The Effects of Different Feed Ration Levels on Growth, Welfare Rating, and Early Maturation in Juvenile Atlantic Salmon (Salmo salar)
Abstract
1. Introduction
2. Materials and Methods
2.1. Experimental Fish
2.2. Experimental Design and Sampling
2.3. Statistical Methods
2.4. Ethical Statement
3. Results
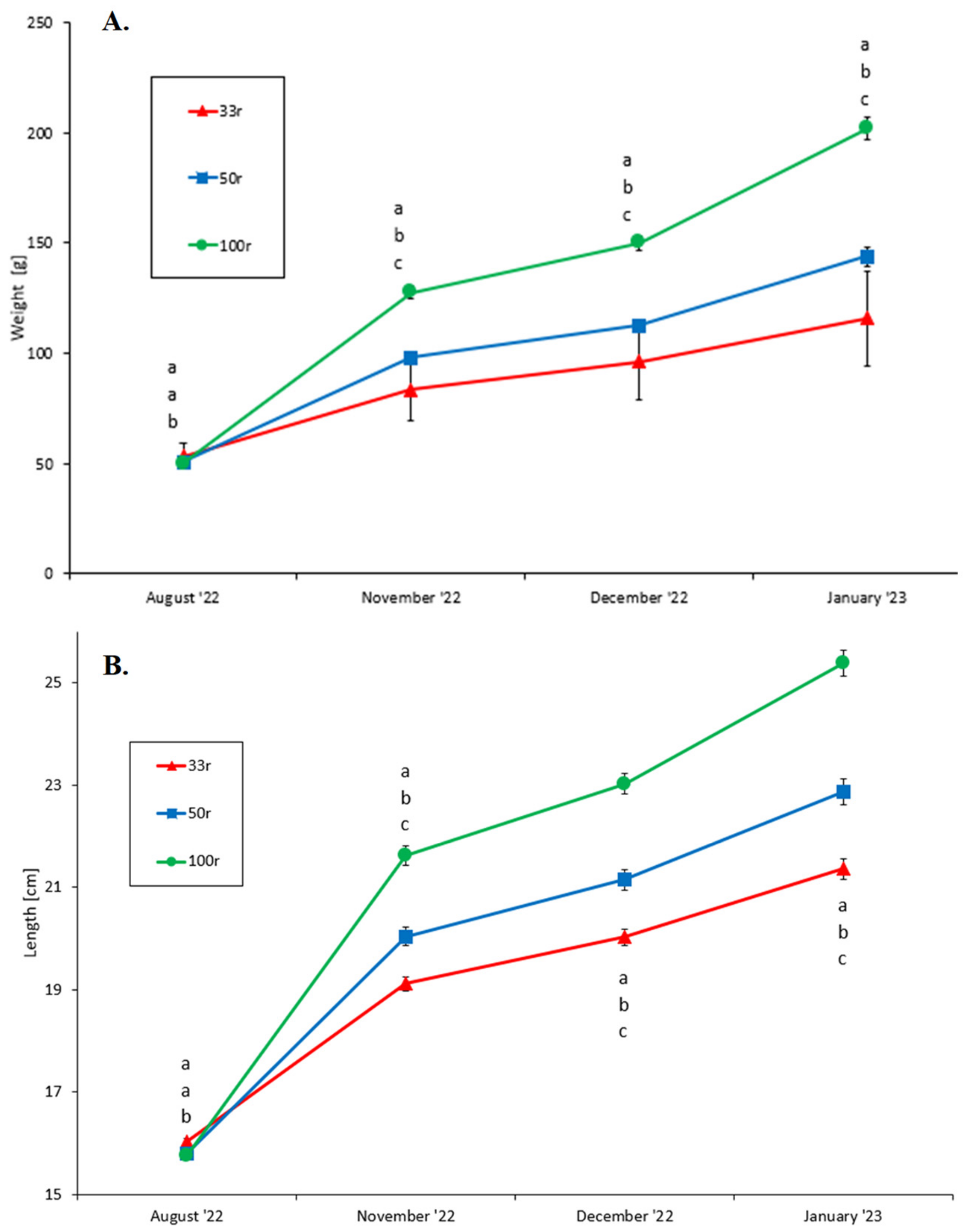
3.1. Growth and Mortality
3.2. Welfare Rating
3.3. Sexual Maturation
4. Discussion
5. Conclusions
Author Contributions
Funding
Institutional Review Board Statement
Data Availability Statement
Acknowledgments
Conflicts of Interest
References
- Hvas, M.; Stien, L.H.; Oppedal, F. The metabolic rate response to feed withdrawal in Atlantic salmon post-smolts. Aquaculture 2020, 529, 735690. [Google Scholar] [CrossRef]
- Hvas, M.; Nilsson, J.; Vågseth, T.; Nola, V.; Fjelldal, P.G.; Hansen, T.J.; Oppedal, F.; Stien, L.H.; Folkedal, O. Full compensatory growth before harvest and no impact on fish welfare in Atlantic salmon after an 8-week fasting period. Aquaculture 2022, 546, 737415. [Google Scholar] [CrossRef]
- Cooke, J.T.; Sutterlin, A.M.; McNiven, M.A. Effect of food deprivation on oxygen consumption and body composition of growth-enhanced transgenic Atlantic salmon (Salmo salar). Aquaculture 2000, 188, 47–63. [Google Scholar] [CrossRef]
- Nicieza, A.G.; Metcalfe, N.B. Growth compensation in juvenile Atlantic salmon: Responses to depressed temperature and food availability. Ecology 1997, 78, 2385–2400. [Google Scholar] [CrossRef]
- Imsland, A.K.; Våge, K.A.; Handeland, S.O.; Stefansson, S.O. Growth and osmoregulation in Atlantic salmon (Salmo salar) smolts in response to different feeding frequencies and salinities. Aquac. Res. 2011, 42, 469–479. [Google Scholar] [CrossRef]
- Åsgård, T.; Shearer, K.D. Dietary phosphorus requirement of juvenile Atlantic salmon, Salmo salar. Aquac. Nutr. 1997, 3, 17–23. [Google Scholar] [CrossRef]
- Taranger, G.L.; Carrillo, M.; Schulz, R.W.; Fontaine, P.; Zanuy, S.; Felip, A.; Weltzien, F.A.; Dufour, S.; Karlsen, O.; Norberg, B.; et al. Control of puberty in farmed fish. Gen. Comp. Endocrinol. 2010, 165, 483–515. [Google Scholar] [CrossRef]
- Hvas, M.; Stien, L.H.; Oppedal, F. The effect of fasting period on swimming performance, blood parameters, and stress recovery in Atlantic salmon post-smolts. Comp. Biochem. Physiol. A Molecul. Int. Physiol. 2021, 255, 110913. [Google Scholar] [CrossRef]
- Stefansson, S.O.; Imsland, A.K.; Handeland, S.O. Food-deprivation, compensatory growth and hydro-mineral balance in Atlantic salmon (Salmo salar) post-smolts in sea water. Aquaculture 2009, 290, 243–249. [Google Scholar] [CrossRef]
- Martinez, E.P.; Balseiro, P.; Fleming, M.S.; Stefansson, S.O.; Kaneko, N.; Norberg, B.; Flemming, M.S.; Imsland, A.K.D.; Handeland, S.O. Interaction of temperature and feed ration on male postsmolt maturation of Atlantic salmon (Salmo salar L.). Aquaculture 2023, 562, 738877. [Google Scholar] [CrossRef]
- Ashley, P.J. Fish welfare: Current issues in aquaculture. Appl. Anim. Behav. Sci. 2007, 104, 199–235. [Google Scholar] [CrossRef]
- Cañon Jones, H.A.; Noble, C.; Damsgård, B.; Pearce, G.P. Investigating the influence of predictable and unpredictable feed delivery schedules upon the behavior and welfare of Atlantic salmon parr (Salmo salar) using social network analysis and fin damage. Appl. Anim. Behav. Sci. 2021, 138, 132–140. [Google Scholar] [CrossRef]
- Turnbull, J.; Bell, A.; Adams, C.; Bron, J.; Huntingford, F. Stocking density and welfare of cage farmed Atlantic salmon: Application of a multivariate analysis. Aquaculture 2005, 243, 121–132. [Google Scholar] [CrossRef]
- Sneddon, L.U.; Braithwaite, V.A.; Gentle, M.J. Do fishes have nociceptors? Evidence for the evolution of a vertebrate sensory system. Proc. R. Soc. Lond. 2003, 270B, 1115–1121. [Google Scholar] [CrossRef]
- Turnbull, J.F.; Adams, C.E.; Richards, R.H.; Robertson, D.A. Attack site and resultant damage during aggressive encounters in Atlantic salmon (Salmo salar L.) parr. Aquaculture 1998, 159, 345–353. [Google Scholar] [CrossRef]
- Santurtun, E.; Broom, D.M.; Phillips, C.J.C. A review of factors affecting the welfare of Atlantic salmon (Salmo salar). Anim. Welf. 2018, 27, 193–204. [Google Scholar] [CrossRef]
- Cañon Jones, H.A.; Hansen, L.A.; Noble, C.; Damsgård, B.; Broom, D.M.; Pearce, G.P. Social network analysis of behavioral interactions influencing fin damage development in Atlantic salmon (Salmo salar) during feed-restriction. Appl. Anim. Behav. Sci. 2010, 127, 139–151. [Google Scholar] [CrossRef]
- Cañon Jones, H.A.; Noble, C.; Damsgård, B.; Pearce, G.P. Evaluating the effects of a short-term feed restriction period on the behavior and welfare of Atlantic salmon, Salmo salar, parr using social network analysis and fin damage. J. World Aquac. Soc. 2017, 48, 35–45. [Google Scholar] [CrossRef]
- Guðbergsson, G.; Antonsson, Þ. Fiskar í Ám og Vötnum: Fræðirit Fyrir Almenning um Íslenska Ferskvatns Fiska; Landvernd: Reykjavík, Iceland, 1996; 191p, Available online: https://books.google.is/books?id=0p_IpwAACAAJ (accessed on 15 April 2023).
- Mozsár, A.; Boros, G.; Sály, P.; Antal, L.; Nagy, S.A. Relationship between Fulton’s condition factor and proximate body composition in three freshwater fish species. J. Appl. Ichthyol. 2015, 31, 315–320. [Google Scholar] [CrossRef]
- Dempster, T.; Juell, J.-E.; Fosseidengen, J.E.; Fredheim, A.; Lader, P. Behaviour and growth of Atlantic salmon (Salmo salar L.) subjected to short-term submergence in commercial scale sea-cages. Aquaculture 2008, 276, 103–111. [Google Scholar] [CrossRef]
- Zar, J.H. Biostatistical Analysis, 2nd ed.; Prentice-Hall, Inc.: Englewood Cliffs, NJ, USA, 1984; 718p. [Google Scholar]
- Brown, M.B.; Forsythe, A.B. Robust tests for the equality of variances. J. Am. Stat. Assoc. 1974, 69, 364–367. [Google Scholar] [CrossRef]
- Van Rijn, C.A.; Jones, P.L.; Evans, B.S.; Afonso, L.O.B. Physiological and growth responses of juvenile Atlantic salmon (Salmo salar) transferred to seawater during different stages of smolt development. Aquaculture 2021, 538, 736527. [Google Scholar] [CrossRef]
- Stien, L.H.; Bracke, M.B.M.; Folkedal, O.; Nilsson, J.; Oppedal, F.; Torgersen, T.; Kittilsen, S.; Midtlyng, P.J.; Vindas, M.A.; Øverli, Ø.; et al. Salmon Welfare Index Model (SWIM 1.0): A semantic model for overall welfare assessment of caged Atlantic salmon: Review of the selected welfare indicators and model presentation. Rev. Aquac. 2013, 5, 33–57. [Google Scholar] [CrossRef]
- Virtanen, M.I.; Brinchmann, M.F.; Patel, D.M.; Iversen, M.H. Chronic stress negatively impacts wound healing, welfare, and stress regulation in internally tagged Atlantic salmon (Salmo salar). Front. Physiol. 2023, 14, 1147235. Available online: https://www.frontiersin.org/articles/10.3389/fphys.2023.1147235 (accessed on 21 April 2023). [CrossRef]
- Calabrese, S.; Nilsen, T.O.; Kolarevic, J.; Ebbesson, L.O.E.; Pedrosa, C.; Fivelstad, S.; Hosfeld, C.; Stefansson, S.O.; Terjesen, B.F.; Takle, H.; et al. Stocking density limits for post-smolt Atlantic salmon (Salmo salar L.) with emphasis on production performance and welfare. Aquaculture 2017, 468, 363–370. [Google Scholar] [CrossRef]




| Content % | Protein | 49 |
| Fat | 23 | |
| Carbohydrate | 13 | |
| Ash | 8 | |
| Dry material | 93 | |
| Panaferd, mg/kg | 50 | |
| Digestible energy (MJ/kg) | 19 | |
| Gross energy (MJ/kg) | 22.2 | |
| Vitamins in kg of feed | Vitamin A IU | 2500 |
| Vitamin D3 IU | 1500 | |
| Vitamin C (mg/kg) | 250 | |
| Vitamin E (mg/kg) | 115 |
| Welfare Rating | 100r | 50r | 33r | Total |
|---|---|---|---|---|
| 0 | 75 a | 32 b | 27 b | 134 |
| 1 | 48 b | 62 a | 65 a | 175 |
| 2 | 16 b | 29 a | 30 a | 75 |
| 3 | 8 b | 15 a | 21 a | 44 |
| 4 | 2 | 3 | 4 | 9 |
| 5 | 0 | 0 | 1 | 1 |
| Total | 149 | 141 | 148 | 438 |
| Welfare Rating | 100r | 50r | 33r | Total |
|---|---|---|---|---|
| 0 | 35 a | 18 b | 5 c | 58 |
| 1 | 70 a | 51 b | 24 b | 145 |
| 2 | 11 b | 38 a | 28 a | 77 |
| 3 | 6 c | 12 b | 19 a | 37 |
| 4 | 0 b | 1 b | 5 a | 6 |
| 5 | 1 | 0 | 2 | 3 |
| Total | 123 | 120 | 83 | 326 |
| Maturity Stage (0–V) | 100r-M | 50r-M | 33r-M | Total-M |
|---|---|---|---|---|
| 0 | 2 ab | 1 b | 3 a | 6 |
| I | 59 (11) | 59 (8) | 70 (28) | 188 (47) |
| II | 3 | 1 | 0 | 4 |
| III | 4 (3) | 2 | 4 (2) | 11 (5) |
| IV | 1 b | 3 a | 0 b | 4 |
| V | 2 | 0 | 0 | 2 |
| Total | 71 (14) | 66 (8) | 78 (30) | 215 (52) |
| Maturity Stage (0–V) | 100r-F | 50r-F | 33r-F | Total-F |
|---|---|---|---|---|
| 0 | 1 | 0 | 0 | 1 |
| I | 71 (10) | 78 (16) | 69 (34) | 219 (60) |
| II | 1 | 0 | 1 | 2 |
| III | 0 | 0 | 0 | 0 |
| IV | 0 | 0 | 0 | 0 |
| V | 1 | 0 | 0 | 1 |
| Total | 75 (10) | 78 (16) | 70 (34) | 223 (60) |
Disclaimer/Publisher’s Note: The statements, opinions and data contained in all publications are solely those of the individual author(s) and contributor(s) and not of MDPI and/or the editor(s). MDPI and/or the editor(s) disclaim responsibility for any injury to people or property resulting from any ideas, methods, instructions or products referred to in the content. |
© 2024 by the authors. Licensee MDPI, Basel, Switzerland. This article is an open access article distributed under the terms and conditions of the Creative Commons Attribution (CC BY) license (https://creativecommons.org/licenses/by/4.0/).
Share and Cite
Imsland, A.K.D.; Methúsalemsson, H. The Effects of Different Feed Ration Levels on Growth, Welfare Rating, and Early Maturation in Juvenile Atlantic Salmon (Salmo salar). Fishes 2024, 9, 70. https://doi.org/10.3390/fishes9020070
Imsland AKD, Methúsalemsson H. The Effects of Different Feed Ration Levels on Growth, Welfare Rating, and Early Maturation in Juvenile Atlantic Salmon (Salmo salar). Fishes. 2024; 9(2):70. https://doi.org/10.3390/fishes9020070
Chicago/Turabian StyleImsland, Albert Kjartan Dagbjartarson, and Hjörtur Methúsalemsson. 2024. "The Effects of Different Feed Ration Levels on Growth, Welfare Rating, and Early Maturation in Juvenile Atlantic Salmon (Salmo salar)" Fishes 9, no. 2: 70. https://doi.org/10.3390/fishes9020070
APA StyleImsland, A. K. D., & Methúsalemsson, H. (2024). The Effects of Different Feed Ration Levels on Growth, Welfare Rating, and Early Maturation in Juvenile Atlantic Salmon (Salmo salar). Fishes, 9(2), 70. https://doi.org/10.3390/fishes9020070

