The Adsorption Performance of Porous Activated Carbons Prepared from Iron (II) Precursors Precipitated on the Porous Carbon Matrix Thermolysis
Abstract
1. Introduction
2. Materials and Methods
2.1. Synthesis of the Magnetic Adsorbent
2.2. Porous Structure Research
2.3. Phenol and Nitrobenzene Adsorption from Aqueous Medium
3. Results and Discussion
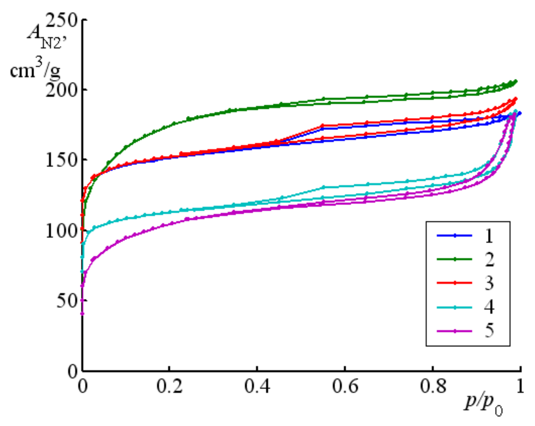
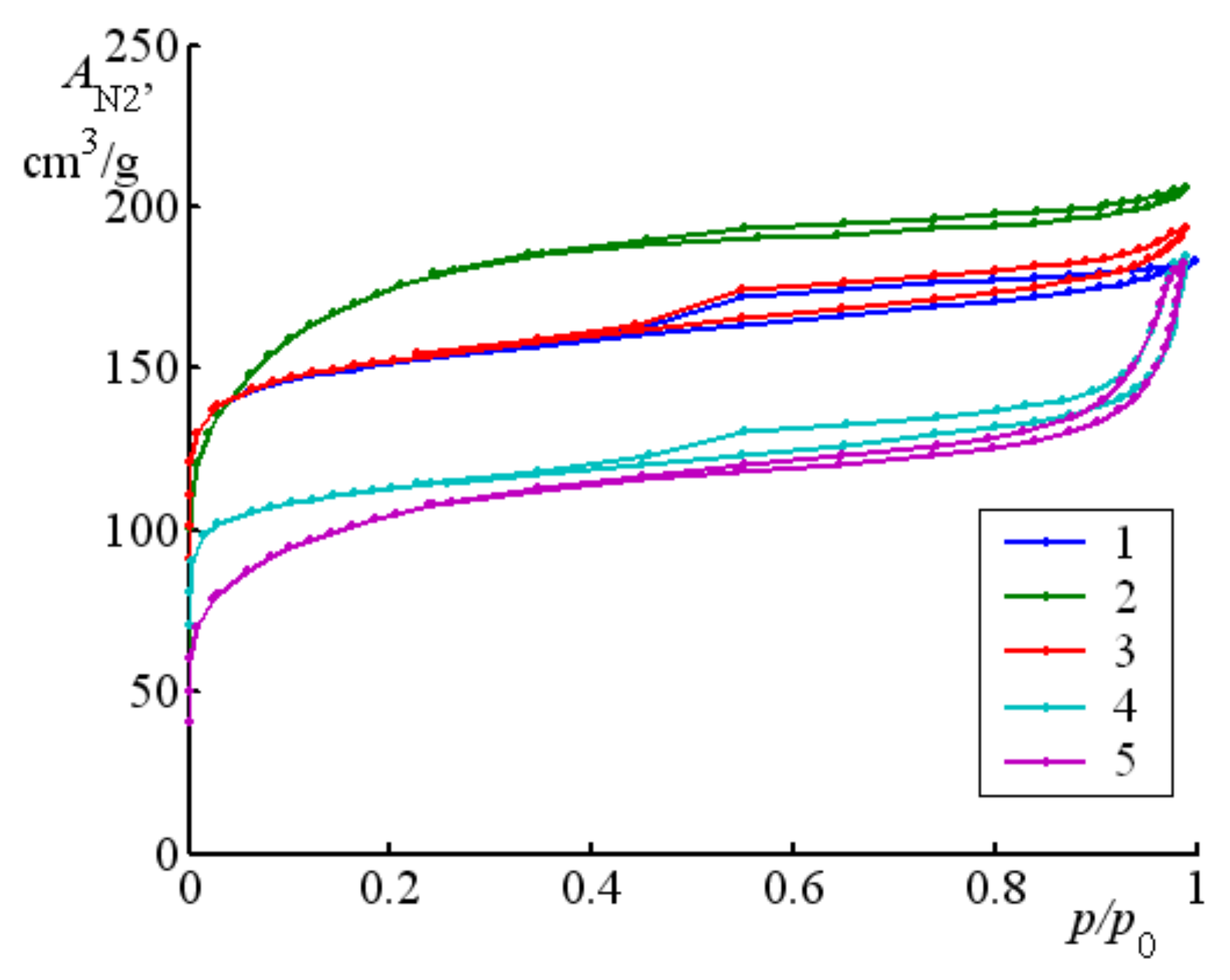
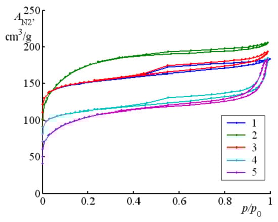
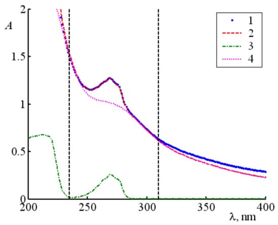
3.1. Magnetic Adsorbents’ Porous Structure
3.2. Phenol and Nitrobenzene Adsorption
4. Conclusions
Author Contributions
Funding
Institutional Review Board Statement
Informed Consent Statement
Data Availability Statement
Acknowledgments
Conflicts of Interest
References
- Liu, M.; Ye, Y.; Ye, J.; Gao, T.; Wang, D.; Chen, G.; Song, Z. Recent Advances of Magnetite (Fe3O4)-Based Magnetic Materials in Catalytic Applications. Magnetochemistry 2023, 9, 110. [Google Scholar] [CrossRef]
- Kaur, A.; Kaur, M.; Singh, V.; Vyas, P. Nanocomposites of Ferrites with TiO2, SiO2 and Carbon Quantum Dots as Photocatalysts for Degradation of Organic Pollutants and Microbes. Magnetochemistry 2023, 9, 127. [Google Scholar] [CrossRef]
- Gao, X.; Zhang, Y.; Dai, Y.; Fu, F. High-performance magnetic carbon materials in dye removal from aqueous solutions. J. Solid State Chem. 2016, 239, 265–273. [Google Scholar] [CrossRef]
- Pangy, S.C.; Khoh, W.H.; Chin, S.F. Synthesis and Characterization of Magnetite/Carbon Nanocomposite Thin Films for Electrochemical Applications. J. Mater. Sci. Technol. 2011, 27, 873–878. [Google Scholar] [CrossRef]
- Kharlyamov, D.A.; Fazullin, D.D.; Mavrin, G.V. Method of obtaining magnetic composite sorbent for wastewater treatment from ions of heavy metals and petroleum products. Patent RU 2626363, 26 July 2017. (In Russian). [Google Scholar]
- Azizov, A.A.; Sulaiman, M.A.; Akhmadov, V.M.; Alosmanov, R.M.; Bunyad-Zadeh, I.A.; Magerramov, A.M. Porous Magnetic Sorbent. U.S. Patent 9011695, 21 April 2015. [Google Scholar]
- Moscatelli, D.; Masi, M.; Pesce, R.M. Amphiphilic Magnetic Nanoparticles and Aggregates to Remove Hydrocarbons and Metal Ions and Synthesis Thereof. Patents WO 2015/177710, 18 May 2015. [Google Scholar]
- Kydralieva, K.A.; Jurishcheva, A.A.; Pomogajlo, A.D.; Dzhardimalieva, G.I.; Pomogajlo, S.I.; Golubeva, N.D. Magnetic Composite Adsorbent. Patent RU 2547496, 10 April 2015. [Google Scholar]
- Tamjidi, S.; Esmaeili, H.; Moghadas, B.K. Application of magnetic adsorbents for removal of heavy metals from wastewater: A review study. Mater. Res. Express 2019, 6, 102004. [Google Scholar] [CrossRef]
- Kazemi, E.; Dadfarnia, S.; Shabani, A.M.H.; Hashemim, P.S. Synthesis of 2-mercaptobenzothiazole/magnetic nanoparticles modified multi-walled carbon nanotubes for simultaneous solid-phase microextraction of cadmium and lead. Int. J. Environ. Anal. Chem. 2017, 97, 743–755. [Google Scholar] [CrossRef]
- Sedghi, R.; Heidari, B.; Kazemi, S. Novel magnetic ion-imprinted polymer: An efficient polymeric nanocomposite for selective separation and determination of Pb ions in aqueous media. Environ. Sci. Pollut. Res. 2018, 25, 26297–26306. [Google Scholar] [CrossRef]
- Zhang, C.; Sui, J.; Li, J.; Tang, Y.; Cai, W. Efficient removal of heavy metal ions by thiol-functionalized superparamagnetic carbon nanotubes. Chem. Eng. J. 2012, 210, 45–52. [Google Scholar] [CrossRef]
- Chen, D.; Chen, C.; Shen, W.; Quan, H.; Chen, S.; Xie, S.; Luo, X.; Guo, L. MOF-derived magnetic porous carbon-based sorbent: Synthesis, characterization, and adsorption behavior of organic micropollutants. Adv. Powder Technol. 2017, 28, 1769–1779. [Google Scholar] [CrossRef]
- Manoochehri, M.; Naghibzadeh, L.A. Nanocomposite Based on Dipyridylamine Functionalized Magnetic Multiwalled Carbon Nanotubes for Separation and Preconcentration of Toxic Elements in Black Tea Leaves and Drinking Water. Food Anal. Methods 2017, 10, 1777–1786. [Google Scholar] [CrossRef]
- Huang, Y.; Peng, J.; Huang, X. One-pot preparation of magnetic carbon adsorbent derived from pomelo peel for magnetic solid-phase extraction of pollutants in environmental waters. J. Chromatogr. A 2018, 1546, 28–35. [Google Scholar] [CrossRef]
- Zhao, W.; Tian, Y.; Chu, X.; Cui, L.; Zhang, H.; Li, M.; Zhao, P. Preparation and characteristics of a magnetic carbon nanotube adsorbent: Its efficient adsorption and recoverable performances. Sep. Purif. 2021, 257, 117917. [Google Scholar] [CrossRef]
- Kefeni, K.K.; Mamba, B.B.; Msagati, T.A.M. Application of spinel ferrite nanoparticles in water and wastewater treatment: A review. Sep. Purif. 2017, 188, 399–422. [Google Scholar] [CrossRef]
- Le, V.T.; Tran Thi, K.N.; Tran, D.L.; Le, H.S.; Doan, V.D.; Bui, Q.D.; Nguyen, H.T. One-pot synthesis of a novel magnetic activated carbon/clay composite for removal of heavy metals from aqueous solution. J. Dispers. Sci. Technol. 2019, 40, 1761–1776. [Google Scholar] [CrossRef]
- Kurmangazhi, G.; Tazhibayeva, S.M.; Musabekova, K.B.; Levin, I.S.; Kuzin, M.S.; Ermakova, L.E.; Yu, V.K. Preparation of Dispersed Magnetite–Bentonite Composites and Kazcaine Adsorption on Them. Colloid J. 2021, 83, 343–351. [Google Scholar] [CrossRef]
- Zubrik, A.; Matik, M.; Lovás, M.; Danková, Z.; Kaňuchová, M.; Hredzák, S.; Briančin, J.; Šepelák, V. Mechanochemically Synthesised Coal-Based Magnetic Carbon Composites for Removing As(V) and Cd(II) from Aqueous Solutions. Nanomaterials 2019, 9, 100. [Google Scholar] [CrossRef]
- Reynel-Ávila, H.E.; Camacho-Aguilar, K.I.; Bonilla-Petriciolet, A.; Mendoza-Castillo, D.I.; González-Ponce, H.A.; Trejo-Valencia, R. Engineered Magnetic Carbon-Based Adsorbents for the Removal of Water Priority Pollutants: An Overview. Adsorp. Sci. Technol. 2021, 2021, 9917444. [Google Scholar] [CrossRef]
- Hermanek, M.; Zboril, R.; Mashlan, M.; Machala, L.; Schneeweiss, O. Thermal behaviour of iron(II) oxalate dihydrate in the atmosphere of its conversion gases. J. Mater. Chem. 2006, 16, 1273–1280. [Google Scholar] [CrossRef]
- Kalenskii, A.V.; Zvekov, A.A.; Popova, A.N.; Anan’ev, V.A.; Grishaeva, O.V. Production of Magnetic Carbon Materials during Decomposition of Iron Salts Deposited on a Porous Carbon Matrix. Russ. J. Appl. Chem. 2021, 94, 486–490. [Google Scholar] [CrossRef]
- Morris, R.V.; Lauer, H.V., Jr.; Lawson, C.A.; Gibson, E.K., Jr.; Nace, G.A.; Stewart, C. Spectral and Other Physicochemical Propertiesof SubmicronPowders of Hematite (α-Fe2O3), Maghemite(γ-Fe2O3), Magnetite(Fe3O), Goethite (α-FeOOH), and Lepidocrocite(γ-FeOOH). J. Geophys. Res. 1985, 90, 3126–3144. [Google Scholar] [CrossRef]
- Bershtein, I.Y.; Kaminskii, Y.L. Spectrophotometric Analysis in Organic Chemistry; Khimiya: Leningrad, Russia, 1975; pp. 26–45. (In Russian) [Google Scholar]
- Fazylova, G.F.; Valinurova, E.R.; Khatmullina, R.M.; Kudasheva, F.K. Fenol derivatives sorption parameters on various carbon materials. Sorbtsionnye I Khromatograficheskie Protsessy 2013, 13, 728–735. (In Russian) [Google Scholar]
- Khokhlova, T.D.; Khien, L.T. Dyes’ adsorption on activated carbons and graphitized soot. Vestn. Moskov. Univ. Ser. 2 Khimiya 2007, 48, 157–161. (In Russian) [Google Scholar]
- Krasnova, T.A.; Belyaeva, O.V.; Kirsanov, M.P. Use of activated carbons in water preparation and water removal processes. Food Process. Tech. Technol. 2012, 3, 46–56. [Google Scholar]










| No. | Sample | VFeSO4, mL | VK2C2O4, mL | ASBV, mg/g | AMB, mg/g | SBET, m2/g | VΣ, cm3/g | Vmicro, cm3/g | Vmeso, cm3/g | Dpores, Å |
|---|---|---|---|---|---|---|---|---|---|---|
| 1 | BAU-A | - | - | 250 | 100 | 576 | 0.280 | 0.185 | 0.074 | 19 |
| 2 | AG-3 | - | - | 185 | 152 | 621 | 0.317 | 0.129 | 0.067 | 20 |
| 3 | BAU-A-M0.5 | 10 | 15 | - | - | 579 | 0.297 | 0.183 | 0.090 | 20 |
| 4 | BAU-A–M | 20 | 30 | 230 | 68 | 426 | 0.282 | 0.132 | 0.134 | 26 |
| 5 | AG-3-M | 20 | 30 | 136 | 143 | 370 | 0.279 | 0.068 | 0.141 | 30 |
Disclaimer/Publisher’s Note: The statements, opinions and data contained in all publications are solely those of the individual author(s) and contributor(s) and not of MDPI and/or the editor(s). MDPI and/or the editor(s) disclaim responsibility for any injury to people or property resulting from any ideas, methods, instructions or products referred to in the content. |
© 2023 by the authors. Licensee MDPI, Basel, Switzerland. This article is an open access article distributed under the terms and conditions of the Creative Commons Attribution (CC BY) license (https://creativecommons.org/licenses/by/4.0/).
Share and Cite
Kalenskii, A.; Ivanov, A.; Sevostyanov, D.; Zvekov, A.; Krechetov, A. The Adsorption Performance of Porous Activated Carbons Prepared from Iron (II) Precursors Precipitated on the Porous Carbon Matrix Thermolysis. Magnetochemistry 2023, 9, 151. https://doi.org/10.3390/magnetochemistry9060151
Kalenskii A, Ivanov A, Sevostyanov D, Zvekov A, Krechetov A. The Adsorption Performance of Porous Activated Carbons Prepared from Iron (II) Precursors Precipitated on the Porous Carbon Matrix Thermolysis. Magnetochemistry. 2023; 9(6):151. https://doi.org/10.3390/magnetochemistry9060151
Chicago/Turabian StyleKalenskii, Alexander, Aleksey Ivanov, Dmitriy Sevostyanov, Alexander Zvekov, and Alexander Krechetov. 2023. "The Adsorption Performance of Porous Activated Carbons Prepared from Iron (II) Precursors Precipitated on the Porous Carbon Matrix Thermolysis" Magnetochemistry 9, no. 6: 151. https://doi.org/10.3390/magnetochemistry9060151
APA StyleKalenskii, A., Ivanov, A., Sevostyanov, D., Zvekov, A., & Krechetov, A. (2023). The Adsorption Performance of Porous Activated Carbons Prepared from Iron (II) Precursors Precipitated on the Porous Carbon Matrix Thermolysis. Magnetochemistry, 9(6), 151. https://doi.org/10.3390/magnetochemistry9060151
