Maturity, Ripening and Quality of ‘Donghong’ Kiwifruit Evaluated by the Kiwi-Meter™
Abstract
:1. Introduction
2. Materials and Methods
2.1. Fruit Materials
2.2. Trials
2.2.1. Trial 1: Fruit Maturity Monitoring
2.2.2. Trial 2: Fruit Ripening during Storage
2.2.3. Trial 3: Discrimination of Fruit Quality after Storage
2.3. Destructive Fruit Measurement
2.4. Kiwi-Meter IAD Index Measurement
2.5. Chlorophyll Content Measurement
2.6. Data Analysis
3. Results
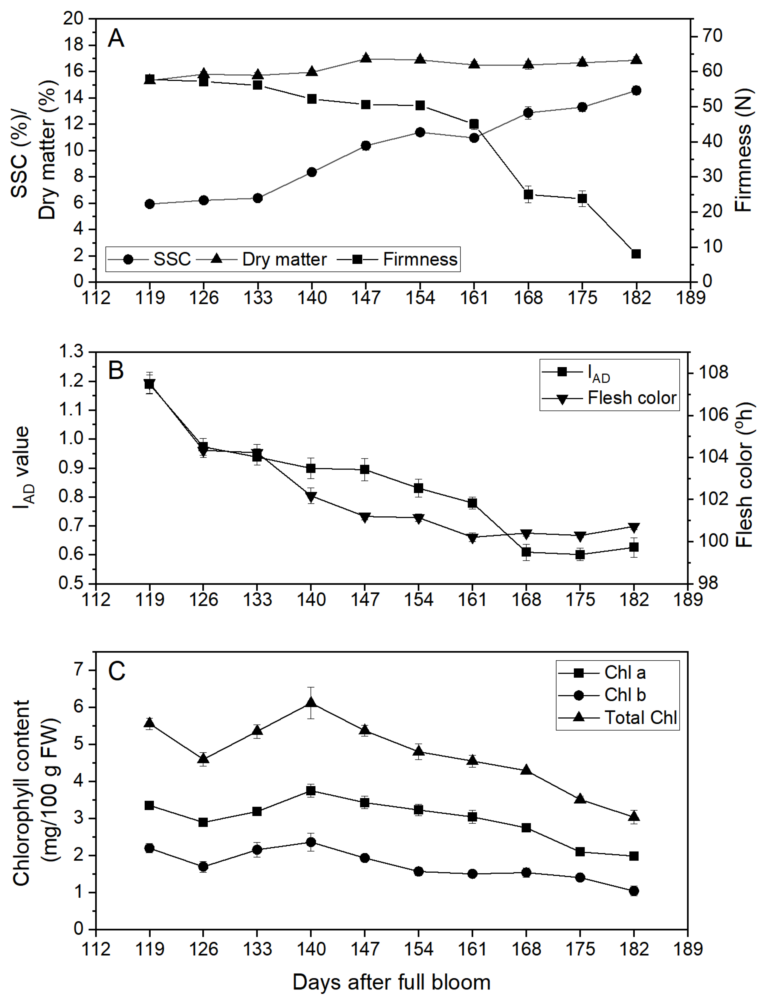
3.1. Trial 1: Evaluation of Fruit Maturity
3.2. Trial 2: Characterization of Fruit Ripening Stages and IAD Index during Cold Storage
3.3. Trial 3: Discrimination of Fruit Postharvest Quality Based on IAD Index after Cold Storage
4. Discussion
5. Conclusions
Author Contributions
Funding
Conflicts of Interest
References
- Burdon, J.; Lallu, N. Kiwifruit (Actinidia spp.). In Postharvest Biology and Technology of Tropical and Subtropical Fruit; Cocona to Mango; Yahia, E.M., Ed.; Woodhead Publishing Limited: Cambridge, UK, 2011; Volume 3, pp. 326–360. [Google Scholar]
- Burdon, J.; McLeod, D.; Lallu, N.; Gamble, J.; Petley, M.; Gunson, A. Consumer evaluation of ‘Hayward’ kiwifruit of different at-harvest dry matter contents. Postharvest Biol. Technol. 2004, 34, 245–255. [Google Scholar] [CrossRef]
- Burdon, J. Kiwifruit biology: The commercial implications of fruit maturation. Hort. Rev. 2019, 46, 385–421. [Google Scholar]
- Crisosto, C.H.; Crisosto, G.M. Understanding consumer acceptance of early harvested ‘Hayward’ kiwifruit. Postharvest Biol. Technol. 2001, 22, 205–213. [Google Scholar] [CrossRef]
- Costa, G.; Noferini, M.; Montefiori, M.; Brigati, S. Non-destructive assessment methods of kiwifruit quality. Acta Hortic. 2003, 610, 179–189. [Google Scholar] [CrossRef]
- McGlone, V.A.; Kawano, S. Firmness, dry matter and soluble solids assessment of postharvest kiwifruit by NIR spectroscopy. Postharvest Biol. Technol. 1998, 13, 131–141. [Google Scholar] [CrossRef]
- Schaare, P.N.; Fraser, D.G. Comparison of reflectance, interactance and transmission modes of visible-near infrared spectroscopy for measuring internal properties of kiwifruit (Actinidia chinensis). Postharvest Biol. Technol. 2000, 20, 175–184. [Google Scholar] [CrossRef]
- Li, H.; Pidakala, P.; Billing, D.; Burdon, J. Kiwifruit firmness: Measurement by penetrometer and non-destructive devices. Postharvest Biol. Technol. 2016, 120, 127–137. [Google Scholar] [CrossRef]
- Costa, G.; Bonora, E.; Fiori, G.; Noferini, M. Innovative non-destructive device for fruit quality assessment. Acta Hortic. 2011, 913, 575–581. [Google Scholar] [CrossRef]
- Rocchi, L.; Vidoni, S.; Ceccarelli, A.; Fiori, G.; Costa, G. Use of the DAindex™ for monitoring fruit ripening evolution in A. chinensis to precisely assess harvesting time “in planta”. J. Berry Res. 2016, 6, 373–379. [Google Scholar] [CrossRef]
- DeLong, J.; Harrison, P.; Harkness, L. An optimal harvest maturity model for ‘Minneiska’ apple fruit based on the delta-absorbance meter. J. Hortic. Sci. Biotechnol. 2020, 95, 637–644. [Google Scholar] [CrossRef]
- Zhang, P.; Wei, Y.; Xu, F.; Wang, H.; Chen, M.; Shao, X. Changes in the chlorophyll absorbance index (IAD) are related to peach fruit maturity. NZ J. Crop Hortic. Sci. 2020, 48, 34–46. [Google Scholar] [CrossRef]
- Ziosi, V.; Noferini, M.; Fiori, G.; Tadiello, A.; Trainotti, L.; Casadoro, G.; Costa, G. A new index based on vis spectroscopy to characterize the progression of ripening in peach fruit. Postharvest Biol. Technol. 2008, 49, 319–329. [Google Scholar] [CrossRef]
- Amoriello, T.; Ciccoritti, R.; Paliotta, M.; Carbone, K. Classification and prediction of early-to-late ripening apricot quality using spectroscopic techniques combined with chemometric tools. Sci. Hortic. 2018, 240, 310–317. [Google Scholar] [CrossRef]
- Infante, R.; Contador, L.; Rubio, P.; Mesa, K.; Meneses, C. Non-destructive monitoring of flesh softening in the black-skinned Japanese plums ‘Angeleno’ and ‘Autumn beaut’ on-tree and postharvest. Postharvest Biol. Technol. 2011, 61, 35–40. [Google Scholar] [CrossRef]
- Farneti, B.; Gutierrez, M.S.; Novak, B.; Busatto, N.; Ravaglia, D.; Spinelli, F.; Costa, G. Use of the index of absorbance difference (IAD) as a tool for tailoring post-harvest 1-MCP application to control apple superficial scald. Sci. Hortic. 2015, 190, 110–116. [Google Scholar] [CrossRef]
- Gomes, R.; Silva, F.; Oliveira, C.M. Utilizing the IAD index to predict ‘Rocha’ pear quality and physiological disorders after storage. Acta Hortic. 2021, 1303, 461–468. [Google Scholar] [CrossRef]
- Sadar, N.; Zanella, A. A study on the potential of IAD as a surrogate index of quality and storability in cv. ‘Gala’ apple fruit. Agronomy 2019, 9, 642. [Google Scholar] [CrossRef]
- Sortino, G.; Allegra, A.; Farina, V.; Inglese, P.; Gallotta, A. Non-destructive determination of ‘Big Bang’ nectarine quality and harvest maturity. Acta Hortic. 2021, 1314, 471–478. [Google Scholar] [CrossRef]
- Burdon, J.; Pidakala, P.; Martin, P.; McAtee, P.A.; Boldingh, H.L.; Hall, A.; Schaffer, R.J. Postharvest performance of the yellow-fleshed ‘Hort16A’ kiwifruit in relation to fruit maturation. Postharvest Biol. Technol. 2014, 92, 98–106. [Google Scholar] [CrossRef]
- Cantin, C.M.; Soto, A.; Crisosto, G.M.; Crisosto, C.H. Evaluation of a non-destructive dry matter sensor for kiwifruit. Acta Hortic. 2011, 913, 627–632. [Google Scholar] [CrossRef]
- Sumanta, N.; Haque, C.I.; Nishika, J.; Suprakash, R. Spectrophotometric analysis of chlorophylls and carotenoids from commonly grown fern species by using various extracting solvents. Res. J. Chem. Sci. 2014, 4, 63–69. [Google Scholar]
- Zhong, C.; Han, F.; Li, D.; Liu, X.; Zhang, Q.; Jiang, Z.; Huang, H. Breeding of red-fleshed kiwifruit cultivar ‘Donghong’. J. Fruit Sci. 2016, 32, 1596–1599. [Google Scholar]
- Pellegrino, S.; Costamagna, F.; Noferini, M.; Costa, G. Monitoring of ‘Hayward’ (Actinidia deliciosa) fruit ripening in north-west Italy. Acta Hortic. 2011, 913, 665–669. [Google Scholar] [CrossRef]
- Gambi, F.; Pilkington, S.M.; McAtee, P.A.; Donati, I.; Schaffer, R.J.; Montefiori, M.; Spinelli, F.; Burdon, J. Fruit of three kiwifruit (Actinidia chinensis) cultivars differ in their degreening response to temperature after harvest. Postharvest Biol. Technol. 2018, 141, 16–23. [Google Scholar] [CrossRef]
- Burdon, J.; Lallu, N. Minimising chilling injury in Italian-grown ‘Hort16A’ kiwifruit. Acta Hortic. 2022, 1332, 343–349. [Google Scholar] [CrossRef]
- Ghasemnezhad, M.; Fullerton, C.; Billing, D.; Ampomah-Dwamena, C.; Burdon, J. Fruit degreening in different cultivars of kiwifruit. Acta Hortic. 2022, 1332, 285–293. [Google Scholar] [CrossRef]
- Gonçalves, R.G.; Couto, J.; Almeida, D.P.F. On-tree maturity control of peach cultivars: Comparison between destructive and nondestructive harvest indices. Sci. Hortic. 2016, 209, 293–299. [Google Scholar] [CrossRef]






Publisher’s Note: MDPI stays neutral with regard to jurisdictional claims in published maps and institutional affiliations. |
© 2022 by the authors. Licensee MDPI, Basel, Switzerland. This article is an open access article distributed under the terms and conditions of the Creative Commons Attribution (CC BY) license (https://creativecommons.org/licenses/by/4.0/).
Share and Cite
Huang, W.; Wang, Z.; Zhang, Q.; Feng, S.; Burdon, J.; Zhong, C. Maturity, Ripening and Quality of ‘Donghong’ Kiwifruit Evaluated by the Kiwi-Meter™. Horticulturae 2022, 8, 852. https://doi.org/10.3390/horticulturae8090852
Huang W, Wang Z, Zhang Q, Feng S, Burdon J, Zhong C. Maturity, Ripening and Quality of ‘Donghong’ Kiwifruit Evaluated by the Kiwi-Meter™. Horticulturae. 2022; 8(9):852. https://doi.org/10.3390/horticulturae8090852
Chicago/Turabian StyleHuang, Wenjun, Zhouqian Wang, Qi Zhang, Shaoran Feng, Jeremy Burdon, and Caihong Zhong. 2022. "Maturity, Ripening and Quality of ‘Donghong’ Kiwifruit Evaluated by the Kiwi-Meter™" Horticulturae 8, no. 9: 852. https://doi.org/10.3390/horticulturae8090852
APA StyleHuang, W., Wang, Z., Zhang, Q., Feng, S., Burdon, J., & Zhong, C. (2022). Maturity, Ripening and Quality of ‘Donghong’ Kiwifruit Evaluated by the Kiwi-Meter™. Horticulturae, 8(9), 852. https://doi.org/10.3390/horticulturae8090852

