Abstract
A systematic study on the self-assembled solution system of human serum albumin (HSA) and paramagnetic doxyl stearic acid (5-DSA and 16-DSA) ligands is reported covering the broad pH range 0.7–12.9, mainly using electron paramagnetic resonance (EPR) methods. It is tested to which extent the pH-induced conformational isomers of HSA reveal themselves in continuous wave (CW) EPR spectra from this spin probing approach in comparison to an established spin-labeling strategy utilizing 3-maleimido proxyl (5-MSL). Most analyses are conducted on empirical levels with robust strategies that allow for the detection of dynamic changes of ligand, as well as protein. Special emphasis has been placed on the EPR spectroscopic detection of a molten globule (MG) state of HSA that is typically found by the fluorescent probe 8-Anilino- naphthalene-1-sulfonic acid (ANS). Moreover, four-pulse double electron-electron resonance (DEER) experiments are conducted and substantiated with dynamic light scattering (DLS) data to determine changes in the solution shape of HSA with pH. All results are ultimately combined in a detailed scheme that describes the pH-induced functional phase space of HSA.
1. Introduction
The pH denaturation phenomenon has been a long standing issue in protein science [1,2,3,4,5,6]. Primarily, the principles of this process are well-known and are linked to electrostatic repulsive and attractive forces. These forces emerge due to changes in the protonation state of charge bearing amino-groups (R–NH3+) in mainly lysine and arginine residues at alkaline pH (pKa = 10.8–12.5) [7] and carboxyl groups (R–COO−) in glutamate and aspartate residues in acidic environments (pKa = 3.8–4.5) [8]. Thus, it is generally assumed that charge repulsion leads to an elongation of the polypeptide chain as a result of collective protonation or deprotonation of individual amino acids [3,9,10]. Generally, protein folding from an unfolded (U) to a native state (N) is classically expected to either proceed according to the framework model [11,12,13], where hydrogen bonds form secondary structures early in the folding process, or the hydrophobic collapse model where nonpolar residues reconfigure into the protein interior after chain collapse [14]. It is proposed that this protein folding may generally advance in three stages comprising an additional intermediate compact state, the molten globule (MG) [15,16]. This intermediate (compact) state is defined by slowly fluctuating tertiary structure as first observed from the acid form of α-lactalbumin by Dolgikh et al. [17]. This MG state is generally detected by circular dichroism (CD) [17,18], intrinsic viscosities, tryptophane fluorescence [17], or by ANS [19] constituting a hydrophobic fluorescent probe that binds to exposed hydrophobic surface patches of partially folded proteins [20,21]. A general overview of applicable methods for MG state detection of proteins is given by Kuwajima [22]. A novel promising approach in characterizing acid-unfolded states is the application of small-angle X-ray scattering (SAXS) [23,24].
An intriguing analogy of how protein thermodynamic states can be related to bulk systems was demonstrated by Pande and Rokhsar [25] in a phase diagram where the native protein (N) corresponds to the solid (s), the molten globule (MG) represents the liquid (l) and the unfolded chain (U) represents the vapor state (v) of a protein.
Electron paramagnetic resonance (EPR) spectroscopy has been also proven suitable to qualitatively detect and characterize such MG states [26,27,28] by using the site-directed spin labeling (SDSL) approach [29,30] in combination with e.g., straightforward lineshape analyses [31,32]. Molten globules were also found in acidic HSA solutions at about pH 2.0 [33,34] and alkaline bovine serum albumin (BSA) solutions at pH 11.2 [35]. Historically, an acidic MG-like state was experimentally already described for BSA as early as 1954 by Yang and Foster [36], as they detected a salt-dependent increase in intrinsic viscosity between pH 2.2–2.7 that was later also found similarly in EPR spectroscopic studies in the same pH region [37]. However, these experiments were conducted with the lack of the MG definition given almost 30 years later [15].
Here, the protein phase space [38] of HSA is explored in a very broad pH range from at least pH 1 to 12, mainly using spin-labeled fatty acids (FA) for monitoring the proteins solution properties. This spin probing approach allows to observe phenomena as ligand binding capabilities, rotational dynamics or changes in local polarity in continuous wave (CW) EPR [39,40,41,42,43]. Complementary nanoscale distance measurements with four-pulse double electron-electron resonance (DEER) reveal the solution structure [44,45,46,47] and may therefore also indirectly display functional changes in the solution shape of albumin from the viewpoint of spatial rearrangements of paramagnetic centers in EPR-active, albumin-bound FAs from the protein interior (5-DSA) or its surface (16-DSA) [48,49,50].
Basically, the carefully adjusted pH values are here used to trigger changes in the charge state of HSA and therefore the structural and dynamic changes that go along with this external perturbation. The corresponding functional phase space is systematically screened for peculiarities in terms of pH-induced conformational isomers in the extended (E, pH < 2.7), fast migrating (F, pH < 4.3), native or norm (N, 4.3 < pH < 8.0), basic (B, 8.0 < pH < 10.0) and aged form (A, pH > 10), that have been thoroughly described earlier [34,51,52,53]. Specifically, the potential of an EPR-spectroscopic detection of the MG state of HSA at pH 2.0 is investigated by paramagnetic FAs and compared to the widely applied lysine-directed maleimido spin-labeling strategy for albumin [54,55,56,57,58,59,60,61,62,63] in order to resolve and further characterize this somewhat enigmatic (thermo)dynamic state. Additionally, dynamic light scattering (DLS) experiments are presented that are utilized to substantiate the proposed changes in solution size of the albumin particles and therefore also serve as a spatial correlation backup for corresponding DEER results.
The aim of this study is to highlight the intrinsic potential of EPR spectroscopy for detecting functional states of a system that can be correlated to a vast array of preliminary studies that report the same or similar findings, however, from a different experimental perspective. As far as we are concerned no previous spin probing study is available in EPR spectroscopy that exhaustively investigates all known pH-induced conformational isomers of albumins. Therefore, we place strong emphasis on a preferably high pH resolution in EPR that should reveal a maximum of attainable spectral and analytically accessible dynamic features of HSA. We readily embrace any complexity in data quality that may be observed and provide sufficient information to follow our argumentation. Taken together these findings are finally combined towards an EPR-spectroscopic picture of the charge-induced functional phase space of HSA.
2. Materials and Methods
2.1. Materials
Lyophilized HSA powder (>95%, Merck KGaA, Calbiochem, Darmstadt, Germany), ANS (high purity, InvitrogenTM, Carlsbad, CA, USA), 5-DSA, 16-DSA (Sigma-Aldrich, St. Louis, MO, USA), 5-MSL (Santa Cruz Biotechnology, Inc., Dallas, TX, USA), glycerol (87 wt% in water, Thermo Fisher Scientific, Waltham, MA, USA) and 2-methylbutane (Sigma-Aldrich) were used without further purification. The 0.137 M Dulbecco’s phosphate buffered saline (DPBS) at pH 7.4 was prepared with ultrapure water (MilliQ) and salts according to the original procedure [64]. The 0.12 M DPBS titration buffers were adjusted in the range from pH 0.2–13.5 by addition of up to 0.6 M HCl and 0.4 M NaOH.
2.2. Protein Stability and Charge Calculation
For stability (ΔGf) and charge (Q) calculations the web-accessible program PROPKA 3.0 was used employing the AMBER forcefield [8,65,66]. The original HSA topology files with corresponding protein data bank identifiers (PDB ID: 1BM0 [67]) and PDB ID: 1e7i [68]) were cleaned from dispensable components, such as additional albumin molecules (PDB ID: 1BM0 contains two HSA molecules as a dimer), residual ions and water molecules, in order to obtain comparable results.
2.3. Spin-Labeling of HSA with 5-MSL
The spin-labeled albumin samples were obtained by incubating 4–8 mL of 0.2 mM HSA in 0.136 M DPBS buffer pH 7.4 for 16–24 h at room temperature with a 5-fold molar excess of 5-MSL and 1% ethanol. The resulting 5-MSL HSA molecules were separated from unreacted spin labels with PD-10 columns (GE Healthcare, Chicago, IL, USA) containing Sephadex G-25 resins. Individual fractions were collected and tested for protein content with Bradford reagent [69] and an additional CW EPR spectroscopic quality control. The purified 5-MSL HSA solutions were concentrated with spin columns (10.000 MWCO, Vivaspin® 2 and 4, Sartorius AG, Göttingen, Germany) and a benchtop centrifuge (Centrifuge 5810 R, Eppendorf AG, Hamburg, Germany) to stock solutions containing about 0.3–0.5 mL volume. A commercially available BCA [70] assay (PierceTM BCA Protein Assay Kit, Thermo Fisher Scientific) was used for quantification of stock solution protein content (c5-MSL HSA = 1.12–1.35 mM). The BCA absorption values were recorded with a UV/V is spectrometer (HP 8453 and HP 89090A, Hewlett Packard, Inc., Palo Alto, CA, USA) at the characteristic wavelength of λBCA = 562 nm. The total 5-MSL HSA protein yield of the spin-labeling procedure is about 65–70% of the initially applied amount of pure HSA.
2.4. MALDI-ToF Mass Spectrometry
Dilutions of HSA and 5-MSL HSA stock solutions were prepared in ultrapure water (MilliQ) yielding sample concentrations of 1–2 mg/mL. MALDI-ToF experiments were carried out using a delayed extraction TOF mass spectrometer Voyager-DE PRO (Sciex, Darmstadt, Germany) equipped with a pulsed nitrogen laser (λ = 337 nm). The samples were prepared by mixing them with the matrix solutions (10 mg/mL sinapinic acid in 0.1% aqueous trifluoroacetic acid (TFA)/acetonitrile (ACN), 1:1, v/v) at a ratio of 1:10 (v/v) and 1 µL of each mixture was applied onto a stainless steel sample plate and dried in a gentle stream of air. All measurements were performed operating in the positive ion linear mode at a total acceleration voltage of 25 kV with a grid voltage set to 92%, 0.15% guide wire voltage and an extraction delay of 700 ns. The low mass gate was set to m/z 5000 to prevent detector saturation from low mass compounds. The instrument was externally calibrated using BSA, as well as calibration mixture 3 of the Sequazyme Peptide Standards Kit (Sciex). Corresponding results are summarized in Supplementary Material S1.
2.5. Sample Preparation
All spin probed EPR samples were prepared from 1 mM HSA stock solutions in 0.137 M DPBS buffer pH 7.4 to final protein concentrations of 0.40 mM for CW EPR and 0.17 mM for DEER experiments with a sample volume of 100–300 µL. Upon addition of appropriate amounts of 26 mM stock solutions of 5-DSA and 16-DSA spin probes in 0.1 M KOH nominal equivalent concentrations of 1:1 (c16-DSA = 0.40 mM) or 2:1 (cDSA = 0.80 mM) were adjusted for CW EPR samples and 2:1 for DEER samples (c16-DSA = 0.34 mM). Additionally, a 16-DSA reference sample containing 0.4 mM spin probe without HSA was also prepared. The 5-MSL HSA samples for EPR spectroscopic investigations were prepared at concentrations of 0.09 mM in 0.137 M DPBS pH 7.4. 5-MSL HSA samples that were subjected to fluorescence spectroscopy were adjusted to protein concentrations of 1 and 100 µM ANS similar to Muzammil et al. [33]. All samples were individually prepared with an 18–25% titration volume for adjusting pH values with the predefined set of acidic and basic 0.12 M DPBS buffers in the pH range from 0.2–13.5 as described above. All pH values were carefully controlled with a thoroughly calibrated pH microelectrode (InLab®Micro pH 0–14 in combination with the EL20 pH meter, Mettler-Toledo, Columbus, OH, USA). It is estimated from several consequent calibrations with reference buffers pH 1–12 (ROTI® CALIPURE, Carl Roth, Karlsruhe, Germany) that the maximum error in this pH range is about ΔpHexp < 0.15. The final 0.1 M DPBS solutions of HSA equipped with 16-DSA and 5-MSL for EPR spectroscopy are supplied with 20% v/v glycerol for internal comparability and to prevent crystallization upon freezing for potential DEER experiments or for cryoprotection during storage at −20 °C. The preparation of 0.1 mM HSA samples for DLS was conducted without addition of 16-DSA and glycerol and the final protein concentrations were adjusted with DPBS titration buffers to a final sample volume of 500 µL.
For CW EPR measurements, about 15 µL of sample were filled into a quartz capillary (BLAUBRAND® intraMARK, BRAND GmbH + Co KG, Wertheim, Germany) with ca. 1 mm outer diameter. For DEER measurements about 80 μL of the final solutions were filled into 3 mm (outer diameter) quartz tubes (Heraeus Quarzglas Bitterfeld GmbH & Co KG, Bitterfeld-Wolfen, Germany) and shock-frozen in liquid nitrogen-cooled 2-methylbutane.
2.6. ANS Fluorescence Experiments
The pH-dependent fluorescence experiments of 5-MSL HSA and ANS were performed at 25 °C with a FluoroMax-2 spectrofluorometer (HORIBA Jobin Yvon SAS, Kyoto, Japan) in combination with a NESLAB RTE 740 waterbath thermostat (Thermo Fisher Scientific). The fluorescence excitation wavelength was set to λexc = 380 nm and fluorescence emissions were recorded in the range of 400 < λem < 600 nm. Typically, maximum emission of the ANS probe was observed at 474 ± 6 nm throughout the whole tested pH range. Measurements took place in a 1 cm path length quartz cuvette cell.
2.7. Dynamic Light Scattering (DLS)
All DLS data were obtained with an ALV-NIBS high performance particle sizer (HPPS) equipped with an ALV-5000/EPP Multiple Tau Digital Correlator (ALV-Laser Vertriebsgesellschaft m. b. H., Langen, Germany). This device uses HeNe-LASER irradiation (λ = 632.8 nm) and 3 mW output power with an automatic attenuator for optimum count rates recorded in a backscattering detection angle (173°). The sample cell temperatures were adjusted to 25 °C by a Peltier temperature control unit. All samples were measured in 1.5 mL PMMA semi-micro cuvettes (BRAND GmbH + Co KG). Data were extracted from the intensity correlation functions by a g2(t)-DLS exponential and a mass weighted regularized fit in the ALV-NIBS software v.3.0 utilizing the CONTIN algorithm [71]. The refractive index and solvent viscosity were assumed to be constant at nH2O = 1.332 [72] and η = 0.89 mPa∙s [73]. A significant viscosity increase of the solutions, due to the electroviscous effect [74] and intrinsic viscosity, can be ruled out for the applied albumin concentration [75]. Each sample was measured five times at constant pH and temperature for 120 s and a mean value RH was calculated. The pH-dependent mean values RH of the most prominent particle size peaks and their statistical fluctuations are given as the standard deviation as depicted in the error bars.
2.8. EPR Spectroscopy
2.8.1. CW EPR Experiments
A Miniscope MS400 (Magnettech GmbH, Berlin, Germany) benchtop spectrometer was used for X-band CW EPR measurements at microwave frequencies of 9.43 GHz that were recorded with a frequency counter (model 2101, RACAL-DANA, Weybridge, UK, or with a Magnettech FC400). Low temperature measurements for pure Azz extraction [76] at T = 150 K were conducted with modulation amplitudes of 0.2 mT, a sweep width of 15 mT and microwave powers of PMW = 3.16 mW. All other measurements were performed at 25 °C, using modulation amplitudes of 0.1 mT and a sweep width of 12–15 mT at microwave powers ranging from PMW = 1.00–3.16 mW.
2.8.2. DEER Experiments
The four-pulse DEER sequence [77,78]:
was used to obtain dipolar time evolution data from paramagnetic 16-DSA spin probes at X-band frequencies of 9.1–9.4 GHz with a BRUKER Elexsys E580 (BRUKER, Billerica, MA, USA) spectrometer equipped with a BRUKER Flexline splitring resonator ER4118X–MS3. The temperature was set to T = 50 K by cooling with a closed cycle cryostat (ARS AF204, customized for pulse EPR, ARS, Macungie, PA, USA) and the resonator was overcoupled to Q ≈ 100.
±(π/2)obs − τ1 − (π)obs,1 − (td + t0 + Nt∙Δt) − (π)pump − (t′ − Nt∙Δt + td) − (π)obs,2 − τ2 − echo
The pump pulse position td + t0 after the first observer π-pulse deadtime td was typically incremented for Nt timesteps of Δt = 8 ns in the range t0 + t’ = τ1 + τ2 − 2td, whereas τ1 and τ2 were kept constant. Proton modulation was averaged by addition of eight time traces of variable τ1 starting with τ1,1 = 200 ns, incrementing by Δτ1 = 8 ns until τ1,8 = 256 ns was reached. Additionally, a 2-step phase cycle (±) was applied to the first π/2 pulse of the observer frequency for cancelling out receiver offsets and unwanted echoes. The pump frequency νpump was set to the maximum of the field-swept electron spin echo (ESE)-detected spectrum. The observer frequency νobs was set to νpump + Δν with Δν being in the range of 65 MHz and therefore coinciding with the low-field local maximum of the nitroxide ESE spectrum. The observer pulse lengths for each DEER experiment were set to 32 ns for both π/2- and π-pulses and the pump pulse length was 12 ns.
2.9. Data Analysis
For CW EPR experiments a sweep width correction factor kSW = 0.9944 ± 0.0021 was obtained from a Manganese standard Mn2+ in ZnS (Magnettech GmbH) to correct the magnetic field readout values B(xi) from corresponding spectra. The corrected apparent hyperfine coupling constants (kSW∙A||) from 5-MSL HSA, 5-DSA- and 16-DSA-probed HSA were calculated from outer extrema separations 2A|| of corresponding CW EPR spectra as described in Supplementary Material S2. In order to estimate collective rotational correlation times τc from multicomponent CW EPR spectra of 5-MSL HSA, a classical approach from lineshape theory (Figure S2 and Equations (S8) and (S9)) [37,79,80] was chosen. The required magnetic parameters (g- and A-tensor) of 5-MSL were either taken from Marzola et al. (gxx = 2.0084, gyy = 2.0061, gzz = 2.0025) [58], or were determined from an approach described by Meirovitch and Freed [81], yielding Axx = Ayy = 5.91 ± 0.13 G and Azz = 35.78 ± 0.20 G corresponding to an isotropic hyperfine coupling of aiso = 15.86 ± 0.04 G for axial symmetric nitroxide geometry. These values largely correspond with prevalent literature [58,82]. An explicit description of this approach can be also found in Supplementary Material S2. Details about collective lysine pKa calculations and their comparison to spectral features from 5-MSL HSA experiments are given in Figure S3 and Supplementary Materials S3.
Exemplary simulations on 16HSA 1:0 400 µM and 16HSA 2:1 400 µM have been conducted with the EasySpin [83] program package v5.2.11 in MATLAB v7.7.0 (R2008b) for extracting all emerging subspectra (Fi(B) ϵ a, f, b1, b2) and the magnetic g- and A-tensors (Supplementary Material S4) similar to a previous study [84]. This was considered as necessary for the construction of order parameters S and wobbling angles γ. A discussion of intrinsic errors from spectral simulations is explicitly given in Strancar et al. [85]. Mathematical details about analyses of Iabf, A||, Azz, ΔB0,pp, order parameter (S) and wobbling angle (γ) curves are given in Supplementary Materials S5–S9. All fit curves and corresponding parameters were generated with Microcal Origin v8.1.
All raw time domain DEER data were analyzed and processed in a consistent fit procedure with DeerAnalysis2013 [86] utilizing Tikhonov regularization. The regularization parameter has been set to α = 100 for all dipolar evolution functions obtained from 16-DSA in order to produce comparable distance peak resolutions in the investigated pH range. Special emphasis has been placed on the region from 3.83 < pH < 11.35. In this pH region, the background dimensionality has been set to D = 3.73 ± 0.01, with a deviation from a homogenous 3-dimensional background emerging from the specific size and shape of the albumin molecule [44,87]. The sigmoidal curve fit to the pH-dependent shift in Pmax(r) was also conducted with Microcal Origin v8.1 (Supplementary Material S10). Measurements at pH < 3.83 were only evaluated to yield modulation depths Δ and rough estimates of background dimensionalities D. The dimensionality values at low pH could only be fitted with 2.0 < D < 3.1 mainly indicating the dominating spin probe aggregate content of the samples. For a whole set of background dimensionalities the reader is referred to Figure S11.
3. Results
Before studying pH-dependent changes in HSA with EPR spectroscopy, some bioinformatic calculations were conducted that are later correlated to the findings from the spin-labeled and spin probed HSA samples. Generally, a wide variety of approaches is available for extracting information from CW EPR spectra. Due to the large amount and the inherent complexity of the obtained EPR datasets herein, explicit spectral simulations are here considered as dispensable and all analyses are reduced to the extraction of some established empiric parameters that are sufficiently sensitive to monitor dynamic changes of protein or ligand. For convenience, each equivalent concentration, loading status and type of probe is given as an appropriate abbreviation in the following (as e.g., 16HSA 2:1 400 µM = 16-DSA-probed HSA with 400 µM equivalents of 2 × EPR-active 16-DSA probes, 1 × protein). Wherever necessary, some additional strategies are employed and developed that principally rely on relative changes in line shapes and line positions. For clarity, the chemical structures of all used spin labels, spin probes and fluorescence probes are given in Scheme 1.
Scheme 1.
Chemical structures of spectroscopic reporter groups. (a) Chemical structure of 5-MSL and the associated chemical pathway of its covalent attachment to HSA, as well as chemical structures of (b) the fluorescent probe ANS, and (c) the spin probes 5-DSA and 16-DSA are given.
3.1. Calculation of the pH-Dependent Stability and Charge of HSA
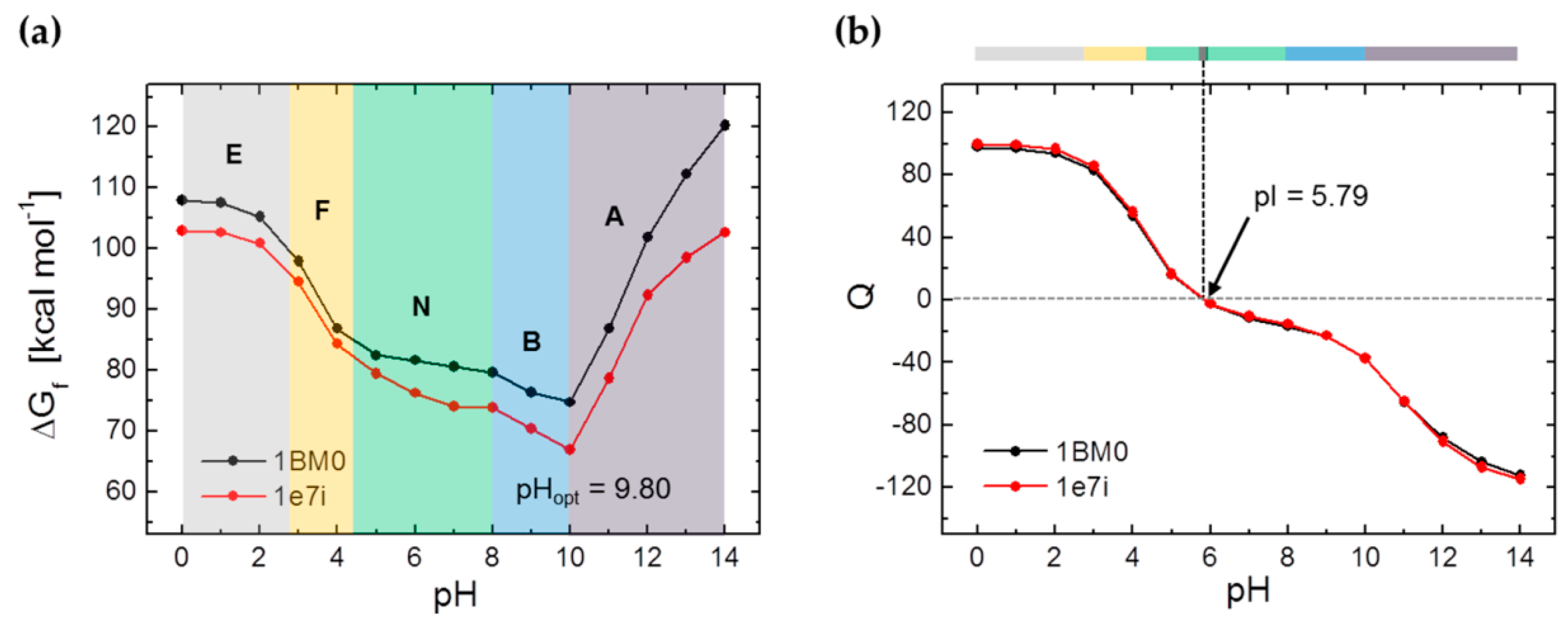
To obtain an approximate notion of the charge state of HSA at a certain pH value, the stability and charge of the protein molecules in solution were calculated with help of PROPKA 3.0 [8,65,66] for two structures, HSA (PDB ID: 1BM0) [67] and HSA loaded with seven stearic acids (PDB ID: 1e7i) [68]. In Figure 1a the free energies of folding (ΔGf) are shown as functions of pH for both structures. Overall, the curve shapes are quite similar exhibiting a predicted optimum HSA stability at about pHopt = 9.8 ± 0.1 for 25 °C. On a qualitative level, the structure of HSA with bound stearic acids (PDB ID: 1e7i) exhibits a further stability increase of ΔΔGf = –7.5 kcal mol−1 = –31.4 kJ mol−1 (Table 1) compared to HSA alone as it is expected for fatty acid-loaded albumin structures [88,89].
Figure 1.
Calculation of HSA’s folding stability and corresponding net charges. (a) Calculated free energy of folding ΔGf as a function of pH for HSA alone (black, PDB ID: 1BM0) [67] and for HSA loaded with seven stearic acids (red, PDB ID: 1e7i) [68]. The black bold letters denote pH-induced dynamic regimes of HSA according to Qiu et al. [53] with conformational isomers in the extended form (E, gray), fast migrating form (F, yellow), norm form (N, green), basic form (B, blue) and an aged form (A, purple). Additionally, the calculated pH of optimum stability (pHopt = 9.80) is shown where ΔGf is at its minimum. (b) Calculated titration curves show the net charge Q = Z∙e as a function of pH for HSA alone (black, PDB ID: 1BM0) and for HSA loaded with seven stearic acids (red, PDB ID: 1e7i). The isoelectric points (pI) at Q = 0 can be found at pH 5.79 for both curves (Table 1). All data were generated at 25 °C with PROPKA 3.0 [8,65,66]. The conformational isomers E − A are given as a phase space bar at the top of the graph with the color code given in (a).
Table 1.
Results from PROPKA 3.0 calculations.
Beyond that, the stability curves in Figure 1a are provided with color coded pH regimes of reversible conformational HSA isomers according to the scheme given by Peters [52] and Qiu et al. [53]. In the acidic regime, the norm form (N) of HSA changes to a fast migrating form (F) below pH 4.3 and for pH < 2.7 a further transition occurs to an extended form (E). In the basic regime of pH > 8, the norm form changes to the basic form (B) and for pH > 10, HSA is expected to convert into an aged form (A). The general shape appearance of HSA is expected to follow an acidic expansion (pH < 3.5) and a basic contraction (pH > 8) [53]. The prediction from PROPKA 3.0 gives HSA net charges (Q = Z∙e) in the range from −113 < Z < +99 for both structures with a calculated isoelectric point at pI = 5.79 (Figure 1b) that coincides well with experimental values from the fatty acid free form of HSA (5.1 < pI < 5.8) [34,90,91,92,93] and may as well be domain specific [91]. The onsets of the F and A forms are clearly associated with a strong change in net charge Q. Wherever applicable, the color coded pH regimes are given in due form as phase space bars at the top of a graph in the following sections.
3.2. CW EPR and ANS Fluorescence Experiments on 5-MSL HSA Solutions from pH 0.7–12.5
5-MSL was among the first reported EPR-active reporter groups that were applied to albumin and proteins in general [54,55]. It was ruled out early by N-ethylmaleimide (NEM) blocking [54] that the apparent immobilization, as seen in the outer spectral extrema (A||) [94], mainly originate from 5-MSL-modified cysteines, whereas the fast rotating three-line components in CW EPR spectra are due to unspecifically labeled lysines on the albumin surface, exhibiting an almost isotropic rotation [54]. With 59 lysines in its primary sequence [95] and one accessible redox-active cysteine [96,97,98] at chain position Cys34 being intrinsic for each mammalian and avian albumin [52], each HSA contains a maximum of 60 potential labeling sites. At least 30–35 lysines are reported to be accessible to such non-specific lysine-targeted posttranslational modification procedures for e.g., BSA [99].
We determined the number of 5-MSL labeling sites via MALDI-ToF as nMSL = 3.1 ± 0.4 (Supplementary Material S1) that are assumed to be statistically distributed across each individual albumin surface. It was shown early that lysine-targeted spin labels remain covalently attached to (poly)lysines and BSA in the range from at least about pH 1.5–11.8 [37] and therefore a rich set of N = 44 individual EPR spectra was recorded in the range of pH 0.72–11.96 as presented in Figure 2a. This experiment is very similar to earlier studies by Cornell and Kaplan [56,57], or a recent one by Pavicevic et al. [63] and can thus be regarded as a reference data set. In Figure 2a it can be seen for pH > 9.6 (green) that the isotropic three-line component increasingly dominates the spectral shape. The observation of the outer extrema separation A|| is also provided in the whole tested pH range as presented in Figure 2b. While A|| does not largely change from pH 3.7–10.9 (C = compact), a significant drop is observed for pH > 10.9 that indicates the emergence of the A form coinciding with a structural weakening of HSA. A further slight drop is observed from pH 3.7 to 2.8 indicating the fast migrating (F) form of HSA. For the acidic region at pH < 2.8 no further changes of this parameter appear, and HSA is assumed to remain in the E form.
Figure 2.
pH-dependent CW EPR and fluorescence experiments on 5-MSL HSA. (a) CW EPR spectra of N = 44 different 5-MSL HSA solutions between 0.72 < pH < 11.96 are shown. The black dotted lines indicate the apparent hyperfine coupling constant (2A||). All spectra are here color coded in red (acidic), blue (neutral, or compact) and green (basic). (b) Apparent hyperfine coupling constants A|| (black) and the collective rotational correlation times τc (dark yellow) are shown together as functions of pH from CW EPR spectra in (a). The different regions in the τc curve can be subdivided into five dynamic regimes according to Qiu et al. [53] displaying the extended (E, gray), fast migrating (F, yellow), norm (N, green), basic (B, blue) and aged (A, purple) form of HSA. Phase space bars are given for τc and A|| where a compact form (C, green) was identified that ranges from pH 3.7–10.9. The collective lysine pKa value (pKa,Lys = 10.28 (red)) was calculated, as shown in Supplementary Material S3. All CW EPR measurements on 5-MSL HSA were performed at a protein concentration of 90 µM (≈280 µM MSL). (c) ANS fluorescence of 5-MSL HSA and (d) relative fluorescence values (black dots) are given in the pH range of pH 0.9–12.5. The molten globule (MG, red) appears where ANS fluorescence has its maximum between about pH 2.3 and 3.1. All fluorescence experiments were performed at a protein concentration of 1 µM and 100 µM of ANS (100 eq).
A further dynamic parameter in CW EPR spectroscopy is provided by the rotational correlation time τc that was calculated as a collective value from emerging spectral features of 5-MSL attached to HSA (see Supplementary Material S2). In a direct comparison to A|| in the range from pH 0.72–7.44 (Figure 2b) it turns out that the curve features of τc are much more pronounced and exhibit sharper, clear-cut boundaries of the different dynamic regimes. However, compared to the A|| curve, the onset of the F form in the acidic region is slightly shifted to pH 4.0 when the N form is clearly terminated by a quick drop in τc. These lysine-based dynamics in the N form as observed from 5-MSL appear strongly immobilized (τc = 4.68 ± 0.37 ns). Again, the E form emerges at pH < 2.8 exhibiting constant values of about τc = 1.93 ± 0.05 ns throughout. A completely different picture is observed from τc in the basic regime. Upon exceeding the physiological value of about pH 7.4, there is a significant increase in pH-induced lysine side-chain flexibility. This state persists until about pH 9.6. Interestingly, this transition region almost perfectly coincides with the proposed basic form (B) of HSA from pH 8–10 [52,53]. In this regard, it has to be noted that the near free rotation throughout all pH values is due to a high conformational flexibility of 5-MSL bound to the ε-amino groups of the lysines. The further increase in rotational motion above pH 7.4 can be traced back to the onset of pH-induced hydrolysis of the maleimido group [100,101,102] that should still link the ε-amino groups to the paramagnetic proxyl group.
The picture of a loss in rigidity in the B form [52] coincides well with a highly flexible lysine behavior, i.e., in return the lysines might indeed play a significant role in establishing this stable basic conformational isomer at pHopt = 9.8 (see also Figure 1a and Table 1). Finally, for pH > 9.6 all CW EPR spectra are dominated by least immobilized 5-MSL reporters with rotational correlation times in the range from 0.20–0.44 ns. The origins of this almost two-fold increase in τc for pH > 11 remain elusive, but it was stated early from experiments on poly-l-lysine [103] and spin-labeled poly-l-lysine variants [37,55] that a coil-helix transition occurs at pH > 9 for these polyaminoacids. Although this effect might not be as pronounced for HSA as in a polypeptide homopolymer, the significance of this feature is therefore presented as pH-induced changes of relative heights of high-field and low-field peaks in Figure S3.
Together with the PROPKA calculations a mean collective pKa,Lys = 10.28 can be derived for unmodified HSA-based lysines (Supplementary Material S3), almost perfectly coinciding with a maximum in these relative line heights and a collective lysine pKa value reported earlier [41]. It is therefore assumed that 5-MSL may serve as a probe for the determination of this pKa,Lys value.
From 5-MSL dynamics, the F and B forms of HSA are detected as pronounced dynamic transition regions by τc. Unfortunately, these unspecifically attached spin labels (Lys, Cys) [54,55] do not exhibit any salient characteristics from A|| and τc in pH regions where the emergence of a pH-induced MG folding intermediate is expected (pH 2.0). In this regard we performed fluorescence experiments with ANS and 5-MSL HSA that clearly revealed this feature in between pH 2.3–3.1 (Figure 2c,d). It is furthermore noteworthy that the onset of a transition to the MG state, i.e., hydrophobic surface exposure, seems to be already triggered between around pH 5–6 as it was also stated by Muzammil et al. [33]. A tentative phase space is also given for ANS fluorescence in parentheses, as some few characteristics coincide to EPR data (A||), e.g., the drop in fluorescence intensity beyond pH 11 (A form). Interestingly, it seems that ANS fluorescence resembles the calculated charge curve in Figure 1b quite well. In order to expand this established EPR spectroscopic viewpoint from 5-MSL HSA, the next sections of this study proceed with an approach elucidating pH-dependent protein-ligand interactions in spin probed HSA samples.
3.3. CW EPR Experiments on 5- and 16-DSA-Probed HSA Solutions from pH 0.8–12.9
Here, the pH-dependent self-assembly properties of HSA with the spin probes 5-DSA and 16-DSA [42] are tested thoroughly. The spectral features of pH-denatured albumin samples are investigated on an empirical level as it will be shown in the following. All CW EPR spectra in the studied pH range are depicted in Figure 3a–c. The spin probes can be regarded as sufficiently stable at all pH values in the time frame of a typical CW EPR experiment, as no significant loss of signal intensity or signal-to-noise ratio (SNR) occured. The reported pKa value is usually in the range of 4.5–4.9 for the carboxyl group of stearic acids [104,105,106,107].
Figure 3.
CW EPR experiments on spin probed HSA depending on pH. Here, CW EPR spectra are shown of 5- and 16-DSA-probed HSA solutions between 0.81 < pH < 12.87. All pH-dependent spectra are color coded in red (acidic), blue (neutral or compact) and green (basic) in overlapping graphs of N spectra. (a) All experimental CW EPR spectra of 5-DSA-probed HSA solutions are shown in the range of 0.81 < pH < 12.20 (N = 38) loaded with two equivalents spin probe (2:1). (b) All CW EPR spectra of 16-DSA-probed HSA solutions are shown in the range from 0.89 < pH < 12.24 (N = 42, 2:1). (c) CW EPR spectra of 16-DSA-probed HSA solutions are shown in the range from 0.98 < pH < 12.87 (N = 29, 1:1). All samples were recorded at 25 °C and 400 µM equivalents of protein to spin probe. (d) Some exemplary simulations of 16-DSA interacting with HSA (see Supplementary Material S4) are shown from the most prominent spectral features of aggregates (a, red), free ligand (f, green) and bound ligand (b1, b2, blue) that dominate the spectral shape at specific pH ranges.
Thus, due to the intrinsic pH-dependent solubility of the probe itself, it is expected that it mainly exists in the protonated state at about pH 1.0. Therefore, the more insoluble, protonated spin probes at acidic pH accumulate in micelles or aggregates, while HSA’s affinity towards fatty acids decreases simultaneously when the protein is in the fast (F) and extended form (E). This circum- stance is also exploited in purification strategies during which fatty acids are removed from albumin-containing solutions [52,108]. In this context, acidic spectra reveal spin exchange-induced (JAB) baseline shifts that are typical for aggregated components in EPR spectra (see Figure 3d, a, red) [109]. Some initial investigations on the pH-dependent properties of the self-assembled system of another spin-labeled FA (12-DSA) to BSA are given in Ge et al. [41], also claiming the strong insolubility of the spin probe, as well as of BSA itself at low pH.
A similar but inverse effect is observed at pH > 11, when HSA is in the aged form (A). Obviously, HSA again loses affinity towards the spin probes as detected by the increasing fraction of typical three-line spectra that emerge for freely tumbling paramagnetic ligands in EPR (f, green). At such high pH values 5-DSA and 16-DSA are in their deprotonated and in a much better soluble state compared to pH 1.0. The spectral shapes of spin probed HSA samples remain largely constant in the range from about pH 4.0–11.0 and can be understood to depict a native-like, compact form (C) as it was reported to be in a similar range for BSA [75]. In this compact form the albumin protein binds almost all spin probes (>99.9%, b = ∑bi, blue, see also Table S1) [41].
Due to the complex spectral composition consisting of the fractions a, b1, b2 and f throughout most pH regimes [42,110], an alternative strategy is now rationalized that allows for extracting useful information from these datasets. For example, a comparison of Figure 3b,c reveals that aggregate formation (red) is significantly hampered by adding only one instead of two molar equivalents of 16-DSA.
3.3.1. Monitoring Global Spectral Changes from CW EPR Spectra of Spin Probed HSA
The strong pH-dependent spectral changes, as seen in Figure 3, can be reduced to distinct parameters that monitor the strongest line shape and position alterations with pH and are summarized in Figure 4a. Especially, for 16-DSA the observed aggregates cause severe positive (3330 G < B < 3350 G) and negative (3370 G < B < 3390 G) intensity shifts. Therefore, the parameter h﬩ is introduced that monitors these special characteristics. Strategically, it is set to the B-field positions of the readout values of the A﬩ component of immobilized spectra that are typically used in the determination of order parameters (S) in membrane biophysics (see below) [94,111]. Additionally, the high-field peak height (h−1) is used to obtain information about the relative amount of free spin probes, while the center-field height (h0) is used to normalize both parameters (h﬩ and h−1) to each other. Thus, an empirical expression:
is defined serving as a straightforward measure that mainly contains information about aggregate formation and FA release from HSA.
Figure 4.
Lineshape readout scheme for spin probed HSA samples and the pH-dependent Iabf parameter. A scheme is presented that traces characteristic changes in CW EPR spectra from spin probed HSA solutions with pH. (a) A representative spectrum of 16-DSA-probed HSA (2:1) at 400 µM equivalents is shown for pH 12.24. Vertical parameters are the center-field peak height (h0), high-field peak height (h−1) and the intensity shift h﬩. The horizontal parameters are A||, A﬩ and the center-field peak width (ΔB0,pp) that are used in this study (see below). (b) An Iabf parameter analysis and readout scheme for 16-DSA-probed HSA solutions (2:1) is shown at all pH (orange). Three regions can be clearly assigned to be caused by spin probes in aggregates (a), bound to HSA (b1, b2) and free in solution (f). The acidic onset of FA release, or aggregate formation (pHa) increases Iabf for a maximum value Ia. The onset of alkaline FA release is termed pHf. While the bound spin probes also change Iabf for a value Ib, pHa,0 and pHb,0 denote the midpoint of an individual transition range. (c) Analyses of all spectra emerging from 5-DSA- (black, 2:1) and 16-DSA-probed HSA (1:1 (purple) and 2:1 (orange)) are presented in Figure 3a–c. (d) The exclusive spectral contribution from the free fraction h−1/h0 of 16-DSA-probed HSA samples is highlighted here. An intermediate increase of the free ligand fraction is observed with intensity If at pHf,0.
Figure 4b shows the results from a corresponding analysis of 16-DSA-probed HSA (2:1). It turns out that there are two individual Boltzmann-shaped curve sections in the range from pH 1–9. In the acidic range from pH 0.8–4.5 an increasing amount of probe aggregates is formed when pH is lowered inducing a height shift Ia with an inflection point pHa,0. The region from pH 4.5–9.0, where HSA remains in its compact form and most of the probes are bound, reveals that Iabf is again subjected to a sigmoidal increase with the height Ib and an inflection point pHb,0. It can be seen in Figure 3b,c that this feature clearly emerges due to slight changes in h﬩, although no aggregates are present. This feature emerges due to dynamic population changes in the bound fractions ϕb1 and ϕb2 as it was already described by Muravsky et al. [42], where a straightforward kinetic model was applied (with ϕb1 = NS0 and ϕb2 = NW0). In this regard, we recently demonstrated on polymeric model systems that this fatty acid-derived kinetic model can be ultimately used for the construction of thermodynamic fingerprints and thus hydration states of ligand, while interacting with the corresponding substrate [112]. However, this approach is considered as (far) beyond the scope of this study.
The results from analyses on Iabf curves are explicitly discussed in Supplementary Material S5 (see also Table 2). Counterintuitively, it was found that the asymmetric minimum features between about 3 < pH < 6, as well as from about 9 < pH < 12, can be determined by an appropriate Nelder model function [113]:
Table 2.
Characteristics observed from 16-DSA-probed HSA in Iabf and h−1/h0 curves a.
This kind of rational function is usually applied in modeling crop yield responses to nitrogen fertilizer [114] and milk yield lactation curves from dairy cattle [115].
It can be shown that fit parameters directly yield the acidic minimum with pHa = −α + (β0/β2)−1/2 and the basic minimum at pHf = −α − (β0/β2)−1/2 (Supplementary Material S5). In Figure 4c all datasets are compared by Iabf, revealing that 5-DSA-probed HSA is rather insensitive to pH in this aspect, however, with slight positive changes for extreme pH. Both 16-DSA loading ratios (1:1 and 2:1) reveal several recurrent and invariant features that can be detected by Iabf. The obtained values around pHa = 4.3 and pHf = 11.4 can be interpreted as the onsets of acidic and basic FA release, respectively. This is also indicative of a compact protein shape in the range of pHa < pH < pHf that obviously contains persistent and functional FA binding pockets.
Furthermore, these data sets suggest that the rate of FA ligand aggregate formation is most pronounced at the acidic inflection point (pHa,0 = 3.45). According to the values listed in Table 2, pHa,0, pHa and pHf are apparently largely independent of the loading status and the amount of aggregates formed (Ia). A closer inspection of the relative free fraction (h−1/h0) of 16-DSA-probed HSA (Figure 4d) reveals an interesting bump at about pHf,0 = 6.2–6.3 where an increase (If) in the relative amount of free ligand is observed. This increase of free ligand is also about twice as high when the loading ratio is doubled and seems to be correlated to the inflection point pHb,0 when the bound spectral features exhibit the strongest dynamic changes. Both, the strong dynamic changes in bound fatty acids and the simultaneous FA release have to be mainly charge induced. In combination with Figure 1b it is concluded that pHf,0 and pHb,0 arbitrarily correspond to an experimentally observable isoelectric point (pI = 5.79, Table 1) in CW EPR spectroscopy. Here, the pHb,0 values slightly differ for both investigated 16-DSA loadings.
3.3.2. Monitoring Changes in Spin Probe Immobilization (A||) and Polarity (Azz) in HSA
As for 5-MSL, apparent hyperfine coupling constants A|| are here again used as a measure for the compactness of HSA. This directly accessible spectral parameter is widely used due to its little ambiguity [116], and is here observable throughout all pH values for all spin probes and all investigated loadings. Additionally, the well-known polarity probing properties of DSA [41,117] are tested here with the Azz value in order to detect variations in solvent accessibility or hydrophobicity [118]. Here we can also test the hypothesis, whether the spin probes may act as EPR spectroscopic ANS-analogues that enable the detection of an acidic MG state of HSA [33,34] by their individual Azz value and therefore by polarity.
Figure 5a shows all pH-dependent A|| values that were observed for 5-DSA and 16-DSA, as shown in Figure 3. However, the determination of outer extrema separations may be afflicted by strong read-out errors of up to ΔA|| = 0.9 G, especially at strongly acidic pH. The three curves exhibit similar trends with slightly differing peculiarities. For clarity, again a color coded phase space bar has been inserted to each curve that designates observable changes in A||. In principle, the more immobilized the spin probes are, the larger the A|| values get. For 5-DSA-probed HSA the observed overall changes in A|| are most pronounced (δA||,5 ≈ 3.4 G and δA||,16 ≈ 2.0 G, corresponding to maximum variations in A|| of about δA||,k/A||,k,max = 6–10%). A maximum feature can be found between 7.86 < pH < 9.84 for 5-DSA (I., see Figure 5b) that can be rationalized as the most compact or stable state of HSA (B form) in correspondence with the stability curve in Figure 1a. Therefore, this feature is correlated to pHopt = 9.84. However, this B form is not observed in 16-DSA-probed HSA.
Figure 5.
pH-dependence of A|| as observed from spin probed HSA. Outer extrema separations 2A|| from CW EPR spectra in Figure 3a–c are plotted in the observed pH range for (a) 5HSA 2:1 (black), 16HSA 2:1 (orange) and 16HSA 1:1 (purple) at 400 µM equivalents. Individual phase spaces containing conformational isomers E, F, C and A are given as a color coded bar at the top of each curve according to Figure 1. Additionally, supposed MG states are given in red bars when a corresponding feature emerges. Significant features are marked with roman numerals (I.–VI.). (b) Significant curve features that belong to the pH range of maximum stability (pHopt, I.), or the MG state (II.–IV.) and their corresponding intensity changes (IA,MG) are highlighted, as shown in (a). (c) A polarity difference plot δAzz = Azz,5 − Azz,16 is constructed from CW EPR spectra that were recorded at T = 150 K (see Supplementary Material S7). Differences in polarity are given as gray columns with green error bars. Positive values indicate a polarity increase for 5-DSA (protein interior) and consistently, negative values indicate a polarity increase for 16-DSA (protein surface) bound to HSA [44]. The maximum change in polarity at about pH 2.0 is denoted with δAzz,MG. Error bars of ΔA|| (gray) are the calculated relative maximum accuracies from values of individual spectra.
At pH > 9.8 a steady decrease is observed for 5-DSA and this region is therefore termed as the aged (A) form similar to the results from 5-MSL HSA. For pH < 3.87 a decrease is observed that can be correlated with the onset of the F form and the E form is identified below pH < 2.78. At about pH 2, where the MG state is supposed to appear, an indentation in the A|| curves of 5-DSA- (2:1, II) and 16-DSA-probed HSA (1:1, IV) can be observed that are missing for 16-DSA-probed HSA at a higher loading ratio (2:1, III).
In order to further substantiate this finding, a Gaussian fit curve was applied for 5-DSA (2:1), whereas a Gumbel fit curve [119] was used for 16-DSA (1:1), yielding pHMG,5 = 2.13 ± 0.13 and pHMG,16 = 1.90 ± 0.14, respectively (Supplementary Material S6). The emergence of both features is now intrinsically ambiguous as it can be either induced by a drop in polarity (decrease in Azz), or by a structural softening of the protein (decrease in A||).
For clarification, an additional set of pH-dependent Azz values was recorded in the whole investigated pH range with emphasis on the region around the MG state (Supplementary Material S7). It turns out, that all recorded Azz values for 5-DSA and 16-DSA vary in a quite narrow range from 33.5 G < Azz < 34.6 G throughout all pH values and both applied spin probes. However, from the difference δAzz = Azz,5 − Azz,16 it is revealed that there is indeed a distinctive feature at pH 2.05 with δAzz,MG = +1.07 G that in fact exceeds the uncertainty from data extraction (Figure 5c). This EPR-based finding constitutes that the MG state is a structurally weakened folding state of HSA that is observed as a spontaneous and slight decrease in spin probe immobilization. The relative increase in Azz,5 further substantiates this claim as it is indicative for 5-DSA-monitored solvent exposure of the protein interior [44] that would go along with a structural opening of HSA. At all other pH this effect is considered as too weak for being detected, apart from pH 6 where a very low, hydrophobic Azz,5 value is found while Azz,16 monitoring the protein surface is the overall highest, e.g., very hydrophilic.
Generally, there is an inside-out-polarity inversion from pH 6 towards pH 2 as observed from the two different spin probes. This corresponds astonishingly well with the findings from ANS fluorescence presented in Figure 2d. The slight decrease in Azz,16 at pH 2 proves that (more) hydrophobic patches form at the 16-DSA-probed surface [120] of HSA. This gives a first estimate about the potential of the paramagnetic FA derivatives to rival ANS in order to detect MG states as long as IA,MG (0.8–1.1 G) is larger than the relative changes in Azz,k (0.4–0.5 G) around pHMG.
From 16-DSA-probed HSA, a quite clear-cut plateau-like region is observed in the A|| curve that ranges from pH 3.60–11.02 for singly loaded (1:1) and pH 4.79–11.23 for doubly loaded HSA (2:1). This feature is indicative of a compact form (C) of HSA that is transformed to the aged form (A, pH > 11.0) and to the fast rotating form (F, pH < 3.6). This is largely in agreement with the ranges observed from corresponding A|| values of 5-MSL HSA (Figure 2b). The shift in the onset of the F form in 16-DSA-probed HSA (2:1, orange) may be due an acidic structural weakening that originates from the sheer presence of fatty acids. The onset of the E form is also shifted from pH 2.66 to pH 3.26 upon addition of a second spin probe. This may be also due to changes in the dynamic bimodality of spin probe immobilization (b1, b2). Furthermore, there is no evidence for the presence of a MG at pH 2 for HSA containing two 16-DSA spin probes. It is therefore concluded that FA loading affects the dynamic behavior of HSA essentially in the acidic pH range (pH < 5), where the occurrence of the F and E forms are expected. As A|| can be observed throughout the whole investigated pH range, it is self-evident that a considerable fraction of the spin probes always remains bound to the protein.
3.3.3. Monitoring Changes in Center-Field Linewidths (ΔB0,pp) from Spin Probed HSA
The center-field linewidth ΔB0,pp is intrinsically related to the transversal relaxation time T2. The dominant contributions to T2 are motional modulations of the hyperfine coupling tensor (A) that provide information about molecular reorientation [111]. As this rotational reorientation of spin probes bound to HSA is anisotropic, bimodal (b1, b2) and very slow (τc,b1 = 14.2 ns and τc,b2 = 5.8 ns at pH 7.4, see Table S1), linewidths themself are here regarded as a sufficient qualitative measure for dynamic changes of spin probed HSA. Figure 6a shows all pH-dependent linewidths ΔB0,pp that were extracted from 5-DSA- and 16-DSA-probed HSA according to the readout-scheme in Figure 4a. It is obvious, that the advantage compared to A|| lies in the small readout errors throughout all investigated pH values and the tremendous relative spectral changes that are about 4–8 times stronger than for A|| (δΔB0,pp,5 ≈ 4.0 G and δΔB0,pp,16 ≈ 2.3 G, corresponding to maximum variations in ΔB0,pp of about δΔB0,pp,k/ΔB0,pp,k,max = 39–50%).
Figure 6.
pH-dependence of ΔB0,pp as observed from spin probed HSA. The center-field linewidths ΔB0,pp from CW EPR spectra in Figure 3a–c are plotted in the pH range for (a) 5HSA 2:1 (black), 16HSA 2:1 (orange) and 16HSA 1:1 (purple). Individual phase spaces containing conformational isomers E, F, N (C), B and A are given as a color coded bar at the top of each curve according to Figure 1a. Additionally, the supposed MG state (red) and pHB,0 (black) features are given. Significant changes are marked with roman numerals (I.–VI.). In case of ambiguous curve shapes the phase space bars have been set in parallel (e.g., E and F for 16-DSA at pH < 7). (b) Close-up representation of significant features (I.–IV.) from ΔB0,pp of 5-DSA- and 16-DSA-probed HSA that can be fitted with a Gaussian model function (Supplementary Material S8). Intensity changes in the range of pH 4–9 are given as IB for 5-DSA and IB,MG for pH 1–3 for both spin probes. A local maximum feature is observed for 5-DSA at pH 9.43 that is again correlated to pHopt. (c) Collection and close-up representation of curve features (V. and VI.) that are exclusively visible in 16-DSA-probed HSA. The range of pH 3–9 can be fitted with a Boltzmann model function. The maximum change in linewidth ΔB0,pp is termed IB and for simplicity the inflection point of the curves is again represented by pHB,0.
The curves obtained from 5-DSA and 16-DSA decisively differ in shape, however, it can be shown that the information content is very similar. Again, a color coded phase space bar has been inserted to each curve that designates observable changes in ΔB0,pp. In principle, the more rotational freedom the spin probes experience, the lower the ΔB0,pp values get. Overall seven different features can be assigned from 5-DSA-probed HSA alone. Specifically, the symmetric N1 section can be analyzed by a Gauss curve due to the continuous and symmetric change in linewidth (Figure 6b, I.) for about IB = −0.76 G that exhibits a minimum at pHB,0 = 6.25 ± 0.08 (Supplementary Material S8). Note, that very similar curve shapes were recorded from tyrosyl fluorescences of HSA (domain III) by Dockal et al. [34]. Here, the F form is also clearly identified by a step-like feature ranging from pH 2.78–3.87. The lower linewidth values in the acidic range below pH 2.78 are again assigned to the E form and values beyond pH 11.19 to the A form of HSA.
The linewidths around pH 2 are clearly diminished for about IB,MG ≥ 0.2 G in all obtained curves (Figure 6b, II.–IV.), indicating a slight release in motional restriction that is again ascribed to emerge due to the formation of a molten globule-like state. The exact positions and widths of these diminished acidic linewidth features were fitted with Gaussian functions that revealed midpoint values of pHMG,5 = 2.16 ± 0.37, pHMG,16 = 2.01 ± 0.13 (1:1) and pHMG,16 = 1.87 ± 0.95 (2:1, see Figure S9). The higher 16-DSA loading ratio (2:1) obviously blurs the sharp position of the MG state. As for A||, this circumstance again proves that the MG is characterized with a structural widening, accompanied with increased motional freedom of the spin probes. The pH-dependent linewidth curves from 16-DSA-probed HSA are a bit more ambiguous.
Apart from the acidic region from about pH 0.8–3.2 where the E forms and MG-like states can be observed for both loading ratios, there is no sharp transition to an F form. The linewidths rather increase sigmoidally from pH 3 to about pH 7 until a plateau is reached that persists to about pH 10. Therefore, this plateau is coined as the B form with the strongest motional restriction. The transition region from pH 3–7 is interpreted as bimodal, i.e., the F and N forms of HSA are inseparable. In fact, the two different modes of ligand immobilization (b1 and b2) [42] are again suspected to decisively contribute to this feature. Due to this transition-like behavior, both curves were analyzed with Boltzmann fit curves (Figure 6c and Figure S9) and it turns out that the pH value of the inflection point is almost identical to the pHB,0 value observed in 5-DSA-probed HSA. More precisely, the obtained values are pHB,0 = 6.01 ± 0.07 (1:1) and pHB,0 = 6.21 ± 0.06 (2:1) that provide sufficient evidence for substantiating this striking coincidence.
The detection of the onset of the A form is also blurry for 16-DSA-probed HSA as the plateau ranging from pH 7–10 does not end abruptly, but rather continuously decreases its linewidth for extremely basic pH. Generally, all spin probes monitor a significant gain in motional freedom for pH > 11, due to the structural weakening of HSA in the A form.
3.3.4. Monitoring Changes from Order Parameters (S) in Spin Probed HSA Solutions
Order parameters (S) can be used as a measure for mean angular fluctuations of a system [111]. Originally it was thought for investigating liquid crystalline systems by their degree of molecular order [121,122]. The extraction and use of order parameters is well realized in EPR spectroscopy. Most applications in this concern are mainly restricted to physical properties of biological or artificial membrane systems [94,123,124,125,126,127,128,129,130], but have been also tested, or discussed for albumin [40,131,132]. Here, analyses are restricted to 16-DSA-probed HSA, as the 5-DSA spin probe appears to lack decisive spectral features for order parameter construction, due to the intrinsic strong immobilization, as well as strong, irreducible spectral noise. A similar issue was already mentioned by Morrisett et al. [132].
In principle, pH-dependent values for A|| and A﬩ are read out from individual spectra according to the scheme given in Figure 4a, whereas the corresponding order parameter-based isotropic hyperfine coupling constant is aiso,S = (1/3)∙(A|| + 2A﬩) [116]. The magnetic parameters of bound spin probe species are provided by an explicit spectral simulation performed on 16-DSA-probed HSA (2:1 loading with aiso,b = (1/3)∙(Axx + Ayy + Azz), see Table S1). Thus, potential polarity differences between aiso,S and aiso,b can be considered in the order parameter construction as given by [94,111]:
For simplicity, the denominator term (Azz − Axx) = 28.43 G is considered as a constant throughout all investigated pH values as it was shown in Section 3.3.2 that slight changes in Azz are hardly detectable at X-band frequencies.
A complete pH-dependent set of 16-DSA-derived order parameters is given in Figure 7a for both loading ratios (S11 and S21). Interestingly, there is no distinct phase detectable in both curves, however, maximum order (Smax,16) is found for pH 7.6 ± 0.2. Thus, all order parameters are found to continuously change with pH in a quite narrow range from 0.52 < S < 0.73 that would indicate a nematic behavior [122] of the HSA-bound spin probes in a figurative sense. Generally, S21 values are a bit lower than S11, speaking in favor that the FA binding affinity (KA) changes [39,133,134], or in EPR spectroscopic terms, the occupation of the weak immobilized spectral fraction (ϕb2) increases with FA loading [43]. Whereas S21 has an approximate two-state process-like curve shape, S11 exhibits an additional, rather broad feature at about pH 2 that indicates a state of maximum spin probe disorder. This finding is again correlated to the MG state and a Gaussian curve fit reveals that the extrapolated value is at pHMG = 2.31 ± 0.57 (Figure S10 and Supplementary Material S9). The detectable change of the order parameter, due to this feature is about IS,MG = 0.033. Furthermore, S can be related to a spin probe wobbling angle γ by the relation [116]:
that can be translated into the expression:
Figure 7.
pH-dependence of order parameters S and wobbling angles γ from 16-DSA-probed HSA. The order parameters and wobbling angles from CW EPR spectra in Figure 3b–c are plotted in the observed pH range for both loading ratios (1:1 (purple) and 2:1 (orange)). MG-related features are highlighted with red dotted lines. All calculated error bars are given in gray. (a) The order parameters S11 and S21 of 16-DSA interacting with HSA as a function of pH. The global maximum value for both curves is given with gray dotted lines (Smax,16). The order parameter depletion IS,MG around pH 2 is correlated with an MG-like state. (b) Wobbling angles γ11 and γ21 of 16-DSA interacting with HSA are shown as a function of pH. The global minimum value for both curves is given with gray dotted lines (γmin,16). The increase of the wobbling amplitude Iγ,MG around pH 2 is here correlated with the emergence of a MG-like state.
This wobbling angle can be understood as a restricted random walk of the main diffusion axis on the surface of a sphere (here: albumin), or a fluctuation between the diffusion axis and the sample axis [116]. Nominally, the wobbling angle is the rotation on a cone with a semi-cone angle γ, indicating the spin probe fluctuation amplitude [135,136,137].
Corresponding results are found in Figure 7b and show an inversed curve shape of the order parameter with decisive features (Smax,16 = γmin,16) at identical pH values. For both curves, the wobbling angles range from 36.5° < γ < 50.3°. Changes observed in the wobbling angle that appear due to the emergence of the MG-like state of HSA are considered as more illustrative with Iγ,MG = (2.2 ± 0.4)°, corresponding to a relative maximum change of about 26%. The absence of the depletion region around pH 2 for two 16-DSA ligands interacting with HSA (2:1, orange) gives rise to the assumption that a higher FA loading prevents the formation of a MG state, as it was already observed in the A|| curves (Figure 5a). However, from this viewpoint, the MG state can thus be understood as an intermediate state of maximum ligand disorder and ligand wobbling amplitude.
3.4. DEER Experiments on 16-DSA-Probed HSA Solutions at pH 1.03–12.15
The pH denaturation of 16-DSA-probed HSA solutions was also conducted in a complementary view to CW EPR by 4-pulse DEER spectroscopy [77,78]. This was done to screen the system indirectly for the occurrence of structural changes that can be monitored by bound ligand displacements in the associated HSA scaffolding. For successful DEER experiments with sufficient modulation depth (Δ) and SNR, the nominal loading ratio of FA to albumin was conveniently chosen as 2:1 [44]. The reduction in protein concentration from 400 to 170 µM was considered as necessary for attenuating the effect of aggregate formation propensity of 16-DSA when it is partially released below pH 4.0 (Figure 3b,c) [52,108]. Additionally, information about HSA is lost when bound fatty acids with their messenger duty would be completely released from the protein.
All DEER results from the pH denaturation process of HSA are shown in Figure 8. Due to the large data set of 19 individual measurements the presentation is subdivided in an acidic regime from pH 1.03 to pH 7.40 and a basic regime from pH 7.40 to pH 12.15. The time traces in Figure 8a,b and the dipolar evolution functions in Figure 8c,d reveal that clear dipolar modulation is only obtained in the range from pH 3.83–11.35, covering the entire compact norm form (C) regime of HSA as it is similarly detected in A|| curves (Figure 5a) from corresponding CW EPR experiments.
Figure 8.
DEER experiments on 16-DSA-probed HSA at various pH values. All DEER data were recorded from 16-DSA-probed HSA solutions in the range from pH 1.03–12.15 and are subdivided in acidic (pH ≤ 7.4) and basic (pH ≥ 7.4) experimental data. The FA loading ratio was set to 16HSA 2:1 at 170 µM equivalents. Raw DEER time traces V(t)/V(0) are shown in (a) the pH range from 1.03–7.40 and (b) pH 7.40–12.15. Dipolar evolution functions F(t)/F(0) (black) with regularized fits (red) are shown in the range (c) from pH 1.03–7.40 and (d) pH 7.40–12.15. Distance distributions P(r) from data shown in (c,d) are shown in (e) from pH 3.83–7.40 and (f) pH 7.40–11.35. The gray dotted lines in (e,f) are an aid to the eye for indicating relative changes compared to Pmax(r) at physiological conditions (r = 3.58 nm, pH 7.40).
The resulting aggregates constitute a direct recording of meaningful time traces of intra- molecular distances of HSA-bound fatty acids as impossible. The presented distance distributions P(r) are restricted to this pH range where background dimensionalities of D = 3.73 ± 0.01 are typically used for HSA, reflecting an effective excluded volume, due to the rather sizeable protein molecules [44,87]. The background dimensionality slightly decreases for pH > 11.35 and in the acidic regime of the fast migrating HSA form (F) it is about D = 3.1. It furthermore reaches relatively stable values of 2.0–2.5 in the extended HSA form (E) below pH 2 when 16-DSA aggregates dominate all CW EPR spectra (Figure 3b,c). Such dimensionality features largely correspond to findings in previous studies on different planar systems of, e.g., spin-diluted micelles giving values of D = 2–3 [138,139,140,141]. An overview of pH-dependent background dimensionalities is given in Figure S11.
Unfortunately, the pH region where the MG state of HSA is formed (pH 2.0) does neither exhibit features of a regain or loss in ordered ligand alignment, nor detectable changes in modulation depth Δ. This is in agreement with CW EPR data at 2:1 loadings (Figure 5a and Figure 7a). With the domination of exchange (aggregate) contributions in DEER time traces and the absence of any clear dipolar modulation, it has to be assumed that an interpretable shape of P(r) is not detectable from 16-DSA ligands for the MG state in HSA. Although a substantial amount of the spin probes seems to still interact with HSA at this low pH, the aggregate fractions in DEER samples obviously suppress the extraction of protein-associated information.
Besides a general fanning out of individual distance peaks in P(r) that would correspond well with an increase in ligand disorder in the acidic pH regime (Figure 7a), close inspection of the distance distributions in Figure 8e,f reveals a general shift in the maximum probability density of P(r) = Pmax(r) that is depicted as a function of pH in Figure 9a.
Figure 9.
Parameter shifts during pH denaturation of 16-DSA-probed HSA from DEER data. (a) The pH-induced variation of the main distance peaks from Pmax(r) in Figure 8e,f (black) are shown together with a sigmoidal fit curve (red) in the compact form (C) of HSA. Error bars are related to the resolution (Δr = 0.025 nm) in corresponding distance distributions. The gray dotted line gives the physiological distance value for pH 7.40 and the black dotted line indicates the midpoint (pHP,0) from the sigmoidal fit from Equation (5). The trend in acidic expansion (red) and basic contraction (green) is indicated as proposed in Qiu et al. [53] with rmax and rmin highlighted. (b) The variation in corresponding modulation depths Δ is given as a function of pH (black) together with the stability curve of HSA from Figure 1a (PDB ID: 1e7i). Significant and comparable modulation depths from DEER data are only observed in the compact form (C) of HSA. Error bars for modulation depths Δ are consistently given as suggested in Bode et al. [142] with ΔΔ = 0.02.
This charge induced peak shift in Pmax(r) with pH exhibits a sigmoidal curve shape that can be reproduced by a Boltzmann type of function:
with extrapolated values for rmax = 3.96 nm and rmin = 3.46 nm (ΔrpH = 0.50 nm) with a very high correlation coefficient of R2 = 0.9972 (Table S10). The midpoint pH = pHP,0 = 6.16 ± 0.13 gives the inflection point of the fit curve and dpHP,0 is related to the width of this transition from rmin to rmax.
Note, that pHP,0 is again close to the calculated isoelectric point pI = 5.79 where HSA’s net charge should be Q = 0. Furthermore, the shift in Pmax(r) corroborates the picture of a proposed acidic expansion and basic contraction of HSA [53] as detected from bound messenger ligands. The pH-dependent modulation depths Δ in Figure 9b are schematically combined with the calculated stability curve of HSA loaded with seven stearic acids (see also Figure 1a).
This graphical comparison elucidates that the general emergence of modulation depths (here: Δ > 0.26) can be correlated to a rather stable and compact state (C) of HSA that strongly binds 16-DSA ligands.
The F form is here identified by the region of strong changes in Δ between pH 2.57 and 3.83. However, no characteristic modulation depths are detected that would help to identify the presence of a MG state. Yet, similar to the pH-dependent A|| values in Figure 5a, a stable, compact (C) and largely functional pH region can be identified between about pH 3.83 and 11.35. Note, that the increasing ligand disorder S below pH 6 (Figure 7a) is mirrored by the emergence of additional peaks in P(r). The main characteristics from parameter analyses of bound spin probes (A||, Azz, ΔB0,pp, S and P(r)) are ultimately summarized in Table 3.
Table 3.
Characteristics observed from 5- and 16-DSA-probed HSA.
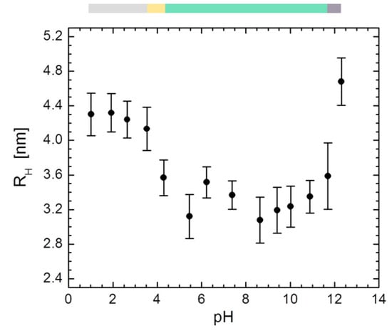
3.5. DLS Experiments on HSA between pH 1.01–12.31
In order to complement the findings from DEER experiments, hydrodynamic radii (RH) from DLS experiments on HSA are shown in Figure 10. Although it only serves as a reference experiment for elucidating the pH-dependent solution size of HSA, the obtained results are in very good agreement with prevalent literature [143,144,145] ranging here from 3.33 ± 0.24 nm in the compact C form to 4.25 ± 0.27 nm in the E form.
Figure 10.
pH-dependent DLS experiments on pure HSA. Hydrodynamic radii RH of HSA are given as a function of pH. The phase space bar gives the extended form (E, gray), compact form (C, green) and the aged form (A, purple) that can be clearly separated. A fast migrating form (F, yellow) is assumed to appear in a narrow range between pH 3.5 and 4.3.
Another pH-induced increase in the hydrodynamic radius of HSA can be seen in its aged form (A) for pH > 11.7, when RH reaches values about 4.68 ± 0.27 nm. Very similar results have been described by Tanford et al. [146] for BSA at a comparable ionic strength of I = 0.15 M. The F form is here indirectly detected in a quite sharp range between 3.5 < pH < 4.3 and no specific hydrodynamic size can be determined here. Strong deviations in the obtained values from the real RH values of albumin, due to the electroviscous effect [74] are not expected, as it was already ruled out by Tanford and Buzzell [75]. Although several measurements were averaged to obtain an individual data point, DLS experiments are most probably not sensitive enough for detecting slight structural rearrange- ments of ΔRH < 0.3 nm, assuming an intrinsic sensitivity of about 5–10% in this method [147]. However, note that the pH-dependent modulation depths Δ from DEER experiments (Figure 9b) are qualitatively reproducing this curve shape in DLS also quite well.
4. Discussion
All previously reported pH-induced conformational isomers of HSA could be discovered by CW EPR spectroscopy (E, F, N, B and A) [52,53], including the somewhat enigmatic MG state at about pH 2 [33,34]. This was facilitated by screening the samples in the pH range from pH 0.7–12.9. Spin probing HSA with 5-DSA and 16-DSA, as well as spin-labeling HSA with 5-MSL turns out to yield information of exceptionally intricate, but valuable information that will be correlated in the following lines.
The stability and charge curves (Figure 1) served as a reference for better understanding the EPR spectroscopic features emerging around the isoelectric point (pI = 5.79) and in the region of HSA’s optimum stability (pHopt = 9.80). Throughout all observed parameters there were several invariant features that can be indirectly, but clearly assigned to certain functional features that are not always self-evident, as e.g., the MG state, the pI and the optimum stability of albumin. A complete list of significant pH values of structural isomerization and FA-based features is given in Table S11. Therein, all recurrent and pH-invariant features were combined and averaged across all applied experiments and analyses that yielded significant values of functional singularities apart from the ANS fluorescence. Based on this list, a pH-induced functional phase space can be constructed as presented in Figure 11.
Figure 11.
pH-induced functional phase space of HSA. A condensed graphical overview is given about all observables from EPR spectroscopy (and DLS experiments) that can be found in Table S11. The pH-induced conformational isomers in the elongated (E, gray), fast migrating (F, yellow), norm (N1 and N2, green), basic (B, blue) and aged form (A, purple) are identified in an averaged phase space bar in the range of pH 0.7–12.9. The compact form (C) comprises the N1, B and N2 isomers and can be obtained from free ligand (f + a, red bar), bound ligand (b), 5-MSL HSA, or from DLS (green bar). The MG state (red, left) and the pH of maximum ligand order (Smax, black) are exclusively obtained from spin probing experiments. An isoelectric point (pI, black) can be extrapolated from both, the bound and free ligands (f + a + b) and is detected as a kind of electrostatic activation of ligands (pHEA). The Iabf parameter monitors the behavior of the free ligands and elucidates the acidic (pHa) and basic onset of FA release (pHf) with a clearly extractable maximum rate of aggregate formation (pHa,0). The point of maximum HSA stability (pHopt) and the collective lysine pKa (pKa,Lys) can be either calculated, or are also detected in several EPR-based data sets. The color coded isomerization scheme (top) is given with corresponding averaged pH values with N1 as the main physiologically functional cardinal point.
Basically, the results can be subdivided in items that can be extrapolated from protein-based findings of covalent (5-MSL: A|| and τc) and non-covalent interactions (5-DSA and 16-DSA spin probes are either bound (b1 and b2): A||, Azz, ΔB0,pp, S, γ, P(r) or free (f and a): Iabf, h−1/h0)) from EPR-active nitroxide reporter groups. These nitroxides exhibited sufficient stability throughout all applied pH values. Additional aspects that supplement DEER data that provide information about the solution shape of HSA were obtained in DLS experiments.
The compact C form of HSA ranges from the onset of the F form (pHF = 4.0 ± 0.4) towards the onset of the A form (pHA = 11.2 ± 0.3) and can be similarly observed from free (interval: [pHa, pHf]) and bound ligands (interval: [pHF, pHA]). Furthermore, the C form can be subdivided in two norm forms that are separated by the intermediate basic form, so that C comprises the phases N1, B and N2 (C emerges for the interval: [N1, N2]). DEER-derived parameters (Δ, D and P(r)) are also found to be exceptionally sensitive for compactness and sample homogeneity and thus provide valuable and consistent insights about the structural integrity of the protein. A recent study highlighted that changes in modulation depth also constitute an indicator for cooperativity effects in such self- assembling systems [148].
The B form is characterized by a strong increase in lysine rotational dynamics (τc) as observed from 5-MSL (Figure 2b), from a maximum motional restriction of 5- and 16-DSA spin probes (ΔB0,pp), or maximum compactness of the protein interior as monitored by 5-DSA (A||). Intriguingly, the onset of the B form coincides with a maximum ligand ordering (Smax) where least dynamic ligand fluctuations occur (γmin), interestingly at about the physiological pH value (pHS = 7.6 ± 0.2). Moreover, the appearance of the B form typically ends when maximum compactness of HSA is achieved at pHopt = 9.6 ± 0.2.
The A form is generally well detected by a loss in protein compactness as monitored by A|| in CW EPR (5-MSL HSA or 16-DSA), or further parameters from DEER. This happens as a consequence to the basic loss in structural features that are also accompanied with ligand release (pHf = 11.4 ± 0.1). However, the linewidths (ΔB0,pp) were found to yield ambiguous curve shapes in this pH range for both spin probes. Evaluation of the order parameter (S) exhibited similar issues, due to the intrinsic continuous and smooth curve progress.
The onset of an E form of HSA could be easily detected for all spin probed and spin-labeled HSA samples by mainly tracing an increase in A||, ΔB0,pp, Δ or τc with the onset of the F form (pHE ≤ 2.9). Beyond that, the E form is not necessarily a linear dynamic region, but may exhibit features that allow for the identification of an acidic MG-like state at pHMG = 2.0 ± 0.1.
The MG state is here exclusively observed from spin probing experiments and it is generally best characterized by an increase in rotational motion of all applied paramagnetic ligands (ΔB0,pp of 5-DSA and 16-DSA). All relevant curve features in this concern could be extrapolated with Gaussian-shaped fit curves in order to determine precise minima positions and their widths (average width: σMG = 0.29 G). From the obtained order parameters and wobbling angles of 16-DSA-probed HSA (1:1 loading) it can be concluded that the ligands exhibit a transient state of highest disorder during the emergence of the MG state. Therefore, a maximum in mean angular fluctuations of the ligand is observed. The compactness of the protein as monitored by A|| appears to be also slightly depleted in the MG state. Although Azz-values remain largely constant across all pH (34.0 ± 0.3 G for all loadings and probes, Table S6), the difference in probed polarity of 5-DSA and 16-DSA has a significant global maximum at pH 2.0 (δAzz,MG = 1.1 ± 0.5 G). This means that a slight polarity inversion takes place in the MG state, while the protein interior (5-DSA) becomes more solvent-accessible and the probed surface (16-DSA) becomes more hydrophobic. This circumstance is mirrored in ANS fluorescence revealing a steady increase of hydrophobic surface exposure from pH 6 towards pH 2 (Figure 2d). Thus, the A|| values are slightly biased by this polarity effect, but the simultaneous increase in ligand mobility seems to outweigh this ambiguity in a direct comparison to the associated linewidths (IA,MG > Azz,k,MG). The relatively large uncertainties in data readouts from A|| reinforce the notion that the center-field linewidths ΔB0,pp with changes of about 0.2–0.5 G serve as the most reliable parameter for detection of MG states in spin probing experiments as polarity effects are here intrinsically absent. Thus, the ANS-based detection of MG states [20] is rivaled by the applied spin probes that can be tentatively considered as EPR-spectroscopic ANS analogues that identify the MG state from paramagnetic FA dynamics when interacting with the HSA substrate. However, the emerging spectral features are not always clearly pronounced. For higher 16-DSA loadings of HSA (2:1), these features appear to be blurred, or even cancelled out.
Setting up an auxiliary parameter (Iabf) for monitoring relative changes in free (f) and aggregated (a) spin probe fractions is straightforward and gives a clear notion about pH-induced affinity changes of HSA towards FAs. Yet, 5-DSA-probed HSA did not show large sensitivities in this kind of analysis. Nonetheless, the associated curve features from 16-DSA exhibited compelling transition regions for both loading ratios (1:1 and 2:1) that were analyzed with Boltzmann-shaped fit curves. A maximum rate of aggregate formation was extracted with high precision at pHa,0 = 3.45 ± 0.01 and was moreover found to be independent of the loading status of HSA. The pH range where practically all spin probes are bound also has an inflection point at pHb,0 ≈ 6. This feature is ascribed to relative changes in internal FA dynamics that mainly show two differently immobilized types of binding (b1 and b2) as presented in Muravsky et al. [42]. Obviously, this affects the signal height h﬩. An exemplary spectral simulation has been employed to illustrate this conclusion (Figure 3d and Figure S4). In order to precisely extract the main pH-induced onsets of FA release, Nelder model fit curves [113] have been applied that facilitate the extrapolation of precise acidic (pHa = 4.3 ± 0.1) and basic (pHf = 11.4 ± 0.1) minimum features from asymmetric curves. This again defines the compact state (C) of HSA in the viewpoint from free FA ligands. Here, it should be mentioned that the pKa value of the applied spin probe 16-DSA also falls in the range of pHa. The corresponding ligand protonation has an additional effect on HSA’s ligand affinity, as the partial electrostatic nature of ligand association [149], or more specifically FA association to albumins is well-known [68,105,150,151,152].
The emergence of an increase in h‒1/h0 at pHf,0 ≈ 6.2 indicates the charge-induced release of 16-DSA molecules. It is proposed that this is due to the emergence of the isoelectric point where the net charge of HSA is Q = 0 and fatty acids experience the absence of electrostatic forces that partially contribute to ligand binding. An inverse peculiarity was observed for BSA at pH 6, where FA binding exhibits an overall maximum affinity to the protein as observed from 12-DSA [41]. Although it was proven that HSA experiences a shift in pI from 5.6 to 4.8 upon FA binding [90], EPR-based spectral characteristics that would indicate a distinct detectability of such an pI from the protein alone remain vague. The addition of glycerol to the samples may additionally blur this value, due to the associated slight change in dielectric properties of the solution.
While the probed compactness (Δ, RH, A||) of HSA remains largely unaffected at pH 6, internal FA motional dynamics (ΔB0,pp) experience strongest changes (pHB,0). Whereas 5-DSA exhibits an intermediate state of minimum motional restriction at pHB,0 = 6.2, the 16-DSA-derived curves (Figure 6c) reveal that it is a transition from an acidic unrestricted motion towards a basic restricted motion in the range from about pH 3–9. A complementary picture was obtained from distance distributions P(r) from DEER experiments on the pH-dependent 16-DSA ligand alignment in HSA.
Meaningful FA distance distributions are only observed in the C form of HSA ranging from pH 3.8–11.4, when a sufficiently large fraction of the HSA molecules has about two ligands bound. From the DEER-derived, aged form (A, pH > 11.4) no considerable distance distribution was obtained, although no aggregates are present in solution. Since the FA binding sites in HSA are mostly situated at internal hydrophobic interfaces of secondary structure elements (in particular α-helices) [68,151], the loss in the DEER signal also reflects the loss of some well-defined ligand binding sites by partial denaturation. The DEER-derived peak shift of Pmax(r) in the compact C form (Figure 9a) could be fitted with a sigmoidal function that confirmed the picture of a transition between acidic expansion and basic contraction of HSA [53]. Again, an inflection point at pHP,0 = 6.16 of this curve was found for this self-assembled system. However, in DEER the protein structure is here only observed from the EPR-active ligands’ point of view and might as well indicate a partial, charge-induced electrophoretic inside/outside migration of respective FAs, while the protein may remain largely compact (DLS data, Figure 10). The experimentally observed maximum shift of Pmax(r) is considerable (ΔrPH,exp = 0.45 nm) compared to the observed systematic error in DEER (ΔrDEER < 0.03 nm for r > 2.5 nm) [153] and may therefore be regarded as reliable and significant. DEER data (Figure 9a) also indicate a slight reduction (~0.13 nm) in the average FA-derived interspin distances at pH > 7.4. Ionic anchor points in hydrophobic pockets mainly consist of arginines and lysines [68,151] with pKa values between about 10.8–12.5 [7]. Since the oppositely charged fraction of deprotonated 16-DSA (COO−) molecules becomes ever larger above pH 7.4, a pure electrophoretic effect “dragging” the ligands a bit further into the protein interior may appear plausible.
Considering the pH denaturation of 5-MSL HSA, a drastic increase in lysine side chain mobility on the protein surface is observed in the basic regime (B). In the aged form (A) a maximum lysine mobility is observed at about pH 10.4 in EPR that can be predicted from the collective lysine pKa value (pKa,Lys = 10.28, see Figure S3). In principle, this contradicts the hypothesis of a basic structural contraction of HSA, but may also explain the increased motional restriction in 16-DSA between pH 7 and pH 10 when lysines and the protruding spin probe tail ends (bearing the nitroxide moieties) are competing for motional freedom on the protein surface (Figure 6a). The pH-induced hydrolysis of maleimido groups [100,101,102] of 5-MSL beyond pH 7.5 was identified to potentially have an additional effect on the observed changes in nitroxide dynamics and thus indirectly frames the pH range of the basic form (B) of HSA.
Intriguingly, all spin probe-based EPR experiments exhibit features at about pH 6 that can be detected either from free (f) or bound ligands (b). Since these features are close to the pI, a justified assumption can be made that an electrostatic activation (EA) of the spin probes takes place at pHEA = 6.1 ± 0.2 with pI ≈ pHB,0 = pHb,0 = pHf,0 = pHP,0 = pHEA.
During the structural weakening of HSA in the F form (Q > 50), the acidic onset of FA release (pH ≤ 4.3) can also be partially explained by a loss of the electrostatic binding energy by 16-DSA protonation (COOH). In fact, DEER data most probably show an overlap of both, HSA expansion (DLS) and electrophoretic migration and decoupling of bound FAs that makes them leave the protein interior. From Figure 1b it can be concluded that a C form of HSA exists as long as the absolute value of the protein charge is |Q| < 50. Therefore, on a very fundamental level of argumentation, HSA expands its structure (F and A) with extreme pH to compensate for the ever growing charge density (±ρQ) in the limiting regions of the C form. As the relative magnitude of electrostatic free energy ΔGel is generally much lower for elongated structures [3], these conformational isomerizations may simply counteract the relative increase of ΔGel in comparison to the free energy of folding (ΔGf). Explicit calculations considering protein shape, charge screening and counterion condensation [154] are for now considered as being far beyond the scope of this study, but may deliver further interesting insights into this issue.
Apart from the onset difference of the C form in 16-DSA-probed HSA with different loading ratios (pH 3.6 (1:1) and pH 4.8 (2:1)), there is no striking evidence for FA-induced changes in pH stability. However, it was shown for FA-free BSA that slight decreases in melting temperatures can be induced by pH alone in the range from pH 3–4 [155]. This claim should be also valid for slight discrepancies in the onsets of individual dynamic regimes when comparing DLS and spin-labeling (5-MSL) to the spin probing approach (16-DSA). The dynamic nature of the observed effects makes it difficult to discern the pH stability effect on HSA from bound FAs. However, it can be ascertained that maximum uncertainties in phase onsets are generally smaller than ΔpH = 0.4 (Table S11).
Recently, a study was published that also employed EPR spectroscopy in combination with rheology concerning the temperature- and pH-induced gel formation in albumins, however at much higher protein concentrations. It could be shown, that different macroscopic gel properties can be tuned with appropriate pH adjustments that are also based on the occurrence of some of these conformational isomers. Optimum control of these properties may therefore yield interesting biocompatible materials and drug delivery vehicles in medical applications [156].
From this study it remains yet unsettled to which extent pH-sensitive EPR-active imidazolidine spin labels (IMTSL) [157], or lipid spin probes (IMTSL-PTE) [158] may contribute to a better understanding of HSA’s phase space due to their intrinsic capability to act as pH and polarity sensors [159,160,161]. This direct detection of pH-dependent surface potentials of HSA might reveal more precise information about the complex interplay of albumins’ charge and shape. Additionally, further progress is expected by rigorous simulation of the obtained CW EPR spectra that should at least facilitate extraction of dynamical parameters as ligand binding affinities (KA) and rotational correlation times (τc). However, as stated before, an explicit treatment of this issue is also considered as far beyond the scope of this study.
5. Conclusions
The manipulation of HSA’s structural integrity by pH was here successfully observed, consistently revealing its intriguing structural plasticity in terms of charge. This study systematically frames structural and dynamic phenomena that are accessible to EPR spectroscopy. The investigated experimental parameters from EPR herein are well-known, straightforward and are easily accessible, even to scientists that are not experienced in more advanced EPR data analysis. Beyond that, we introduced a novel empirical parameter Iabf for spin probing experiments that allows for monitoring changes and their origins from bound and free ligands. For several reasons we found that particularly 16-DSA reveals an exceptional wealth of information, precision and dynamic resolution about the protein compared to all other applied methods herein. The major outcome of this study points towards the intrinsic potential of EPR to build up a wholistic picture concerning the pH-induced functional phase space of HSA, therefore emphasizing ligand and protein dynamics simultaneously. We achieved a broad diversification and clear identification of characteristics that can be individually investigated thoroughly in successive studies, as e.g., the electrostatic (spin probe/ligand) activation at pHEA = 6.1, or the MG state at pHMG = 2.0.
It can be anticipated that the EPR-spectroscopic spin probing approach may rival fluorescence based studies (e.g., ANS) that are usually limited to certain pH ranges with associated sensitivities [162], or are subject to photodecomposition [163] as well as aggregation [164]. This EPR spectroscopic approach may as well be expanded to pH-dependent, self-assembled systems consisting of other paramagnetic ligands and other proteins.
Supplementary Materials
The following are available online at http://www.mdpi.com/2312-7481/4/4/47/s1, Supplementary Material S1: Results from MALDI-ToF experiments on 5-MSL HSA, Figure S1: Molecular weights of HSA and 5-MSL HSA; Supplementary Material S2: Data extraction from CW EPR spectra, Figure S2: Exemplary data extraction from CW EPR spectra of 5-MSL HSA. Supplementary Material S3: Collective lysine pKa estimation from pH-dependent EPR experiments (5-MSL HSA), Figure S3: Correlation of lysine pKa values and EPR spectral features of 5-MSL HSA; Supplementary Material S4: Exemplary simulation of 16-DSA alone and interacting with HSA, Figure S4: Exemplary spectral simulation from samples containing 16-DSA. Table S1: Simulation parameters from 16-DSA alone and 16-DSA-probed HSA. Supplementary Material S5: Rationalization and analyses of Iabf curves, Figure S5: Fit curves from pH-dependent Iabf and h−1/h0 parameters. Figure S6: Nelder fit curves from pH-dependent Iabf values, Table S2: Boltzmann fit parameters obtained from Iabf curves (16-DSA), Table S3: Gaussian fit parameters obtained from h−1/h0 curves (16-DSA), Table S4: Nelder fit parameters obtained from Iabf curves (16-DSA). Supplementary Material S6: Analysis of pH-dependent apparent hyperfine coupling constants A||, Figure S7: Fit curves of pH-dependent A|| values in the range from pH 1–3, Table S5: Gaussian fit parameters obtained from A|| curves. Supplementary Material S7: Determination of low temperature Azz values at T = 150 K from spin probed HSA, Figure S8: Azz parameters from low temperature CW EPR spectra at T = 150 K, Table S6: Azz values from spin probed HSA as a function of pH. Supplementary Material S8: Analysis of ΔB0,pp curves, Figure S9: Fit curves from ΔB0,pp, Table S7: Gaussian fit parameters obtained from ΔB0,pp curves, Table S8: Boltzmann fit parameters obtained from ΔB0,pp curves (16-DSA). Supplementary Material S9: Further information about order parameters S and wobbling angles γ, Figure S10: Fit curves from pH-dependent order parameters S and wobbling angles γ, Table S9: Gaussian fit parameters from order parameter (S) and wobbling angle (γ) curves. Supplementary Material S10: Shift of Pmax(r) in DEER data from pH denaturation of 16-DSA spin probed HSA, Figure S11: DEER background of 16-DSA-probed HSA as a function of pH (2:1 loading), Table S10: Fit parameters from Equation (5). Supplementary Material S11: Functional phase space of HSA as obtained from EPR spectroscopy and DLS, Table S11: Functional phase onsets of HSA from pH-dependent EPR and DLS experiments. Supplementary Material S12: Supplementary References.
Author Contributions
The study was conceived by D.H. and J.R. Spin-labeling of HSA was done by M.-T.O. and J.R. The spin probing experiments were performed by J.R., M.-T.O. and T.H. MALDI-ToF experiments were performed by C.E.H.S. and M.-T.O. Fluorescence experiments were performed by M.-T.O. and A.K. DLS experiments were performed by M.-T.O. Protein stability calculation and DEER experiments were performed by J.R. Data analyses were performed by J.R., M.-T.O. and C.E.H.S. Data correlation and data interpretation was done by J.R. and D.H. The manuscript was written by J.R. and D.H. with help from all co-authors.
Funding
This research was funded by the Fraunhofer Internal Program Attract, grant number 069-608203 (C.E.H.S.) and by the Deutsche Forschungsgemeinschaft (DFG), grant numbers HI 1094/5–1 and SFB TRR 102.
Acknowledgments
The authors are grateful to Eva Jaumann from the Institute of Physical and Theoretical Chemistry, Goethe University Frankfurt, for several initial feasibility studies for pH control and to Jacob Blaffert from the Institute of Physical and Theoretical Chemistry, Martin Luther University Halle-Wittenberg for helpful hints concerning the 5-MSL behavior at basic pH. The authors also thank Heike Schimm and Stefanie Weber for technical support.
Conflicts of Interest
The authors declare no conflict of interest.
References
- Bugarszky, S.; Liebermann, L. Ueber das Bindungsvermögen eiweissartiger Körper für Salzsäure, Natriumhydroxyd und Kochsalz. Archiv für die gesamte Physiologie des Menschen und der Tiere 1898, 72, 51–74. [Google Scholar] [CrossRef]
- Linderström-Lang, K. Some electrochemical properties of a simple protein. Trans. Faraday Soc. 1935, 31, 324–335. [Google Scholar] [CrossRef]
- Tanford, C. Physical Chemistry of Macromolecules, 1st ed.; John Wiley & Sons, Inc.: New York, NY, USA, 1961; pp. 548–573. ISBN 0-471-84447-0. [Google Scholar]
- Yang, A.S.; Honig, B. On the pH Dependence of Protein Stability. J. Mol. Biol. 1993, 231, 459–474. [Google Scholar] [CrossRef] [PubMed]
- Onufriev, A.; Case, D.A.; Ullmann, G.M. A Novel View of pH Titration in Biomolecules. Biochemistry 2001, 40, 3413–3419. [Google Scholar] [CrossRef] [PubMed]
- Finkelstein, A.V.; Ptitsyn, O.B. Protein Physics: A Course of Lectures, 1st ed.; Academic Press: Boston, MA, USA, 2002; pp. 207–225. ISBN 0-12-256781-1. [Google Scholar]
- Berg, J.M.; Tymoczko, J.L.; Stryer, L. Biochemie, 7th ed.; Spektrum Akademischer Verlag: Heidelberg, Germany, 2007; pp. 25–39. ISBN 978-3-8274-2988-9. [Google Scholar]
- Li, H.; Robertson, A.D.; Jensen, J.H. Very Fast Empirical Prediction and Rationalization of Protein pKa Values. Proteins Struct. Funct. Bioinform. 2005, 61, 704–721. [Google Scholar] [CrossRef] [PubMed]
- Oosawa, F. Polyelectrolytes, 1st ed.; Marcel Dekker, Inc.: New York, NY, USA, 1971; ISBN 0824715055. [Google Scholar]
- Goto, Y.; Hagihara, Y.; Hamada, D.; Hoshino, M.; Nishii, I. Acid-Induced Unfolding and Refolding Transitions of Cytochrome c: A Three-State Mechanism in H2O and D2O. Biochemistry 1993, 32, 11878–11885. [Google Scholar] [CrossRef] [PubMed]
- Anfinsen, C.B. The Formation and Stabilization of Protein Structure. Biochem. J. 1972, 128, 737–749. [Google Scholar] [CrossRef] [PubMed]
- Kim, P.S.; Baldwin, R.L. Specific Intermediates in the Folding Reactions of Small Proteins and the Mechanism of Protein Folding. Ann. Rev. Biochem. 1982, 51, 459–489. [Google Scholar] [CrossRef] [PubMed]
- Ptitsyn, O.B. Protein Folding: Hypotheses and Experiments. J. Protein Chem. 1987, 6, 273–293. [Google Scholar] [CrossRef]
- Dill, K.A. Dominant Forces in Protein Folding. Biochemistry 1990, 29, 7133–7155. [Google Scholar] [CrossRef] [PubMed]
- Ohgushi, M.; Wada, A. ‘Molten-globule state’: A compact form of globular proteins with mobile side- chains. FEBS Lett. 1983, 164, 21–24. [Google Scholar] [CrossRef]
- Ptitsyn, O.B.; Uversky, V.N. The molten globule is a third thermodynamical state of protein molecules. FEBS Lett. 1994, 341, 15–18. [Google Scholar] [CrossRef]
- Dolgikh, D.A.; Gilmanshin, R.I.; Brazhnikov, E.V.; Bychkova, V.E.; Semisotnov, G.V.; Venyaminov, S.Y.; Ptitsyn, O.B. α-Lactalbumin: Compact State with Fluctuating Tertiary Structure. FEBS Lett. 1981, 136, 311–315. [Google Scholar] [CrossRef]
- Jennings, P.A.; Wright, P.E. Formation of a Molten Globule Intermediate Early in the Kinetic Folding Pathway of Apomyoglobin. Science 1993, 262, 892–896. [Google Scholar] [CrossRef] [PubMed]
- Stryer, L. The Interaction of a Naphthalene Dye with Apomyoglobin and Apohemoglobin. J. Mol. Biol. 1965, 13, 482–495. [Google Scholar] [CrossRef]
- Semisotnov, G.V.; Rodionova, N.A.; Razgulyaev, O.I.; Uversky, V.N.; Gripas, A.F.; Gilmanshin, R.I. Study of the ‘Molten Globule’ Intermediate State in Protein Folding by a Hydrophobic Fluorescent Probe. Biopolymers 1991, 31, 119–128. [Google Scholar] [CrossRef] [PubMed]
- Sheshadri, S.; Lingaraju, G.M.; Varadarajan, R. Denaturant mediated unfolding of both native and molten globule states of maltose binding protein are accompanied by large ΔCp’s. Protein Sci. 1999, 8, 1689–1695. [Google Scholar] [CrossRef] [PubMed]
- Kuwajima, K. The molten globule state of α-lactalbumin. FASEB J. 1996, 10, 102–109. [Google Scholar] [CrossRef] [PubMed]
- Yeh, Y.Q.; Liao, K.F.; Shih, O.; Shiu, Y.J.; Wu, W.R.; Su, C.J.; Lin, P.C.; Jeng, U.S. Probing the Acid-Induced Packing Structure Changes of the Molten Globule Domains of a Protein near Equilibrium Unfolding. J. Phys. Chem. Lett. 2017, 8, 470–477. [Google Scholar] [CrossRef] [PubMed]
- Del Giudice, A.; Dicko, C.; Galantini, L.; Pavel, N.V. Time-Dependent pH Scanning of the Acid-Induced Unfolding of Human Serum Albumin Reveals Stabilization of the Native Form by Palmitic Acid Binding. J. Phys. Chem. B 2017, 121, 4388–4399. [Google Scholar] [CrossRef] [PubMed]
- Pande, V.S.; Rokhsar, D.S. Is the molten globule a third phase of proteins? Proc. Natl. Acad. Sci. USA 1998, 95, 1490–1494. [Google Scholar] [CrossRef] [PubMed]
- Calciano, L.J.; Escobar, W.A.; Millhauser, G.L.; Miick, S.M.; Rubaloff, J.; Todd, A.P.; Fink, A.L. Side-Chain Mobility of the β-Lactamase A State Probed by Electron Spin Resonance Spectroscopy. Biochemistry 1993, 32, 5644–5649. [Google Scholar] [CrossRef] [PubMed]
- Reichenwallner, J.; Chakour, M.; Indu, S.; Varadarajan, R.; Trommer, W.E. Maltose Binding Protein Is Partially Structured in Its Molten Globule State. Appl. Magn. Reson. 2013, 44, 983–995. [Google Scholar] [CrossRef]
- Selmke, B.; Borbat, P.P.; Nickolaus, C.; Varadarajan, R.; Freed, J.H.; Trommer, W.E. Open and Closed Form of Maltose Binding Protein in Its Native and Molten Globule State as Studied by Electron Paramagnetic Resonance Spectroscopy. Biochemistry 2018. [Google Scholar] [CrossRef] [PubMed]
- Hubbell, W.L.; Altenbach, C. Investigation of structure and dynamics in membrane proteins using site-directed spin labeling. Curr. Opin. Struct. Biol. 1994, 4, 566–573. [Google Scholar] [CrossRef]
- Hubbell, W.L.; Cafiso, D.S.; Altenbach, C. Identifying conformational changes with site-directed spin labeling. Nat. Struct. Biol. 2000, 7, 735–739. [Google Scholar] [CrossRef] [PubMed]
- Morrisett, J.D.; Broomfield, C.A. Active Site Spin-Labeled α-Chymotrypsin. Guanidine Hydrochloride Denaturation Studies Using Electron Paramagnetic Resonance and Circular Dichroism. J. Am. Chem. Soc. 1971, 93, 7297–7304. [Google Scholar] [CrossRef] [PubMed]
- Berengian, A.R.; Parfenova, M.; Mchaourab, H.S. Site-directed Spin Labeling Study of Subunit Interactions in the α-Crystallin Domain of Small Heat-shock Proteins. J. Biol. Chem. 1999, 274, 6305–6314. [Google Scholar] [CrossRef] [PubMed]
- Muzammil, S.; Kumar, Y.; Tayyab, S. Molten globule-like state of human serum albumin at low pH. Eur. J. Biochem. 1999, 266, 26–32. [Google Scholar] [CrossRef] [PubMed]
- Dockal, M.; Carter, D.C.; Rüker, F. Conformational Transitions of the Three Recombinant Domains of Human Serum Albumin Depending on pH. J. Biol. Chem. 2000, 275, 3042–3050. [Google Scholar] [CrossRef] [PubMed]
- Sen, P.; Ahmad, B.; Khan, R.H. Formation of a molten globule like state in bovine serum albumin at alkaline pH. Eur. Biophys. J. 2008, 37, 1303–1308. [Google Scholar] [CrossRef] [PubMed]
- Yang, J.T.; Foster, J.F. Changes in the Intrinsic Viscosity and Optical Rotation of Bovine Plasma Albumin Associated with Acid Binding. J. Am. Chem. Soc. 1954, 76, 1588–1595. [Google Scholar] [CrossRef]
- Stone, T.J.; Buckman, T.; Nordio, P.L.; McConnell, H.M. Spin-Labeled Biomolecules. Proc. Natl. Acad. Sci. USA 1965, 54, 1010–1017. [Google Scholar] [CrossRef] [PubMed]
- Sali, A.; Shakhnovich, E.; Karplus, M. How does a protein fold? Nature 1994, 369, 248–251. [Google Scholar] [CrossRef] [PubMed]
- Rehfeld, S.J.; Eatough, D.J.; Plachy, W.Z. The binding isotherms for the interaction of 5-doxyl stearic acid with bovine and human albumin. J. Lipid Res. 1978, 19, 841–849. [Google Scholar] [PubMed]
- Gantchev, T.G.; Shopova, M.B. Characterization of spin-labelled fatty acids and hematoporphyrin binding sites interactions in serum albumin. Biochim. Biophys. Acta Protein Struct. Mol. Enzymol. 1990, 1037, 422–434. [Google Scholar] [CrossRef]
- Ge, M.; Rananavare, S.B.; Freed, J.H. ESR studies of stearic acid binding to bovine serum albumin. Biochim. Biophys. Acta Gen. Subj. 1990, 1036, 228–236. [Google Scholar] [CrossRef]
- Muravsky, V.; Gurachevskaya, T.; Berezenko, S.; Schnurr, K.; Gurachevsky, A. Fatty acid binding sites of human and bovine albumins: Differences observed by spin probe ESR. Spectrochim. Acta Part A 2009, 74, 42–47. [Google Scholar] [CrossRef] [PubMed]
- Pavicevic, A.A.; Popovic-Bijelic, A.D.; Mojovic, M.D.; Susnjar, S.V.; Bacic, G.G. Binding of Doxyl Stearic Spin Labels to Human Serum Albumin: An EPR Study. J. Phys. Chem. B 2014, 118, 10898–10905. [Google Scholar] [CrossRef] [PubMed]
- Junk, M.J.N.; Spiess, H.W.; Hinderberger, D. The Distribution of Fatty Acids Reveals the Functional Structure of Human Serum Albumin. Angew. Chem. Int. Ed. 2010, 49, 8755–8759. [Google Scholar] [CrossRef] [PubMed]
- Junk, M.J.N.; Spiess, H.W.; Hinderberger, D. Characterization of the Solution Structure of Human Serum Albumin Loaded with a Metal Porphyrin and Fatty Acids. Biophys. J. 2011, 100, 2293–2301. [Google Scholar] [CrossRef] [PubMed]
- Junk, M.J.N.; Spiess, H.W.; Hinderberger, D. DEER in biological multispin-systems: A case study on the fatty acid binding to human serum albumin. J. Magn. Reson. 2011, 210, 210–217. [Google Scholar] [CrossRef] [PubMed]
- Akdogan, Y.; Reichenwallner, J.; Hinderberger, D. Evidence for Water-Tuned Structural Differences in Proteins: An Approach Emphasizing Variations in Local Hydrophilicity. PLoS ONE 2012, 7, e45681. [Google Scholar] [CrossRef] [PubMed]
- Akdogan, Y.; Junk, M.J.N.; Hinderberger, D. Effect of Ionic Liquids on the Solution Structure of Human Serum Albumin. Biomacromolecules 2011, 12, 1072–1079. [Google Scholar] [CrossRef] [PubMed]
- Akdogan, Y.; Hinderberger, D. Solvent-Induced Protein Refolding at Low Temperatures. J. Phys. Chem. B 2011, 115, 15422–15429. [Google Scholar] [CrossRef] [PubMed]
- Reichenwallner, J.; Hinderberger, D. Using bound fatty acids to disclose the functional structure of serum albumin. Biochim. Biophys. Acta Gen. Subj. 2013, 1830, 5382–5393. [Google Scholar] [CrossRef] [PubMed]
- Wallevik, K. Reversible Denaturation of Human Serum Albumin by pH, Temperature, and Guanidine Hydrochloride Followed by Optical Rotation. J. Biol. Chem. 1973, 248, 2650–2655. [Google Scholar] [PubMed]
- Peters, T., Jr. All about Albumin: Biochemistry, Genetics, and Medical Applications, 1st ed.; Academic Press, Inc.: San Diego, CA, USA; New York, NY, USA; Boston, MA, USA, 1996; pp. 54–75. ISBN 0-12-552110-3. [Google Scholar]
- Qiu, W.; Zhang, L.; Okobiah, O.; Yang, Y.; Wang, L.; Zhong, D.; Zewail, A.H. Ultrafast Solvation Dynamics of Human Serum Albumin: Correlations with Conformational Transitions and Site-Selected Recognition. J. Phys. Chem. B 2006, 110, 10540–10549. [Google Scholar] [CrossRef] [PubMed]
- Griffith, O.H.; McConnell, H.M. A Nitroxide-Maleimide Spin Label. Proc. Natl. Acad. Sci. USA 1966, 55, 8–11. [Google Scholar] [CrossRef] [PubMed]
- Barratt, M.D.; Davies, A.P.; Evans, M.T.A. Maleimide and Isomaleimide Pyrrolidine-Nitroxide Spin Labels. Eur. J. Biochem. 1971, 24, 280–283. [Google Scholar] [CrossRef] [PubMed]
- Cornell, C.N.; Kaplan, L.J. Spin-Label Studies of the Sulfhydryl Environment in Bovine Plasma Albumin. 1. The N–F Transition and Acid Expansion. Biochemistry 1978, 17, 1750–1754. [Google Scholar] [CrossRef] [PubMed]
- Cornell, C.N.; Kaplan, L.J. Spin-Label Studies of the Sulfhydryl Environment in Bovine Plasma Albumin. 2. The neutral transition and the A isomer. Biochemistry 1978, 17, 1755–1758. [Google Scholar] [CrossRef] [PubMed]
- Marzola, P.; Pinzino, C.; Veracini, C.A. Spin-Labeling Study of Human Serum Albumin in Reverse Micelles. Langmuir 1991, 7, 238–242. [Google Scholar] [CrossRef]
- Livshits, V.A.; Marsh, D. Fatty acid binding sites of serum albumin probed by non-linear spin-label EPR. Biochim. Biophys. Acta Biomembr. 2000, 1466, 350–360. [Google Scholar] [CrossRef]
- Alonso, A.; dos Santos, W.P.; Leonor, S.J.; dos Santos, J.G.; Tabak, M. Stratum Corneum Protein Dynamics as Evaluated by a Spin-Label Maleimide Derivative: Effect of Urea. Biophys. J. 2001, 81, 3566–3576. [Google Scholar] [CrossRef]
- De Simone, F.; Guzzi, R.; Sportelli, L.; Marsh, D.; Bartucci, R. Electron spin-echo studies of spin-labelled lipid membranes and free fatty acids interacting with human serum albumin. Biochim. Biophys. Acta Biomembr. 2007, 1768, 1541–1549. [Google Scholar] [CrossRef] [PubMed]
- Anjos, J.L.V.; Santiago, P.S.; Tabak, M.; Alonso, A. On the interaction of bovine serum albumin with ionic surfactants: Temperature induced EPR changes of a maleimide nitroxide reflect local protein dynamics and probe solvent accessibility. Colloids Surf. B 2011, 88, 463–470. [Google Scholar] [CrossRef] [PubMed]
- Pavicevic, A.; Luo, J.; Popovic-Bijelic, A.; Mojovic, M. Maleimido-proxyl as an EPR spin label for the evaluation of conformational changes of albumin. Eur. Biophys. J. 2017, 46, 773–787. [Google Scholar] [CrossRef] [PubMed]
- Dulbecco, R.; Vogt, M. Plaque Formation and Isolation of Pure Lines with Poliomyelitis Viruses. J. Exp. Med. 1954, 99, 167–182. [Google Scholar] [CrossRef] [PubMed]
- Bas, D.C.; Rogers, D.M.; Jensen, J.H. Very fast prediction and rationalization of pKa values for protein-ligand complexes. Proteins Struct. Funct. Bioinform. 2008, 73, 765–783. [Google Scholar] [CrossRef] [PubMed]
- Olsson, M.H.M.; Sondergaard, C.R.; Rostkowski, M.; Jensen, J.H. PROPKA3: Consistent Treatment of Internal and Surface Residues in Empirical pKa Predictions. J. Chem. Theory Comput. 2011, 7, 525–537. [Google Scholar] [CrossRef] [PubMed]
- Sugio, S.; Kashima, A.; Mochizuki, S.; Noda, M.; Kobayashi, K. Crystal structure of human serum albumin at 2.5 Å resolution. Protein Eng. 1999, 12, 439–446. [Google Scholar] [CrossRef] [PubMed]
- Bhattacharya, A.A.; Grüne, T.; Curry, S. Crystallographic Analysis Reveals Common Modes of Binding of Medium and Long-chain Fatty Acids to Human Serum Albumin. J. Mol. Biol. 2000, 303, 721–732. [Google Scholar] [CrossRef] [PubMed]
- Bradford, M.M. A Rapid and Sensitive Method for the Quantitation of Microgram Quantities of Protein Utilizing the Principle of Protein-Dye Binding. Anal. Biochem. 1976, 72, 248–254. [Google Scholar] [CrossRef]
- Smith, P.K.; Krohn, R.I.; Hermanson, G.T.; Mallia, A.K.; Gartner, F.H.; Provenzano, M.D.; Fujimoto, E.K.; Goeke, N.M.; Olson, B.J.; Klenk, D.C. Measurement of Protein Using Bicinchoninic Acid. Anal. Biochem. 1985, 150, 76–85. [Google Scholar] [CrossRef]
- Provencher, S.W. A Constrained Regularization Method for Inverting Data Represented by Linear Algebraic or Integral Equations. Comput. Phys. Commun. 1982, 27, 213–227. [Google Scholar] [CrossRef]
- Schiebener, P.; Straub, J.; Levelt Sengers, J.M.H.; Gallagher, J.S. Refractive index of water and steam as function of wavelength, temperature and density. J. Phys. Chem. Ref. Data 1990, 19, 677–717. [Google Scholar] [CrossRef]
- Sheely, M.L. Glycerol Viscosity Tables. Ind. Eng. Chem. 1932, 24, 1060–1064. [Google Scholar] [CrossRef]
- Booth, F. The electroviscous effect for suspensions of solid spherical particles. Proc. R. Soc. Lond. Ser. A 1950, 203, 533–551. [Google Scholar] [CrossRef]
- Tanford, C.; Buzzell, J.G. The Viscosity of Aqueous Solutions of Bovine Serum Albumin between pH 4.3 and 10.5. J. Phys. Chem. 1956, 60, 225–231. [Google Scholar] [CrossRef]
- Steinhoff, H.J.; Lieutenant, K.; Schlitter, J. Residual Motion of Hemoglobin-Bound Spin Labels as a Probe for Protein Dynamics. Z. Naturforsch. C 1989, 44, 280–288. [Google Scholar] [CrossRef] [PubMed]
- Martin, R.E.; Pannier, M.; Diederich, F.; Gramlich, V.; Hubrich, M.; Spiess, H.W. Determination of End-to-End Distances in a Series of TEMPO Diradicals of up to 2.8 nm Length with a New Four-Pulse Double Electron Electron Resonance Experiment. Angew. Chem. Int. Ed. 1998, 37, 2834–2837. [Google Scholar] [CrossRef]
- Pannier, M.; Veit, S.; Godt, A.; Jeschke, G.; Spiess, H.W. Dead-Time Free Measurement of Dipole-Dipole Interactions between Electron Spins. J. Magn. Reson. 2000, 142, 331–340. [Google Scholar] [CrossRef] [PubMed]
- Waggoner, A.S.; Griffith, O.H.; Christensen, C.R. Magnetic Resonance of Nitroxide Probes in Micelle-Containing Solutions. Proc. Natl. Acad. Sci. USA 1967, 57, 1198–1205. [Google Scholar] [CrossRef] [PubMed]
- Bulla, I.; Törmälä, P.; Lindberg, J.J. Spin Probe Studies on the Dynamic Structure of Dimethyl Sulfoxide- Water Mixtures. Acta Chem. Scand. Ser. A 1975, 29, 89–92. [Google Scholar] [CrossRef]
- Meirovitch, E.; Freed, J.H. Analysis of Slow-Motional Electron Spin Resonance Spectra in Smectic Phases in Terms of Molecular Configuration, Intermolecular Interactions, and Dynamics. J. Phys. Chem. 1984, 88, 4995–5004. [Google Scholar] [CrossRef]
- Navari-Izzo, F.; Quartacci, M.F.; Pinzino, C.; Rascio, N.; Vazzana, C.; Sgherri, C.L.M. Protein Dynamics in Thylakoids of the Desiccation-Tolerant Plant Boea hygroscopica during Dehydration and Rehydration. Plant Physiol. 2000, 124, 1427–1436. [Google Scholar] [CrossRef] [PubMed]
- Stoll, S.; Schweiger, A. EasySpin, a comprehensive software package for spectral simulation and analysis in EPR. J. Magn. Reson. 2006, 178, 42–55. [Google Scholar] [CrossRef] [PubMed]
- Reichenwallner, J.; Thomas, A.; Nuhn, L.; Johann, T.; Meister, A.; Frey, H.; Hinderberger, D. Tunable dynamic hydrophobic attachment of guest molecules in amphiphilic core-shell polymers. Polym. Chem. 2016, 7, 5783–5798. [Google Scholar] [CrossRef]
- Strancar, J.; Koklic, T.; Arsov, Z.; Filipic, B.; Stopar, D.; Hemminga, M.A. Spin Label EPR-Based Characteri-zation of Biosystem Complexity. J. Chem. Inf. Model. 2005, 45, 394–406. [Google Scholar] [CrossRef] [PubMed]
- Jeschke, G.; Chechik, V.; Ionita, P.; Godt, A.; Zimmermann, H.; Banham, J.; Timmel, C.R.; Hilger, D.; Jung, H. DeerAnalysis2006—A Comprehensive Software Package for Analyzing Pulsed ELDOR Data. Appl. Magn. Reson. 2006, 30, 473–498. [Google Scholar] [CrossRef]
- Kattnig, D.R.; Reichenwallner, J.; Hinderberger, D. Modeling Excluded Volume Effects for the Faithful Description of the Background Signal in Double Electron-Electron Resonance. J. Phys. Chem. B 2013, 117, 16542–16557. [Google Scholar] [CrossRef] [PubMed]
- Gumpen, S.; Hegg, P.O.; Martens, H. Thermal Stability of Fatty Acid-Serum Albumin Complexes Studied by Differential Scanning Calorimetry. Biochim. Biophys. Acta Lipids Lipid Metab. 1979, 574, 189–196. [Google Scholar] [CrossRef]
- Shrake, A.; Ross, P.D. Biphasic Denaturation of Human Albumin Due to Ligand Redistribution during Unfolding. J. Biol. Chem. 1988, 263, 15392–15399. [Google Scholar] [PubMed]
- Evenson, M.A.; Deutsch, H.F. Influence of Fatty Acids on the Isoelectric Point Properties of Human Serum Albumin. Clin. Chim. Acta 1978, 89, 341–354. [Google Scholar] [CrossRef]
- Dockal, M.; Carter, D.C.; Rüker, F. The Three Recombinant Domains of Human Serum Albumin. Structural Characterization and Ligand Binding Properties. J. Biol. Chem. 1999, 274, 29303–29310. [Google Scholar] [CrossRef] [PubMed]
- Langer, K.; Balthasar, S.; Vogel, V.; Dinauer, N.; von Briesen, H.; Schubert, D. Optimization of the preparation process for human serum albumin (HSA) nanoparticles. Int. J. Pharm. 2003, 257, 169–180. [Google Scholar] [CrossRef]
- Jachimska, B.; Wasilewska, M.; Adamczyk, Z. Characterization of Globular Protein Solutions by Dynamic Light Scattering, Electrophoretic Mobility, and Viscosity Measurements. Langmuir 2008, 24, 6866–6872. [Google Scholar] [CrossRef] [PubMed]
- Hubbell, W.L.; McConnell, H.M. Molecular Motion in Spin-Labeled Phospholipids and Membranes. J. Am. Chem. Soc. 1971, 93, 314–326. [Google Scholar] [CrossRef] [PubMed]
- Wa, C.; Cerny, R.L.; Clarke, W.A.; Hage, D.S. Characterization of glycation adducts on human serum albumin by matrix-assisted laser desorption/ionization time-of-flight mass spectrometry. Clin. Chim. Acta 2007, 385, 48–60. [Google Scholar] [CrossRef] [PubMed]
- Oettl, K.; Marsche, G. Redox State of Human Serum Albumin in Terms of Cysteine-34 in Health and Disease. Methods Enzymol. 2010, 474, 181–195. [Google Scholar] [CrossRef] [PubMed]
- Anraku, M.; Chuang, V.T.G.; Maruyama, T.; Otagiri, M. Redox properties of serum albumin. Biochim. Biophys. Acta Gen. Subj. 2013, 1830, 5465–5472. [Google Scholar] [CrossRef] [PubMed]
- Bonanata, J.; Turell, L.; Antmann, L.; Ferrer-Sueta, G.; Botasini, S.; Mendez, E.; Alvarez, B.; Coitino, E.L. The thiol of human serum albumin: Acidity, microenvironment and mechanistic insights on its oxidation to sulfenic acid. Free Radic. Biol. Med. 2017, 108, 952–962. [Google Scholar] [CrossRef] [PubMed]
- Wurm, F.; Steinbach, T.; Klok, H.A. One-pot squaric acid diester mediated aqueous protein conjugation. Chem. Commun. 2013, 49, 7815–7817. [Google Scholar] [CrossRef] [PubMed]
- Khan, M.N.; Khan, A.A. Kinetics and Mechanism of Hydrolysis of Succinimide under Highly Alkaline Medium. J. Org. Chem. 1975, 40, 1793–1794. [Google Scholar] [CrossRef]
- Matsui, S.; Aida, H. Hydrolysis of Some N-Alkylmaleimides. J. Chem. Soc. Perkin Trans. 1978, 2, 1277–1280. [Google Scholar] [CrossRef]
- Boyatzis, A.E.; Bringans, S.D.; Piggott, M.J.; Duong, M.N.; Lipscombe, R.J.; Arthur, P.G. Limiting the Hydrolysis and Oxidation of Maleimide-Peptide Adducts Improves Detection of Protein Thiol Oxidation. J. Proteome Res. 2017, 16, 2004–2015. [Google Scholar] [CrossRef] [PubMed]
- Applequist, J.; Doty, P. α-Helix Formation in Poly-ε-Carbobenzoxy-l-Lysine and Poly-l-Lysine. In Polyamino Acids, Polypeptides, and Proteins; Stahmann, M.A., Ed.; The University of Wisconsin Press: Madison, WI, USA, 1962; pp. 161–177. ISBN 0299026205. [Google Scholar]
- Cistola, D.P.; Small, D.M.; Hamilton, J.A. Ionization behavior of aqueous short-chain carboxylic acids: A carbon-13 NMR study. J. Lipid Res. 1982, 23, 795–799. [Google Scholar] [PubMed]
- Cistola, D.P.; Small, D.M.; Hamilton, J.A. Carbon 13 NMR Studies of Saturated Fatty Acids Bound to Bovine Serum Albumin. II. Electrostatic Interactions in Individual Fatty Acid Binding Sites. J. Biol. Chem. 1987, 262, 10980–10985. [Google Scholar] [PubMed]
- Sukhija, P.S.; Palmquist, D.L. Nutrition, Feeding, and Calves. Dissociation of Calcium Soaps of Long- Chain Fatty Acids in Rumen Fluid. J. Dairy Sci. 1990, 73, 1784–1787. [Google Scholar] [CrossRef]
- de la Caba, K.; Pena, C.; Ciannamea, E.M.; Stefani, P.M.; Mondragon, I.; Ruseckaite, R.A. Characterization of Soybean Protein Concentrate—Stearic Acid/Palmitic Acid Blend Edible Films. J. Appl. Polym. Sci. 2012, 124, 1796–1807. [Google Scholar] [CrossRef]
- Scheider, W.; Fuller, J.K. An effective method for defatting albumin using resin columns. Biochim. Biophys. Acta Protein Struct. 1970, 221, 376–378. [Google Scholar] [CrossRef]
- Molin, Y.N.; Salikhov, K.M.; Zamaraev, K.I. Spin Exchange: Principles and Applications in Chemistry and Biology, 1st ed.; Springer: Berlin/Heidelberg, Germany, 1980; ISBN 3-540-10095-4. [Google Scholar]
- Gurachevsky, A.; Shimanovitch, E.; Gurachevskaya, T.; Muravsky, V. Intra-albumin migration of bound fatty acid probed by spin label ESR. Biochem. Biophys. Res. Commun. 2007, 360, 852–856. [Google Scholar] [CrossRef] [PubMed]
- Seelig, J. Anisotropic Motion in Liquid Crystalline Structures. In Spin Labeling: Theory and Applications, 1st ed.; Berliner, L.J., Ed.; Academic Press, Inc.: New York, NY, USA, 1976; Volume 1, pp. 373–409. ISBN 0-12-092350-5. [Google Scholar]
- Reichenwallner, J.; Schwieger, C.; Hinderberger, D. Probing the Nanoscopic Thermodynamic Fingerprint of Paramagnetic Ligands Interacting with Amphiphilic Macromolecules. Polymers 2017, 9, 324. [Google Scholar] [CrossRef]
- Nelder, J.A. Inverse Polynomials, a Useful Group of Multi-Factor Response Functions. Biometrics 1966, 22, 128–141. [Google Scholar] [CrossRef]
- Sutherland, R.A.; Wright, C.C.; Verstraeten, L.M.J.; Greenwood, D.J. The deficiency of the ‘economic optimum’ application for evaluating models which predict crop yield response to nitrogen fertilizer. Fertil. Res. 1986, 10, 251–262. [Google Scholar] [CrossRef]
- Catillo, G.; Macciotta, N.P.P.; Carretta, A.; Cappio-Borlino, A. Effects of Age and Calving Season on Lactation Curves of Milk Production Traits in Italian Water Buffaloes. J. Dairy Sci. 2002, 85, 1298–1306. [Google Scholar] [CrossRef]
- Griffith, O.H.; Jost, P.C. Lipid Spin Labels in Biological Membranes. In Spin Labeling: Theory and Applications, 1st ed.; Berliner, L.J., Ed.; Academic Press, Inc.: New York, NY, USA, 1976; Volume 1, pp. 453–523. ISBN 0-12-092350-5. [Google Scholar]
- Griffith, O.H.; Dehlinger, P.J.; Van, S.P. Shape of the Hydrophobic Barrier of Phospholipid Bilayers (Evidence for Water Penetration in Biological Membranes). J. Membr. Biol. 1974, 15, 159–192. [Google Scholar] [CrossRef] [PubMed]
- Steinhoff, H.J.; Savitsky, A.; Wegener, C.; Pfeiffer, M.; Plato, M.; Möbius, K. High-field EPR studies of the structure and conformational changes of site-directed spin labeled bacteriorhodopsin. Biochim. Biophys. Acta Bioenerg. 2000, 1457, 253–262. [Google Scholar] [CrossRef]
- Gumbel, E.J. Bivariate Logistic Distributions. J. Am. Stat. Assoc. 1961, 56, 335–349. [Google Scholar] [CrossRef]
- Caramelo, J.J.; Castro, O.A.; Alonso, L.G.; de Prat-Gay, G.; Parodi, A.J. UDP-Glc:glycoprotein glucosyl-transferase recognizes structured and solvent accessible hydrophobic patches in molten globule-like folding intermediates. Proc. Natl. Acad. Sci. USA 2003, 100, 86–91. [Google Scholar] [CrossRef] [PubMed]
- Saupe, A.; Maier, W. Methoden zur Bestimmung des Ordnungsgrades nematischer kristallinflüssiger Schichten. Der Ordnungsgrad von Azoxyanisol. Z. Naturforsch. A Phys. Sci. 1961, 16, 816–824. [Google Scholar] [CrossRef]
- Saupe, A. Kernresonanzen in kristallinen Flüssigkeiten und in kristallinflüssigen Lösungen. Teil I. Z. Naturforsch. A Phys. Sci. 1964, 19, 161–171. [Google Scholar] [CrossRef]
- Chin, J.H.; Goldstein, D.B. Drug Tolerance in Biomembranes: A Spin Label Study of the Effects of Ethanol. Science 1977, 196, 684–685. [Google Scholar] [CrossRef] [PubMed]
- Shin, Y.K.; Freed, J.H. Dynamic imaging of lateral diffusion by electron spin resonance and study of rotational dynamics in model membranes. Biophys. J. 1989, 55, 537–550. [Google Scholar] [CrossRef]
- Birmachu, W.; Voss, J.C.; Louis, C.F.; Thomas, D.D. Protein and Lipid Rotational Dynamics in Cardiac and Skeletal Sarcoplasmic Reticulum Detected by EPR and Phosphorescence Anisotropy. Biochemistry 1993, 32, 9445–9453. [Google Scholar] [CrossRef] [PubMed]
- Cassera, M.B.; Silber, A.M.; Gennaro, A.M. Differential effects of cholesterol on acyl chain order in erythrocyte membranes as a function of depth from the surface. An electron paramagnetic resonance (EPR) spin label study. Biophys. Chem. 2002, 99, 117–127. [Google Scholar] [CrossRef]
- Subczynski, W.K.; Widomska, J.; Feix, J.B. Physical properties of lipid bilayers from EPR spin labeling and their influence on chemical reactions in a membrane environment. Free Radic. Biol. Med. 2009, 46, 707–718. [Google Scholar] [CrossRef] [PubMed]
- Stepien, P.; Polit, A.; Wisniewska-Becker, A. Comparative EPR studies on lipid bilayer properties in nanodiscs and liposomes. Biochim. Biophys. Acta Biomembr. 2015, 1848, 60–66. [Google Scholar] [CrossRef] [PubMed]
- Rozenfeld, J.H.K.; Duarte, E.L.; Oliveira, T.R.; Lamy, M.T. Structural insights on biologically relevant cationic membranes by ESR spectroscopy. Biophys. Rev. 2017, 9, 633–647. [Google Scholar] [CrossRef] [PubMed]
- Vieria, E.D.; Basso, L.G.M.; Costa-Filho, A.J. Non-linear van’t Hoff behavior in pulmonary surfactant model membranes. Biochim. Biophys. Acta Biomembr. 2017, 1859, 1133–1143. [Google Scholar] [CrossRef] [PubMed]
- Gaffney, B.J. The Paramagnetic Resonance Spectra of Spin Labels in Phospholipid Membranes. J. Magn. Reson. 1974, 16, 1–28. [Google Scholar] [CrossRef]
- Morrisett, J.D.; Pownall, H.J.; Gotto, A.M., Jr. Bovine Serum Albumin: Study of the Fatty Acid and Steroid Binding Sites Using Spin-Labeled Lipids. J. Biol. Chem. 1975, 250, 2487–2494. [Google Scholar] [PubMed]
- Goodman, D.S. The Interaction of Human Serum Albumin with Long-chain Fatty Acid Anions. J. Am. Chem. Soc. 1958, 80, 3892–3898. [Google Scholar] [CrossRef]
- Spector, A.A. Fatty acid binding to plasma albumin. J. Lipid Res. 1975, 16, 165–179. [Google Scholar] [PubMed]
- Jost, P.; Libertini, L.J.; Hebert, V.C. Lipid Spin Labels in Lecithin Multilayers. A Study of Motion Along Fatty Acid Chains. J. Mol. Biol. 1971, 59, 77–98. [Google Scholar] [CrossRef]
- Van, S.P.; Birrell, G.B.; Griffith, O.H. Rapid Anisotropic Motion of Spin Labels. Models for Motion Averaging of the ESR Parameters. J. Magn. Reson. 1974, 15, 444–459. [Google Scholar] [CrossRef]
- Israelachvili, J.; Sjösten, J.; Eriksson, L.E.G.; Ehrström, M.; Gräslund, A.; Ehrenberg, A. Theoretical Analysis of the Molecular Motion of Spin Labels in Membranes. ESR Spectra of Labeled Bacillus Subtilis Membranes. Biochim. Biophys. Acta Biomembr. 1974, 339, 164–172. [Google Scholar] [CrossRef]
- Hilger, D.; Jung, H.; Padan, E.; Wegener, C.; Vogel, K.P.; Steinhoff, H.J.; Jeschke, G. Assessing Oligomeri-zation of Membrane Proteins by Four-Pulse DEER: pH-Dependent Dimerization of NhaA Na+/H+ Antiporter of E. coli. Biophys. J. 2005, 89, 1328–1338. [Google Scholar] [CrossRef] [PubMed]
- Mao, Q.; Schleidt, S.; Zimmermann, H.; Jeschke, G. A pulsed EPR study of surfactant layer structure in composites of a synthetic layered silicate with polystyrene and polycaprolactone. Phys. Chem. Chem. Phys. 2008, 10, 1156–1167. [Google Scholar] [CrossRef] [PubMed]
- Bode, B.E.; Dastvan, R.; Prisner, T.F. Pulsed electron-electron double resonance (PELDOR) distance measurements in detergent micelles. J. Magn. Reson. 2011, 211, 11–17. [Google Scholar] [CrossRef] [PubMed]
- Kattnig, D.R.; Hinderberger, D. Analytical distance distributions in systems of spherical symmetry with applications to double electron-electron resonance. J. Magn. Reson. 2013, 230, 50–63. [Google Scholar] [CrossRef] [PubMed]
- Bode, B.E.; Margraf, D.; Plackmeyer, J.; Dürner, G.; Prisner, T.F.; Schiemann, O. Counting the Monomers in Nanometer-Sized Oligomers by Pulsed Electron-Electron Double Resonance. J. Am. Chem. Soc. 2007, 129, 6736–6745. [Google Scholar] [CrossRef] [PubMed]
- Rescic, J.; Vlachy, V.; Jamnik, A.; Glatter, O. Osmotic Pressure, Small-Angle X-Ray, and Dynamic Light Scattering Studies of Human Serum Albumin in Aqueous Solutions. J. Colloid Interface Sci. 2001, 239, 49–57. [Google Scholar] [CrossRef] [PubMed]
- Taboada, P.; Gutierrez-Pichel, M.; Mosquera, V. Effects of the Molecular Structure of Two Amphiphilic Antidepressant Drugs on the Formation of Complexes with Human Serum Albumin. Biomacromolecules 2004, 5, 1116–1123. [Google Scholar] [CrossRef] [PubMed]
- Wang, W.; Tang, J.; Peng, X.; Hu, Z.; Chen, X. A laser light scattering study of the interaction between human serum albumin and ampicillin sodium. Sci. China Ser. B Chem. 2006, 49, 332–337. [Google Scholar] [CrossRef]
- Tanford, C.; Buzzell, J.G.; Rands, D.G.; Swanson, S.A. The Reversible Expansion of Bovine Serum Albumin in Acid Solutions. J. Am. Chem. Soc. 1955, 77, 6421–6428. [Google Scholar] [CrossRef]
- Kaszuba, M.; McKnight, D.; Connah, M.T.; McNeil-Watson, F.K.; Nobbmann, U. Measuring sub nanometre sizes using dynamic light scattering. J. Nanopart. Res. 2008, 10, 823–829. [Google Scholar] [CrossRef]
- Giannoulis, A.; Ackermann, K.; Spindler, P.E.; Higgins, C.; Cordes, D.B.; Slawin, A.M.Z.; Prisner, T.F.; Bode, B.E. Nitroxide-nitroxide and nitroxide-metal distance measurements in transition metal complexes with two or three paramagnetic centres give access to thermodynamic and kinetic stabilities. Phys. Chem. Chem. Phys. 2018, 20, 11196–11205. [Google Scholar] [CrossRef] [PubMed]
- Saroff, H.A. A Theory for the Binding of Chloride Ions to Serum Albumin Based on a Hydrogen Bonded Model. J. Phys. Chem. 1957, 61, 1364–1368. [Google Scholar] [CrossRef]
- Wallach, D.F.H.; Verma, S.P.; Weidekamm, E.; Bieri, V. Hydrophobic Binding Sites in Bovine Serum Albumin and Erythrocyte Ghost Proteins. Study by Spin-Labelling, Paramagnetic Fluorescence Quen-ching and Chemical Modification. Biochim. Biophys. Acta Biomembr. 1974, 356, 68–81. [Google Scholar] [CrossRef]
- Curry, S.; Mandelkow, H.; Brick, P.; Franks, N. Crystal structure of human serum albumin complexed with fatty acid reveals an asymmetric distribution of binding sites. Nat. Struct. Biol. 1998, 5, 827–835. [Google Scholar] [CrossRef] [PubMed]
- Curry, S.; Brick, P.; Franks, N.P. Fatty acid binding to human serum albumin: New insights from crystallo- graphic studies. Biochim. Biophys. Acta Mol. Cell. Biol. Lipids 1999, 1441, 131–140. [Google Scholar] [CrossRef]
- Jeschke, G. DEER Distance Measurements on Proteins. Annu. Rev. Phys. Chem. 2012, 63, 419–446. [Google Scholar] [CrossRef] [PubMed]
- Lamm, G.; Pack, G.R. Counterion Condensation and Shape within Poisson-Boltzmann Theory. Biopolymers 2010, 93, 619–639. [Google Scholar] [CrossRef] [PubMed]
- Michnik, A.; Michalik, K.; Drzazga, Z. Stability of Bovine Serum Albumin at different pH. J. Therm. Anal. Calorim. 2005, 80, 399–406. [Google Scholar] [CrossRef]
- Arabi, S.H.; Aghelnejad, B.; Schwieger, C.; Meister, A.; Kerth, A.; Hinderberger, D. Serum albumin hydrogels in broad pH and temperature ranges: Characterization of their self-assembled structures and nanoscopic and macroscopic properties. Biomater. Sci. 2018, 6, 478–492. [Google Scholar] [CrossRef] [PubMed]
- Khramtsov, V.V.; Weiner, L.M.; Eremenko, S.I.; Belchenko, O.I.; Schastnev, P.V.; Grigorev, I.A.; Reznikov, V.A. Proton Exchange in Stable Nitroxyl radicals of the Imidazoline and Imidazolidine Series. J. Magn. Reson. 1985, 61, 397–408. [Google Scholar] [CrossRef]
- Voinov, M.A.; Kirilyuk, I.A.; Smirnov, A.I. Spin-Labeled pH-Sensitive Phospholipids for Interfacial pKa Determination: Synthesis and Characterization in Aqueous and Micellar Solutions. J. Phys. Chem. B 2009, 113, 3453–3460. [Google Scholar] [CrossRef] [PubMed]
- Khramtsov, V.V.; Marsh, D.; Weiner, L.; Reznikov, V.A. The application of pH-sensitive spin labels to studies of surface potential and polarity of phospholipid membranes and proteins. Biochim. Biophys. Acta Biomembr. 1992, 1104, 317–324. [Google Scholar] [CrossRef]
- Smirnov, A.I.; Ruuge, A.; Reznikov, V.A.; Voinov, M.A.; Grigorev, I.A. Site-directed Electrostatic Measurements with a Thiol-Specific pH-Sensitive Nitroxide: Differentiating Local pK and Polarity Effects by High-Field EPR. J. Am. Chem. Soc. 2004, 126, 8872–8873. [Google Scholar] [CrossRef] [PubMed]
- Thetiot-Laurent, S.; Gosset, G.; Clement, J.L.; Cassien, M.; Mercier, A.; Siri, D.; Gaudel-Siri, A.; Rockenbauer, A.; Culcasi, M.; Pietri, S. New Amino-Acid-Based β-Phosphorylated Nitroxides for Probing Acidic pH in Biological Systems by EPR Spectroscopy. ChemBioChem 2017, 18, 300–315. [Google Scholar] [CrossRef] [PubMed]
- Tian, M.; Peng, X.; Fan, J.; Wang, J.; Sun, S. A fluorescent sensor for pH based on rhodamine fluorophore. Dyes Pigments 2012, 95, 112–115. [Google Scholar] [CrossRef]
- Gao, F.; Tang, L.; Dai, L.; Wang, L. A fluorescence ratiometric nano-pH sensor based on dual-fluorophore- doped silica nanoparticles. Spectrochim. Acta Part A 2007, 67, 517–521. [Google Scholar] [CrossRef] [PubMed]
- Uyeda, H.T.; Medintz, I.L.; Jaiswal, J.K.; Sanford, M.S.; Mattoussi, H. Synthesis of Compact Multidentate Ligands to Prepare Stable Hydrophilic Quantum Dot Fluorophores. J. Am. Chem. Soc. 2005, 127, 3870–3878. [Google Scholar] [CrossRef] [PubMed]
© 2018 by the authors. Licensee MDPI, Basel, Switzerland. This article is an open access article distributed under the terms and conditions of the Creative Commons Attribution (CC BY) license (http://creativecommons.org/licenses/by/4.0/).











