Using Baited Remote Underwater Video Surveys (BRUVs) to Analyze the Structure of Predators in Guanahacabibes National Park, Cuba
Abstract
1. Introduction
2. Material and Methods
2.1. Study Area
2.2. Survey Methodology
2.2.1. Sampling Methodology for Biological Variables
2.2.2. Acquisition of Abiotic Variables
2.2.3. Selection of Condition Variables
2.2.4. Animal Behavior
2.3. Data Analysis
3. Results
3.1. Mesopredators Abundance
3.2. Prey Abundance
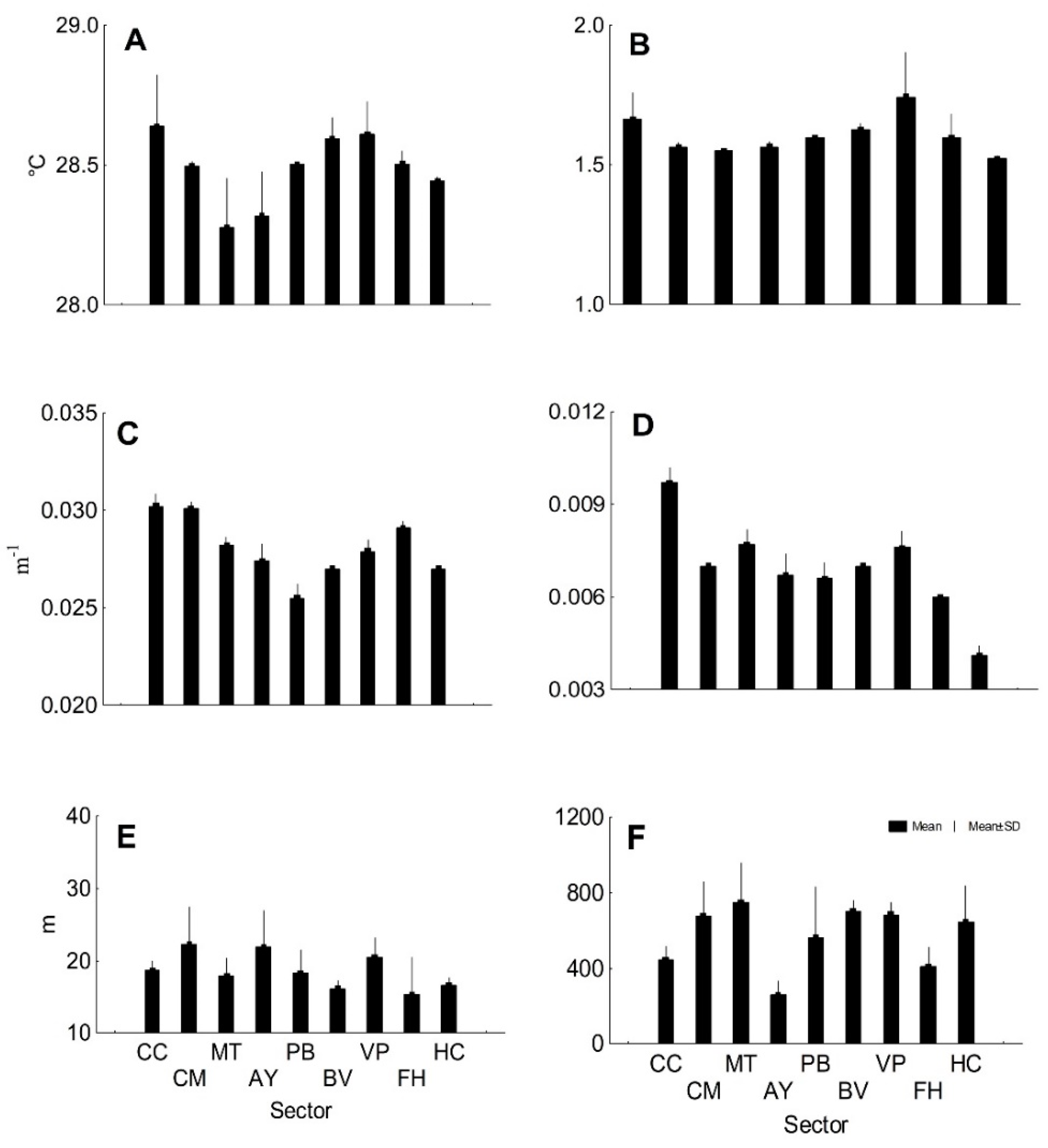
3.3. Abiotic Variables
3.4. Regression Analysis

3.5. Behavior
4. Discussion
5. Conclusions
Supplementary Materials
Author Contributions
Funding
Institutional Review Board Statement
Informed Consent Statement
Data Availability Statement
Acknowledgments
Conflicts of Interest
References
- Caballero-Aragón, H.; Perera-Valderrama, S.; Cobián-Rojas, D.; González, Z.H.; Méndez, J.G.; De la Guardia, E. A decade of study on the condition of western Cuban coral reefs, with low human impact. PeerJ 2023, 11, e15953. [Google Scholar] [CrossRef] [PubMed]
- Perera- Valderrama, S.; Hernández-Arana, H.A.; Ruiz-Zárate, M.Á.; Alcolado, P.M.; Caballero-Aragón, H.; González-Cano, J.; Vega-Zepeda, A.; Cobián Rojas, D. Condition assessment of coral reefs of two marine protected areas under different regimes of use in the north-western Caribbean. Ocean. Coast. Manag. 2016, 127, 16–25. [Google Scholar] [CrossRef]
- Cobián-Rojas, D.; Schmitter-Soto, J.J.; Aguilar -Betancourt, C.M.; Aguilar-Perera, A.; Ruiz-Zárate, M.Á.; González-Sansón, G.; Chevalier-Monteagudo, P.P.; Herrera-Pavón, R.; García-Rodríguez, A.; Corrada-Wong, R.I.C.; et al. The community diversity of two Caribbean MPAs invaded by lionfish does not support the biotic resistance hypothesis. J. Sea Res. 2018, 134, 26–33. [Google Scholar] [CrossRef]
- Cobián-Rojas, D.; Perera-Valderrama, S.; Chevalier-Monteagudo, P.P.; Schmitter-Soto, J.J.; Corrada Wong, R.I.; de la Guardia Llansó, E.; Mendez, J.G.; García-Rodríguez, A.; Hernández-Albernas, J.; Márquez-Llauger, L.; et al. Guanahacabibes National Park: Research, Monitoring, and Management for the Conservation of Coral Reefs. In Coral Reefs of Cuba; Springer International Publishing: Cham, Switzerland, 2023; pp. 339–358. [Google Scholar]
- Márquez, L.; Cobián-Rojas, D.; Camejo, J.A.; Linares, J.L.; Borrego, O.; Sosa, A.; Varela, R. Plan de Manejo del Parque Nacional Guanahacabibes, Periodo 2024–2028; Centro de Investigaciones y Servicios Ambientales, ECOVIDA, CITMA: Pinar del Río, Cuba, 2023; 312p. [Google Scholar]
- Claro, R.; Cantelar, K. Rapid assessment of the coral communities of María la Gorda, Southeast Ensenada de Corrientes, Cuba (Part 2: Reef fishes). Atoll. Res. Bull. 2003, 496, 278–293. [Google Scholar] [CrossRef][Green Version]
- Cobián-Rojas, D.; Chevalier Monteagudo, P.P. Evaluación de las asociaciones de peces de los arrecifes coralinos del Centro Internacional de Buceo María la Gorda, Parque Nacional Guanahacabibes, Cuba. Rev. Mar. Coast. Sci. 2009, 1, 111–125. [Google Scholar] [CrossRef]
- Cobián-Rojas, D.; Claro, R.; Chevalier, P.C.; Perera, S.; Caballero, H. Estructura de las asociaciones de peces en los arrecifes coralinos del Parque Nacional Guanahacabibes, Cuba. Rev. Cienc. Mar. Costeras 2011, 3, 153–169. [Google Scholar] [CrossRef]
- Cobián- Rojas, D.; Chevalier Monteagudo, P.P.; Schmitter-Soto, J.J.; Corrada Wong, R.I.; Salvat Torres, H.; Cabrera Sansón, E.; García Rodríguez, A.; Fernández Osorio, A.; Espinosa Pantoja, L.; Cabrera Guerra, D.; et al. Density, size, biomass, and diet of lionfish in Guanahacabibes National Park, western Cuba. Aquat. Biol. 2016, 24, 219–226. [Google Scholar] [CrossRef]
- Cobián-Rojas, D.; Schmitter-Soto, J.J.; Aguilar-Perera, A.; Betancourt, C.M.A.; Ruiz-Zárate, M.Á.; González-Sansón, G.G.; Perera-Valderrama, S.; Aragón, H.C.; de la Guardia, E. Diversity of native reef fish communities in two protected areas in the Caribbean Sea and its relationship to the invasive lionfish. Rev. Biol. Trop. 2018, 66, 189–203. [Google Scholar]
- de la Guardia, E.; Perera-Valderrama, S.; Rojas, D.C.; Espinosa-Pantoja, L.; García-López, L.; Hernández-González, Z.; Angulo-Valdés, J. Comparación de ensambles de corales y peces de arrecife cubanos registrados por censo visual y técnica de video estéreo submarino. Indicadores Ecológicos 2021, 121, 107220. [Google Scholar]
- Brock, V.E. A preliminary report on a method of estimating reef fish populations. J. Wildl. Manag. 1954, 18, 297–308. [Google Scholar] [CrossRef]
- Pina-Amargós, F.; Salvat-Torres, H.; López-Fernández, N. Ictiofauna del archipiélago Jardines de la Reina, Cuba. Rev. Investig. Mar. 2012, 32, 54–65. [Google Scholar]
- Bohnsack, J.A.; Bannerot, S.P. A stationary visual census technique for quantitatively assessing community structure of coral reef fishes. NOAA Tech. Rep. NMFS 1986, 41, 1–15. [Google Scholar]
- Watson, D.L.; Harvey, E.S.; Anderson, M.J.; Kendrick, G.A. A comparison of temperate reef fish assemblages recorded by three underwater stereo-video techniques. Mar. Biol. 2005, 148, 415–425. [Google Scholar] [CrossRef]
- Delacy, C.R. Latitudinal Patterns in Reef Fish Assemblage Structure: The Influence of Long-Term and Short-Term Processes; University of Western Australia: Nedlands, Australia, 2008. [Google Scholar]
- Shin, Y.J.; Bundy, A.; Shannon, L.J.; Simier, M.; Coll, M.; Fulton, E.A.; Link, J.S.; Jouffre, D.; Ojaveer, H.; Mackinson, S.; et al. Can simple be useful and reliable? Using ecological indicators to represent and compare the states of marine ecosystems. J. Mar. Sci. 2010, 67, 717–731. [Google Scholar] [CrossRef]
- Andradi-Brown, D.A.; Gress, E.; Wright, G.; Exton, D.A.; Rogers, A.D. Reef fish community biomass and trophic structure changes across shallow to upper-mesophotic reefs in the Mesoamerican Barrier Reef, Caribbean. PLoS ONE 2016, 11, e0156641. [Google Scholar] [CrossRef]
- Lam, V.Y.; Doropoulos, C.; Mumby, P.J. The influence of resilience-based management on coral reef monitoring: A systematic review. PLoS ONE 2017, 12, e0172064. [Google Scholar] [CrossRef]
- Bascompte, J.; Melián, C.J.; Sala, E. Interaction strength combinations and the overfishing of a marine food web. Proc. Natl. Acad. Sci. USA 2005, 102, 5443–5447. [Google Scholar] [CrossRef]
- Ferretti, F.; Worm, B.; Britten, G.L.; Heithaus, M.R.; Lotze, H.K. Patterns and ecosystem consequences of shark declines in the ocean. Ecol. Lett. 2010, 13, 1055–1071. [Google Scholar] [CrossRef]
- Heupel, M.R.; Knip, D.M.; Simpfendorfer, C.A.; Dulvy, N.K. Sizing up the ecological role of sharks as predators. Mar. Ecol. Prog. Ser. 2014, 495, 291–298. [Google Scholar] [CrossRef]
- Roff, G.; Doropoulos, C.; Rogers, A.; Bozec, Y.M.; Krueck, N.C.; Aurellado, E.; Priest, M.; Birrell, C.; Mumby, P.J. The ecological role of sharks on coral reefs. Trends Ecol. Evol. 2016, 31, 395–407. [Google Scholar] [CrossRef]
- Dedman, S.; Moxley, J.H.; Papastamatiou, Y.P.; Braccini, M.; Caselle, J.E.; Chapman, D.D.; Cinner, J.E.; Dillon, E.M.; Dulvy, N.K.; Dunn, R.E.; et al. Ecological roles and importance of sharks in the Anthropocene Ocean. Science 2024, 385, adl2362. [Google Scholar] [CrossRef] [PubMed]
- Gallagher, A.J.; Brownscombe, J.W.; Alsudairy, N.A.; Casagrande, A.B.; Fu, C.; Harding, L.; Harris, S.D.; Hammerschlag, N.; Howe, W.; Huertas, A.D.; et al. Tiger sharks support the characterization of the world’s largest seagrass ecosystem. Nat. Commun. 2022, 13, 6328. [Google Scholar] [CrossRef] [PubMed]
- Pacoureau, N.; Rigby, C.L.; Kyne, P.M.; Sherley, R.B.; Winker, H.; Carlson, J.K.; Fordham, S.V.; Barreto, R.; Fernando, D.; Francis, M.P.; et al. Half a century of global decline in oceanic sharks and rays. Nature 2021, 589, 567–571. [Google Scholar] [CrossRef] [PubMed]
- Meekan, M.; Cappo, M.; Carleton, J.; Marriott, R. Surveys of Sharks and Fin-Fish Abundance on Reefs Within the MOU74 Box and Rowley Shoals Using Baited Remote Underwater Video Systems; Department of the Environment and Heritage; Australian Institute of Marine Science: Townsville, Australia, 2006. [Google Scholar]
- Malcolm, H.A.; Gladstone, W.; Lindfield, S.; Wraith, J.; Lynch, T.P. Variación espacial y temporal en los ensambles de peces de arrecife de los parques marinos de Nueva Gales del Sur, Australia: Observaciones de vídeo con cebo. Ser. Prog. Ecol. Mar. 2007, 350, 277–290. [Google Scholar] [CrossRef]
- Brooks, E.J.; Sloman, K.A.; Sims, D.W.; Danylchuk, A.J. Validating the use of baited remote underwater video surveys for assessing the diversity, distribution, and abundance of sharks in the Bahamas. Endanger. Species Res. 2011, 13, 231–243. [Google Scholar] [CrossRef]
- Cappo, M.; Speare, P.; De’ath, G. Comparison of baited remote underwater video stations (BRUVs) and prawn (shrimp) trawls for assessments of fish biodiversity in interreefal areas of the Great Barrier Reef Marine Park. J. Exp. Mar. Biol. Ecol. 2004, 302, 123–152. [Google Scholar] [CrossRef]
- Cappo, M.; Harvey, E.; Shortis, M. Counting and measuring fish with baited video an overview. In Cutting-Edge Technologies in Fish and Fisheries Science, Proceedings of the Australian Society for Fish Biology Workshop, Hobart, Tasmania, 28–29 August 2006; Lyle, J.M., Furlani, D.M., Buxton, C.D., Eds.; Australian Society of Fish Biology: Hobart, Tasmania, 2006; pp. 101–115. [Google Scholar]
- Cappo, M.; Speare, P.; Wassenberg, T.; Harvey, E.; Rees, M.; Heyward, A.; Pitcher, R. The use of baited remote underwater video stations (BRUVs) to survey demersal fish stocks-how deep and meaningful. In Video Sensing of the Size and Abundance of Target and Non-Target Fauna in Australian Fisheries: A National Workshop; Fisheries Research Development Corporation: Canberra, Australia, 2001; pp. 63–71. [Google Scholar]
- González-Ferrer, S.; Caballero, H.; Alcolado, P.M.; Jiménez, A.; Martín, F.; Cobián, D. Diversidad de corales pétreos en once sitios de buceo recreativo de “María la Gorda”, Cuba. Rev. Inv. Mar. 2007, 28, 121–130. [Google Scholar]
- Caballero-Aragón, H.; González, S.; Cobián-Rojas, D.; Álvarez, S.; Alcolado, P.M. Evaluación AGRRA del bento en diez sitios de buceo de “María 920 la Gorda”, Bahía de Corrientes, Cuba. Rev. Investig. Mar. 2007, 28, 131–138. [Google Scholar]
- Perera-Valderrama, S.; Alcolado, P.M.; Caballero Aragón, H.; de la Guardia Llansó, E.; Cobián Rojas, D. Condición de los arrecifes coralinos del Parque Nacional Guanahacabibes, Cuba. Rev. Cienc. Mar. Costeras 2013, 5, 69–86. [Google Scholar] [CrossRef]
- Pérez-Santos, I.; Schneider, W.; Fernández-Vila, L. Variabilidad y características de la contracorriente cubana en la cuenca de Yucatán, mar Caribe. Cienc. Mar. 2015, 41, 65–83. [Google Scholar] [CrossRef][Green Version]
- Harvey, E.; Cappo, M.; Butler, J.J.; Hall, N.; Kendrick, G.A. Bait attraction affects the performance of remote underwater video stations in assessment of demersal fish community structure. Mar. Ecol. Prog. Ser. 2007, 350, 245–254. [Google Scholar] [CrossRef]
- Watson, D.L.; Harvey, E.S.; Fitzpatrick, B.M.; Langlois, T.J.; Shedrawi, G. Assessing reef fish assemblage structure: How do different stereo-video techniques compare? Mar. Biol. 2010, 157, 1237–1250. [Google Scholar] [CrossRef]
- Bond, T.; Partridge, J.C.; Taylor, M.D.; Langlois, T.J.; Malseed, B.E.; Smith, L.D.; McLean, D.L. Fish associated with a subsea pipeline and adjacent seafloor of the Northwest Shelf of Western Australia. Mar. Environ. Res. 2018, 141, 53–65. [Google Scholar] [CrossRef] [PubMed]
- Micheli, F.; Mumby, P.J.; Brumbaugh, D.R.; Broad, K.; Dahlgren, C.P.; Harborne, A.R.; Holmes, K.E.; Kappel, C.V.; Litvin, S.Y.; Sanchirico, J.N. High vulnerability of ecosystem function and services to diversity loss in Caribbean coral reefs. Biol. Conserv. 2014, 171, 186–194. [Google Scholar] [CrossRef]
- Sherman, C.S.; Chin, A.; Heupel, M.R.; Simpfendorfer, C.A. Are we underestimating elasmobranch abundances on baited remote underwater video systems (BRUVs) using traditional metrics? J. Exp. Mar. Biol. Ecol. 2018, 503, 80–85. [Google Scholar] [CrossRef]
- Böhlke, J.E.; Chaplin, C.C. Fishes of the Bahamas and Adjacent Tropical 912 Waters; University of Texas Press: Austin, TX, USA, 1993. [Google Scholar]
- Humann, P.; Deloach, N. Reef Fish Identification (Florida-Caribbean-Ba1087 Hamas), 3rd ed.; New World Publications; Star Standard Industries: Singapore, 2002. [Google Scholar]
- Carpenter, K.E. (Ed.) The living marine resources of the Western Central Atlantic. In Volume 1: Introduction, Molluscs, Crustaceans, Hagfishes, Sharks, Batoid Fishes, and Chimaeras; FAO Species Identification Guide for Fishery Purposes and American Society of Ichthyologists and Herpetologists Special Publication No. 5; FAO: Rome, Italy, 2002; pp. 1–600. [Google Scholar]
- Eschmeyer, W.N.; Fricke, R.; Van der Laan, R. Catalog of Fishes: Genera, 1036 Species, References. 2020. Available online: https://researcharchive.calacademy.org/research/ichthyology/catalog/fishcatmain.asp (accessed on 7 July 2024).
- Cerdeira-Estrada, S.; Martell-Dubois, R.; Valdéz, J.; Ressl, R. Daily 1-km Satellite Nighttime Sea Surface Temperature (NSST) (L4-Blended, Daily, 1-km, Since 1-Oct-1981). Satellite-Based Ocean Monitoring System (SATMO). Marine-Coastal Information and Analysis System (SIMAR). CONABIO. México. 2020. Available online: https://simar.conabio.gob.mx/explorer/?satmo=nsst (accessed on 7 July 2024).
- Cerdeira-Estrada, S.; Martell-Dubois, R.; Valdéz, J.; Ressl, R. Daily 1-km Satellite Diffuse Attenuation Coefficient of the Downwelling Irradiance at 490 nm (KD490). Satellite-Based Ocean Monitoring System (SATMO). Marine-Coastal Information and Analysis System (SIMAR). CONABIO. México. 2018. Available online: https://simar.conabio.gob.mx/explorer/?satmo=nsst (accessed on 7 July 2024).
- Morel, A.; Huot, Y.; Gentili, B.; Werdell, P.J.; Hooker, S.B.; Franz, B.A. Examining the consistency of products derived from various ocean color sensors in open ocean (Case 1) waters in the perspective of a multi-sensor approach. Remote Sens. Environ. 2007, 111, 69–88. [Google Scholar] [CrossRef]
- Bruns, S.; Henderson, A.C. A baited remote underwater video system (BRUVS) assessment of elasmobranch diversity and abundance on the eastern Caicos Bank (Turks and Caicos Islands); an environment in transition. Environ. Biol. Fishes 2020, 103, 1001–1012. [Google Scholar] [CrossRef]
- Caballero-Aragón, H.; Armenteros, M.; Perera-Valderrama, S.; Martell-Dubois, R.; Rey-Villiers, N.; Rosique-de la Cruz, L.; Cerdeira-Estrada, S. Wave exposure and temperature drive coral community structure at regional scale in the Cuban archipelago. Coral Reefs 2022, 42, 43–61. [Google Scholar] [CrossRef]
- Anderson, M.J.; Gorley, R.N.; Clarke, K.R. PERMANOVA+ for PRIMER: Guide to Software and Statistical Methods; PRIMER-E Ltd.: Plymouth, UK, 2008. [Google Scholar]
- Clarke, K.R.; Gorley, R.N.; Somerfield, P.J.; Warwick, R.M. Change in Marine Communities: An Approach to Statistical Analysis and Interpretation, 3rd ed.; PRIMER-E: Plymouth, UK, 2014; Available online: http://plymsea.ac.uk/id/eprint/7656 (accessed on 7 July 2024).
- Tavares, R.A.T. Fishery biology of the Caribbean reef sharks, Carcharhinus perezi (Poey, 1876), in a Caribbean insular platform: Los Roques Archipelago National Park, Venezuela. Pan.-Am. J. Aquat. Sci. 2009, 4, 500–512. [Google Scholar]
- Bond, M.E.; Babcock, E.A.; Pikitch, E.K.; Abercrombie, D.L.; Lamb, N.F.; Chapman, D.D. Reef sharks exhibit site-fidelity and higher relative abundance in marine reserves on the Mesoamerican Barrier Reef. PLoS ONE 2012, 7, e32983. [Google Scholar] [CrossRef]
- Goetze, J.S.; Fullwood LA, F. Fiji’s largest marine reserve benefits reef sharks. Coral Reefs 2013, 32, 121–125. [Google Scholar] [CrossRef]
- Pejdo, D.; Kruschel, C.; Schultz, S.; Zubak, I.; Kanski, D.; Markov, M.; Peleš, P. Fish Monitoring in Kornati National Park: Baited, Remote, Underwater Video (BRUV) Versus Trammel Net Sampling. Pomor. Zb. 2016, 253–260. [Google Scholar] [CrossRef]
- Osgood, G.J.; McCord, M.E.; Baum, J.K. Using baited remote underwater videos (BRUVs) to characterize chondrichthyan communities in a global biodiversity hotspot. PLoS ONE 2019, 14, e0225859. [Google Scholar] [CrossRef] [PubMed]
- Bornt, K.; McLean, D.; Langlois, T.; Harvey, E.; Bellchambers, L.; Evans, S.; Newman, S. Targeted demersal fish species exhibit variable responses to long-term protection from fishing at the Houtman Abrolhos Islands. Coral Reefs 2015, 34, 1297–1312. [Google Scholar] [CrossRef]
- Coleman, M.A.; Bates, A.E.; Stuart-Smith, R.D.; Malcolm, H.A.; Harasti, D.; Jordan, A.; Knott, N.A.; Edgar, G.J.; Kelaher, B.P. Functional traits reveal early responses in marine reserves following protection from fishing. Divers. Distrib. 2015, 21, 876–887. [Google Scholar] [CrossRef]
- Whitmarsh, S.K.; Fairweather, P.G.; Huveneers, C. What is Big BRUVver up to? Methods and uses of baited underwater video. Rev. Fish. Biol. Fish. 2017, 27, 53–73. [Google Scholar] [CrossRef]
- Grorud-Colvert, K.; Sullivan-Stack, J.; Roberts, C.; Constant, V.; Horta e Costa, B.; Pike, E.P.; Kingston, N.; Laffoley, D.; Sala, E.; Claudet, J.; et al. The MPA guide: A framework to achieve global goals for the ocean. Science 2021, 373, eabf0861. [Google Scholar] [CrossRef]
- Pinna, M.; Zangaro, F.; Saccomanno, B.; Scalone, C.; Bozzeda, F.; Fanini, L.; Specchia, V. An overview of ecological indicators of fish to evaluate the anthropogenic pressures in aquatic ecosystems: From traditional to innovative DNA-based approaches. Water 2023, 15, 949. [Google Scholar] [CrossRef]
- Perisic, N.; Hickerson, L.; Helwitt, D.; Norwood, D.; Shipley, O.N.; Bervoets, T.; Gallagher, A.J. Reef fish biodiversity and occurrence of endangered sharks within a small marine protected area off Sint Maarten, Dutch Caribbean. Environ. Biol. Fishes 2024, 1–12. [Google Scholar] [CrossRef]
- Navarro-Martínez, Z.M.; Armenteros, M.; Espinosa, L.; Lake, J.J.; Apprill, A. Taxonomic and functional assemblage structure of coral reef fishes from Jardines de la Reina (Caribbean Sea, Cuba). Mar. Ecol. Prog. Ser. 2022, 690, 113–132. [Google Scholar] [CrossRef]
- Pina-Amargós, F.; González-Díaz, P.; González-Sansón, G.; Aguilar-Betancourt, C.; Rodríguez-Cueto, Y.; Olivera-Espinosa, Y.; Figueredo-Martín, T.; Rey-Villiers, N.; Barreto, R.A.; Cobián-Rojas, D.; et al. Status of Cuban Coral Reefs. In Coral Reefs of Cuba; Springer International Publishing: Cham, Switzerland, 2023; pp. 283–307. [Google Scholar]
- de la Guardia, E.; Cobián-Rojas, D.; Martínez-Daranas, B.; González-Díaz, P. Componentes más comunes de la flora y la fauna marina del Parque Nacional Cayos de San Felipe, Cuba. Rev. Investig. Mar. 2018, 38, 21–43. [Google Scholar]
- Navarro Martínez, Z. Ictiofauna Arrecifal de Punta Francés, Cuba: Estructura y Estado de Conservación en el Período 2011–2014. Master Dissertation, Centro de Investigaciones Marinas, Universidad de la Habana, La Habana, Cuba, 2015. [Google Scholar]
- González-Sansón, G.; Aguilar, C.; Hernández, I.; Cabrera, Y.; Curry, R.A. The influence of habitat and fishing on reef fish assemblages in Cuba. Gulf Caribb. Res. 2009, 21, 13–21. [Google Scholar] [CrossRef][Green Version]
- Schmitter-Soto, J.J.; Aguilar-Perera, A.; Cruz-Martínez, A.; Herrera-Pavón, R.L.; Morales-Aranda, A.A.; Cobián-Rojas, D. Interdecadal trends in composition, density, size, and mean trophic level of fish species and guilds before and after coastal development in the Mexican Caribbean. Biol. Conserv. 2017, 27, 459–474. [Google Scholar] [CrossRef]
- Lefcheck, J.S.; Innes-Gold, A.A.; Brandl, S.J.; Steneck, R.S.; Torres, R.E.; Rasher, D.B. Tropical fish diversity enhances coral reef functioning across multiple scales. Sci. Adv. 2019, 5, eaav6420. [Google Scholar] [CrossRef]
- Papastamatiou, Y.P.; Iosilevskii, G.; Di Santo, V.; Huveneers, C.; Hattab, T.; Planes, S.; Ballesta, L.; Mourier, J. Sharks surf the slope: Current updrafts reduce energy expenditure for aggregating marine predators. J. Anim. Ecol. 2021, 90, 2302–2314. [Google Scholar] [CrossRef]
- Steiner, P.A.; Michel MA RC, E.L.; O’Donnell, P.M. Effects of tidal current on the movement patterns of juvenile bull sharks and blacktip sharks. In American Fisheries Society Symposium; American Fisheries Society: Washington, DC, USA, 2007; Volume 50, p. 251. [Google Scholar]
- Beer, A.J.E. Diversity and Abundance of Sharks in No-Take and Fished Sites in the Marine Protected Area Network of Raja Ampat, West Papua, Indonesia, Using Baited Remote Underwater Video (BRUVs). Master Dissertation, University of Royal Roads, Victoria, BC, Canada, 2015. [Google Scholar]
- Spaet, J.L.Y.; Nanninga, G.B.; Berumen, M.L. Decline of shark populations in the Eastern Red Sea. Biol. Conserv. 2016, 201, 20–28. [Google Scholar] [CrossRef]
- Muñoz, R.C.; Burton, M.L. Comparison of video and diver observations of sharks from a fishery-independent trap-video survey off east-Central Florida, including utility of an alternative method of video analysis. Fish. Bull. 2019, 117, 87–96. [Google Scholar] [CrossRef]
- Murray, R.; Conales, S.; Araujo, G.; Labaja, J.; Snow, S.J.; Pierce, S.J.; Songco, A.; Ponzo, A. Tubbataha reefs Natural Park: The first comprehensive elasmobranch assessment reveals global hotspot for reef sharks. J. Asia-Pac. Biodivers 2019, 12, 49–56. [Google Scholar] [CrossRef]
- Callejas-Arrioja, A.V.; Jiménez, J.C.P. Categorías de conservación UICN para tiburones que se distribuyen en aguas del Golfo de México y Mar Caribe mexicanos. Bioagrociencias 2021, 14, 51–58. [Google Scholar] [CrossRef]
- Kilfoil, J.P.; Wirsing, A.J.; Campbell, M.D.; Kiszka, J.J.; Gastrich, K.R.; Heithaus, M.R.; Zhang, Y.; Bond, M.E. Baited Remote Underwater Video surveys undercount sharks at high densities: Insights from full-spherical camera technologies. Mar. Ecol. Prog. Ser. 2017, 585, 113–121. [Google Scholar] [CrossRef]
- MacNeil, M.A.; Chapman, D.D.; Heupel, M.; Simpfendorfer, C.A.; Heithaus, M.; Meekan, M.; Harvey, E.; Goetze, J.; Kiszka, J.; Bond, M.E.; et al. Global status and conservation potential of reef sharks. Nature 2020, 583, 801–806. [Google Scholar] [CrossRef] [PubMed]
- Ormond, R.; Gore, M.; Bladon, A.; Dubock, O.; Kohler, J.; Millar, C. Protecting Cayman Island Sharks: Monitoring, Movement and Motive Protegiendo a los Tiburones de las Islas de Caimán: Monitoreo, Movimiento y Motivo Protection des Requins aux Iles Cayman: Surveillance, Mouvement et Motivation. In Proceedings of the 69th Gulf and Caribbean Fisheries Institute, Grand Cayman, Cayman Islands, 7–11 November 2016. [Google Scholar]
- Simpfendorfer, C.A.; Heithaus, M.R.; Heupel, M.R.; MacNeil, M.A.; Meekan, M.; Harvey, E.; Sherman, C.S.; Currey-Randall, L.M.; Goetze, J.S.; Kiszka, J.J.; et al. Widespread diversity deficits of coral reef sharks and rays. Science 2023, 380, 1155–1160. [Google Scholar] [CrossRef] [PubMed]
- Perera-Valderrama, S.; González-Méndez, J.; Hernández-Ávila, A.; Estrada-Estrada, R.; Cobián-Rojas, D.; Ramón-Puebla, A.; de la Guardia-Llansó, E.; Ferro-Azcona, H.; Hernández-Albernas, J.; Hernández-González, Z.; et al. Coral Reefs in Cuban Marine-Protected Areas. In Coral Reefs of Cuba; Springer International Publishing: Cham, Switzerland, 2023; pp. 375–391. [Google Scholar]
- Bailey, D.M.; King, N.J.; Priede, I.G. Cameras and carcasses: Historical and current methods for using artificial food falls to study deep-water animals. Mar. Ecol. Prog. Ser. 2007, 350, 179–191. [Google Scholar] [CrossRef]
- Wraith, J.; Lynch, T.; Minchinton, T.E.; Broad, A.; Davis, A.R. Bait type affects fish assemblages and feeding guilds observed at baited remote underwater video stations. Mar. Ecol. Prog. Ser. 2013, 477, 189–199. [Google Scholar] [CrossRef]
- Last, P.R.; Naylor, G.J.P.; Séret, B.; White, W.T.; de Carvalho, M.R.; Stehmann, M.F.W. Rays of the World; CSIRO Publishing: Collingwood, Australia, 2016. [Google Scholar]
- Quiros, A.L. Tourist compliance to a code of conduct and the resulting effects on whale shark (Rhincodon typus) behavior in Donsol, Philippines. Fish. Res. 2007, 84, 102–108. [Google Scholar] [CrossRef]
- Smith, K.; Scarr, M.; Scarpaci, C. Grey nurse shark (Carcharias taurus) diving tourism: Tourist compliance and shark behaviour at Fish Rock, Australia. Env. Manag. 2010, 46, 699–710. [Google Scholar] [CrossRef]
- Cubero-Pardo, P.; Herrón, P.; González-Pérez, F. Shark reactions to scuba divers in two marine protected areas of the Eastern Tropical Pacific. Aquat. Conserv. Mar. Freshw. Ecosyst. 2011, 21, 239–246. [Google Scholar] [CrossRef]
- Baronio, M. The Use of a Micro Remotely Operated Vehicle as a Tool for Studies of Shark Behavior and diver Impact. Ph.D. Thesis, Southern Cross University, Lismore, Australia, 2012. [Google Scholar]
- Bradley, D.; Papastamatiou, Y.P.; Caselle, J.E. No persistent behavioral effects of SCUBA diving on reef sharks. Mar. Ecol. Prog. Ser. 2017, 567, 173–184. [Google Scholar] [CrossRef]
- Vignon, M.; Sasal, P.; Johnson, R.L.; Galzin, R. Impact of sharkfeeding tourism on surrounding fish populations off Moorea Island (French Polynesia). J. Fish. Biol. 2010, 163–169. [Google Scholar]
- González-Rodríguez, E.; Trasviña-Castro, A.; Ramos-Rodríguez, A. El Bajo de Espíritu Santo; punto caliente de abundancia biológica afuera de Bahía de La Paz. CICIMAR Oceánides. 2018, 33, 13–24. [Google Scholar]
- Zambrano, S.; Croquer, A.; Evangelista, D.Y.; King, S.; Delance, J.; Romero-Mujalli, D. Patrones espacio-temporales en la abundancia y biomasa de peces loro (Perciformes: Scaridae) en la costa norte de la República Dominicana. Novit. Caribaea 2024, 24, 19–36. [Google Scholar] [CrossRef]
- Pardo-Gandarillas, M.C.; Duarte, F.; Chong, J.; Ibáñez, C.M. Dieta de tiburones juveniles Prionace glauca (Linnaeus, 1758) (Carcharhiniformes: Carcharhinidae) en la zona litoral centro-sur de Chile. Rev. Biol. Mar. Oceanogr. 2007, 42, 365–369. [Google Scholar] [CrossRef]
- Torres Huerta, A. Distribución, Abundancia y Hábitos Alimentarios de Juveniles del Tiburón Martillo Sphyrna lewini Griffith y Smith (Sphyrnidae) en la Costa de Sinaloa, México Durante el Evento el niño 1997–1998. Master Dissertation, Universidad del Mar, Puerto Escondido, Mexico, 2004. Available online: http://localhost:8383/jspui/handle/123456789/867 (accessed on 20 December 2024).
- Valle-Pombrol, A.; Avila-Alonso, D.; Muñoz-Caravaca, A.; Cárdenas-Ortiz, R.; Castro-Rodríguez, D.J. Variación espacio-temporal del coeficiente de atenuación de la luz en la Bahía de Cienfuegos, Cuba. Rev. Investig. Mar. 2017, 37, 40–51. [Google Scholar]
- Chávez-Calderón, E. Movimientos y uso del Hábitat del Tiburón toro (Carcharhinus leucas) en el Estero Coyote, Guanacaste, Heredia, Costa Rica. Master’s Thesis, Universidad Nacional, Heredia, Costa Rica, 2017. [Google Scholar]
- Ortega Lori, A. Movement and Distribution of Juvenile Bull Sharks, Carcharhinus leucas, in Response to Water Quality and Quantity Modifications in a Florida Nursery. Master’s Thesis, University of South Florida, Tampa, FL, USA, 2008. Available online: https://digitalcommons.usf.edu/etd/436 (accessed on 20 December 2024).
- Reyier, E.; Ahr, B.; Iafrate, J.; Scheidt, D.; Lowers, R.; Watwood, S.; Back, B. Sharks associated with a large sand shoal complex: Community insights from longline and acoustic telemetry surveys. PLoS ONE 2023, 18, e0286664. [Google Scholar] [CrossRef]
- Meredith, T.L.; Kajiura, S.M. Olfactory morphology and physiology of elasmobranchs. J. Exp. Biol. 2010, 213, 3449–3456. [Google Scholar] [CrossRef]
- Yopak, K.E.; Lisney, T.J.; Collin, S.P. Not all sharks are “swimming noses”: Variation in olfactory bulb size in cartilaginous fishes. Brain Struct. Funct. 2015, 220, 1127–1143. [Google Scholar] [CrossRef]
- Gardiner, J.M.; Atema, J.; Hueter, R.E.; Motta, P.J. Multisensory integration and behavioral plasticity in sharks from different ecological niches. PLoS ONE 2014, 9, e93036. [Google Scholar] [CrossRef]
- Nalesso, E. Distribución Espacio-Temporal de los Tiburones Martillo, Sphyrna lewini, Alrededor de la Isla del Coco (2005–2013), Pacífico Tropical Oriental. Doctoral Dissertation, Tesis de Maestría, Centro de Investigación Científica y de Educación Superior, Baja California, México, 2014. [Google Scholar]









| Predictive variables | Biological | Prey abundance |
| Herbivore abundance | ||
| Invertivores’ abundance | ||
| Piscivores’ abundance | ||
| Piscivores/invertivores’ abundance | ||
| Planktivores abundance | ||
| Abiotic | AVE SST | |
| SD SST | ||
| AVE KD490 | ||
| SD KD490 | ||
| Depth | ||
| Distance to shore | ||
| Condition | Subsistence fishing and swimming sites | |
| Dive sites | ||
| Strict conservation sites | ||
| Conservation sites | ||
| Wall sites | ||
| Spur and groove sites | ||
| Sand sites | ||
| Rocky esplanade sites | ||
| Response variables | Biological | Mesopredators’ abundance |
| Sharks’ abundance | ||
| Big fish abundance | ||
| Mesopredator species composition |
| Scientific Name | Common Name | Abundance | Threatened Species ( ) |
|---|---|---|---|
| Ocyurus chrysurus | Yellowtail snapper | 4427 | |
| Caranx hippos | Crevalle jack | 1752 | |
| Caranx ruber | Bar jack | 547 | |
| Acanthurus coeruleus | Blue tang surgeonfish | 456 | |
| Scarus taeniopterus | Princess parrotfish | 352 | |
| Scarus iseri | Striped parrotfish | 338 | |
| Elagatis bipinnulata | Rainbow runner | 236 | |
| Haemulon flavolineatum | French grunt | 220 | |
| Mycteroperca venenosa | Yellowfin grouper | 200 | Near threatened |
| Sparisoma aurofrenatum | Redband p arrotfish | 174 | |
| Lutjanus apodus | Schoolmaster snapper | 163 | |
| Caranx latus | Horse-eye jack | 128 | |
| Carcharhinus perezii | Caribbean reef shark | 124 | Endangered |
| Cephalopholis cruentata | Graysby | 114 | |
| Epinephelus guttatus | Red hind | 99 | |
| Canthidermis sufflamen | Ocean triggerfish | 98 | |
| Sparisoma viride | Stoplight parrotfish | 94 | |
| Caranx crysos | Blue runner | 88 | |
| Scomberomorus regalis | Cero | 86 | |
| Sphyraena barracuda | Great barracuda | 81 | |
| Haemulon plumierii | White grunt | 81 | |
| Cephalopholis fulva | Coney | 79 | |
| Mycteroperca bonaci | Black grouper | 69 | Near threatened |
| Lutjanus mahogoni | Mahogany snapper | 68 | |
| Lutjanus analis | Mutton snapper | 60 | Near threatened |
| Mycteroperca tigris | Tiger grouper | 55 | |
| Haemulon sciurus | Bluestriped grunt | 49 | |
| Acanthurus chirurgus | Doctorfish | 49 | |
| Lutjanus jocu | Dog snapper | 41 | |
| Epinephelus striatus | Nassau grouper | 40 | Critically endangered |
| Lutjanus cyanopterus | Cubera snapper | 40 | Vulnerable |
| Haemulon parra | Sailor’s grunt | 35 | |
| Caranx bartholomaei | Yellow jack | 34 | |
| Trachinotus falcatus | Permit | 28 | |
| Calamus bajonado | Jolthead porgy | 28 | |
| Sparisoma chrysopterum | Redtail parrotfish | 25 | |
| Lachnolaimus maximus | Hogfish | 20 | Vulnerable |
| Mycteroperca interstitialis | Yellowmouth grouper | 17 | Vulnerable |
| Lutjanus griseus | Gray snapper | 16 | |
| Caranx lugubris | Black jack | 16 | |
| Calamus pennatula | Pluma porgy | 16 | |
| Decapterus punctatus | Round scad | 15 | |
| Gymnothorax funebris | Green moray | 12 | |
| Ginglymostoma cirratum | Nurse shark | 10 | Vulnerable |
| Scarus vetula | Queen parrotfish | 10 | |
| Hypanus americanus | Southern stingray | 8 | |
| Acanthurus bahianus | Ocean surgeon | 6 | |
| Epinephelus morio | Red grouper | 5 | Vulnerable |
| Gymnothorax moringa | Spotted moray | 5 | |
| Sparisoma rubripinne | Redfin parrotfish | 5 | |
| Pterois volitans/miles | Lionfish | 4 | |
| Aetobatus narinari | Whitespotted eagle ray | 3 | Endangered |
| Lutjanus synagris | Lane snapper | 3 | |
| Scomberomorus maculatus | Atlantic spanish mackerel | 3 | |
| Calamus calamus | Saucereye porgy | 3 | |
| Apsilus dentatus | Black snapper | 2 | |
| Acanthocybium solandri | Wahoo | 2 | |
| Calamus penna | Sheepshead porgy | 2 | |
| Anisotremus surinamensis | Black margate | 2 | |
| Sphyrna lewini | Scalloped hammerhead | 1 | Critically endangered |
| Urobatis jamaicensis | Yellow stingray | 1 | |
| Seriola rivoliana | Almaco jack | 1 | |
| Haemulon melanurum | Cottonwick grunt | 1 |
| Source | P(perm) | Unique | VC |
|---|---|---|---|
| Perms | |||
| Mesopredators’ abundance | 0.0001 | 9735 | 43 |
| Sharks’ abundance | 0.0001 | 9290 | 50.3 |
| Big fish abundance | 0.0013 | 9595 | 34.4 |
| Mesopredator species composition | 0.0001 | 9901 | 37.6 |
| Response Variable | Predictive Variables | P | R2 | Cumul. |
|---|---|---|---|---|
| Mesopredator abundance | Subsistence fishing and swimming sites | 0.001 | 0.13 | 0.17 |
| Sharks’ abundance | Strict conservation sites | 0 | 0.18 | |
| Conservation sites | 0.004 | 0.07 | 0.3 | |
| Big fish abundance | Dive sites | 0 | 0.15 | 0.18 |
Disclaimer/Publisher’s Note: The statements, opinions and data contained in all publications are solely those of the individual author(s) and contributor(s) and not of MDPI and/or the editor(s). MDPI and/or the editor(s) disclaim responsibility for any injury to people or property resulting from any ideas, methods, instructions or products referred to in the content. |
© 2025 by the authors. Licensee MDPI, Basel, Switzerland. This article is an open access article distributed under the terms and conditions of the Creative Commons Attribution (CC BY) license (https://creativecommons.org/licenses/by/4.0/).
Share and Cite
Cobián-Rojas, D.; Angulo-Valdés, J.; Chevalier-Monteagudo, P.P.; García-López, L.V.; Perera-Valderrama, S.; Hernández-Albernas, J.I.; Caballero-Aragón, H. Using Baited Remote Underwater Video Surveys (BRUVs) to Analyze the Structure of Predators in Guanahacabibes National Park, Cuba. Fishes 2025, 10, 169. https://doi.org/10.3390/fishes10040169
Cobián-Rojas D, Angulo-Valdés J, Chevalier-Monteagudo PP, García-López LV, Perera-Valderrama S, Hernández-Albernas JI, Caballero-Aragón H. Using Baited Remote Underwater Video Surveys (BRUVs) to Analyze the Structure of Predators in Guanahacabibes National Park, Cuba. Fishes. 2025; 10(4):169. https://doi.org/10.3390/fishes10040169
Chicago/Turabian StyleCobián-Rojas, Dorka, Jorge Angulo-Valdés, Pedro Pablo Chevalier-Monteagudo, Lázaro Valentín García-López, Susana Perera-Valderrama, Joán Irán Hernández-Albernas, and Hansel Caballero-Aragón. 2025. "Using Baited Remote Underwater Video Surveys (BRUVs) to Analyze the Structure of Predators in Guanahacabibes National Park, Cuba" Fishes 10, no. 4: 169. https://doi.org/10.3390/fishes10040169
APA StyleCobián-Rojas, D., Angulo-Valdés, J., Chevalier-Monteagudo, P. P., García-López, L. V., Perera-Valderrama, S., Hernández-Albernas, J. I., & Caballero-Aragón, H. (2025). Using Baited Remote Underwater Video Surveys (BRUVs) to Analyze the Structure of Predators in Guanahacabibes National Park, Cuba. Fishes, 10(4), 169. https://doi.org/10.3390/fishes10040169

