You are currently viewing a new version of our website. To view the old version click .
Magnetochemistry
  • Article
  • Open Access

2 December 2015

Novel Topologies in Vanadium-bis-β-Diketone Chemistry: A [V4] and a [V6] Metallacyclophane

,
,
,
and
1
Departament de Química Inorgànica, Universitat de Barcelona, Diagonal 645, Barcelona 08028, Spain
2
Instituto de Ciencia de Materiales de Aragón (ICMA), CSIC and Universidad de Zaragoza, Plaza San Francisco s/n, Zaragoza 50009, Spain
3
Unitat d’Espectrometria de Masses de Caracterització Molecular, CCiT, Universitat de Barcelona, Martí i Franqués 1-11, Barcelona 08028, Spain
4
Advanced Light Source, Berkeley Laboratory, 1 Cyclotron Road, MS2-400, Berkeley, CA 94720, USA
This article belongs to the Special Issue Magnetochemistry: From Fundamentals to Applications

Abstract

Exploring the chemistry of vanadyl ions (VO2+) with bis-β-diketone ligands, in pyridine reactions of vanadyl sulfate with 1,3-bis-(3-oxo-3-(2-hydroxyphenyl)-propionyl)-benzene (H4L1) and 1,3-bis-(3-oxo-3-(2-hydroxyphenyl)-propionyl)-pyridine (H4L2), two novel clusters, [(VIVO)4(H2L1)4(py)4] (1) and [(VVO)4(VIVO)2 (O)4(L2)2(py)6] (2) were prepared and characterized. Due to the conformational flexibility of the ligands, both entities exhibit very peculiar metal topologies and composition, differing significantly from structural patterns established in the related chemistry of divalent 3d metals. Structural analysis also unveils the existence of the most complex metallamacrocycles from this family to date. Studies of the magnetic properties via bulk magnetization measurements and EPR spectroscopy confirmed the existence of uncoupled long-distant S = 1/2 metal centers and the spin ground states S = 2 and S = 1 of the clusters.

1. Introduction

The field of molecular magnetism has illuminated the discovery of magnetic functional systems of molecular bases, such as single molecule magnets (SMMs) [,,,,], bi-stable spin crossover (SCO) materials [,,], or proposed molecular hardware for spin-based quantum computing (QC) [,,,]. In this endeavor, the field of coordination chemistry is an inexhaustible spring of tools resulting from the combination of versatile organic scaffolds and the diverse physico-chemical properties of transition and rare-earth metals. In this context, the implementation of judiciously engineered ligands, such as bis-β-diketones [], has allowed the preparation of abundant families of metallohelicates [,,], linear molecular platforms [,], weakly coupled molecular cluster pairs [,], metallamacrocycles [,,,], and cage clusters [,,,] displaying interesting topologies and unprecedented structural features. However, despite that the vast majority of their coordination entities involve divalent and trivalent 3d metal ions, the chemistry of bis-β-diketone ligands with vanadium remains relatively scarce, especially when considering the diverse reactivity of this metal together with the biological and catalytic importance of its compounds [,,,,,]. To date, very few vanadium metallo-organic structures of bis-β-diketones have been reported. These include one dinuclear VIII helicate [] and a collection of dinuclear metallamacrocyclic compounds of V(II), V(III), and V(IV) [,,]. Nevertheless, the importance of vanadium in emerging areas of molecular magnetism is increasing. In fact, one of the first 3d coordination clusters identified as SMM was a [V(III)4] “butterfly” complex []. In addition, one of the first complexes exhibiting long quantum coherence, revealed through the observation of Rabi oscillations, as a prerequisite for the quantum manipulation of the spin was a [V(IV)15] cluster []. In this line, electrically gating the interaction between two (VO2)2+ groups at the ends of a polyoxometallate was proven theoretically to enable the realization of a quantum gate []. More recently, the quantum coherence of the EPR transitions between the electronuclear states within a mononuclear V(IV) complex were described as an important resource for the quantum processing of information [].
Here, we show the unusual coordination chemistry of vanadyl ions VO2+ with two bis-β-diketone ligands (Scheme 1), 1,3-bis-(3-oxo-3-(2-hydroxyphenyl)-propionyl)-benzene (H4L1) and 1,3-bis-(3-oxo-3-(2-hydroxyphenyl)-propionyl)-pyridine (H4L2), designed and prepared in our group [,]. Prior to this work, ligand H4L1 was employed in the synthesis of dinuclear and (homo- or heterometallic) tetranuclear complexes of 3d transition metals containing linear [M2(H2L1)2] [] and [M4(L1)2] [,] central cores. On the other hand, ligand H4L2 has been used exclusively in preparation of Co(II) coordination compounds with some unprecedented features. Employment of the ligand under weakly basic conditions allowed deprotonating only the β-diketone moiety leading to the octanuclear cluster [Co8O(OH)(H2L2)6]NO3, which encapsulates a very rare [μ3-O···H···μ3-O] structural motif []. The use of a strong base (TBAOH, NaH) and a coordinating solvent (pyridine) directed the outcome of aerobic analogous reactions towards the unusual tetranuclear [Co4(L2)2(OH)(py)7]NO3 and octanuclear [Co8Na4(L2)4(OH)2(CO3)2(py)10](BF4)2 coordination compounds []. The exceptionality of these structures lies in the existence of a very rare bridging “crevice” pyridine ligand within the former, or two trapped carbonate anions, within the latter, forced to stay at the shortest non-covalent distance ever observed. Given the structural versatility of H4L1 and H4L2, we decided to explore their potential for organizing the vanadyl ion (VO2+) within molecular assemblies with the long-term view of exploiting its potential in the context of quantum computing. Thus, the tetranuclear neutral cluster [(VO)4(H2L1)4(py)4] (1) was obtained with ligand H4L1, which exhibits a combination of linear and bent (V-shaped) conformations (Scheme 1) favoring the formation of a grid-like coordination cage. On the other hand, H4L2 yields the mixed valence VVVIV neutral cluster [(VVO)4(VIVO)2(O)4(L2)2(py)6] (2), with a radically different structure, resulting from an unprecedented coordination mode for this ligand (Scheme 1).
Scheme 1. Ligands H4L1 and H4L2, together with their coordination modes and conformations seen in previous reports and in compounds 1 and 2. (A) [M2(H2L1)2] []; (B) [M4(L1)2] and [M2M′2(L1)2] [,]; (C) [(VO)4(H2L1)4(py)4] (1); (D) [Co4(L2)2(OH)(py)7]NO3 (left) and [Co8Na4(L2)4(OH)2(CO3)2(py)10](BF4)2 (right) []; (E) [Co8O(OH)(H2L2)6]NO3 []; and (F) [(VVO)4(VIVO)2 (O)4(L2)2(py)6] (2).

2. Results and Discussion

2.1. Synthesis

The structural versatility of H4L1 and H4L2 has been emphasized in the Introduction. The former donor has allowed the subtle control of cluster topology and nuclearity [,,], whereas the latter led to the discovery of unexpected structural features [,]. Interestingly, all the studied compounds exhibit the ligands in a linear conformation (Scheme 1) with both coordination pockets facing the same direction (syn, syn conformation). It was originally expected that vanadyl chemistry would show similar tendencies, however, the results unveil much richer and unpredictable chemistry of this ion with bis-β-diketone ligands. Thus, the aerobic reaction between hydrated vanadyl sulfate and H4L1 in pyridine, in the presence of NaH, leads to the formation of the tetranuclear cluster [(VO)4(H2L1)4(py)4] (1). Comparing this tetrameric cluster with those already described (see below), with formula [M2(H2L1)2(S)x] (S = axial solvent ligands), which also contain partially deprotonated H2L12− ligands occupying equatorial positions, it can be confirmed that vanadyl ions do not follow the same reactivity pattern as divalent 3d metal ions. The yield of the process suggests the possibility of other side reactions. Attempts to replicate the reaction using the product stoichiometry with the same or a different base (Et3N, TBAOH) were unsuccessful, which could indicate a potential role of Na+ as a template. Possible byproducts could include oxidized vanadium(V) analogues or eventually polyoxometallate species. Despite of this, the formation of 1 may be described with a balanced chemical equation (Equation (1)):
4VOSO4·H2O + 4H4L1 + 8NaH + 4py→[(VO)4(H2L1)4(py)4] + 8H2 + 4Na2SO4 + 4H2O
Repetition of this reaction under the same conditions, using ligand H4L2 leads to dramatic differences in the nature of the product obtained, here consisting of a mixed valent VVVIV neutral cluster identified as [(VVO)4(VIVO)2O4(L2)2(py)6] (2). The incorporated O2− groups may arise from the molecules of H2O present in the reaction system. The partial oxidation of V(IV) ions in this reaction suggests that these groups originate from atmospheric oxygen, as proposed below (Equation (2)), which is very common with vanadyl ions under basic conditions in different solvents. We in fact have also observed this previously with Co(II), leading to CoIII/CoII coordination systems containing the same ligand [,]. Besides the oxidation state of the metals, the major difference of hexanuclear cluster 2 from previously described compound 1 is the presence of fully deprotonated ligands as well as the increased metal to ligand ratio. Interestingly, the structural disparity of H4L1 vs. H4L2 products seen previously with 3d metal chemistry is maintained here (Scheme 1). However, here again, cluster 2 does not compare with any other known compound containing fully deprotonated L24− (see below). The low yield implies also here the occurrence of side reactions. The presence of sodium ions in the reaction seems to be crucial since analogous procedures involving TBAOH as a base do not yield the same product. As well as in the case of compound 1, it is possible that sodium ions are acting as a template in the formation of this metallamacrocycle by stabilizing the very unusual bent conformation of the ligand (see crystal structure and SI). The net equation describing the formation of compound 2 is shown below (Equation (2)):
6VOSO4·H2O + 2H4L2 + 12NaH + 6py + O2→[(VVO)4(VIVO)2O4(L2)2(py)6] + 12H2 + 6Na2SO4 + 4H2O

2.2. Description of Structures

2.1.1. [(VO)4(H2L1)4(py)4] (1).

Compound 1 crystallizes in the monoclinic space group P21/c as a solvated neutral metallacyclophane with the formula content [(VO)4(H2L1)4(py)4]·6py (1·6py). The asymmetric unit is formed by one half of this formula, whereas the unit cell is composed of two full molecules. Crystallographic data are listed in Table S1, while bond distances and angles are collected in the Table S2. The cluster of 1 consists of four vanadyl (VIVO)2+ ions held together by four partially deprotonated H2L12− ligands accompanied by four pyridine molecules which complete the distorted octahedral O5N coordination environment around the metal ions (Figure 1 and Figure S1). Bond Valence Sum analysis (SI) confirms the assigned oxidation states (Table S3). The O-donors are in two different conformations and in both cases these chelate the metal centers with their two β-diketonato coordination pockets while keeping the phenolic protons intact. The topology of the cluster can be described as rhomboidal, resulting from the two distinct conformations of the H2L12− ligands, obtained by differing degrees of rotation around the single bonds between the central m-phenylene spacer and the β-diketone groups (with both planes either in the vicinity of 0° or near 180°). Thus, the short side of the parallelogram (V···V distance of 7.514(3) Å) spans the ligand in a linear conformation where both chelating pockets are orientated in the same direction. The longer side (V···V distance of 10.892(4) Å) is defined by bent (V-shape) H2L12− ligands with both coordination pockets pointing to neatly different directions, in the same way as found in the crystal structure of the analogous ligand H2L2 []. The latter pair of ligands exhibit a nearly flat conformation and lie parallel to each other, establishing mutual intramolecular π···π interactions (Figure S1). This causes the marked anisotropy of the [V4] parallelogram (short V···V diagonal distance, 6.508(3) Å; long V···V diagonal distance, 17.546(5) Å). This also prevents the occupation of the central cavity of the assembly by any potential guest molecules (such as pyridine).
Figure 1. Molecular structure of [(VO)4(H2L)4(py)4] (1) with crystallographically-independent heteroatoms labeled. Only phenolic hydrogen atoms are shown for clarity. Carbon atoms of each ligand conformation are black and green respectively, while these of pyridine are grey.
Both crystallographically-independent vanadium ions of 1 exhibit the trans effect within the axis containing the V=O bond, leading to two very disparate V–O bond distances (Table S2). The equatorial plane around the vanadium atoms is not fully homogeneous either, with three V–O bonds lengths in the range of 1.944(8) to 2.011(8) Å, and one V–N bond of 2.149(10) and 2.142(10) Å for V1 and V2 respectively (Figure S1), while the metals are situated approximately 0.3 Å outside this O3N plane towards the oxide ligand. These distortions are in agreement with the reported parameters for other vanadium compounds with the same coordination environment [,,,,,]. The cluster exhibits four intramolecular hydrogen bonds between phenolic –OH groups and the oxygen atoms from the adjacent coordinated β-diketonato moiety (Figure S2, Table S4). The structure of 1 was analyzed for possible V=O∙∙∙C supramolecular contacts []. Indeed, the O∙∙∙C distance of one such contact (V1=O13∙∙∙C51; O···C dist., 3.12(2) Å and V–O–C ang., 173.5(5)°) is shorter than 3.2 Å, considered the value of the sum of Van der Waals radii, thus contributing to link molecules into chains within the lattice. In addition, the molecules are further organized in the solid as two-dimensional sheets via π∙∙∙π stacking involving the central phenyl ring of the “linear” H2L12− ligand or through C–H∙∙∙O hydrogen bonding contacts between “bent” and “linear” ligands, respectively, from neighboring molecules. The third dimension of the crystal structure is maintained through weaker interactions between sheets by means of C–H∙∙∙O and C–H∙∙∙π contacts (Figure S2, Table S5). The voids left between the molecules constitute channels occupied by pyridine molecules (Figure S3).

2.1.2. [(VVO)4(VIVO)2O4(L2)2(py)6] (2)

Compound 2 crystallizes in the triclinic P-1 space group as a neutral, mixed-valent coordination cluster with the formula content [(VVO)4(VIVO)2O4(L2)2(py)6] (2·3.44py). The asymmetric unit includes half of this composition while the unit cell consists of one full solvated cluster (Table S1). Bond distances and angles are collected in Table S6. The molecular structure of 2 consists of two well-separated mixed metal VV2VIV trinuclear units as part of a cyclic coordination cage involving two fully deprotonated bis-β-diketone ligands (L24−). The oxidation state assignments are in full agreement with BVS analysis (Supporting Information, Table S7). Each ligand binds two metals of one cluster with two metals of the other, thus keeping both aggregates separate, but together within the molecule. In doing so, the ligands exhibit a rare bent conformation (Scheme 1 and Figure 2 and Figure S4) similar to that seen in 1, but with an asymmetric coordination mode. Thus, L24− is chelating and bridging two metals on one side via the phenoxido-diketonato moiety with a monoatomic bridge, whereas the other side chelates one metal with the β-diketonate and binds the other one with the phenolate moiety acting as a terminal ligand. The coordination environment around the metals is completed with three terminal pyridine molecules and two μ-O2− groups, each of the latter serving as one edge of a [V3] triangle. The shortest side of the triangle is defined by two VV atoms (d(V1···V2) = 3.125(1) Å), allocated within the hydroxyphenyl-β-diketonate pocket, while the longest one corresponds to a VIV–VV pair of atoms (d(V1···V3) = 5.644(1) Å), with no direct link between them. The remaining side of the triangle measures 3.560(1) Å and spans a VIV (V3) and VV (V2) ion through the μ-O2− bridge (Figure S5). The flexibility of the ligand enables the assembly of a metal topology with no precedents for this family of bis-β-diketonate ligands. Interestingly, the distribution and orientation of oxygen and nitrogen atoms from L24− towards the cavity of the coordination cage indicates that the formation of this entity could be templated with the sodium ions (Figure S6), with its absence in the final product perhaps related to electroneutrality requirements.
The coordination environment around all three vanadium ions ranges from distorted octahedral O4N2 V(IV) and O5N V(V) to O5 square-pyramidal V(V), corresponding to V3, V1, and V2, respectively (Figure S5A). Atom V3 exhibits an almost identical distortion as seen in 1, with noticeable trans effect and differing bonds in the equatorial plane. The metal is 0.237 Å away of the equatorial plane. Square pyramidal V2 also exhibits severe distortion at the equatorial plane (V–O bonds ranging 1.689(3) to 2.064(3)Å). Interestingly, the V2–O bond of the VIV–VV bridge is shorter (1.689(3) Å) than that involved in the VV–VV bridge (1.923(4) Å). The vanadium atom lays 0.514 Å outside of the equatorial plane, towards the double-bonded oxygen atom. The octahedral environment of V1 is also much distorted, due in part to the diversity of the donors around it. The coordination numbers of the VV sites located within the hydroxyphenyl-β-diketonate pocket are five and six, respectively, as seen previously for the pairs of the discrete dimers reported for ligand H4L1 with other 3d metals (Figure S5) [,].
Figure 2. Molecular structure of [(VVO)4(VIVO)2(O)4(L2)2(py)6] (2) with crystallographically-independent heteroatoms labeled. Carbon atoms of L24− are in black while these from pyridine are grey. Vanadium(V) atoms are yellow balls, while the vanadium(IV) atoms are blue.
The clusters of 2 interact through V=O∙∙∙C close contacts [] at V3, building polymeric layers supported by π∙∙∙π stacking contacts together with V=O∙∙∙C–H contacts at V2 (Figures S7 and S8, Table S8). The third dimension of the crystal structure is achieved through V=O∙∙∙H–C contacts between the neighboring layers (Figure S7). The network of intermolecular interactions enables gathering of ten neighboring molecules per cluster forming voids in between them for the accommodation of solvent molecules. Solvate pyridine molecules (a total of 3.44 molecules per cluster) interact weakly with the clusters via C−H∙∙∙π contacts (Figure S9).

2.3. Mass Spectrometry

Metallacyclophanes 1 and 2 are slightly-to-moderately soluble in THF, MeOH, and DMF allowing the assessment of their stability in solution through mass spectrometry. A very detailed analysis was then performed. Thus, positive mode MALDI-TOF spectra of 1 (Figures S10–S13) revealed the existence of the tetranuclear [(VO)4(H2L1)4] core in THF solution, as well as some of its fragments like [(VO)4(L1)2]+, [V(VO)3(L1)2]+ and [V2(VO)2(HL1)3(CH3OH)]+. Fragments lacking one or two of the metal ions and ligands are also observed (e.g., [(VO)3(HL1)2]+, [(VO)3(HL1)(H2L1)]+, [(VO)3(HL1)2(H2L1)]+, [(VO)2(H2L1)2]+, [(VO)2(H2L1)2] + Na+ (K+), and [V(VO)(H2L1)2]+), as well as those including DHB in their composition (e.g., [(VO)3(H2L1)4(C6H3(OH)2COOH]+, [(VO)3(H2L1)3(C6H3(OH)2COO)3]+, [(VO)3(H2L1)3(C6H3(OH)2COO)2]+, etc.) inherent to the technique employing DHB matrix. Significant fragmentation of the compound is evident also from the existence of many monometallic fragments such as [V(H2L1)]+, [(VO)(H3L1)]+, [(VO2)(H4L1)]+ where the oxidation state of vanadium varies from +3 to +5. In the negative mode of detection, polynuclear molecular fragments with different metal to ligand ratios were found (e.g., [(VO)3(VO2)(L1)2], [(VO)3(HL1)(L1)] and [(VO)(VO2)L1]) along with mononuclear entities, such as [V(L1)] and [(VO)(HL1)] (Figure S14). On the other hand, the existence of the hexanuclear core [(VO)6(L2)2] was not observed through MALDI-TOF spectra of compound 2 (neither in positive nor negative mode) due to the significant fragmentation of the molecule (Figures S15–S17). This fact is understandable bearing in mind that the stability of this cluster decreases significantly with the loss of axial pyridine ligands as well as oxide co-ligands. In the positive mode of detection, polynuclear entities such as [(VO)2(H2L2)2] + Na+ and [(VO)3(HL2)2] + Na+ are the most abundant along with the free ligand salts of sodium and potassium (H4L2 + Na+ and H4L2 + K+). Related to this, mononuclear [V(L2)] and [(VO)(HL1)] moieties are dominating the negative mode MALDI-TOF spectra of this compound (as previously seen also in the case of the compound 1) together with the appearance of dinuclear and trinuclear species (e.g., [(VO)3(HL2)(L2)], [V(VO)(HL2)2], Figure S17).

2.4. Magnetic Properties

Variable temperature magnetization measurements were performed on powdered microcrystalline samples of both compounds in the 2 K to 300 K range under constant magnetic fields of 1 T and 0.5 T for 1 and 2, respectively. In addition, magnetization measurements at 2 K in the field range of 0–5 T were performed. The resulting χMT vs. T and M/NμB vs. H curves are presented on Figure 3 and Figure 4, respectively (χM is the paramagnetic susceptibility per mole of V4 cluster). For compound 1, the value of χMT at 300 K is 1.58 cm3·K·mol−1, only slightly above the expected number for four uncoupled S = 1/2 spin centers with g = 2 (1.500 cm3·K·mol−1). This is consistent with the postulated oxidation state of the metal centers for this cluster (VIV). The χMT value remains then constant upon cooling and only rises very slightly near 15 K to reach a maximum of 1.60 cm3·K·mol−1 at 10 K before declining more sharply down to a value of 1.48 cm3·K·mol−1 at 2 K. This behavior shows that the paramagnetic centers within the cluster remain only very weakly coupled. The extent of this coupling was determined by fitting the experimental data using an iterative matrix diagonalization procedure with the program PHI [], employing as model Hamiltonian that in Equation (3).
H ^ = 2 J ( S ^ 1 S ^ 2 + S ^ 3 S ^ 4 ) 2 J ( S ^ 1 S ^ 3 + S ^ 2 S ^ 4 )
The coupling scheme used to build this Hamiltonian is that of Scheme 2. The labels 1 to 4 refer to four different V(IV) centers numbered consecutively along the periphery of the metallacycle, but do not allow to discern which edge is J and which is J′. The fitting indeed produces very weak coupling constants (J = 0.51 cm−1 and J′ = −0.31 cm−1) together with parameters g = 2.04 and an additional contribution from intermolecular interactions modeled as zJ = 0.02 cm−1. Since the coupling is so weak, the values may be strongly affected by small errors, thus, only the fact that the numbers are very small must be retained from this fitting. The excellent fitting of magnetization at constant temperature (2 K) and variable magnetic field (Figure 4) confirms the results from the variable temperature magnetic susceptibility measurements, since both sets of data were fitted simultaneously.
Figure 3. χMT vs. T plots per mole of compounds 1 (green squares) and 2 (red circles). The solid lines are fits to the experimental data (see text for details).
Figure 4. M/NμB vs. H plots per mole of compounds 1 (green squares) and 2 (red circles). The solid lines are fits to the experimental data (see text for details).
Scheme 2. Coupling scheme employed in the Hamiltonian of Equation (3).
Hexanuclear cluster 2 contains only two VIV paramagnetic metal centres (S = 1/2) while the remaining four metal ions are diamagnetic vanadium(V) (S = 0). The intramolecular distance between both spin carriers is 14.679(1) Å while the shortest intermolecular distance is 5.437(1) Å. The χMT product at 300 K (0.730 cm3·K·mol−1) is slightly below the expected value (0.750 cm3·K·mol−1 for g = 2.0) for two uncoupled (S = 1/2) vanadium(IV) centers. The value stays practically constant over the whole thermal range. Simultaneous analysis of the experimental χMT vs. T and M/NμB vs. H curves data using the program PHI [], allowed fitting these data for a g value of 1.94 and with the presence of very weak intermolecular interactions (zJ = 0.03 cm−1) as well as temperature independent paramagnetism (TIP = 70 × 10−6 cm3·K·mol−1).
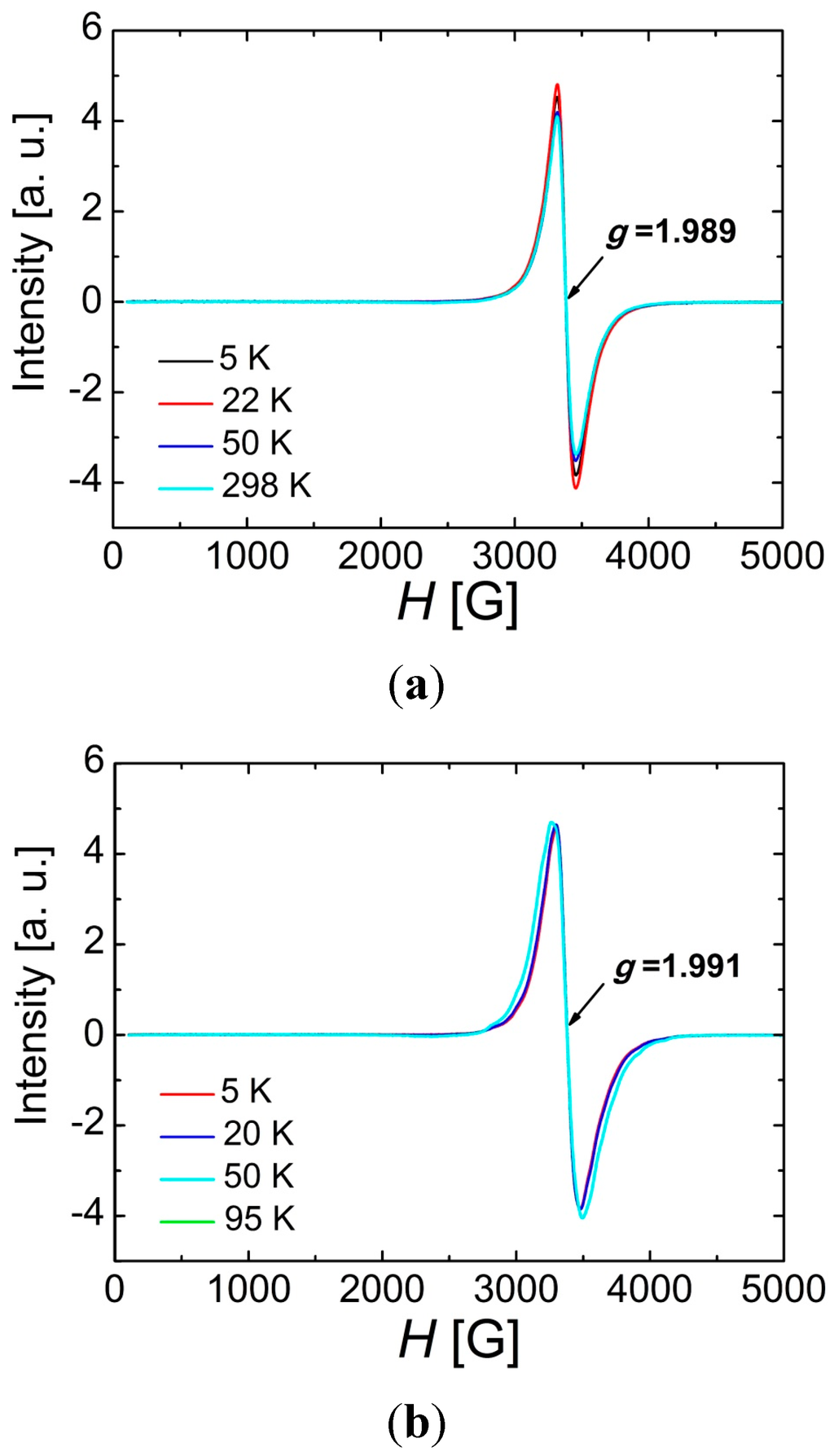
Solid state powder EPR spectra of both compounds (Figure 5) at various temperatures (5–298 K for compound 1 and 5–95 K for compound 2) showed in each case a strong and broad isotropic resonance centered at a g = 1.989 and g = 1.991 for 1 and 2 respectively. These g factors are smaller than the theoretical g value of the free electron (2.0023) and are in excellent agreement with the literature reported studies of vanadyl-based systems [,]. On the other hand, the small discrepancies with the values obtained from fitting the magnetization data are due to the fact that the latter are from using a collective bulk thermodynamic quantity, subject to experimental errors, such as the accuracy on the molecular mass, which is not the case for the EPR results, which are spectroscopic. No hyperfine coupling was observed with the 51V nuclei.
Figure 5. Variable temperature X-band EPR spectra on solid powdered samples of complexes 1 (a) and 2 (b).

3. Experimental Section

3.1. Synthesis

The ligands 1,3-bis-(3-oxo-3-(2-hydroxyphenyl)-propionyl)-benzene (H4L1) [] and 1,3-bis-(3-oxo-3-(2-hydroxyphenyl)-propionyl)-pyridine (H4L2) [] were prepared according to a slightly modified procedure published by us where the solvent of the reaction was changed from DME to dry THF. Solvents and reagents were used as received without purification. Sodium hydride was used as 60% suspension in mineral oil while vanadyl sulfate was used as monohydrate salt (VOSO4·H2O).

3.1.1. Synthesis of [(VO)4(H2L)4(py)4] (1)

Solid NaH (11.9 mg, 0.298 mmol) was added to the yellow solution of ligand H4L1 (30.0 mg, 0.075 mmol) in pyridine (10 mL) causing immediate hydrogen evolution and the change of color of the solution to light orange. The mixture was stirred at room temperature for 10 min and it was then added dropwise to a hot solution of VOSO4·H2O (27.0 mg, 0.149 mmol) in pyridine (10 mL) changing its color from blue to orange. The resulting reaction mixture was stirred at room temperature for 90 min and then filtered to remove a very small amount of brown precipitate (less than 3 mg). The remaining filtrate was layered with hexanes, diethyl ether, or toluene, producing very thin yellow-orange plates within a week with an average yield of 37% (18.4 mg). Prior to any analysis, crystals were washed with water and toluene to remove traces of any residual salts (Na2SO4) and impurities. IR (KBr pellet: 0.9 mg sample + 99.6 mg KBr, Figure S18): v/cm−1:3440 m, 1620 m, 1518 s, 1338 m, 1299 m, 1198 m, 959 m, 760 m, 698 m. EA (%); Calc. (Found for 1·2.65H2O∙1.45toluene): C 64.01 (64.04), H 4.30 (4.26), N 2.37 (2.33).

3.1.2. Synthesis of [(VVO)4(VIVO)2 (O)4(L2)2(py)6]·(2)

Solid NaH (11.9 mg, 0.298 mmol) was added to a yellow solution of ligand H4L2 (30.0 mg, 0.074 mmol) in pyridine (10 mL) causing immediate hydrogen evolution and the change of color of the solution to yellow-orange. The mixture was stirred at room temperature for 10 min and afterwards it was added dropwise to a hot solution of VOSO4·H2O (27.0 mg, 0.149 mmol) in pyridine (10 mL) changing its color from blue to orange-brown. The resulting reaction mixture was stirred at room temperature for 90 min and then filtered. A very small amount of dark brown precipitate was removed (about 4 mg) by filtration. The filtrate was layered with toluene causing the formation of small dark orange plates within a week with an average yield of 29% (21.6 mg). Prior to any analysis, crystals were washed with water and toluene to remove traces of any residual salts (Na2SO4) and impurities. IR (KBr pellet: 1.1 mg sample + 115.6 mg KBr, Figure S19): v/cm−1:3424 m, 1605 m, 1525 s, 1444 m, 1345 m, 1251 m, 1215 m, 1070 m, 964 m, 952 m, 826 m, 765 m, 740 m, 694 m. EA (%); Calc. (Found for 2·2H2O·1.3toluene): C 53.94 (53.90), H 3.74 (3.60), N 5.91 (5.78).

3.2. X-Ray Crystallography

Data for 1 were collected on a yellow plate at 100 K with a Bruker (Madison, WI, USA) APEX II CCD diffractometer on the Advanced Light Source beamline 11.3.1 at Lawrence Berkeley National Laboratory, from a silicon 111 monochromator (λ = 0.7749 Å). Data for 2 were collected at 100 K on Bruker (Madison, WI, USA) APEX II QUAZAR diffractometer equipped with a microfocus multilayer monochromator with Mo Kα radiation (λ = 0.71073 Å). Data reduction and absorption corrections in both cases were performed with SAINT and SADABS, respectively [,]. The structures were solved with direct methods and refined on F2 with SHELX-TL suite [,]. Very thin and fragile crystals of compound 1 with disordered lattice solvent area showed significant diffraction only up to 1.05 Å even using synchrotron radiation (data were cut at 1.01 Å). Non-hydrogen atoms were refined anisotropically while hydrogen atoms were placed geometrically on their carrier atom and refined using suitable riding model. Disordered lattice pyridine molecules were refined over two positions using a rough rigid body restraint (AFIX 66) giving the final values of relative occupancies of 0.72/0.28, 0.64/0.36, and 0.61/0.39 for pairs of disordered pyridine molecules (N1S/N4S, N2S/N5S, and N3S/N6S, respectively). The corresponding atoms were refined isotropically with a common isotropic thermal factor for each pair of pyridine molecules. An additional attempt was made to refine small disorder of one of the vanadium atoms (V2) over two positions but the model did not improve significantly and did not provide any additional information. Thus, the concerned vanadium atom was left at full occupancy and it was refined with displacement parameter restraints. Possibly related to this disorder, as well as with the poor diffraction, a number of oxygen and carbon atoms from the ligands also showed some disorder and, therefore, those atoms were refined with displacement parameters restraints. Crystals of compound 2 showed significant decrease of diffraction at resolutions better than 0.95 Å; thus, the obtained data were cut at 0.91 Å. All non-hydrogen atoms were refined anisotropically while the hydrogen atoms were placed geometrically on their carrier atoms and refined using suitable riding model. The lattice solvent area is occupied by highly disordered pyridine molecules which were refined over three positions using rigid body restraint (AFIX 66) and displacement parameters restraints. Their relative occupancies were first refined and later fixed in the final refinement cycle at the converged values summing 3.44 molecules per formula unit. At the end of refinement, one residual electron density peak remained close to one of the disordered partial lattice pyridine molecules likely corresponding to some unresolved disorder. All crystallographic details can be found in CCDCs 1430322–1430323 (for 1–2, respectively). These data can be obtained free of charge from The Cambridge Crystallographic Data Centre via www.ccdc.cam.ac.uk/data_request/cif.

3.3. Physical Measurements

Variable-temperature magnetic susceptibility data were obtained with a Quantum Design (San Diego, CA, USA) MPMS5 SQUID magnetometer at the “Unitat de Mesures Magnètiques” of the Universitat de Barcelona. For complex 1, a correction for the diamagnetic contribution from the sample holder and the sample was made using the value χdia = −412 × 10−6 cm3·mol−1, obtained from a linear regression of the linear part of the χT vs. T curve. For 2, Pascal’s constants and a standard correction for the sample holder were sufficient. The results of SQUID measurements (χMT vs. T curve and M/NμB vs. H) were fitted using the program PHI []. X-Band EPR spectra (9.42 GHz) of powdered samples were determined on a Bruker (Madison, WI, USA) ESP300E spectrometer, with a liquid helium cryostat in the temperature range between 5 K and 300 K. The sweep width was 5000 G with the center field of 2605 G and resolution of 1024 points (4.885 G) while the used power was 0.2514 mW. Obtained spectra were processed with WINEPR Bruker software (version 2.11.0.0) (Bruker-Franzen Analytic GmbH, Rheinstetten, Germany, 1996). IR spectra were recorded as KBr pellets, in the range 4000–400 cm−1, with a Nicolet 5700 FT-IR spectrometer (Nicolet, Waltham, MA, USA). Elemental analyses were performed at Scientific and Technological Centers of the University of Barcelona using an elemental organic analyzer Thermo EA Flash 2000 (Thermo Fisher, Bremen, Germany) working in standard conditions recommended by the supplier of the instrument (helium flow 140 mL/min, combustion furnace at 950 °C, chromatographic column oven at 65 °C). Mass spectra of the compounds were obtained using MALDI-TOF technique in the reflector mode on the 4800 Plus MALDI TOF/TOF (ABSciex-2010, Framingham, MA, USA) instrument equipped with Nd:YAG solid state laser (355 nm, frequency 200 Hz, pulse 3–7 ns). Molecular ions were studied in both positive and negative mode on the THF and MeOH solutions of the compounds. Analyses were carried out using different conditions: solution of the compound without any matrix, solution of the compound and the saturated matrix of the DHB (2,5-dihydroxybenzoic acid) in acetonitrile (1:1 volume ratio) or solution of the compound with the matrix containing dichloromethane solution of DCTB (10 mg/mL; trans-2-[3-(4-tert-butylphenyl)-2-methyl-2-propenylidene]malononitrile (1:1 volume ratio). In the last two cases, a mixture of sample and matrix solution was spotted on the sample plate and left to dry before the analysis by MALDI-TOF.

4. Conclusions

Reactions of vanadyl sulfate with multidentate ligands H4L1 and H4L2 under strong basic conditions yielded two different neutral coordination entities, [(VIVO)4(H2L1)4(py)4] (1) and [(VVO)4(VIVO)2(O)4(L2)2(py)6] (2). To the best of our knowledge, the structural features and nuclearity of these compounds convert them into the most complex metallamacrocycles from vanadium-bis-β-diketone family known to date. The conformational flexibility and coordination diversity of those systems has not been observed in any of the previously prepared complexes of these ligands, using different 3d metals. This could be related to particular supramolecular features inherent to the V=O moiety. In addition to this, it is suggested that the presence of sodium ions can serve as a template in the formation of compound 2 by shaping a very peculiarly bent conformation of the ligand. In view of this versatility, the use of poly-β-diketones appears as a good alternative to isolate molecular clusters with the appropriate topologies to exploit the promising properties of V(IV) as a potential spin-based qubit. In addition, the crystal-field energy effects detected in the structure of this complex could be exploited for the design of novel heterometallic systems.

Acknowledgments

Guillem Aromí thanks the Generalitat de Catalunya for the prize ICREA Academia 2008 and 2013, for excellence in research and the ERC (European Research Council) for a Starting Grant (258060 FuncMolQIP). The authors thank the Spanish MICINN for funding through CTQ2009-06959 (Guillem Aromí, Ivana Borilovic) and MAT2011-24284 (Olivier Roubeau). Ivana Borilovic thanks the Generalitat de Catalunya for a Ph.D. Grant (FI-DGR 2014). Data for compound 1 were collected through access to ALS beamline 11.3.1. The Advanced Light Source is supported by the Director, Office of Science, Office of Basic Energy Sciences of the U.S. Department of Energy under contract No. DE-AC02-05CH11231.

Author Contributions

Ivana Borilovic conducted the synthesis and physical measurements, interpreted the data and wrote part of the paper. Olivier Roubeau collected crystallographic data, performed structure refinements and edited the paper. Irene Fernández Vidal performed mass spectrometry measurements and interpreted the data. Simon J. Teat collected crystallographic data and performed structure refinements. Guillem Aromí planned and coordinated the research, interpreted the results and wrote part of the paper.

Conflicts of Interest

The authors declare no conflict of interest.

References

  1. Aromí, G.; Brechin, E. Synthesis of 3d Metallic Single-Molecule Magnets. In Single-Molecule Magnets and Related Phenomena; Winpenny, R., Ed.; Springer: Berlin, Germany, 2006; Volume 122, pp. 1–67. [Google Scholar]
  2. Layfield, R.A. Organometallic Single-Molecule Magnets. Organometallics 2014, 33, 1084–1099. [Google Scholar] [CrossRef]
  3. Rosado Piquer, L.; Sañudo, E.C. Heterometallic 3d-4f single-molecule magnets. Dalton Trans. 2015, 44, 8771–8780. [Google Scholar] [CrossRef] [PubMed]
  4. Woodruff, D.N.; Winpenny, R.E.P.; Layfield, R.A. Lanthanide Single-Molecule Magnets. Chem. Rev. 2013, 113, 5110–5148. [Google Scholar] [CrossRef] [PubMed]
  5. Sessoli, R.; Tsai, H.L.; Schake, A.R.; Wang, S.Y.; Vincent, J.B.; Folting, K.; Gatteschi, D.; Christou, G.; Hendrickson, D.N. High-Spin Molecules: [Mn12O12(O2CR)16(H2O)4]. J. Am. Chem. Soc. 1993, 115, 1804–1816. [Google Scholar] [CrossRef]
  6. Bousseksou, A.; Molnar, G.; Salmon, L.; Nicolazzi, W. Molecular spin crossover phenomenon: Recent achievements and prospects. Chem. Soc. Rev. 2011, 40, 3313–3335. [Google Scholar] [CrossRef] [PubMed]
  7. Craig, G.A.; Roubeau, O.; Aromí, G. Spin state switching in 2,6-bis(pyrazol-3-yl)pyridine (3-bpp) based Fe(II) complexes. Coord. Chem. Rev. 2014, 269, 13–31. [Google Scholar] [CrossRef]
  8. Murray, K.S. The Development of Spin-Crossover Research. In Spin-Crossover Materials; John Wiley & Sons Ltd: Oxford, UK, 2013; pp. 1–54. [Google Scholar]
  9. Aguilà, D.; Barrios, L.A.; Velasco, V.; Roubeau, O.; Repollés, A.; Alonso, P.J.; Sesé, J.; Teat, S.J.; Luis, F.; Aromí, G. Heterodimetallic [LnLn′] Lanthanide Complexes: Toward a Chemical Design of Two-Qubit Molecular Spin Quantum Gates. J. Am. Chem. Soc. 2014, 136, 14215–14222. [Google Scholar] [CrossRef] [PubMed]
  10. Aromí, G.; Aguila, D.; Gamez, P.; Luis, F.; Roubeau, O. Design of magnetic coordination complexes for quantum computing. Chem. Soc. Rev. 2012, 41, 537–546. [Google Scholar] [CrossRef] [PubMed]
  11. Timco, G.A.; Faust, T.B.; Tuna, F.; Winpenny, R.E.P. Linking heterometallic rings for quantum information processing and amusement. Chem. Soc. Rev. 2011, 40, 3067–3075. [Google Scholar] [CrossRef] [PubMed]
  12. Clemente-Juan, J.M.; Coronado, E.; Gaita-Arino, A. Magnetic polyoxometalates: From molecular magnetism to molecular spintronics and quantum computing. Chem. Soc. Rev. 2012, 41, 7464–7478. [Google Scholar] [CrossRef] [PubMed]
  13. Aromí, G.; Gamez, P.; Reedijk, J. Poly beta-diketones: Prime ligands to generate supramolecular metalloclusters. Coord. Chem. Rev. 2008, 252, 964–989. [Google Scholar] [CrossRef]
  14. Grillo, A.V.; Seddon, J.E.; Grant, M.C.; Aromí, G.; Bollinger, C.J.; Folting, K.; Christou, G. Bis(β-diketonate) ligands for the synthesis of bimetallic complexes of TiIII, VIII, MnIII and FeIII with a triple-helix structure. Chem. Commun. 1997, 1561–1562. [Google Scholar] [CrossRef]
  15. Li, H.-F.; Yan, P.-F.; Chen, P.; Wang, Y.; Xu, H.; Li, G.-M. Highly luminescent bis-diketone lanthanide complexes with triple-stranded dinuclear structure. Dalton Trans. 2012, 41, 900–907. [Google Scholar] [CrossRef] [PubMed]
  16. Saalfrank, R.W.; Maid, H.; Scheurer, A. Supramolecular Coordination Chemistry: The Synergistic Effect of Serendipity and Rational Design. Angew. Chem. Int. Ed. 2008, 47, 8794–8824. [Google Scholar] [CrossRef] [PubMed]
  17. Aguila, D.; Barrios, L.A.; Roubeau, O.; Teat, S.J.; Aromí, G. Molecular assembly of two [Co(II)4] linear arrays. Chem. Commun. 2011, 47, 707–709. [Google Scholar] [CrossRef] [PubMed]
  18. Clegg, J.K.; Li, F.; Lindoy, L.F. Di-, tri- and oligometallic platforms: Versatile components for use in metallo-supramolecular chemistry. Coord. Chem. Rev. 2013, 257, 2536–2550. [Google Scholar] [CrossRef]
  19. Barrios, L.A.; Aguilà, D.; Roubeau, O.; Gamez, P.; Ribas-Ariño, J.; Teat, S.J.; Aromí, G. Designed Topology and Site-Selective Metal Composition in Tetranuclear [MM′···M′M] Linear Complexes. Chem. A Eur. J. 2009, 15, 11235–11243. [Google Scholar] [CrossRef] [PubMed]
  20. Li, F.; Clegg, J.K.; Jensen, P.; Fisher, K.; Lindoy, L.F.; Meehan, G.V.; Moubaraki, B.; Murray, K.S. Predesigned Hexanuclear CuII and CuII/NiII Metallacycles Featuring Six-Node Metallacoronand Structural Motifs. Angew. Chem. Int. Ed. 2009, 48, 7059–7063. [Google Scholar] [CrossRef] [PubMed]
  21. Cherutoi, J.K.; Sandifer, J.D.; Pokharel, U.R.; Fronczek, F.R.; Pakhomova, S.; Maverick, A.W. Externally and Internally Functionalized Copper(II) β-Diketonate Molecular Squares. Inorg. Chem. 2015, 54, 7791–7802. [Google Scholar] [CrossRef] [PubMed]
  22. Bonitatebus, J.P., Jr.; Mandal, K.S. Synthesis and crystal structures of low-valent binuclear vanadium complexes using the tethering ligand m-xylylenebis(acetylacetonate) (m-xba2−). Chem. Commun. 1998, 939–940. [Google Scholar] [CrossRef]
  23. Saalfrank, R.W.; Löw, N.; Kareth, S.; Seitz, V.; Hampel, F.; Stalke, D.; Teichert, M. Crown Ethers, Double-Decker, and Sandwich Complexes: Cation-Mediated Formation of Metallatopomer Coronates. Angew. Chem. Int. Ed. 1998, 37, 172–175. [Google Scholar] [CrossRef]
  24. Zhang, Y.; Wang, S.; Enright, G.D.; Breeze, S.R. Tetraacetylethane Dianion (Tae) as a Bridging Ligand for Molecular Square Complexes:  CoII4(Tae)4(Dpa)4, Dpa = Di-2-pyridylamine, a Chiral Molecular Square in the Solid State. J. Am. Chem. Soc. 1998, 120, 9398–9399. [Google Scholar] [CrossRef]
  25. Aromí, G.; Ribas, J.; Gamez, P.; Roubeau, O.; Kooijman, H.; Spek, A.L.; Teat, S.; MacLean, E.; Stoeckli-Evans, H.; Reedijk, J. Aggregation of [CuII4] Building Blocks into [CuII8] Clusters or a [CuII4] Chain through Subtle Chemical Control. Chem. A Eur. J. 2004, 10, 6476–6488. [Google Scholar] [CrossRef] [PubMed]
  26. Saalfrank, R.W.; Löw, N.; Demleitner, B.; Stalke, D.; Teichert, M. Metal-Directed Formation of Tetra-, Hexa-, Octa-, and Nonanuclear Complexes of Magnesium, Calcium, Manganese, Copper, and Cadmium. Chem. A Eur. J. 1998, 4, 1305–1311. [Google Scholar] [CrossRef]
  27. Salinas-Uber, J.; Barrios, L.A.; Roubeau, O.; Aromí, G. A novel bis-β-diketonate ligand stabilizes a [Co(II)8] cage that encapsulates a (μ3-O)···H···(μ3-O) moiety. Polyhedron 2013, 54, 8–12. [Google Scholar] [CrossRef]
  28. Velasco, V.; Aguila, D.; Barrios, L.A.; Borilovic, I.; Roubeau, O.; Ribas-Arino, J.; Fumanal, M.; Teat, S.J.; Aromí, G. New coordination features; a bridging pyridine and the forced shortest non-covalent distance between two CO32− species. Chem. Sci. 2015, 6, 123–131. [Google Scholar] [CrossRef]
  29. Kioseoglou, E.; Petanidis, S.; Gabriel, C.; Salifoglou, A. The chemistry and biology of vanadium compounds in cancer therapeutics. Coord. Chem. Rev. 2015, 301–302, 87–105. [Google Scholar] [CrossRef]
  30. Pessoa, C.J.; Garribba, E.; Santos, M.F.A.; Santos-Silva, T. Vanadium and proteins: Uptake, transport, structure, activity and function. Coord. Chem. Rev. 2015, 301–302, 49–86. [Google Scholar] [CrossRef]
  31. Yoshikawa, Y.; Sakurai, H.; Crans, D.C.; Micera, G.; Garribba, E. Structural and redox requirements for the action of anti-diabetic vanadium compounds. Dalton Trans. 2014, 43, 6965–6972. [Google Scholar] [CrossRef] [PubMed]
  32. Rehder, D. The Bioinorganic Chemistry of Vanadium. Angew. Chem. Int. Ed. 1991, 30, 148–167. [Google Scholar] [CrossRef]
  33. Sutradhar, M.; Martins, L.M.D.R.S.; da Silva, G.M.F.C.; Pombeiro, A.J.L. Vanadium complexes: Recent progress in oxidation catalysis. Coord. Chem. Rev. 2015, 301–302, 200–239. [Google Scholar] [CrossRef]
  34. Amadio, E.; di Lorenzo, R.; Zonta, C.; Licini, G. Vanadium catalyzed aerobic carbon–carbon cleavage. Coord. Chem. Rev. 2015, 301–302, 147–162. [Google Scholar] [CrossRef]
  35. Chen, L.; Jiang, F.-L.; Su, W.-P.; Yue, C.-Y.; Yuan, D.-Q.; Hong, M.-C. A dinuclear vanadium compound with 24-membered macrocycle generated via formation of S–C bonds. Inorganica Chimica Acta 2009, 362, 407–413. [Google Scholar] [CrossRef]
  36. Clegg, J.K.; Kim, Y.; Lindoy, L.F. Discrete and polymeric supramolecular architectures derived from dinuclear oxovanadium(IV) complexes of aryl-linked bis-diketonato ligands and nitrogen donor co-ligands. J. Incl. Phenom. Macrocycl. Chem. 2015, 82, 247–257. [Google Scholar] [CrossRef]
  37. Castro, S.L.; Sun, Z.; Grant, C.M.; Bollinger, J.C.; Hendrickson, D.N.; Christou, G. Single-Molecule Magnets:  Tetranuclear Vanadium(III) Complexes with a Butterfly Structure and an S = 3 Ground State. J. Am. Chem. Soc. 1998, 120, 2365–2375. [Google Scholar] [CrossRef]
  38. Bertaina, S.; Gambarelli, S.; Mitra, T.; Tsukerblat, B.; Muller, A.; Barbara, B. Quantum oscillations in a molecular magnet. Nature 2008, 453, 203–207. [Google Scholar] [CrossRef] [PubMed]
  39. Zadrozny, J.M.; Niklas, J.; Poluektov, O.G.; Freedman, D.E. Multiple Quantum Coherences from Hyperfine Transitions in a Vanadium(IV) Complex. J. Am. Chem. Soc. 2014, 136, 15841–15844. [Google Scholar] [CrossRef] [PubMed]
  40. Aromí, G.; Boldron, C.; Gamez, P.; Roubeau, O.; Kooijman, H.; Spek, A.L.; Stoeckli-Evans, H.; Ribas, J.; Reedijk, J. Complexes of a novel multinucleating poly-β-diketonate ligand. Dalton Trans. 2004, 3586–3592. [Google Scholar] [CrossRef] [PubMed]
  41. Craig, G.A.; Barrios, L.A.; Costa, J.S.; Roubeau, O.; Ruiz, E.; Teat, S.J.; Wilson, C.C.; Thomas, L.; Aromí, G. Synthesis of a novel heptacoordinated Fe(iii) dinuclear complex: Experimental and theoretical study of the magnetic properties. Dalton Trans. 2010, 39, 4874–4881. [Google Scholar] [CrossRef] [PubMed]
  42. Barrios, L.A.; Aguilà, D.; Méllat, S.; Roubeau, O.; Teat, S.J.; Gamez, P.; Aromí, G. Synthesis and properties of a novel linear [Ni4L2(py)6] cluster: Designed ligand-controlled topology of the metals. C. R. Chim. 2008, 11, 1117–1120. [Google Scholar] [CrossRef]
  43. Grybo, R.; Samotus, A.; Popova, N.; Bogolitsyn, K. Kinetics of oxidation of vanadyl acetylacetonate by oxygen in methanolic solution. Transit. Met. Chem. 1997, 22, 61–64. [Google Scholar] [CrossRef]
  44. Carofiglio, T.; Solari, E.; Floriani, C.; Chiesi-Villa, A.; Rizzoli, C. UV stabilizers bonded to transition metals: Synthesis and X-ray structure of 2-(2′-hydroxyphenyl)benzotriazole-oxovanadium(IV) and -dioxomolybdenum(VI) complexes. Polyhedron 1996, 15, 4435–4440. [Google Scholar] [CrossRef]
  45. Ishida, T.; Mitsubori, S.-I.; Nogami, T.; Takeda, N.; Ishikawa, M.; Iwamura, H. Ferromagnetic Exchange Coupling of Vanadium(IV) dπ Spins across Pyrimidine Rings:  Dinuclear Complexes of Oxovanadium(IV) Bis(1,1,1,5,5,5-hexafluoropentane-2,4-dionate) Bridged by Pyrimidine Derivatives. Inorg. Chem. 2001, 40, 7059–7064. [Google Scholar] [CrossRef] [PubMed]
  46. Kadirova, Z.C.; Rahmonova, D.S.; Talipov, S.A.; Ashurov, J.M.; Parpiev, N.A. Bis(acetylacetonato-κ2O,O′)(2-amino-1-methyl-1H-benzimidazole-κN3)oxidovanadium(IV). Acta Crystallogr. Sect. E 2009, 65, m819. [Google Scholar] [CrossRef] [PubMed]
  47. Lobana, T.S.; Kinoshita, I.; Kimura, K.; Nishioka, T.; Shiomi, D.; Isobe, K. Pyridine-2-sulfonates as Versatile Ligands for the Synthesis of Novel Coordinative and Hydrogen-Bonded Supramolecules. Eur. J. Inorg. Chem. 2004, 2004, 356–367. [Google Scholar]
  48. Mestrovic, E.; Bucar, D.-K.; Halasz, I.; Stilinovic, V. The first adduct of bis(1,3-diphenyl-1,3-propanedionato)oxovanadium(IV). Acta Crystallogr. Sect. E 2004, 60, m1920–m1922. [Google Scholar] [CrossRef]
  49. Smith, T.S.; Root, C.A.; Kampf, J.W.; Rasmussen, P.G.; Pecoraro, V.L. Reevaluation of the Additivity Relationship for Vanadyl-Imidazole Complexes:  Correlation of the EPR Hyperfine Constant with Ring Orientation. J. Am. Chem. Soc. 2000, 122, 767–775. [Google Scholar] [CrossRef]
  50. Stilinovic, V.; Bucar, D.-K.; Halasz, I.; Mestrovic, E. V=O···C interactions in crystal structures of oxovanadium-coordination compounds. New J. Chem. 2013, 37, 619–623. [Google Scholar] [CrossRef]
  51. Chilton, N.F.; Anderson, R.P.; Turner, L.D.; Soncini, A.; Murray, K.S. PHI: A powerful new program for the analysis of anisotropic monomeric and exchange-coupled polynuclear d- and f-block complexes. J. Comput. Chem. 2013, 34, 1164–1175. [Google Scholar] [CrossRef] [PubMed]
  52. Smith Ii, T.S.; LoBrutto, R.; Pecoraro, V.L. Paramagnetic spectroscopy of vanadyl complexes and its applications to biological systems. Coord. Chem. Rev. 2002, 228, 1–18. [Google Scholar] [CrossRef]
  53. SAINT, version V8.32B; Bruker AXS Inc.: Madison, WI, USA, 2012.
  54. SADABS, version 2012/1; Bruker AXS Inc.: Madison, WI, USA, 2012.
  55. Sheldrick, G.M. SHELXTL, version 2014; Bruker AXS Inc.: Madison, WI, USA, 2014.
  56. Sheldrick, G. Crystal structure refinement with SHELXL. Acta Crystallogr. Sect. C 2015, 71, 3–8. [Google Scholar] [CrossRef] [PubMed]

Article Metrics

Citations

Article Access Statistics

Multiple requests from the same IP address are counted as one view.