Nonthermal Equilibrium Process of Charge Carrier Extraction in Metal/Insulator/Organic Semiconductor/Metal (MIOM) Junction
Abstract
1. Introduction

2. Concept of NTE Process of Charge Extraction
3. Experimental Evidences of NTE Charge Extraction
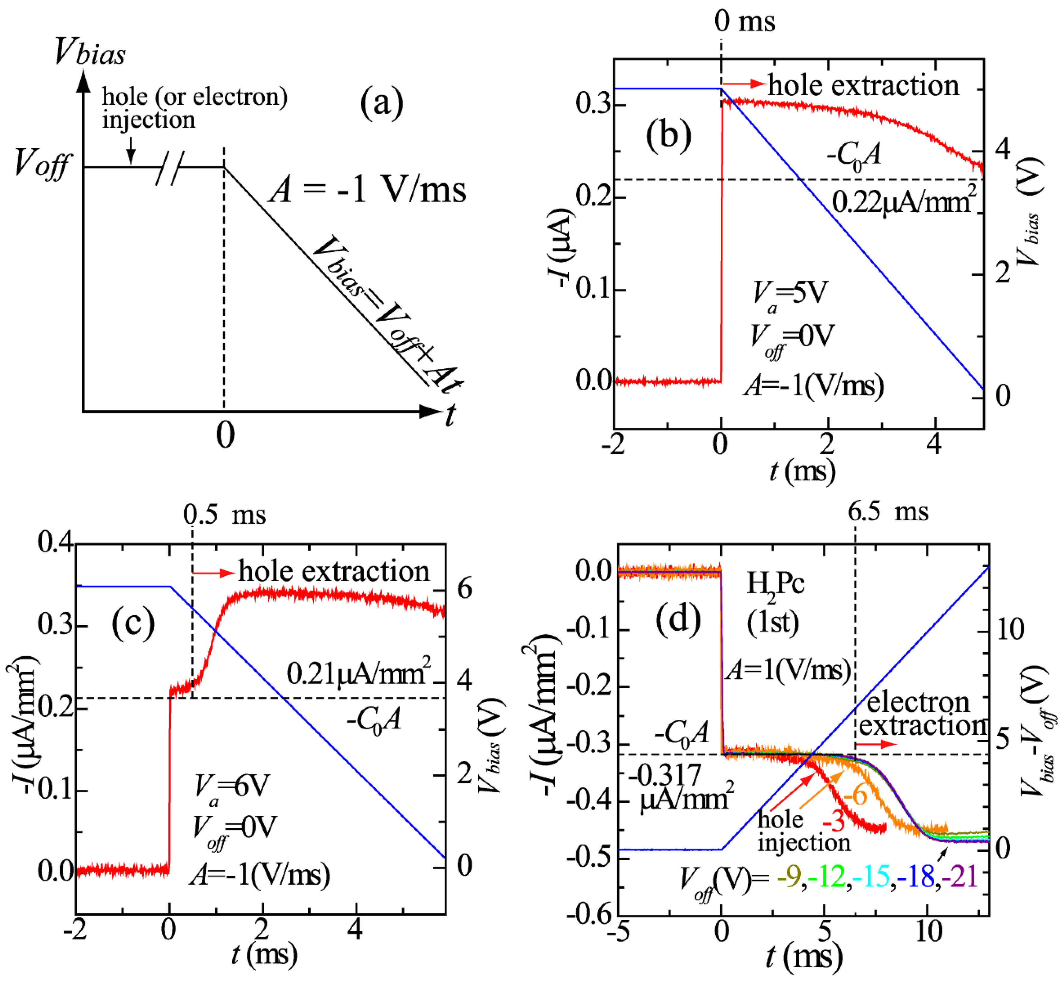
3.1. Displacement Current Measurement
3.2. Accumulated Charge Measurement
4. Conclusions
Author Contributions
Funding
Data Availability Statement
Conflicts of Interest
References
- Horowits, G. Organic Field-effect transistors. Adv. Mater. 1999, 10, 365–377. [Google Scholar] [CrossRef]
- Sirringhaus, H. Organic Field-effect transistors. The pass beyond amorphous silicon. Adv. Mater. 2014, 26, 1319–1335. [Google Scholar] [CrossRef] [PubMed]
- Lamport, Z.A.; Haneef, H.F.; Anand, S.; Waldrip, M.; Jurchescu, O.D. Tutorial: Organic field-effect transistors: Material, structure and operation. J. Appl. Phys. 2018, 8, 071101. [Google Scholar] [CrossRef]
- Sze, S.M.; Ng, K.K. Physics of Semiconductor Devices, 3rd ed.; John Wiley & Sons, Inc.: Hoboken, NJ, USA, 2007. [Google Scholar]
- Kim, S.; Yoo, H.; Choi, J. Effects of charge traps on hysteresis in organic field-effect transistors and their charge trap cause analysis through causal inference techniques. Sensor 2023, 23, 2265. [Google Scholar] [CrossRef] [PubMed]
- Egginger, M.; Bauer, S.; Schwdiauer, R.; Neugebauer, H.; Sariciftci, N.S. Current versus gate voltage hysteresis in organic field effect transistors. Mon. Chem. 2009, 140, 735–750. [Google Scholar] [CrossRef]
- Park, Y.; Baeg, K.; Kim, C. Solution-processed nonvolatile organic transistor memory based on semiconductor blend. ACS Appl. Mater. Interfaces 2019, 11, 8327–8336. [Google Scholar] [CrossRef] [PubMed]
- Wang, W.V.; Zhang, Y.; Li, X.; Chen, Z.; Wu, Z.; Zhang, L.; Lin, Z.; Zhang, H. High performance nonvolatile organic field-effect transistor memory devices based on pyrene diimide derivative. InfoMat 2021, 3, 814–822. [Google Scholar] [CrossRef]
- Yu, T.; Liu, Z.; Wang, Y.; Zhang, L.; Hou, S.; Wan, Z.; Yin, J.; Gao, X.; Wu, L.; Xia, Y.; et al. Deep-trap dominated degradation of the endurance characteristics in OFET memory with polymer charge-trapping layer. Sci. Rep. 2023, 13, 5865. [Google Scholar] [CrossRef]
- Park, S.; Kim, S.H.; Choi, H.H.; Kang, B.; Cho, K. Recent advances in the bias stress stability of organic transistors. Adv. Funct. Mater. 2020, 30, 1904590. [Google Scholar] [CrossRef]
- Hu, Y.; Zheng, L.; Li, J.; Huang, Y.; Wang, Z.; Lu, X.; Yu, L.; Wang, S.; Sun, Y.; Ding, S.; et al. Organic phase-change memory transistor based on an organic semiconductor with reversible molecular conformation transition. Adv. Sci. 2023, 10, 2205694. [Google Scholar] [CrossRef]
- Oda, T.; Yamaguchi, K.; Kadoya, T.; Tajima, H. Measurement of electron injection barriers in OS/Au (OS = phthalocyanine and pentacene) using accumulated charge measurement. Org. Electron. 2023, 120, 106827. [Google Scholar] [CrossRef]
- Tajima, H.; Kadoya, T.; Yamaguchi, K.; Omura, Y.; Oda, T.; Ogino, A. Thermal and non-thermal equilibrium processes of charge extraction in accumulated charge measurement (ACM). J. Appl. Phys. 2021, 130, 195501. [Google Scholar] [CrossRef]
- Tajima, H.; Miyao, F.; Mizukoshi, M.; Sato, S. Determination of charge injection barrier using the displacement current measurement technique. Org. Electron. 2016, 34, 193–199. [Google Scholar] [CrossRef]
- Kadoya, T.; Otsuka, M.; Ogino, A.; Sato, S.; Yokomatsu, T.; Maenaka, K.; Yamada, J.; Tajima, H. Estimation of charge-Injection barriers at the metal/Pentacene interface through accumulated charge measurement. J. Phys. Chem. C 2017, 121, 2882–2888. [Google Scholar] [CrossRef]
- Tajima, H.; Yoshida, K.; Sato, S.; Kadoya, T.; Yamada, J. Estimation of the charge injection barrier at a metal/organic semiconductor interface based on accumulated charge measurement: The effect of offset bias voltages. J. Phys. Chem. C 2017, 121, 14725–14730. [Google Scholar] [CrossRef]
- Tajima, H.; Yasukawa, N.; Nakatani, H.; Sato, S.; Kadoya, T.; Yamada, J. Estimation of hole injection barrier at the poly-3(hexylthiophene)/metal interface using accumulated charge measurement. Org. Electron. 2017, 51, 162–167. [Google Scholar] [CrossRef]
- Tanimura, T.; Tajima, H.; Ogino, A.; Miyamoto, Y.; Kadoya, T.; Komino, T.; Yokomatsu, T.; Maenaka, K.; Ikemoto, Y. Accumulated charge measurement using a substrate with a restricted-bottom-electrode structure. Org. Electron. 2019, 74, 251–257. [Google Scholar] [CrossRef]
- Shimomoto, S.; Kadoya, T.; Tanimura, T.; Maenaka, K.; Yokomatsu, T.; Komino, T.; Tajima, H. Accumulated charge measurement: Control of the interfacial depletion layer by offset voltage and estimation of band gap and electron injection barrier. J. Phys. Chem. C 2021, 125, 1990–1998. [Google Scholar] [CrossRef]
- Ishii, H.; Sugiyama, K.; Ito, E.; Seki, K. Energy Level Alignment and Interfacial Electronic Structures at Organic/Metal and Organic/Organic Interfaces. Adv. Mater. 1999, 11, 605–625. [Google Scholar] [CrossRef]
- Hill, I.G.; Milliron, D.; Schwartz, J.; Kahn, A. Organic semiconductor interfaces: Electronic structure and transport properties. Appl. Surf. Sci. 2000, 166, 354. [Google Scholar] [CrossRef]
- Adachi, C.; Oyamada, T.; Nakajima, Y. Data Book on Work Function of Organic-Thin Films, 2nd ed.; CMC International: Tokyo, Japan, 2006. [Google Scholar]
- Kirihata, H.; Uda, M. Externally quenched air counter for low-energy electron emission measurements. Rev. Sci. Instrum. 1981, 52, 68–70. [Google Scholar] [CrossRef]
- Zahn, D.R.T.; Gavrila, G.N.; Georgoi, M. The transport gap of organic semiconductors studied using the combination of direct and inverse photoemission. Chem. Phys. 2006, 325, 99–112. [Google Scholar] [CrossRef]
- Yoshida, H. Near-ultraviolet inverse photoemission spectroscopy using ultra-lowenergy electrons. Chem. Phys. Lett. 2012, 180, 539–540. [Google Scholar]




Disclaimer/Publisher’s Note: The statements, opinions and data contained in all publications are solely those of the individual author(s) and contributor(s) and not of MDPI and/or the editor(s). MDPI and/or the editor(s) disclaim responsibility for any injury to people or property resulting from any ideas, methods, instructions or products referred to in the content. |
© 2023 by the authors. Licensee MDPI, Basel, Switzerland. This article is an open access article distributed under the terms and conditions of the Creative Commons Attribution (CC BY) license (https://creativecommons.org/licenses/by/4.0/).
Share and Cite
Tajima, H.; Oda, T.; Kadoya, T. Nonthermal Equilibrium Process of Charge Carrier Extraction in Metal/Insulator/Organic Semiconductor/Metal (MIOM) Junction. Magnetochemistry 2023, 9, 180. https://doi.org/10.3390/magnetochemistry9070180
Tajima H, Oda T, Kadoya T. Nonthermal Equilibrium Process of Charge Carrier Extraction in Metal/Insulator/Organic Semiconductor/Metal (MIOM) Junction. Magnetochemistry. 2023; 9(7):180. https://doi.org/10.3390/magnetochemistry9070180
Chicago/Turabian StyleTajima, Hiroyuki, Takeshi Oda, and Tomofumi Kadoya. 2023. "Nonthermal Equilibrium Process of Charge Carrier Extraction in Metal/Insulator/Organic Semiconductor/Metal (MIOM) Junction" Magnetochemistry 9, no. 7: 180. https://doi.org/10.3390/magnetochemistry9070180
APA StyleTajima, H., Oda, T., & Kadoya, T. (2023). Nonthermal Equilibrium Process of Charge Carrier Extraction in Metal/Insulator/Organic Semiconductor/Metal (MIOM) Junction. Magnetochemistry, 9(7), 180. https://doi.org/10.3390/magnetochemistry9070180

