Age, Growth and Population Structure Analyses of the Purpleback Flying Squid Sthenoteuthis oualaniensis in the Northwest Indian Ocean by the Statolith Microstructure
Abstract
1. Introduction
2. Materials and Methods
2.1. Sampling
2.2. Basic Biological Determination and Statolith Extraction
2.3. Statolith Processing and Aging
2.4. Population Structure Identification
2.5. Data Analysis
3. Results
3.1. Individual Composition and Shape Features
3.2. Statolith Microstructure
3.3. Age Structure and Maturity
3.4. Hatching Date and Group
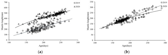
3.5. Growth Patterns
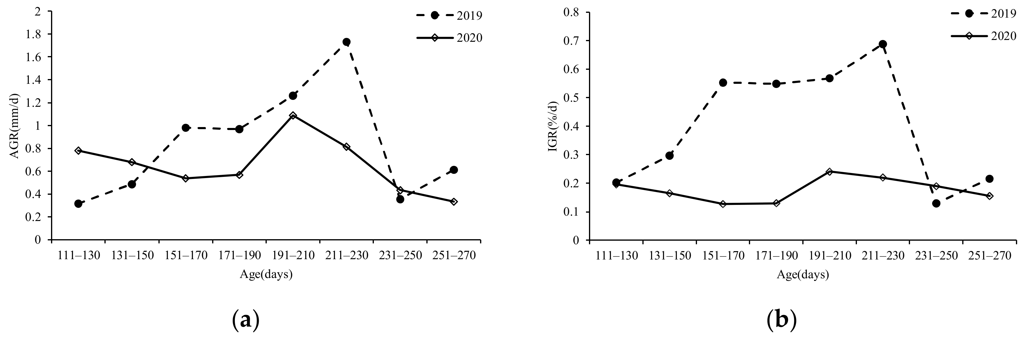
3.6. Growth Rates
4. Discussion
4.1. ML and BW Distributions
4.2. Statolith Microstructure
4.3. Age Structure
4.4. Hatching Group
4.5. Growth Patterns
4.6. Growth Rates
5. Conclusions
Author Contributions
Funding
Institutional Review Board Statement
Informed Consent Statement
Acknowledgments
Conflicts of Interest
References
- Wang, Y.G.; Chen, X.J. Marine Economic Ommastrephids Resources and Fishery in the World; China Ocean Press: Beijing, China, 2005; pp. 78–93. [Google Scholar]
- Zheng, J.Y.; Xu, K.; Chen, G.X.; Hu, K.M.; Chen, J.P.; Yang, L.; Wang, Q.; Wang, X.; Wang, W.Q.; Wang, D.X. Research progress on the interaction between tropical Indian Ocean circulation dynamics and monsoon. J. Nanjing Univ. Inf. Sci. Technol. 2018, 10, 275–281. [Google Scholar]
- Qian, W.G.; Chen, X.J.; Liu, B.L.; Tian, S.Q.; Ye, X.C. The relationship between fishing ground distribution of Sthenoteuthis oualaniensisand zooplankton in the northwestern Indian Ocean in autumn. Mar. Fish. 2006, 28, 265–271. [Google Scholar]
- Xiao, G.; Xu, B.; Zhang, H.; Tang, F.H.; Chen, F.; Zhu, W.B. A study on spatial-temporal distribution and marine environmental elements of Symplectoteuthis oualaniensis fishing grounds in outer sea of Arabian Sea. S. China Fish. Sci. 2022, 18, 10–19. [Google Scholar]
- Chesalin, M.V.; Zuyev, G.V. Pelagic cephalopods of the Arabian Sea with an emphasis on Sthenoteuthis oualaniensis. Bull. Mar. Sci. 2002, 71, 209–221. [Google Scholar]
- Zuyev, G.V.; Nigmatullin, C.; Chesalin, M.; Nesis, K.N. Main results of long-term worldwide studies on tropical nektonic oceanic squid genus Sthenoteuthis: An overview of the Soviet investigations. Bull. Mar. Sci. 2002, 71, 1019–1060. [Google Scholar]
- Chen, X.J.; Lu, H.J.; Liu, B.L.; Tian, S.Q. Current exploitation and some scientific issues in the sustainable utilization of Ommastrephidae. J. Shanghai Ocean Univ. 2012, 21, 831–840. [Google Scholar]
- Zhang, J.; Chen, G.B.; Zhang, P.; Chen, Z.Z.; Fan, J.T. Estimation of purpleback flying squid (Sthenoteuthis oualaniensis) resource in the central and southern South China Sea based on fisheries acoustics and light-falling net. J. Fish. Sci. China 2014, 10, 822–831. [Google Scholar]
- Siriraksophon, S.; Sukramongkol, N.; Nakamura, Y. Exploration of oceanic squid, Sthenoteuthis oualaniensis resources in the South China Sea, Vietnamese waters. In Proceedings of the SEAFDEC Seminar on Fishery Resources in the South China Sea, Area IV: Vietnamese Waters, Bangkok, Thailand, 18–20 September 2000; pp. 181–197. [Google Scholar]
- Jereb, P.; Roper, C.F.E. Cephalopods of the World: An Annotated and Illustrated Catalog of Cephalopod Species Known to Date: Myopsid and Oegopsid Squids; FAO: Rome, Italy, 2010; Volume 2, pp. 315–318. [Google Scholar]
- Trotsenko, B.G.; Pinchukov, M.A. Mesoscale distribution features of the purpleblack squid Sthenoteuthis oualaniensis with reference to the structure of the upper quasi-homogeneous layer in the West India Ocean. Oceanology 1994, 34, 380–385. [Google Scholar]
- Nesis, K.N. Population structure of oceanic Ommastrephehids, with particular reference to Sthenoteuthis oualaniensis: A review. In Recent Advances in Fisheries Biology; Okutani, K., O’Dor, R.K., Kubodera, T., Eds.; Tokai University Press: Tokyo, Japan, 1993; pp. 375–383. [Google Scholar]
- Chen, Z.Y.; Lu, H.J.; Liu, W.; Liu, K.; Chen, X.J. Beak Microstructure Estimates of the Age, Growth, and Population Structure of Purpleback Flying Squid (Sthenoteuthis oualaniensis) in the Xisha Islands Waters of the South China Sea. Fishes 2022, 7, 187. [Google Scholar] [CrossRef]
- Clarke, M. A review of the systematics and ecology of oceanic squids. Adv. Mar. Biol. 1966, 4, 91–300. [Google Scholar]
- Chen, X.J.; Liu, B.L.; Tian, S.Q.; Qian, W.G.; Zhao, X.H. Fishery biology of purpleback squid, Sthenoteuthis oualaniensis, in the northwest Indian Ocean. Fish. Res. 2007, 83, 98–104. [Google Scholar]
- Ye, X.C.; Chen, X.J. Study of biological characteristics of Sthenoteuthis oualaniensis in the northwestern Indian Ocean. J. Shanghai Ocean. Univ. 2004, 13, 316–322. [Google Scholar]
- Shchetinnikov, A.S. Feeding spectrum of squid Sthenoteuthis oualaniensis (Oegopsida) in the Eastern Pacific. J. Mar. Biol. Assoc. U. K. 1992, 72, 849–860. [Google Scholar] [CrossRef]
- Corre, M.L.; Cherel, Y.; Lagarde, F.; Lormee, H.; Jouventin, P. Seasonal and interannual variation in the feeding ecology of a tropical oceanic seabird, the red-tailed tropicbird Phaethon rubricauda. Mar. Ecol. Prog. Ser. 2003, 255, 289–301. [Google Scholar] [CrossRef][Green Version]
- Parry, M. Feeding behavior of two ommastrephid squids Ommastrephes bartramiiand Sthenoteuthis oualaniensis off Hawaii. Mar. Ecol. Prog. Ser. 2006, 318, 229–235. [Google Scholar] [CrossRef]
- Colombo, E.M.; Luis, C.F.; José, F.E.; Felipe, G.M.; Alejandro, S.L.; David, C.S.; Carlos, J.P. Feeding habits and trophic level of the smooth hammerhead shark, Sphyrna zygaena (Carcharhiniformes: Sphyrnidae), off Ecuador. J. Mar. Biolog. Assoc. 2018, 99, 673–680. [Google Scholar]
- Arkhipkin, A.I.; Bizikov, V.A. Role of the statolith in functioning of the acceleration receptor system in squids and sepioids. J. Zool. 2000, 250, 31–55. [Google Scholar] [CrossRef]
- Radtke, R.L. Chemical and structural characteristics of statoliths from the short-finned squid Illex illecebrosus. Mar. Biol. 1983, 76, 47–54. [Google Scholar] [CrossRef]
- Hurley, G.V.; Odense, P.O.; O’Dor, R.K.; Dawe, E.G. Strontium Labeling for Verifying Daily Growth Increments in the Statolith of the Short-Finned Squid (Illex illecebrosus). Can. J. Fish. Aquat. Sci. 1985, 42, 380–383. [Google Scholar] [CrossRef]
- Lipinski, M. Methods for the validation of squid Age from statoliths. J. Mar. Biol. Assoc. U. K. 1986, 66, 505–526. [Google Scholar] [CrossRef]
- Nesis, K.N. Population structure of the squid Sthenoteuthis oualaniensis (Lesson, 1830) in the tropical West Pacific. Trudy IO AN SSSR 1977, 107, 15–29. [Google Scholar]
- Lu, H.J.; Zhang, X.; Tong, Y.H.; Tang, Y.; Liu, K.; Liu, W.; Chen, X.J. Statolith microstructure and growth characteristics of Sthenoeuthis oualaniensis in the Xisha Islands waters of the South China Sea. J. Fish. China 2020, 44, 767–776. [Google Scholar]
- Bettencourt, V.; Guerra, A. Growth increments and biomineralization process in cephalopod statoliths. J. Exp. Mar. Biol. Ecol. 2000, 248, 191–205. [Google Scholar] [CrossRef]
- Semmens, J.M.; Moltschaniwskyj, N.A. An examination of variable growth in the loliginid squid Sepioteuthis lessoniana: A whole animal and reductionist approach. Mar. Ecol. Prog. Ser. 2000, 193, 135–141. [Google Scholar] [CrossRef]
- Harman, R.F.; Young, R.E.; Reid, S.B.; Mangold, K.M.; Suzuki, T.; Hixon, R.F. Evidence for multiple spawning in the tropical oceanic squid Stenoteuthis oualaniensis (Teuthoidea: Ommastrephidae). Mar. Biol. 1989, 101, 513–519. [Google Scholar] [CrossRef]
- Yatsu, A.; Watanabe, T.; Mori, J.; Kazuya, N.; Yukimasa, I.; Toshimi, M.; Yoshihiko, K.; Yasunori, S. Interannual variability in stock abundance of the neon flying squid, Ommastrephes bartramii, in the North Pacific Ocean during 1979–1998: Impact of driftnet fishing and oceanographic conditions. Fish. Oceanogr. 2000, 9, 163–170. [Google Scholar] [CrossRef]
- Arkhipkin, A.I. Statoliths as ‘black boxes’ (life recorders) in squid. Mar. Freshw. Res. 2005, 56, 573–583. [Google Scholar] [CrossRef]
- Lu, H.J.; Chen, X.J. Age, growth and population structure of Illex argentinus based on statolith microstructure in Southwest Atlantic Ocean. J. Fish. China 2012, 36, 1049–1056. [Google Scholar] [CrossRef]
- Chen, Z.Y.; Lu, H.J.; Tong, Y.H.; Liu, W.; Zhang, X.; Chen, X.J. Effects of difference of individual size on beak morphology of Sthenoteuthis oualaniensis in the Xisha Islands of South China Sea. J. Fish. China 2019, 43, 2501–2510. [Google Scholar]
- Lu, H.J.; Wang, C.J.; Chen, X.J. Study on the Biological Characteristics of Jumbo Flying Squid Dosidicus gigas in the High Seas Nearby the Equator of Eastern Pacific. J. Guangdong Ocean Univ. 2014, 34, 1–8. [Google Scholar]
- Chen, X.J.; Lu, H.J.; Liu, B.L.; Chen, Y. Age, growth and population structure of jumbo flying squid, Dosidicus gigas, based on statolith microstructure off the Exclusive Economic Zone of Chilean waters. J. Mar. Biolog. Assoc. U. K. 2011, 91, 229–230. [Google Scholar] [CrossRef]
- Chen, X.J.; Liu, J.L. Morphological analysis on population structure of Sthenoteuthis oualaniensis in the north estern Indian Ocean. J. Shanghai Ocean Univ. 2007, 16, 174–179. [Google Scholar]
- Yatsu, A.; Midorikawa, S.; Shimada, T.; Uozumi, Y.J. Age and growth of neon flying squid, Ommastrephes bartramii, in the North Pacific Ocean. Fish. Res. 1997, 29, 257–270. [Google Scholar] [CrossRef]
- Fang, Z.; Li, J.H.; Thompson, K. Age, growth, and population structure of the red flying squid (Ommastrephes bartramii) in the North Pacific Ocean, determined from beak microstructure. Fish. Bull. 2016, 114, 34–44. [Google Scholar] [CrossRef]
- Perales, R.C.; Bartolomé, A.; García-Santamaría, M.T.; Teresa, G.S.; Pedro, P.A.; Eduardo, A. Age estimation obtained from analysis of octopus (Octopus vulgaris Cuvier, 1797) beaks: Improvements and comparisons. Fish. Res. 2010, 106, 171–176. [Google Scholar] [CrossRef]
- Hu, G.Y.; Fang, Z.; Liu, B.L.; Yang, D.; Chen, X.J.; Chen, Y. Age, growth and population structure of jumbo flying squid Dosidicus gigas off the Peruvian Exclusive Economic Zone based on beak microstructure. Fish Sci. 2016, 82, 597–604. [Google Scholar] [CrossRef]
- Rodhouse, P.G.; Hatfield, E.M.C. Dynamics of Growth and Maturation in the Cephalopod Illex argentinus de Castellanos, 1960 (Teuthoidea: Ommastrephidae). Philos. Trans. Biol. Sci. 1990, 329, 1254. [Google Scholar]
- Froese, R.; Thorson, J.T.; Reyes, R.B. A Bayesian approach for estimating length-weight relationships in fishes. J. Appl. Ichthyol. 2014, 30, 78–85. [Google Scholar] [CrossRef]
- Jackson, G.D. Application and Future Potential of Statolith Increment Analysis in Squids and Sepioids. Can. J. Fish. Aquat. 1994, 51, 2612–2625. [Google Scholar] [CrossRef]
- Arkhipkin, A.I. Age and growth of the mesopelagic squid Ancistrocheirus lesueurii (Oegopsida: Ancistrocheiridae) from the central-east Atlantic based on statolith microstructure. Mar. Biol. 1997, 129, 103–111. [Google Scholar] [CrossRef]
- Malcolm, H. Modeling and Quantitative Methods in Fisheries; Chapman and Hall; CRC Press: New York, NY, USA, 2001; pp. 227–232. [Google Scholar]
- Parker, R.A.; Ricker, W.E. Handbook of Computations for Biological Statistics of Fish Populations. J. Wildl. Manag. 1960, 24, 1105–1108. [Google Scholar] [CrossRef]
- Dunning, M. A review of the systematics, distribution and biology of the arrow squid genera Ommastrephes Orbigny, 1835, Sthenoteuthis Verrill, 1880, and Ornithoteuthis Okada, 1927 (Cephalopoda, Ommastrephidae). In Systematics and Biogeography of Cephalopods; Voss, N.A., Vecchione, M., Toll, R.B., Sweeney, M.J., Eds.; Smithsonian Contributions to Zoology 586; Smithsonian Institution Press: Washington, DC, USA, 1998; pp. 425–433. [Google Scholar]
- Okutani, T.; Tung, I.H. Reviews of biology of commercially important squids in Japanese and adjacent waters, I: Symplectoteuthis oualaniensis (Lesson). Veliger 1978, 21, 87–94. [Google Scholar]
- Lu, H.J.; Tong, Y.H.; Liu, W.; Liu, K.; Dong, Z.X.; Cheng, X.; Chen, X.J. Fisheries biological characteristics of Sthenoteuthis oualaniensis in the spring season in the El Niño year of 2016 in the Zhongsha Islands waters of South China Sea. J. Fish. China 2018, 42, 912–921. [Google Scholar]
- Liu, B.L.; Chen, X.J.; Zhong, J.S. Statolith morphology of the purpleback flying squid Sthenoeuthis oualaniensis in the northwest Indian Ocean. J. Shanghai Ocean Univ. 2008, 17, 604–609. [Google Scholar]
- Yan, Y.R.; Feng, B.; Lu, H.S.; Lai, J.Y.; Du, S.Q. Fishery biology of purpleback flying squid Sthenoeuthis oualaniensis in the northern Sea areas around Nansha Island in summer. Oceanol. Limnol. Sin. 2012, 43, 1177–1186. [Google Scholar]
- Arkhipkin, A.I. Toward identification of the ecological lifestyle in nektonic squid using statolith morphometry. J. Mollus. Stud. 2003, 69, 171–178. [Google Scholar] [CrossRef][Green Version]
- Takagi, K.; Kitahara, T.; Suzuki, N.; Mori, J.; Yatsu, A. The age and growth of Sthenoteuthis oualaniensis (Cephalopoda: Ommastrephidae) in the Pacific Ocean. Bull. Mar. Sci. 2002, 71, 1105–1108. [Google Scholar]
- Lu, H.J.; Chen, X.J.; Fang, Z.; Liu, B.L. Statolith microstructure and growth characteristics of Illex argentinus in the southwest Atlantic Ocean. Prog. Fish. Sci. 2012, 33, 15–25. [Google Scholar]
- Chen, X.J.; Liu, B.L. Biology of Fishery Resources; Science Press: Beijing, China, 2017; pp. 58–62. [Google Scholar]
- Wang, H.H.; Lu, H.J.; He, J.R.; Liu, K.; Chen, X.Y.; Chen, X.J. Microstructures and growth characteristics of statoliths from Sthenoeuthis oualaniensis in the northwest Indian Ocean. Chin. J. Appl. Ecol. 2022, 1–9. [Google Scholar] [CrossRef]
- Chen, X.J.; Ma, J.; Liu, B.L.; Lu, H.J.; Cao, J. Population structure, age and growth of neon flying squid (Ommastrephes bartramii) in the northwest Pacific Ocean based on statolith microstructure. J. Fish. China 2011, 35, 1191–1198. [Google Scholar]
- Ma, J.; Chen, X.J.; Liu, B.L.; Lu, H.J.; Li, S.L.; Cao, J. Review of the influence of environment factors on microstructure of statoliths of cephalopod. J. Shanghai Ocean Univ. 2009, 18, 616–622. [Google Scholar]
- Castro, B.G.; Garrido, J.L.; Sotelo, C.G. Changes in composition of digestive gland and mantle muscle of the cuttlefish Sepia officinalis during starvation. Mar. Biol. 1992, 114, 11–20. [Google Scholar] [CrossRef]
- Lu, H.J.; Ou, Y.Z.; He, J.R.; Zhao, M.L.; Chen, Z.Y.; Chen, X.J. Age, Growth and Population Structure Analyses of the Purpleback Flying Squid Sthenoteuthis oualaniensis in the Northwest Indian Ocean by Beak Microstructure. J. Mar. Sci. Eng. 2022, 10, 1094. [Google Scholar] [CrossRef]
- Liu, B.L.; Chen, X.J.; Li, J.H.; Chen, Y. Age, growth and maturation of Sthenoteuthis oualaniensis in the eastern tropical Pacific Ocean by statolith analysis. Mar. Freshw. Res. 2016, 67, 1973–1981. [Google Scholar] [CrossRef]
- Takagi, K.; Yatsu, A. Age determination using Statolith microstructure of the purpleback fling squid, Sthenoteuthis oualaniensis, in the North Pacific Ocean. Nippon. Suisan Gakkaishi 1996, 65, 98–113. [Google Scholar]
- Sukramongkol, N.; Promjinda, S.; Prommas, R. Age and reproduction of Sthenoteuthis oualaniensis in the Bay of Bengal. In The Ecosystem-Based Fishery Management in the Bay of Bengal; Department of Fisheries (DOF), Ministry of Agriculture and Cooperatives: Bangkok, Thailand, 2007; pp. 195–205. [Google Scholar]
- Zhao, C.X.; Shen, C.Y.; Bakun, A.; Yan, Y.R.; Kang, B. Purpleback Flying Squid Sthenoteuthis oualaniensis in the South China Sea: Growth, Resources and Association with the Environment. Water 2020, 13, 65. [Google Scholar] [CrossRef]
- Snyder, R. Aspects of the biology of the giant form of Sthenoteuthis oualaniensis (Cephalopoda: Ommastrephidae) from the Arabian Sea. J. Molluscan Stud. 1998, 64, 21–34. [Google Scholar] [CrossRef]
- Liu, Y.; Wang, X.H.; Du, F.Y.; Liu, B.L.; Zhang, P.; Liu, M.N.; Qiu, Y.S. Age and growth of Sthenoteuthis oualaniensis based on statolith microstructure in the South China Sea. J. Trop. Oceanogr. 2019, 38, 62–73. [Google Scholar]
- Zhao, C.X.; Chen, Z.P.; He, X.B.; Deng, Y.S.; Feng, B.; Yan, Y.R. Age, growth and population structure of purple back flying squid, Sthenoteuthis oualaniensi in the South China Sea in spring based on statolith microstructure. Acta Hydrobiol. Sin. 2017, 41, 884–890. [Google Scholar]
- Chen, X.J.; Li, J.H.; Liu, B.; Chen, Y.; Li, G.; Fang, Z.; Tian, S. Age, growth and population structure of jumbo flying squid, Dosidicus gigas, off the Costa Rica Dome. J. Mar. Biol. Assoc. U. K. 2013, 93, 2. [Google Scholar] [CrossRef]
- Lu, H.; Ou, Y.; Teng, Y.; Chen, Z.; Chen, X. Age, Growth and Population Structure Analyses of the Berryteuthis magister shevtsovi in the Japan Sea by Statolith Microstructure. Fishes 2022, 7, 215. [Google Scholar] [CrossRef]
- Yu, W.; Wen, J.; Chen, X.J.; Gong, Y.; Liu, B.L. Trans-Pacific multidecadal changes of habitat patterns of two squid species. Fish. Res. 2021, 233, 105762. [Google Scholar] [CrossRef]
- Xu, J.; Chen, X.J.; Chen, Y.; Ding, Q.; Tian, S.Q. The effect of sea surface temperature increase on the potential habitat of Ommastrephes bartramii in the Northwest Pacific Ocean. Acta Oceanol. Sin. 2016, 35, 109–116. [Google Scholar] [CrossRef]
- Lu, H.J.; Ning, X.; Liu, W.; Zhang, Y.X.; Chen, Z.Y.; Chen, X.J. Comparison in fishery biology of Sthenoteuthis oualaniensis in different climate events in the South China Sea. Oceanol. Limnol. Sin. 2021, 52, 1029–1038. [Google Scholar]
- Jackson, G.D.; Wadley, V.A. Age, growth, and reproduction of the tropical squid Nototodarus hawaiiensis (Cephalopoda: Ommastrephidae) off the north west slope of Australia. Fish. Bull. 1998, 96, 779–787. [Google Scholar]











| Year | Sex | Growth Models | Linear | Power | Exponential | Logarithmic | ||||
|---|---|---|---|---|---|---|---|---|---|---|
| R2 | AIC | R2 | AIC | R2 | AIC | R2 | AIC | |||
| 2019 | Females | ML–age | 0.6607 | −11.1280 | 0.6643 | 1526.3940 | 0.6584 | −5.8090 | 0.6430 | −0.5400 |
| Males | ML–age | 0.7749 | −4.0782 | 0.7748 | −2.3037 | 0.7624 | −2.6824 | 0.7642 | 842.6014 | |
| Females | BW–age | 0.6407 | −275.9910 | 0.6484 | 4967.8700 | 0.6127 | −101.5090 | 0.6112 | −170.0020 | |
| Males | BW–age | 0.7715 | −97.4010 | 0.7669 | −43.8550 | 0.7391 | 2048.4970 | 0.7538 | −48.2410 | |
| 2020 | Females | ML–age | 0.7530 | −2.1830 | 0.7544 | −2.1630 | 0.7387 | 1460.3810 | 0.7617 | −2.7860 |
| Males | ML–age | 0.7481 | −2.0105 | 0.7482 | −1.4636 | 0.7449 | 890.1064 | 0.7469 | −2.9153 | |
| Females | BW–age | 0.7896 | −59.9430 | 0.7689 | −0.7390 | 0.7789 | 2727.0950 | 0.7919 | −62.727 | |
| Males | BW–age | 0.7881 | −12.8220 | 0.8105 | −4.2419 | 0.8147 | −29.2940 | 0.7984 | 1047.0040 | |
Publisher’s Note: MDPI stays neutral with regard to jurisdictional claims in published maps and institutional affiliations. |
© 2022 by the authors. Licensee MDPI, Basel, Switzerland. This article is an open access article distributed under the terms and conditions of the Creative Commons Attribution (CC BY) license (https://creativecommons.org/licenses/by/4.0/).
Share and Cite
Ou, Y.-Z.; Lu, H.-J.; Wang, H.-H.; Chen, Z.-Y.; Zhao, M.-L. Age, Growth and Population Structure Analyses of the Purpleback Flying Squid Sthenoteuthis oualaniensis in the Northwest Indian Ocean by the Statolith Microstructure. Fishes 2022, 7, 324. https://doi.org/10.3390/fishes7060324
Ou Y-Z, Lu H-J, Wang H-H, Chen Z-Y, Zhao M-L. Age, Growth and Population Structure Analyses of the Purpleback Flying Squid Sthenoteuthis oualaniensis in the Northwest Indian Ocean by the Statolith Microstructure. Fishes. 2022; 7(6):324. https://doi.org/10.3390/fishes7060324
Chicago/Turabian StyleOu, Yu-Zhe, Hua-Jie Lu, Hong-Hao Wang, Zi-Yue Chen, and Mao-Lin Zhao. 2022. "Age, Growth and Population Structure Analyses of the Purpleback Flying Squid Sthenoteuthis oualaniensis in the Northwest Indian Ocean by the Statolith Microstructure" Fishes 7, no. 6: 324. https://doi.org/10.3390/fishes7060324
APA StyleOu, Y.-Z., Lu, H.-J., Wang, H.-H., Chen, Z.-Y., & Zhao, M.-L. (2022). Age, Growth and Population Structure Analyses of the Purpleback Flying Squid Sthenoteuthis oualaniensis in the Northwest Indian Ocean by the Statolith Microstructure. Fishes, 7(6), 324. https://doi.org/10.3390/fishes7060324

