YOLO-DCRCF: An Algorithm for Detecting the Wearing of Safety Helmets and Gloves in Power Grid Operation Environments
Abstract
1. Introduction
- By introducing the second version of the deformable convolutional network (DCNv2), additional deformable transformation layers are stacked to further enhance the geometric transformation modeling capabilities of the entire YOLOv11 network, thereby better adapting to variations in the scale, posture, and viewpoint of the detection objects.
- This paper designs a recalibrated feature pyramid (RCF) network that promotes the transfer of information between features by introducing a bidirectional fusion mechanism between high- and low-resolution features, further improving the effect of multi-scale feature fusion. Combined with an adaptive attention mechanism, the RCF network dynamically adjusts feature weights based on feature maps of different resolutions and content, finely delineating object contours and recalibrating object positions through the selective aggregation of boundary and semantic information, accurately capturing the multi-scale features of the target.
- A specialized dataset for safety helmet and glove wearing detection (SHAGWD) is constructed, and the effectiveness and reliability of the YOLO-DCRCF model are verified on data from diverse scenes. Experimental results indicate that the model can stably perform safety helmet and glove wearing detection in power grid operation environments, providing a new technical solution for the field of power grid operation safety monitoring.
2. Related Work
3. Dataset
4. Algorithm Principles and Improvements
4.1. YOLO-DCRCF
4.2. Deformable Convolutional Network Version 2 (DCNv2)
4.3. RCF (Recalibrated Feature) Network
5. Experimental Section
5.1. Experimental Details
- Input image size: 640 × 640;
- Training epochs: 300 complete iterations over the training dataset;
- Batch size: 32 images per batch;
- Data loading threads: 8 workers used to accelerate data reading and preprocessing;
- Optimizer: stochastic gradient descent (SGD).
5.2. Experiment and Analysis on the Public Safety Helmet Wearing Dataset (SHWD)
- In comparison with the baseline YOLO11 model, the YOLO-DCRCF model, proposed in the present study, demonstrated improvements of 0.7% in precision, 0.9% in recall, 1.1% in mAP50, and 2.1% in mAP50-95.
- Although the YOLO-DCRCF model exhibited lower precision than YOLO13, it surpassed YOLO13 in all other metrics, demonstrating that the proposed algorithm is better suited for applications such as safety monitoring, thus confirming its superior performance.
5.3. Safety Helmet and Gloves Wearing Dataset (SHAGWD) Experiment and Analysis
5.4. Ablation Experiment
- Relative to the baseline YOLO11 model, the YOLO11-DCNv2 model exhibited a 0.5% reduction in recall while demonstrating enhancements of 0.5% in precision, 0.4% in mAP50, and 1.1% in mAP50-95. These findings confirm that integrating convolutional layers with offset learning capabilities into the YOLO11 network facilitates sampling control across a wider range of feature levels; moreover, the incorporation of a modulation mechanism further strengthens the network’s capacity to manipulate spatial support regions.
- Relative to the baseline YOLO11 model, the YOLO11-RCF model exhibited a 0.1% reduction in recall while demonstrating enhancements of 0.7% in precision, 0.4% in mAP50, and 0.7% in mAP50-95. These findings confirm that the YOLO11-RCF model, through the integration of the Selective Boundary Aggregation (SBA) module, effectively aggregates boundary and semantic information, thereby enhancing multi-scale feature fusion and improving overall model performance.
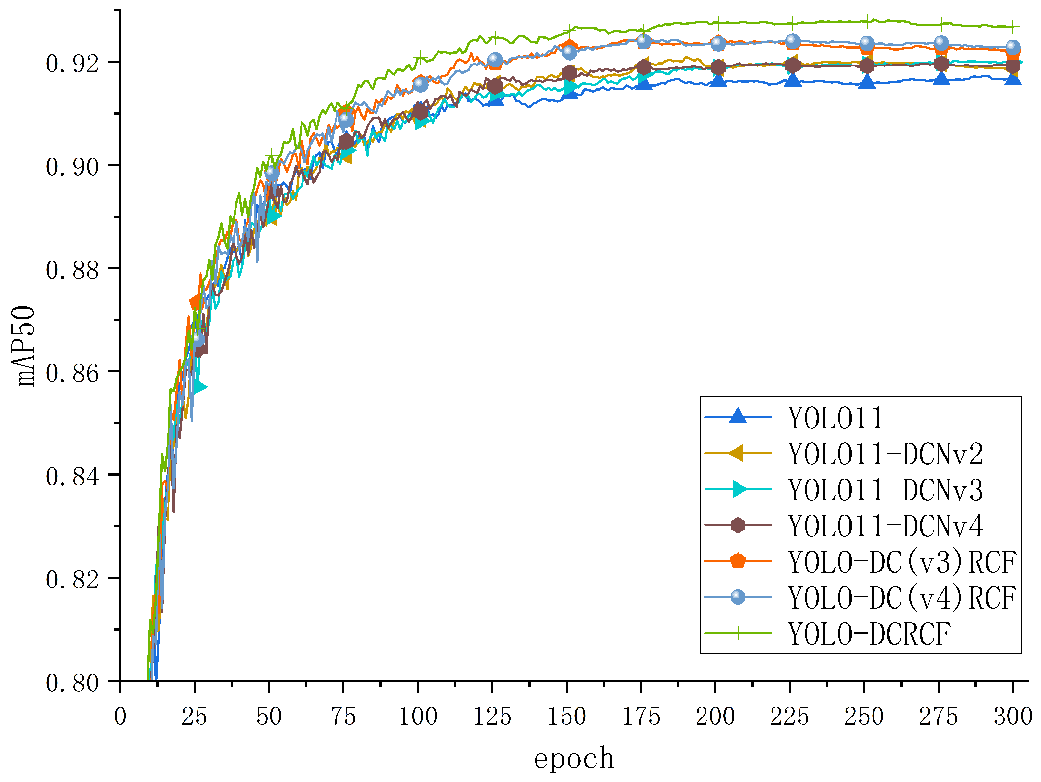
- Relative to the baseline YOLO11 model, the networks integrating deformable convolution exhibited higher mAP50 values, with comparable convergence curves across all three versions, confirming that the integration of deformable convolution into YOLO11 improved model performance.
- The integration of the RCF structure into the three versions of deformable convolution networks further enhanced mAP50 performance, with the YOLO-DCRCF model surpassing the YOLO-DC(v3)RCF and YOLO-DC(v4)RCF models in the convergence curves, confirming that the second version of deformable convolution was more compatible with the RCF network.
- For DCNv2, compared with the baseline model, YOLO11-DCNv2 achieved improvements of 1.4% in precision, 0.7% in recall, and 1.1% in mAP50. However, there was a decrease of 0.2% in mAP50-95, which can be attributed to overfitting to certain features during the training process caused by the introduction of deformable convolutions in DCNv2.
- For RCF, compared with the baseline model, YOLO11-RCF yielded improvements of 1.5% in precision, 1.8% in recall, and 1.4% in mAP50. Nevertheless, there was a decrease of 0.3% in mAP50-95, which was due to the prediction bounding box offsets at high IoU thresholds leading to a decline in mAP50-95.
- By integrating DCNv2 and RCF, compared with the baseline model, YOLO-DCRCF showed improvements across all metrics, demonstrating that the two modules proposed in this paper are suitable for YOLO11, reflecting the excellent robustness and effectiveness of YOLO-DCRCF.
6. Conclusions
Author Contributions
Funding
Institutional Review Board Statement
Informed Consent Statement
Data Availability Statement
Conflicts of Interest
References
- Bharati, P.; Pramanik, A. Deep learning techniques—R-CNN to mask R-CNN: A survey. In Computational Intelligence in Pattern Recognition of CIPR 2019; Springer: Singapore, 2020; pp. 657–668. [Google Scholar]
- Dai, J.; Li, Y.; He, K.; Sun, J. R-FCN: Object detection via region-based fully convolutional networks. In Proceedings of the Advances in Neural Information Processing Systems (NeurIPS 29), Barcelona, Spain, 5–10 December 2016. [Google Scholar]
- Zhai, S.; Shang, D.; Wang, S.; Dong, S. DF-SSD: An improved SSD object detection algorithm based on DenseNet and feature fusion. IEEE Access 2020, 8, 24344–24357. [Google Scholar] [CrossRef]
- Jiang, P.; Ergu, D.; Liu, F.; Cai, Y.; Ma, B. A Review of Yolo algorithm developments. Procedia Comput. Sci. 2022, 199, 1066–1073. [Google Scholar] [CrossRef]
- Liu, C.; Tao, Y.; Liang, J.; Li, K.; Chen, Y. Object detection based on YOLO network. In Proceedings of the 2018 IEEE 4th Information Technology and Mechatronics Engineering Conference (ITOEC), Chongqing, China, 14–16 December 2018; pp. 799–803. [Google Scholar]
- Chen, W.; Huang, H.; Peng, S.; Zhou, C.; Zhang, C. YOLO-face: A real-time face detector. Vis. Comput. 2021, 37, 805–813. [Google Scholar] [CrossRef]
- Zhou, F.; Zhao, H.; Nie, Z. Safety helmet detection based on YOLOv5. In Proceedings of the 2021 IEEE International Conference on Power Electronics, Computer Applications (ICPECA), Shenyang, China, 22–24 January 2021; pp. 6–11. [Google Scholar]
- Li, Y.; Wei, H.; Han, Z.; Huang, J.; Wang, W. Deep learning-based safety helmet detection in engineering management based on convolutional neural networks. Adv. Civ. Eng. 2020, 2020, 9703560. [Google Scholar] [CrossRef]
- Fan, Z.; Wu, Y.; Liu, W.; Chen, M.; Qiu, Z. Lg-yolov8: A lightweight safety helmet detection algorithm combined with feature enhancement. Appl. Sci. 2024, 14, 10141. [Google Scholar] [CrossRef]
- Lin, B. Safety helmet detection based on improved YOLOv8. IEEE Access 2024, 12, 28260–28272. [Google Scholar] [CrossRef]
- Fang, Q.; Li, H.; Luo, X.; Ding, L.; Luo, H.; Rose, T.M.; An, W. Detecting non-hardhat-use by a deep learning method from far-field surveillance videos. Autom. Constr. 2018, 85, 1–9. [Google Scholar] [CrossRef]
- Chen, W.; Li, C.; Guo, H. A lightweight face-assisted object detection model for welding helmet use. Expert Syst. Appl. 2023, 221, 119764. [Google Scholar] [CrossRef]
- Wu, J.; Cai, N.; Chen, W.; Wang, H.; Wang, G. Automatic detection of hardhats worn by construction personnel: A deep learning approach and benchmark dataset. Autom. Constr. 2019, 106, 102894. [Google Scholar] [CrossRef]
- Wang, J.; Sang, B.; Zhang, B.; Liu, W. A Safety Helmet Detection Model Based on YOLOv8-ADSC in Complex Working Environments. Electronics 2024, 13, 4589. [Google Scholar] [CrossRef]
- Yang, G.; Hong, X.; Sheng, Y.; Sun, L. YOLO-Helmet: A novel algorithm for detecting dense small safety helmets in construction scenes. IEEE Access 2024, 12, 107170–107180. [Google Scholar] [CrossRef]
- Jin, P.; Li, H.; Yan, W.; Xu, J. YOLO-ESCA: A high-performance safety helmet standard wearing behavior detection model based on improved YOLOv5. IEEE Access 2024, 12, 23854–23868. [Google Scholar] [CrossRef]
- Zhang, Q.; Li, Y.; Zhang, Z.; Yin, S.; Ma, L. Marine target detection for PPI images based on YOLO-SWFormer. Alex. Eng. J. 2023, 82, 396–403. [Google Scholar] [CrossRef]
- Cheng, L. A Highly robust helmet detection algorithm based on YOLO V8 and Transformer. IEEE Access 2024, 12, 130693–130705. [Google Scholar] [CrossRef]
- Liu, X.; Zhang, B.; Liu, N. CAST-YOLO: An improved YOLO based on a cross-attention strategy transformer for foggy weather adaptive detection. Appl. Sci. 2023, 13, 1176. [Google Scholar] [CrossRef]
- Huang, J.; Wang, K.; Hou, Y.; Wang, J. LW-YOLO11: A Lightweight Arbitrary-Oriented Ship Detection Method Based on Improved YOLO11. Sensors 2024, 25, 65. [Google Scholar] [CrossRef] [PubMed]
- Zhu, X.; Hu, H.; Lin, S.; Dai, J. Deformable convnets v2: More deformable, better results. In Proceedings of the IEEE/CVF Conference on Computer Vision and Pattern Recognition, Long Beach, CA, USA, 15–20 June 2019; pp. 9308–9316. [Google Scholar]
- Gan, Y.; Xu, W.; Su, J. SFPN: Semantic feature pyramid network for object detection. In Proceedings of the 2020 25th International Conference on Pattern Recognition (ICPR), Milan, Italy, 10–15 January 2021; pp. 795–802. [Google Scholar]
- Dai, J.; Qi, H.; Xiong, Y.; Li, Y.; Zhang, G.; Hu, H.; Wei, Y. Deformable convolutional networks. In Proceedings of the IEEE International Conference on Computer Vision (ICCV), Venice, Italy, 22–29 October 2017; pp. 764–773. [Google Scholar]
- Wang, Q.; Qian, Y.; Hu, Y.; Wang, C.; Ye, X.; Wang, H. M2YOLOF: Based on effective receptive fields and multiple-in-single-out encoder for object detection. Expert Syst. Appl. 2023, 213, 118928. [Google Scholar] [CrossRef]
- Tang, Z.; Tian, E.; Wang, Y.; Wang, L.; Yang, T. Nondestructive defect detection in castings by using spatial attention bilinear convolutional neural network. IEEE Trans. Ind. Inform. 2020, 17, 82–89. [Google Scholar] [CrossRef]











| Experimental Environment | Environment Configuration |
|---|---|
| Operating systems | Win11 |
| CPU | Ryzen 9 7950X |
| Video Cards | GeForce RTX 4090 |
| RAM | 64 GB |
| Storage | 2 TB SSD |
| Programming Languages | Python 3.10 |
| Framework | Pytorch 2.0.1 |
| Model | Precision | Recall | mAP50 | mAP50-95 | Inference (ms) | FLOPs (G) |
|---|---|---|---|---|---|---|
| YOLOv5 | 0.906 | 0.870 | 0.913 | 0.583 | 2.0 | 5.8 |
| YOLOv8 | 0.897 | 0.866 | 0.910 | 0.578 | 1.7 | 6.8 |
| YOLO11 | 0.902 | 0.876 | 0.916 (±0.0115) | 0.585 (±0.0106) | 1.7 | 6.3 |
| YOLO12 | 0.907 | 0.861 | 0.914 | 0.591 | 2.6 | 6.1 |
| YOLO13 | 0.916 | 0.851 | 0.910 | 0.586 | 2.9 | 6.1 |
| YOLO-DCRCF | 0.909 | 0.885 | 0.927 (±0.0133) | 0.606 (±0.0.0107) | 2.9 | 13.4 |
| Model | Precision | Recall | mAP50 | mAP50-95 |
|---|---|---|---|---|
| YOLOv5 | 0.836 | 0.701 | 0.757 | 0.442 |
| YOLOv8 | 0.840 | 0.730 | 0.772 | 0.461 |
| YOLO11 | 0.851 | 0.723 | 0.769 | 0.464 |
| YOLO12 | 0.787 | 0.734 | 0.748 | 0.437 |
| YOLO13 | 0.771 | 0.683 | 0.715 | 0.425 |
| YOLO-DCRCF | 0.890 | 0.743 | 0.796 | 0.472 |
| Model | Precision | Recall | mAP50 | mAP50-95 | Inference (ms) | FLOPs (G) |
|---|---|---|---|---|---|---|
| YOLO11 | 0.902 | 0.876 | 0.916 | 0.585 | 1.7 | 6.3 |
| YOLO11-DCNv2 | 0.907 | 0.871 | 0.920 | 0.596 | 2.3 | 6.3 |
| YOLO11-RCF | 0.909 | 0.875 | 0.920 | 0.592 | 2.8 | 13.5 |
| YOLO-DCRCF | 0.909 | 0.885 | 0.927 | 0.606 | 2.9 | 13.4 |
| Model | Precision | Recall | mAP50 | mAP50-95 |
|---|---|---|---|---|
| YOLO11 | 0.902 | 0.876 | 0.916 | 0.585 |
| YOLO11-DCNv2 | 0.907 | 0.871 | 0.920 | 0.596 |
| YOLO11-DCNv3 | 0.910 | 0.871 | 0.914 | 0.585 |
| YOLO11-DCNv4 | 0.910 | 0.871 | 0.919 | 0.598 |
| YOLO-DC(v3)RCF | 0.910 | 0.877 | 0.920 | 0.597 |
| YOLO-DC(v4)RCF | 0.910 | 0.871 | 0.919 | 0.598 |
| YOLO11-RCF | 0.917 | 0.875 | 0.924 | 0.608 |
| YOLO-DCRCF | 0.909 | 0.885 | 0.927 | 0.606 |
| Model | Precision | Recall | mAP50 | mAP50-95 |
|---|---|---|---|---|
| YOLO11 | 0.851 | 0.723 | 0.769 | 0.464 |
| YOLO11-DCNv2 | 0.865 | 0.730 | 0.780 | 0.462 |
| YOLO11-RCF | 0.866 | 0.741 | 0.783 | 0.461 |
| YOLO-DCRCF | 0.890 | 0.743 | 0.796 | 0.472 |
Disclaimer/Publisher’s Note: The statements, opinions and data contained in all publications are solely those of the individual author(s) and contributor(s) and not of MDPI and/or the editor(s). MDPI and/or the editor(s) disclaim responsibility for any injury to people or property resulting from any ideas, methods, instructions or products referred to in the content. |
© 2025 by the authors. Licensee MDPI, Basel, Switzerland. This article is an open access article distributed under the terms and conditions of the Creative Commons Attribution (CC BY) license (https://creativecommons.org/licenses/by/4.0/).
Share and Cite
Zhao, J.; Yang, Z.; Li, B.; Zhao, Y. YOLO-DCRCF: An Algorithm for Detecting the Wearing of Safety Helmets and Gloves in Power Grid Operation Environments. J. Imaging 2025, 11, 320. https://doi.org/10.3390/jimaging11090320
Zhao J, Yang Z, Li B, Zhao Y. YOLO-DCRCF: An Algorithm for Detecting the Wearing of Safety Helmets and Gloves in Power Grid Operation Environments. Journal of Imaging. 2025; 11(9):320. https://doi.org/10.3390/jimaging11090320
Chicago/Turabian StyleZhao, Jinwei, Zhi Yang, Baogang Li, and Yubo Zhao. 2025. "YOLO-DCRCF: An Algorithm for Detecting the Wearing of Safety Helmets and Gloves in Power Grid Operation Environments" Journal of Imaging 11, no. 9: 320. https://doi.org/10.3390/jimaging11090320
APA StyleZhao, J., Yang, Z., Li, B., & Zhao, Y. (2025). YOLO-DCRCF: An Algorithm for Detecting the Wearing of Safety Helmets and Gloves in Power Grid Operation Environments. Journal of Imaging, 11(9), 320. https://doi.org/10.3390/jimaging11090320
