Driving a Molecular Spin-Peierls System into a Short Range Ordered State through Chemical Substitution
Abstract
1. Introduction
2. Materials and Methods
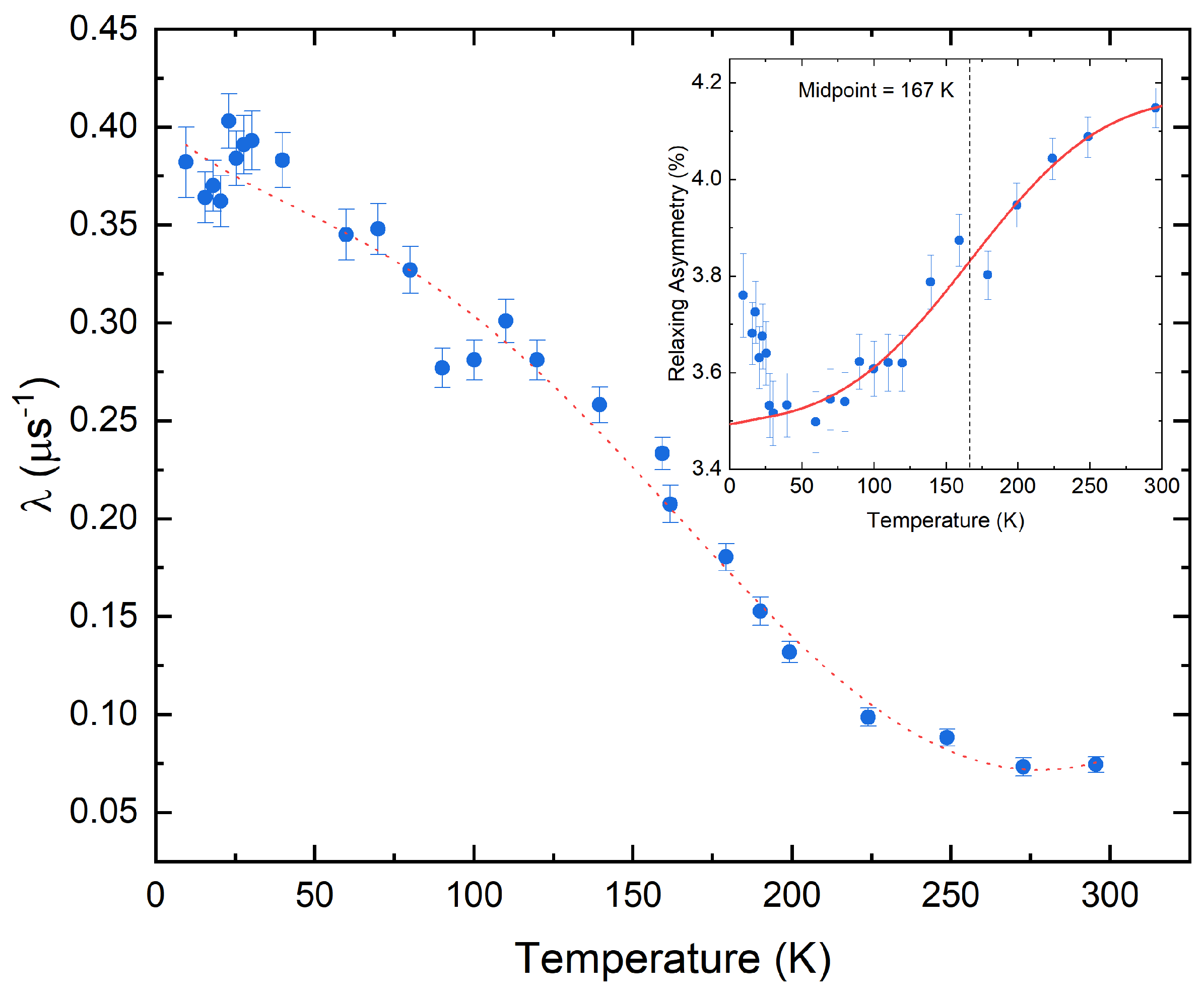
3. Results and Discussions
4. Conclusions
Author Contributions
Funding
Institutional Review Board Statement
Informed Consent Statement
Data Availability Statement
Acknowledgments
Conflicts of Interest
References
- Wang, C.; Liu, D.; Lin, W. Metal–Organic Frameworks as A Tunable Platform for Designing Functional Molecular Materials. J. Am. Chem. Soc. 2013, 135, 13222–13234. [Google Scholar] [CrossRef] [PubMed]
- Coronado, E. Molecular magnetism: From chemical design to spin control in molecules, materials and devices. Nat. Rev. Mater. 2020, 5, 87–104. [Google Scholar] [CrossRef]
- Reczyński, M.; Nakabayashi, K.; Ohkoshi, S.-I. Tuning the Optical Properties of Magnetic Materials. Eur. J. Inorg. Chem. 2020, 28, 2669–2678. [Google Scholar] [CrossRef]
- McMillan, P.F. New materials from high-pressure experiments. Nat. Mater. 2002, 1, 19–25. [Google Scholar] [CrossRef] [PubMed]
- Coronado, E.; Martí-Gastaldo, C.; Navarro-Moratalla, E.; Ribera, A.; Blundell, S.J.; Baker, P.J. Coexistence of superconductivity and magnetism by chemical design. Nat. Chem. 2010, 2, 1031–1036. [Google Scholar] [CrossRef] [PubMed]
- Zhang, K.; Montigaud, V.; Cador, O.; Li, G.-P.; Guennic, B.L.; Tang, J.-K.; Wang, Y.-Y. Tuning the Magnetic Interactions in Dy(III)4 Single-Molecule Magnets. Inorg. Chem. 2018, 57, 8550–8557. [Google Scholar] [CrossRef]
- Yin, Z.; Zhou, Y.-L.; Zeng, M.-H.; Kurmoo, M. The concept of mixed organic ligands in metal–organic frameworks: Design, tuning and functions. Dalton Trans. 2015, 44, 5258–5275. [Google Scholar] [CrossRef]
- Xie, H.; Vignesh, K.R.; Zhang, X.; Dunbar, K.R. From spin-crossover to single molecule magnetism: Tuning magnetic properties of Co(II) bis-ferrocenylterpy cations via supramolecular interactions with organocyanide radical anion. J. Mater. Chem. C 2020, 8, 8135–8144. [Google Scholar] [CrossRef]
- Kurmoo, M. Magnetic metal–organic frameworks. Chem. Soc. Rev. 2009, 38, 1353–1379. [Google Scholar] [CrossRef]
- Vegter, J.G.; Hibma, T.; Kommandeur, J. New phase transitions in simple M-TCNQ-salts. Chem. Phys. Lett. 1969, 3, 427. [Google Scholar] [CrossRef]
- Lépine, Y.; Caillxex, A.; Larochelle, V. Potassium-tetracyanoquinodimethane (K-TCNQ): A spin-Peierls system. Phys. Rev. B 1978, 18, 3585. [Google Scholar] [CrossRef]
- Konno, M.; Ishii, T.; Saito, Y. The crystal structures of the low- and high-temperature modifications of potassium 7,7,8,8-tetracyanoquinodimethanide. Acta Cryst. 1977, B33, 7603–7770. [Google Scholar] [CrossRef]
- Tanner, D.B.; Jacobsen, C.S.; Bright, A.A.; Heeger, A.J. Infrared studies of the energy gap and electron-phonon interaction in potassium-tetracyanoquinodimethane (K-TCNQ). Phys. Rev. B 1977, 16, 3283. [Google Scholar] [CrossRef]
- Berlie, A.; Terry, I.; Szablewski, M.; Giblin, S.R. Tuneability and criticality in a three-dimensional stacked molecular system. Phys. Rev. B 2016, 93, 054422. [Google Scholar] [CrossRef]
- Hillier, A.D.; Blundell, S.J.; McKenzie, I.; Umegaki, I.; Shu, L.; Wright, J.A.; Prokscha, T.; Bert, F.; Shimomura, K.; Berlie, A.; et al. Muon Spin Spectroscopy. Nat. Rev. Methods Prim. 2022, 2, 4. [Google Scholar] [CrossRef]
- Blundell, S.J.; Renzi, R.D.; Lancaster, T.; Pratt, F.L. (Eds.) Muon Spectroscopy: An Introduction; Oxford University Press: Oxford, UK, 2022. [Google Scholar]
- Berlie, A.; Terry, I.; Cottrell, S.; Pratt, F.L.; Szablewski, M. Magnetic ordering of defects in a molecular spin-Peierls system. J. Phys. Condens. Matter 2017, 29, 025809. [Google Scholar] [CrossRef]
- Wheland, R.C.; Martin, E.L. Synthesis of Substituted 7,7,8,8-Tetracyanoquinodimethanes. J. Org. Chem. 1975, 40, 3101. [Google Scholar] [CrossRef]
- Melby, L.R.; Harder, R.J.; Hertler, W.R.; Mahler, W.; Benson, R.E.; Mochel, W.E. Substituted Quinodimethans. II. Anion-radical Derivatives and Complexes of 7,7,8,8-Tetracyanoquinodimethan. J. Am. Chem. Soc. 1962, 84, 3374–3387. [Google Scholar] [CrossRef]
- Bonner, J.C.; Fisher, M.E. Linear magentic chains with anisotropic coupling. Phys. Rev. 1964, 135, A640. [Google Scholar] [CrossRef]
- Berlie, A.; Terry, I.; Szablewski, M.; Giblin, S.R. Separating the ferromagnetic and glassy behavior within the metal-organic magnet Ni(TCNQ)2. Phys. Rev. B 2015, 92, 184431. [Google Scholar] [CrossRef]
- Blundell, S.J.; Lancaster, T.; Brooks, M.L.; Pratt, F.L.; Taliaferro, M.L.; Miller, J.S. A μSR study of the metamagnetic phase transition in the electron-transfer salt [Fe(Cp)2] [TCNQ]. Phys. B Condens. Matter 2006, 374–375, 114–117. [Google Scholar] [CrossRef]
- Berlie, A.; Terry, I.; Szablewski, M. A 3D antiferromagnetic ground state in a quasi-1D π-stacked charge-transfer system. J. Mater. Chem. C 2018, 6, 12468–12472. [Google Scholar] [CrossRef]
- Lovett, B.W.; Blundell, S.J.; Pratt, F.L.; Jestädt, T.; Hayes, W.; Tagaki, S.; Kurmoo, M. Spin fluctuations in the spin-Peierls compound MEM(TCNQ)2 studied using muon spin relaxation. Phys. Rev. B 2000, 61, 12241. [Google Scholar] [CrossRef]
- Frandsen, B.A.; Petersen, K.A.; Ducharme, N.A.; Shaw, A.G.; Gibson, E.J.; Winn, B.; Yan, J.; Zhang, J.; Manley, M.E.; Hermann, R.P. Spin dynamics and a nearly continuous magnetic phase transition in an entropy-stabilized oxide antiferromagnet. Phys. Rev. Mater. 2020, 4, 074405. [Google Scholar] [CrossRef]


Disclaimer/Publisher’s Note: The statements, opinions and data contained in all publications are solely those of the individual author(s) and contributor(s) and not of MDPI and/or the editor(s). MDPI and/or the editor(s) disclaim responsibility for any injury to people or property resulting from any ideas, methods, instructions or products referred to in the content. |
© 2023 by the authors. Licensee MDPI, Basel, Switzerland. This article is an open access article distributed under the terms and conditions of the Creative Commons Attribution (CC BY) license (https://creativecommons.org/licenses/by/4.0/).
Share and Cite
Berlie, A.; Terry, I.; Szablewski, M. Driving a Molecular Spin-Peierls System into a Short Range Ordered State through Chemical Substitution. Magnetochemistry 2023, 9, 150. https://doi.org/10.3390/magnetochemistry9060150
Berlie A, Terry I, Szablewski M. Driving a Molecular Spin-Peierls System into a Short Range Ordered State through Chemical Substitution. Magnetochemistry. 2023; 9(6):150. https://doi.org/10.3390/magnetochemistry9060150
Chicago/Turabian StyleBerlie, Adam, Ian Terry, and Marek Szablewski. 2023. "Driving a Molecular Spin-Peierls System into a Short Range Ordered State through Chemical Substitution" Magnetochemistry 9, no. 6: 150. https://doi.org/10.3390/magnetochemistry9060150
APA StyleBerlie, A., Terry, I., & Szablewski, M. (2023). Driving a Molecular Spin-Peierls System into a Short Range Ordered State through Chemical Substitution. Magnetochemistry, 9(6), 150. https://doi.org/10.3390/magnetochemistry9060150

