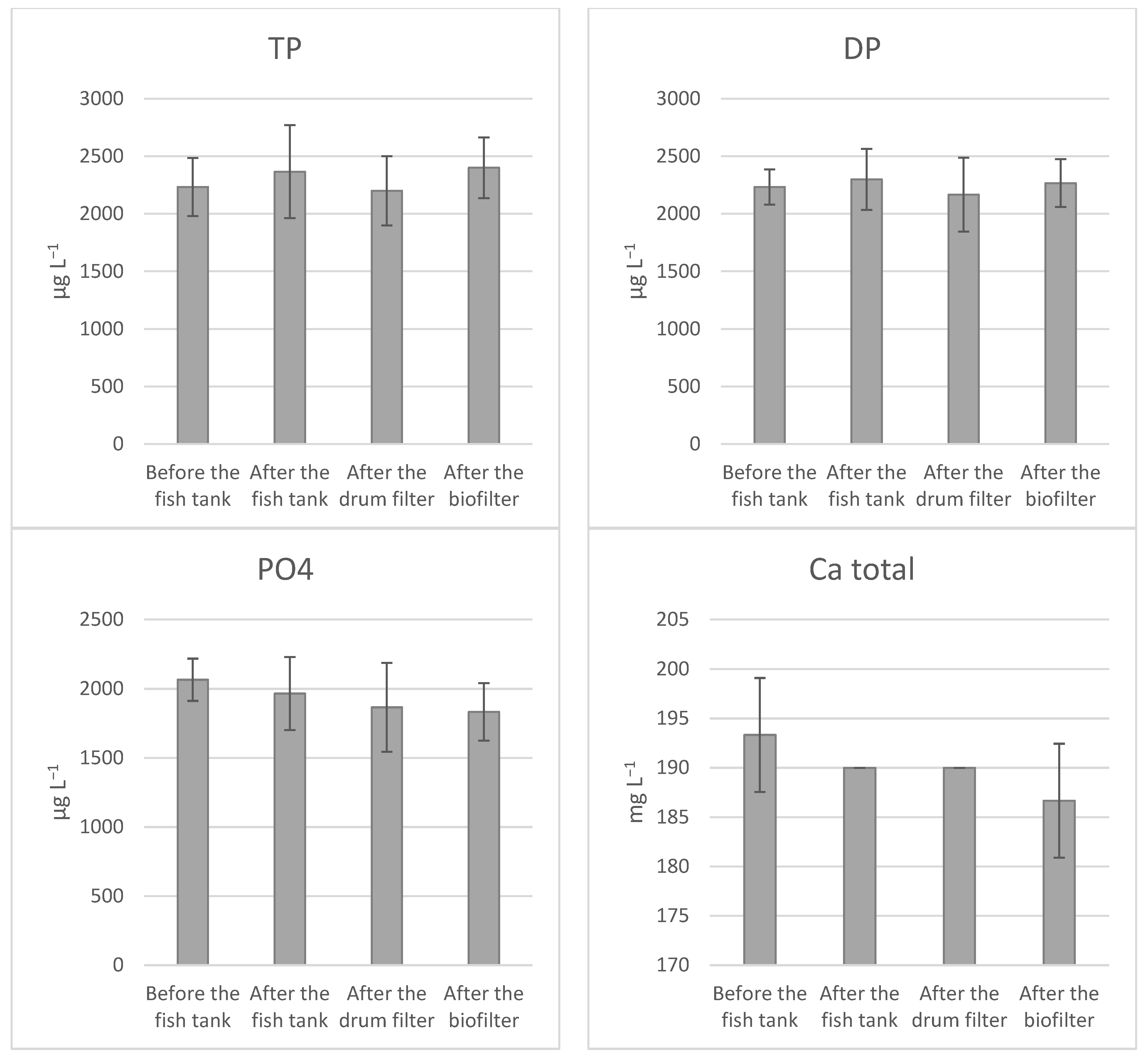
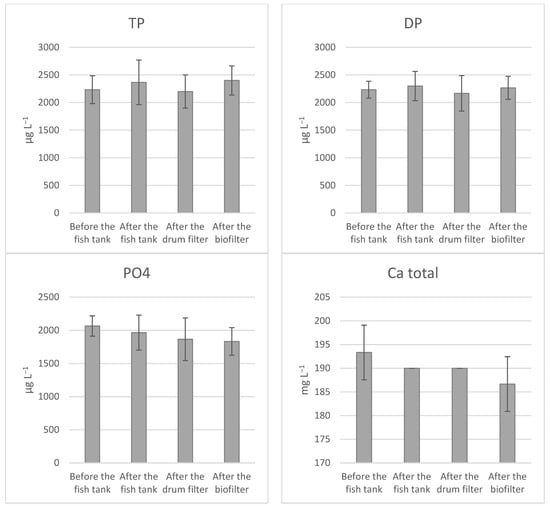
3.3. Water Quality and Fecal Stability
3.4. Total Mineral and Metal Accumulation
4. Discussion
5. Conclusions
Author Contributions
Funding
Institutional Review Board Statement
Informed Consent Statement
Data Availability Statement
Conflicts of Interest
References
- Olaussen, J.O. Environmental problems and regulation in the aquaculture industry. Insights from Norway. Mar. Policy 2018, 98, 158–163. [Google Scholar] [CrossRef]
- Ackefors, H.; Enell, M. The release of nutrients and organic matter from aquaculture systems in Nordic countries. J. Appl. Ichthyol. 1994, 10, 225–241. [Google Scholar] [CrossRef]
- Ackefors, H.; Enell, M. Discharge of nutrients from Swedish fish farming to adjacent sea areas. Ambio 1990, 19, 28–35. [Google Scholar]
- Enell, M.; Löf, J. Environmental impact of aquaculture-sedimentation and nutrient loadings from fish cage culture farming. Vatten 1983, 39, 364–375. [Google Scholar]
- Røsvik, I.O. Biology for Aquaculture; Landbruksforlaget: Oslo, Norway, 1993; p. 183. [Google Scholar]
- Einen, O.; Mørkøre, T. Feeding Theory for Aquaculture; Landbruksforlaget: Oslo, Norway, 1996. [Google Scholar]
- Aas, T.S.; Åsgård, T.; Ytrestøyl, T. Utilization of feed resources in the production of Atlantic salmon (Salmo salar) in Norway: An update for 2020. Aquac. Rep. 2022, 26, 101316. [Google Scholar] [CrossRef]
- Aas, T.S.; Ytrestøyl, T.; Åsgård, T. Utilization of feed resources in the production of Atlantic salmon (Salmo salar) in Norway: An update for 2016. Aquac. Rep. 2019, 15, 100216. [Google Scholar] [CrossRef]
- Tande, T. Land i sikte. In Norsk Fiskerinæring, nr. 4; Norsk Fiskerinæring AS: Råholt, Norway, 2022; pp. 138–219. Available online: https://norskfisk.no/wp-content/uploads/2022/06/Land-i-sikte_SeafoodTalks2022.pdf (accessed on 4 March 2024).
- Losordo, T.M.; Hobbs, A.O.; DeLong, D.P. The design and operational characteristics of the CP&L/EPRI fish barn: A demonstration of recirculating aquaculture technology. Aquac. Eng. 2000, 22, 3–16. [Google Scholar] [CrossRef]
- Lekang, O.-I. Aquaculture Engineering, 3rd ed.; John Wiley & Sons: Hoboken, NJ, USA, 2020. [Google Scholar]
- Shnel, N.; Barak, Y.; Ezer, T.; Dafni, Z.; van Rijn, J. Design and performance of a zero-discharge tilapia recirculating system. Aquac. Eng. 2002, 26, 191–203. [Google Scholar] [CrossRef]
- Rakocy, J.E.; Masser, M.P.; Losordo, T.M. Recirculating Aquaculture Tank Production Systems: Aquaponics-Integrating Fish and Plant Culture; Oklahoma Cooperative Extension Service: Stillwater, OK, USA, 2016. [Google Scholar]
- Roque D’Orbcastel, E.; Blancheton, J.-P.; Belaud, A. Water quality and rainbow trout performance in a Danish Model Farm recirculating system: Comparison with a flow through system. Aquac. Eng. 2009, 40, 135–143. [Google Scholar] [CrossRef]
- True, B.; Johnson, W.; Chen, S. Reducing phosphorus discharge from flow-through aquaculture I: Facility and effluent characterization. Aquac. Eng. 2004, 32, 129–144. [Google Scholar] [CrossRef]
- Summerfelt, S.T.; Vinci, B.J. Better management practices for recirculating aquaculture systems. In Environmental Best Management Practices for Aquaculture, 1st ed.; John Wiley & Sons: Hoboken, NJ, USA, 2008; pp. 389–426. [Google Scholar] [CrossRef]
- Ahmed, N.; Turchini, G.M. Recirculating aquaculture systems (RAS): Environmental solution and climate change adaptation. J. Clean. Prod. 2021, 297, 126604. [Google Scholar] [CrossRef]
- Klinger, D.; Naylor, R. Searching for solutions in aquaculture: Charting a sustainable course. Annu. Rev. Environ. Resour. 2012, 37, 247–276. [Google Scholar] [CrossRef]
- Nutra RC for Atlantic Salmon 27. Available online: https://www.skretting.com/en/feed-for-aquaculture/nutra-rc-for-atlantic-salmon-27/ (accessed on 1 May 2024).
- Orbit. Available online: https://www.biomar.com/feed-and-services/feed-solutions/orbit (accessed on 1 May 2024).
- Palm, H.; Knaus, U.; Wasenitz, B.; Bischoff, A.; Strauch, S. Proportional up scaling of African catfish (Clarias gariepinus Burchell, 1822) commercial recirculating aquaculture systems disproportionally affects nutrient dynamics. Aquaculture 2018, 491, 155–168. [Google Scholar] [CrossRef]
- Brinker, A.; Koppe, W.; Rösch, R. Optimised effluent treatment by stabilised trout faeces. Aquaculture 2005, 249, 125–144. [Google Scholar] [CrossRef]
- Brinker, A. Guar gum in rainbow trout (Oncorhynchus mykiss) feed: The influence of quality and dose on stabilisation of faecal solids. Aquaculture 2007, 267, 315–327. [Google Scholar] [CrossRef]
- Davidson, J.; Good, C.; Barrows, F.T.; Welsh, C.; Kenney, P.B.; Summerfelt, S.T. Comparing the effects of feeding a grain-or a fish meal-based diet on water quality, waste production, and rainbow trout Oncorhynchus mykiss performance within low exchange water recirculating aquaculture systems. Aquac. Eng. 2013, 52, 45–57. [Google Scholar] [CrossRef]
- Hardy, R.W.; Kaushik, S.J. Fish Nutrition; Academic Press: New York, NY, USA, 2021. [Google Scholar]
- Cho, C.; Bureau, D. A review of diet formulation strategies and feeding systems to reduce excretory and feed wastes in aquaculture. Aquac. Res. 2001, 32, 349–360. [Google Scholar] [CrossRef]
- Kaushik, S.J.; de Oliva Teles, A. Effect of digestible energy on nitrogen and energy balance in rainbow trout. Aquaculture 1985, 50, 89–101. [Google Scholar] [CrossRef]
- Kaushik, S.; Cowey, C. Dietary factors affecting nitrogen excretion by fish. In 1. International Symposium; Fish Nutrition Research Laboratory: Guelph, ON, Canada, 1990; Available online: https://hal.inrae.fr/hal-02774770 (accessed on 1 May 2024).
- Skoglund, E.; Carlsson, N.-G.; Sandberg, A.-S. Phytate. In Analysis of Bioactive Components in Small Grain Cereals; Shewry, P.R., Ward, J.L., Eds.; AACC International Incorporated: St. Paul, MN, USA, 2009; pp. 129–139. [Google Scholar]
- Hua, K.; Bureau, D.P. Modelling digestible phosphorus content of salmonid fish feeds. Aquaculture 2006, 254, 455–465. [Google Scholar] [CrossRef]
- Lazzari, R.; Baldisserotto, B. Nitrogen and phosphorus waste in fish farming. Bol. Inst. Pesca 2008, 34, 591–600. [Google Scholar]
- Morales, G.A.; Azcuy, R.L.; Casaretto, M.E.; Márquez, L.; Hernández, A.J.; Gómez, F.; Koppe, W.; Mereu, A. Effect of different inorganic phosphorus sources on growth performance, digestibility, retention efficiency and discharge of nutrients in rainbow trout (Oncorhynchus mykiss). Aquaculture 2018, 495, 568–574. [Google Scholar] [CrossRef]
- Davidson, J.; Good, C.; Welsh, C.; Brazil, B.; Summerfelt, S. Heavy metal and waste metabolite accumulation and their potential effect on rainbow trout performance in a replicated water reuse system operated at low or high system flushing rates. Aquac. Eng. 2009, 41, 136–145. [Google Scholar] [CrossRef]
- Davidson, J.; Good, C.; Welsh, C.; Summerfelt, S. The effects of ozone and water exchange rates on water quality and rainbow trout Oncorhynchus mykiss performance in replicated water recirculating systems. Aquac. Eng. 2011, 44, 80–96. [Google Scholar] [CrossRef]
- Martins, C.I.; Eding, E.H.; Verreth, J.A. The effect of recirculating aquaculture systems on the concentrations of heavy metals in culture water and tissues of Nile tilapia Oreochromis niloticus. Food Chem. 2011, 126, 1001–1005. [Google Scholar] [CrossRef]
- van Bussel, C.G.; Schroeder, J.P.; Mahlmann, L.; Schulz, C. Aquatic accumulation of dietary metals (Fe, Zn, Cu, Co, Mn) in recirculating aquaculture systems (RAS) changes body composition but not performance and health of juvenile turbot (Psetta maxima). Aquac. Eng. 2014, 61, 35–42. [Google Scholar] [CrossRef]
- Chen, S.; Ling, J.; Blancheton, J.-P. Nitrification kinetics of biofilm as affected by water quality factors. Aquac. Eng. 2006, 34, 179–197. [Google Scholar] [CrossRef]
- Michaud, L.; Blancheton, J.-P.; Bruni, V.; Piedrahita, R. Effect of particulate organic carbon on heterotrophic bacterial populations and nitrification efficiency in biological filters. Aquac. Eng. 2006, 34, 224–233. [Google Scholar] [CrossRef]
- Wang, X.; Andresen, K.; Handå, A.; Jensen, B.; Reitan, K.I.; Olsen, Y. Chemical composition and release rate of waste discharge from an Atlantic salmon farm with an evaluation of IMTA feasibility. Aquac. Environ. Interact. 2013, 4, 147–162. [Google Scholar] [CrossRef]
- NS-EN 872:2005; Water quality—Determination of suspended solids—Method by filtration through glass fibre filters. ISO Standards: Geneva, Switzerland, 2005.
- NS-EN ISO 15681-2:2018; Water quality—Determination of orthophosphate and total phosphorus contents by flow analysis (FIA and CFA), Part 2: Method by continuous flow analysis (CFA). ISO Standards: Geneva, Switzerland, 2018.
- SS-EN ISO 15587-2:2002; Water quality—Digestion for the determination of selected elements in water, Part 2: Nitric acid digestion. ISO Standards: Geneva, Switzerland, 2002.
- SS-EN ISO 17294-2:2016; Water quality—Application of inductively coupled plasma mass spectrometry (ICP-MS), Part 2: Determination of selected elements including uranium isotopes. ISO Standards: Geneva, Switzerland, 2016.
- Zar, J.H. Biostatistical Analysis; Pearson Education India: Delhi, India, 1999. [Google Scholar]
- Minitab, LLC. 2021. Available online: https://www.minitab.com (accessed on 1 May 2024).
- Langer, J.; Efthimiou, S.; Rosenthal, H.; Bronzi, P. Drum filter performance in a recirculating eel culture unit. J. Appl. Ichthyol. 1996, 12, 61–65. [Google Scholar] [CrossRef]
- Davidson, J.; Summerfelt, S.T. Solids removal from a coldwater recirculating system—Comparison of a swirl separator and a radial-flow settler. Aquac. Eng. 2005, 33, 47–61. [Google Scholar] [CrossRef]
- Chen, S.; Timmons, M.B.; Aneshansley, D.J.; Bisogni Jr, J.J. Suspended solids characteristics from recirculating aquacultural systems and design implications. Aquaculture 1993, 112, 143–155. [Google Scholar] [CrossRef]
- Patterson, R.N.; Watts, K.C.; Timmons, M.B. The power law in particle size analysis for aquacultural facilities. Aquac. Eng. 1999, 19, 259–273. [Google Scholar] [CrossRef]
- Pfeiffer, T.J.; Osborn, A.; Davis, M. Particle sieve analysis for determining solids removal efficiency of water treatment components in a recirculating aquaculture system. Aquac. Eng. 2008, 39, 24–29. [Google Scholar] [CrossRef]
- Karalazos, V.; Bendiksen, E.; Dick, J.R.; Bell, J.G. Effects of dietary protein, and fat level and rapeseed oil on growth and tissue fatty acid composition and metabolism in Atlantic salmon (Salmo salar L.) reared at low water temperatures. Aquac. Nutr. 2007, 13, 256–265. [Google Scholar] [CrossRef]
- Hillestad, M.; Johnsen, F. High-energy/low-protein diets for Atlantic salmon: Effects on growth, nutrient retention and slaughter quality. Aquaculture 1994, 124, 109–116. [Google Scholar] [CrossRef]
- Randall, D.J.; Wright, P.A. Ammonia distribution and excretion in fish. Fish Physiol. Biochem. 1987, 3, 107–120. [Google Scholar] [CrossRef] [PubMed]
- Rychly, J. Nitrogen balance in trout: II. Nitrogen excretion and retention after feeding diets with varying protein and carbohydrate levels. Aquaculture 1980, 20, 343–350. [Google Scholar] [CrossRef]
- Beamish, F.; Thomas, E. Effects of dietary protein and lipid on nitrogen losses in rainbow trout, Salmo gairdneri. Aquaculture 1984, 41, 359–371. [Google Scholar] [CrossRef]
- Gujer, W.; Boller, M. Design of a nitrifying tertiary trickling filter based on theoretical concepts. Water Res. 1986, 20, 1353–1362. [Google Scholar] [CrossRef]
- Ebeling, J.M.; Sibrell, P.L.; Ogden, S.R.; Summerfelt, S.T. Evaluation of chemical coagulation–flocculation aids for the removal of suspended solids and phosphorus from intensive recirculating aquaculture effluent discharge. Aquac. Eng. 2003, 29, 23–42. [Google Scholar] [CrossRef]
- Martins, C.I.; Ochola, D.; Ende, S.S.; Eding, E.H.; Verreth, J.A. Is growth retardation present in Nile tilapia Oreochromis niloticus cultured in low water exchange recirculating aquaculture systems? Aquaculture 2009, 298, 43–50. [Google Scholar] [CrossRef]
- Martins, C.I.; Pistrin, M.G.; Ende, S.S.; Eding, E.H.; Verreth, J.A. The accumulation of substances in Recirculating Aquaculture Systems (RAS) affects embryonic and larval development in common carp Cyprinus carpio. Aquaculture 2009, 291, 65–73. [Google Scholar] [CrossRef]
- Deak, N.A.; Johnson, L.A. Fate of phytic acid in producing soy protein ingredients. J. Am. Oil Chem. Soc. 2007, 84, 369–376. [Google Scholar] [CrossRef]
- Saeed, M.; Cheryan, M. Sunflower protein concentrates and isolates’ low in polyphenols and phytate. J. Food Sci. 1988, 53, 1127–1131. [Google Scholar] [CrossRef]
- Lall, S. Digestibility, Metabolism and Excretion of Dietary Phosphorus in Fish. In Proceedings of the First International Symposium on Nutritional Strategies in Management of Aquaculture Waste; University of Guelph: Guelph, ON, Canada, 1991. [Google Scholar]
- Riche, M.; Brown, P.B. Availability of phosphorus from feedstuffs fed to rainbow trout, Oncorhynchus mykiss. Aquaculture 1996, 142, 269–282. [Google Scholar] [CrossRef]
- Albrektsen, S.; Hope, B.; Aksnes, A. Phosphorous (P) deficiency due to low P availability in fishmeal produced from blue whiting (Micromesistius poutassou) in feed for under-yearling Atlantic salmon (Salmo salar) smolt. Aquaculture 2009, 296, 318–328. [Google Scholar] [CrossRef]
- Fjelldal, P.G.; Hansen, T.; Albrektsen, S. Inadequate phosphorus nutrition in juvenile Atlantic salmon has a negative effect on long-term bone health. Aquaculture 2012, 334, 117–123. [Google Scholar] [CrossRef]
- Strauch, S.M.; Wenzel, L.C.; Bischoff, A.; Dellwig, O.; Klein, J.; Schüch, A.; Wasenitz, B.; Palm, H.W. Commercial African catfish (Clarias gariepinus) recirculating aquaculture systems: Assessment of element and energy pathways with special focus on the phosphorus cycle. Sustainability 2018, 10, 1805. [Google Scholar] [CrossRef]
- Summerfelt, S. Solids Capture. In The Yellow Book of Recirculating Aquaculture, 5th ed.; Timmons, M.B., Vinci, B.J., Eds.; Ithaca Publishing Company LLC: Ithaca, NY, USA, 2022; pp. 147–200. [Google Scholar]
- Schleyken, J.; Gumpert, F.; Tränckner, S.; Palm, H.; Tränckner, J. Enhanced chemical recovery of phosphorus from residues of recirculating aquaculture systems (RAS). Int. J. Environ. Sci. Technol. 2023, 21, 3775–3778. [Google Scholar] [CrossRef]
- Uglem, I.; Järnegren, J.; Bloecher, N. Effekter av Organisk Utslipp fra Havbruk i Norge—En Kunnskapsoppsummering; Norsk Institutt for Naturforskning (NINA): Trondheim, Norway, 2020; Available online: https://hdl.handle.net/11250/2684245 (accessed on 7 February 2024).
- Wetzel, R.G. Limnology: Lake and River Ecosystems; Gulf Professional Publishing: Houston, TX, USA, 2001. [Google Scholar]
- Boyd, C.E. Practical aspects of chemistry in pond aquaculture. Prog. Fish-Cult. 1997, 59, 85–93. [Google Scholar] [CrossRef]
- Kroiss, H.; Rechberger, H.; Egle, L. Phosphorus in water quality and waste management. In Integrated Waste Management-Volume II; IntechOpen: London, UK, 2011; pp. 181–214. [Google Scholar]
- Meiklejohn, J. Minimum phosphate and magnesium requirements of nitrifying bacteria. Nature 1952, 170, 1131. [Google Scholar] [CrossRef] [PubMed]
- Bouvier, T.C.; del Giorgio, P.A. Compositional changes in free-living bacterial communities along a salinity gradient in two temperate estuaries. Limnol. Oceanogr. 2002, 47, 453–470. [Google Scholar] [CrossRef]
- Herlemann, D.P.; Labrenz, M.; Jürgens, K.; Bertilsson, S.; Waniek, J.J.; Andersson, A.F. Transitions in bacterial communities along the 2000 km salinity gradient of the Baltic Sea. ISME J. 2011, 5, 1571–1579. [Google Scholar] [CrossRef] [PubMed]
- Campbell, B.J.; Kirchman, D.L. Bacterial diversity, community structure and potential growth rates along an estuarine salinity gradient. ISME J. 2013, 7, 210–220. [Google Scholar] [CrossRef] [PubMed]
- Bakke, I.; Åm, A.L.; Kolarevic, J.; Ytrestøyl, T.; Vadstein, O.; Attramadal, K.J.K.; Terjesen, B.F. Microbial community dynamics in semi-commercial RAS for production of Atlantic salmon post-smolts at different salinities. Aquac. Eng. 2017, 78, 42–49. [Google Scholar] [CrossRef]






| Parameter | ERAS Diet | FTS Diet |
|---|---|---|
| Ingredients (%) | ||
| Fish meal (LTFM) a | 31.7 | 26.0 |
| Plant ingredients b | 41.4 | 49.5 |
| Plant oils b | 9.8 | 9.1 |
| Fish oils a | 13.2 | 11.0 |
| Monocalcium phosphate c | 2.1 | - |
| Monoammonium phosphate c | - | 1.9 |
| Micro ingredients * | 4.1 | 2.0 |
| Water balance adjustment | −2.3 | 0.6 |
| Proximate composition (% as is) | ||
| Protein | 42 | 48 |
| Fat | 23 | 21 |
| Moisture | 6 | 6.5 |
| Ash | 10 | 7 |
| Gross energy (MJ kg−1) | 22.5 | 22.9 |
| Nitrogen free extract | 19 | 18 |
| Total organic carbon (TOC) | 46 | 47 |
| Carbohydrate d | 25 | 24 |
| Dry matter | 94 | 93.5 |
| Macrominerals (g kg−1 WW as is) | ||
| Total phosphorus | 14.3 | 13.0 |
| Available phosphorus | 9 | 9 |
| Calcium | 15.6 | 11.2 |
| Magnesium | 0.8 | 1.3 |
| Microminerals (mg kg−1 WW as is) | ||
| Zinc | 161 | 144 |
| Iron | 151 | 152 |
| ERAS Diet | FTS Diet | |||||
|---|---|---|---|---|---|---|
| Initial weight (g) | 196 | ± | 4 | 202 | ± | 2 |
| Initial length (cm) | 25.5 | ± | 0.3 | 25.9 | ± | 0.2 |
| Initial K | 1.2 | ± | <0.1 | 1.2 | ± | <0.1 |
| Final weight (g) | 321 | ± | 7 | 328 | ± | 2 |
| Final length (cm) | 29.8 | ± | 0.3 | 30.0 | ± | 0.1 |
| Final K | 1.2 | ± | <0.1 | 1.2 | ± | <0.1 |
| SGR | 1.7 | ± | <0.1 | 1.7 | ± | <0.1 |
| FCR | 0.87 | ± | <0.1 | 0.88 | ± | <0.1 |
| Survival (%) | 100 | 100 | ||||
| ERAS Diet | FTS Diet | |||||
|---|---|---|---|---|---|---|
| Temperature (°C) | 12.9 | ± | 0.40 | 13.0 | ± | 0.50 |
| pH | 7.70 | ± | <0.1 ** | 7.5 | ± | <0.1 ** |
| Salinity (ppm) | 15.2 | ± | 0.10 | 15.2 | ± | 0.70 |
| Oxygen (%) | 88.5 | ± | 4.40 | 88.9 | ± | 4.70 |
| CO2 (mg L−1) | 6.10 | ± | 0.30 | 6.4 | ± | 0.10 |
| Alkalinity (mg L−1) | 156.2 | ± | 38.4 | 113.9 | ± | 25.1 * |
| TAN (mg L−1) | 0.2 | ± | <0.1 * | 0.3 | ± | <0.1 * |
| NO2− (mg L−1) | 0.07 | ± | <0.1 ** | 0.13 | ± | <0.1 ** |
| NO3− (mg L−1) | 12.1 | ± | 1.60 | 11.5 | ± | 1.90 |
| TSS (mg L−1) | 9.9 | ± | 0.90 | 11.1 | ± | 2.50 |
| Turbidity (NTU) | 0.6 | ± | 0.10 | 0.7 | ± | 0.10 |
| Total gas (mg L−1) | 98.7 | ± | 0.70 | 99.1 | ± | 0.60 |
| Water consumption (L day−1) | 472 | ± | 104 | 540 | ± | 120 |
| Feed pr. liter of new water (g L−1) | 2.3 | ± | 2.10 | 2.4 | ± | 5.30 |
| Recirculation rate (% day−1) | 69 | ± | 19 | 65 | ± | 16 |
| Drum filter daily activation count | 22.1 | ± | 3.0 ** | 25.5 | ± | 3.5 ** |
| p | |||||
|---|---|---|---|---|---|
| ERAS Diet | FTS Diet | Diet | Time | Interaction | |
| TP (μm L−1) | |||||
| Initial | 1800 ± 350 | 1500 ± 300 | |||
| Final | 2200 ± 200 | 5700 ± 800 | <0.001 | <0.001 | <0.001 |
| DP (μm L−1) | |||||
| Initial | 1900 ± 300 | 1500 ± 350 | |||
| Final | 2200 ± 50 | 6000 ± 800 | <0.001 | <0.001 | <0.001 |
| PO4 (μm L−1) | |||||
| Initial | 760 ± 150 | 640 ± 220 | |||
| Final | 690 ± 280 | 2600 ± 950 | 0.013 | 0.017 | 0.009 |
| Ca (mg L−1) | |||||
| Initial | 180 ± 5 | 190 ± 5 | |||
| Final | 220 ± 5 | 220 ± 15 | 0.760 | <0.001 | 0.153 |
| Mg (mg L−1) | |||||
| Initial | 460 ± 20 | 450 ± 15 | |||
| Final | 590 ± 10 | 590 ± 20 | 0.862 | <0.001 | 0.862 |
| Dissolved Fe (μm L−1) | |||||
| Initial | 2.5 ± 2.4 | 0.7 ± <0.1 | |||
| Final | 3 ± 0.4 | 1.6 ± 0.2 | 0.068 | 0.353 | 0.880 |
| Total Fe (μm L−1) | |||||
| Initial | ND | ND | |||
| Final | 5 ± 1 | 3 ± 1 | ND | ND | ND |
| Dissolved Zn (μm L−1) | |||||
| Initial | 25 ± 20 | 15 ± 5 | |||
| Final | 20 ± 1 | 21 ± 2 | 0.869 | 0.419 | 0.337 |
| Total Zn (μm L−1) | |||||
| Initial | 15 ± 1 | 15 ± 2 | |||
| Final | 20 ± 1 | 25 ± 3 | 0.419 | 0.869 | 0.337 |
Disclaimer/Publisher’s Note: The statements, opinions and data contained in all publications are solely those of the individual author(s) and contributor(s) and not of MDPI and/or the editor(s). MDPI and/or the editor(s) disclaim responsibility for any injury to people or property resulting from any ideas, methods, instructions or products referred to in the content. |
© 2024 by the authors. Licensee MDPI, Basel, Switzerland. This article is an open access article distributed under the terms and conditions of the Creative Commons Attribution (CC BY) license (https://creativecommons.org/licenses/by/4.0/).
Share and Cite
Flo, V.Ø.; Cavrois-Rogacki, T.; Hansen, J.Ø.; Vigen, J.; Gitlesen, T.; Lekang, O.-I. RAS-Designed Diets Result in Lower Accumulation of Nitrogen, Phosphorus, and Zinc in Recirculating Aquaculture System Compared with Traditional Flow-Through Designed Diets. Fishes 2024, 9, 300. https://doi.org/10.3390/fishes9080300
Flo VØ, Cavrois-Rogacki T, Hansen JØ, Vigen J, Gitlesen T, Lekang O-I. RAS-Designed Diets Result in Lower Accumulation of Nitrogen, Phosphorus, and Zinc in Recirculating Aquaculture System Compared with Traditional Flow-Through Designed Diets. Fishes. 2024; 9(8):300. https://doi.org/10.3390/fishes9080300
Chicago/Turabian StyleFlo, Vegard Øvstetun, Thomas Cavrois-Rogacki, Jon Øvrum Hansen, Jannicke Vigen, Thomas Gitlesen, and Odd-Ivar Lekang. 2024. "RAS-Designed Diets Result in Lower Accumulation of Nitrogen, Phosphorus, and Zinc in Recirculating Aquaculture System Compared with Traditional Flow-Through Designed Diets" Fishes 9, no. 8: 300. https://doi.org/10.3390/fishes9080300
APA StyleFlo, V. Ø., Cavrois-Rogacki, T., Hansen, J. Ø., Vigen, J., Gitlesen, T., & Lekang, O.-I. (2024). RAS-Designed Diets Result in Lower Accumulation of Nitrogen, Phosphorus, and Zinc in Recirculating Aquaculture System Compared with Traditional Flow-Through Designed Diets. Fishes, 9(8), 300. https://doi.org/10.3390/fishes9080300

