Comprehensive Identification of Auxin Response Factor Gene Family and Their Expression Profiles Under Lanthanum Stress in Amorphophallus konjac
Abstract
1. Introduction
2. Materials and Methods
2.1. Identification and Physicochemical Properties of AkARF Gene Family
2.2. Phylogenetic Relationships Among AkARF Family Genes
2.3. Analysis of Conserved Structural Domains, Motifs, and Gene Structures
2.4. Analysis of Cis-Acting Elements in AkARF Promoters
2.5. Chromosome Distribution, Collinearity Analysis and Evolutionary Analysis
2.6. Plant Materials and Lanthanum Treatment
2.7. Biomass of A. konjac Corms
2.8. Detection of Auxin Content
2.9. Gene Expression Profiles of AkARFs Based on RNA-Seq
2.10. RT-qPCR Analysis
2.11. Statistical Analysis
3. Results
3.1. Identification of the AkARF Gene Family
3.2. Phylogenetic Analysis of the AkARF Gene Family
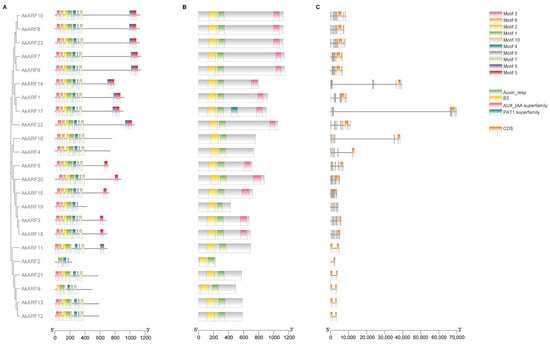
3.3. Gene Structure and Protein Structure Analysis of the AkARF Gene Family
3.4. Regulatory Element Profiling of AkARF Gene Promoters
3.5. Expression Analysis of AkARF Genes in Different Parts and Growth Stages
3.6. The Corm Biomass, Auxin Content and AkARF Gene Expression Under La (III) Treatment
4. Discussion
5. Conclusions
Supplementary Materials
Author Contributions
Funding
Data Availability Statement
Acknowledgments
Conflicts of Interest
Abbreviations
| ARF | auxin response factor |
| A. konjac | Amorphophallus konjac |
| A. thaliana | Arabidopsis thaliana |
| O. sativa | Oryza sativa |
| La (III) | lanthanum |
References
- Xie, L.; Chen, F.; Du, H.; Zhang, X.; Wang, X.; Yao, G.; Xu, B. Graphene oxide and indole-3-acetic acid cotreatment regulates the root growth of Brassica napus L. via multiple phytohormone pathways. BMC Plant Biol. 2020, 20, 101. [Google Scholar] [CrossRef] [PubMed]
- Wang, Y.; Wang, Q.; Di, P.; Wang, Y. Genome-Wide Identification and Analysis of the Aux/IAA Gene Family in Panax ginseng: Evidence for the Role of PgIAA02 in Lateral Root Development. Int. J. Mol. Sci. 2024, 25, 3470. [Google Scholar] [CrossRef] [PubMed]
- Jing, H.; Strader, L.C. AUXIN RESPONSE FACTOR protein accumulation and function. BioEssays 2023, 45, e2300018. [Google Scholar] [CrossRef] [PubMed]
- Zhang, M.J.; Xue, Y.Y.; Xu, S.; Jin, X.R.; Man, X.C. Identification of ARF genes in Cucurbita pepo L. and analysis of expression patterns, and functional analysis of CpARF22 under drought, salt stress. BMC Genom. 2024, 25, 112. [Google Scholar] [CrossRef]
- Xu, Y.X.; Mao, J.; Chen, W.; Qian, T.T.; Liu, S.C.; Hao, W.J.; Li, C.-F.; Chen, L. Identification and expression profiling of the auxin response factors (ARFs) in the tea plant (Camellia sinensis (L.) O. Kuntze) under various abiotic stresses. Plant Physiol. Biochem. 2016, 98, 46–56. [Google Scholar] [CrossRef]
- Xian, F.; Liu, S.; Huang, J.; Xie, B.; Zhu, L.; Zhang, Q.; Lv, C.; Xu, Y.; Zhang, X.; Hu, J. The OsIAA3-OsARF16-OsBUL1 auxin signaling module regulates grain size in rice. Plant Physiol. 2025, 197, kiaf122. [Google Scholar] [CrossRef]
- Cancé, C.; Martin Arevalillo, R.; Boubekeur, K.; Dumas, R. Auxin response factors are keys to the many auxin doors. New Phytol. 2022, 235, 402–419. [Google Scholar] [CrossRef]
- Pratt, I.S.; Zhang, B. Genome-Wide Identification of ARF Transcription Factor Gene Family and Their Expression Analysis in Sweet Potato. Int. J. Mol. Sci. 2021, 22, 9391. [Google Scholar] [CrossRef]
- Okushima, Y.; Overvoorde, P.J.; Arima, K.; Alonso, J.M.; Chan, A.; Chang, C.; Ecker, J.R.; Hughes, B.; Lui, A.; Nguyen, D.; et al. Functional Genomic Analysis of theAUXIN RESPONSE FACTOR Gene Family Members in Arabidopsis thaliana: Unique and Overlapping Functions of ARF7 and ARF 19. Plant Cell 2005, 17, 444–463. [Google Scholar] [CrossRef]
- Wang, D.; Pei, K.; Fu, Y.; Sun, Z.; Li, S.; Liu, H.; Tang, K.; Han, B.; Tao, Y. Genome-wide analysis of the auxin response factors (ARF) gene family in rice (Oryza sativa). Gene 2007, 394, 13–24. [Google Scholar] [CrossRef]
- Marin, E.; Jouannet, V.; Herz, A.; Lokerse, A.S.; Weijers, D.; Vaucheret, H.; Nussaume, L.; Crespi, M.D.; Maizel, A. miR390, Arabidopsis TAS3 tasiRNAs, and Their AUXIN RESPONSE FACTOR Targets Define an Autoregulatory Network Quantitatively Regulating Lateral Root Growth. Plant Cell 2010, 22, 1104–1117. [Google Scholar] [CrossRef] [PubMed]
- Schlereth, A.; Möller, B.; Liu, W.; Kientz, M.; Flipse, J.; Rademacher, E.H.; Schmid, M.; Jürgens, G.; Weijers, D. MONOPTEROS controls embryonic root initiation by regulating a mobile transcription factor. Nature 2010, 464, 913–916. [Google Scholar] [CrossRef] [PubMed]
- Okushima, Y.; Fukaki, H.; Onoda, M.; Theologis, A.; Tasaka, M. ARF7 and ARF19 Regulate Lateral Root Formation via Direct Activation of LBD/ASL Genes in Arabidopsis. Plant Cell 2007, 19, 118–130. [Google Scholar] [CrossRef] [PubMed]
- Ding, Z.; Friml, J. Auxin regulates distal stem cell differentiation in Arabidopsis roots. Proc. Natl. Acad. Sci. USA 2010, 107, 12046–12051. [Google Scholar] [CrossRef]
- Ellis, C.M.; Nagpal, P.; Young, J.C.; Hagen, G.; Guilfoyle, T.J.; Reed, J.W. AUXIN RESPONSE FACTOR1andAUXIN RESPONSE FACTOR2regulate senescence and floral organ abscission in Arabidopsis thaliana. Development 2005, 132, 4563–4574. [Google Scholar] [CrossRef]
- Tabata, R.; Ikezaki, M.; Fujibe, T.; Aida, M.; Tian, C.E.; Ueno, Y.; Yamamoto, K.T.; Machida, Y.; Nakamura, K.; Ishiguro, S. Arabidopsis AUXIN RESPONSE FACTOR6 and 8 Regulate Jasmonic Acid Biosynthesis and Floral Organ Development via Repression of Class 1 KNOX Genes. Plant Cell Physiol. 2010, 51, 164–175. [Google Scholar] [CrossRef]
- Yang, J.; Tian, L.; Sun, M.X.; Huang, X.Y.; Zhu, J.; Guan, Y.F.; Jia, Q.S.; Yang, Z.N. AUXIN RESPONSE FACTOR17 Is Essential for Pollen Wall Pattern Formation in Arabidopsis. Plant Physiol. 2013, 162, 720–731. [Google Scholar] [CrossRef]
- Qi, Y.; Wang, S.; Shen, C.; Zhang, S.; Chen, Y.; Xu, Y.; Liu, Y.; Wu, Y.; Jiang, D. OsARF12, a transcription activator on auxin response gene, regulates root elongation and affects iron accumulation in rice (Oryza sativa). New Phytol. 2011, 193, 109–120. [Google Scholar] [CrossRef]
- Shen, C.; Wang, S.; Zhang, S.; Xu, Y.; Qian, Q.; Qi, Y.; Jiang, D.A. OsARF16, a transcription factor, is required for auxin and phosphate starvation response in rice (Oryza sativa L.). Plant Cell Environ. 2013, 36, 607–620. [Google Scholar] [CrossRef]
- Zhang, S.; Wang, S.; Xu, Y.; Yu, C.; Shen, C.; Qian, Q.; Geisler, M.; Jiang, D.A.; Qi, Y. The auxin response factor, OsARF19, controls rice leaf angles through positively regulating OsGH3-5 and OsBRI1. Plant Cell Environ. 2014, 38, 638–654. [Google Scholar] [CrossRef]
- Hu, J.; Li, X.; Sun, T.P. Four class A AUXIN RESPONSE FACTORs promote tomato fruit growth despite suppressing fruit set. Nat. Plants 2023, 9, 706–719. [Google Scholar] [CrossRef] [PubMed]
- Su, L.; Xu, M.; Zhang, J.; Wang, Y.; Lei, Y.; Li, Q. Genome-wide identification of auxin response factor (ARF) family in kiwifruit (Actinidia chinensis) and analysis of their inducible involvements in abiotic stresses. Physiol. Mol. Biol. Plants 2021, 27, 1261–1276. [Google Scholar] [CrossRef] [PubMed]
- Devaraj, R.D.; Reddy, C.K.; Xu, B. Health-promoting effects of konjac glucomannan and its practical applications: A critical review. Int. J. Biol. Macromol. 2019, 126, 273–281. [Google Scholar] [CrossRef]
- Xue, Z.; Huang, F.; Liu, J.; Ke, Y.; Wei, H.; Gao, P.; Qi, Y.; Yu, L. A high trans-zeatin nucleoside concentration in corms may promote the multileaf growth of Amorphophallus muelleri. Front. Plant Sci. 2022, 13, 964003. [Google Scholar] [CrossRef] [PubMed]
- Pouchon, C.; Gauthier, J.; Pitteloud, C.; Claudel, C.; Alvarez, N. Phylogenomic study of Amorphophallus (Alismatales; Araceae): When plastid DNA gene sequences help to resolve the backbone subgeneric delineation. J. Syst. Evol. 2023, 61, 64–79. [Google Scholar] [CrossRef]
- Shan, Y.; Li, J.; Zhang, X.; Yu, J. The complete mitochondrial genome of Amorphophallus albus and development of molecular markers for five Amorphophallus species based on mitochondrial DNA. Front. Plant Sci. 2023, 14, 1180417. [Google Scholar] [CrossRef]
- Basak, S.; Singhal, R.S. Composite hydrogels fabricated from konjac glucomannan and gellan gum: Rheological characterization and their potential application in sustainable agriculture. Carbohydr. Polym. 2024, 336, 122091. [Google Scholar] [CrossRef]
- Hong, J.; Shi, Y.; Chen, J.; Mi, M.; Ren, Q.; Zhang, Y.; Shen, M.; Bu, J.; Kang, Y. Konjac glucomannan attenuate high-fat diet-fed obesity through enhancing β-adrenergic-mediated thermogenesis in inguinal white adipose tissue in mice. Glycoconj. J. 2023, 40, 575–586. [Google Scholar] [CrossRef]
- Bu, N.; Zhou, N.; Cao, G.; Mu, R.; Pang, J.; Ma, C.; Wang, L. Konjac glucomannan/carboxymethyl chitosan film embedding gliadin/casein nanoparticles for grape preservation. Int. J. Biol. Macromol. 2023, 249, 126131. [Google Scholar] [CrossRef]
- Zhang, Y.; Aldamarany, W.A.S.; Deng, L.; Zhong, G. Carbohydrate supplementation retains intestinal barrier and ameliorates bacterial translocation in an antibiotic-induced mouse model. Food Funct. 2023, 14, 8186–8200. [Google Scholar] [CrossRef]
- Gao, Z.; Liu, F.; Lan, H.; Jian, T.; Cao, L.; Deng, M.; Wang, L.; Lan, M.; Li, J. Response and mechanisms of Amorphophallus konjac agronomic traits and disease occurrence after biochar application. Sci. Hortic. 2024, 338, 113657. [Google Scholar] [CrossRef]
- Gao, Y.; Zhang, Y.; Feng, C.; Chu, H.; Feng, C.; Wang, H.; Wu, L.; Yin, S.; Liu, C.; Chen, H.; et al. A chromosome-level genome assembly of Amorphophallus konjac provides insights into konjac glucomannan biosynthesis. Comput. Struct. Biotechnol. J. 2022, 20, 1002–1011. [Google Scholar] [CrossRef] [PubMed]
- Mistry, J.; Chuguransky, S.; Williams, L.; Qureshi, M.; Salazar, G.A.; Sonnhammer, E.L.L.; Tosatto, S.C.E.; Paladin, L.; Raj, S.; Richardson, L.J.; et al. Pfam: The protein families database in 2021. Nucleic Acids Res. 2021, 49, D412–D419. [Google Scholar] [CrossRef]
- Chen, C.; Wu, Y.; Li, J.; Wang, X.; Zeng, Z.; Xu, J.; Liu, Y.; Feng, J.; Chen, H.; He, Y.; et al. TBtools-II: A “one for all, all for one” bioinformatics platform for biological big-data mining. Mol. Plant 2023, 16, 1733–1742. [Google Scholar] [CrossRef]
- Gasteiger, E. ExPASy: The proteomics server for in-depth protein knowledge and analysis. Nucleic Acids Res. 2003, 31, 3784–3788. [Google Scholar] [CrossRef] [PubMed]
- Tamura, K.; Stecher, G.; Kumar, S.; Battistuzzi, F.U. MEGA11: Molecular Evolutionary Genetics Analysis Version 11. Mol. Biol. Evol. 2021, 38, 3022–3027. [Google Scholar] [CrossRef]
- Xie, J.; Chen, Y.; Cai, G.; Cai, R.; Hu, Z.; Wang, H. Tree Visualization By One Table (tvBOT): A web application for visualizing, modifying and annotating phylogenetic trees. Nucleic Acids Res. 2023, 51, W587–W592. [Google Scholar] [CrossRef]
- Bailey, T.L.; Boden, M.; Buske, F.A.; Frith, M.; Grant, C.E.; Clementi, L.; Ren, J.; Li, W.W.; Noble, W.S. MEME SUITE: Tools for motif discovery and searching. Nucleic Acids Res. 2009, 37, W202–W208. [Google Scholar] [CrossRef]
- Lescot, M.; Déhais, P.; Thijs, G.; Marchal, K.; Moreau, Y.; Van de Peer, Y.; Rouzé, P.; Rombauts, S. PlantCARE, a database of plant cis-acting regulatory elements and a portal to tools for in silico analysis of promoter sequences. Nucleic Acids Res. 2002, 30, 325–327. [Google Scholar] [CrossRef]
- Chen, T.; Yang, M.; Cui, G.; Tang, J.; Shen, Y.; Liu, J.; Yuan, Y.; Guo, J.; Huang, L. IMP: Bridging the gap for medicinal plant genomics. Nucleic Acids Res. 2024, 52, D1347–D1354. [Google Scholar] [CrossRef]
- Wang, K.; Niu, Y.; Wang, Q.; Liu, H.; Jin, Y.; Zhang, S. Cloning and evaluation of reference genes for quantitative real-time PCR analysis in Amorphophallus. PeerJ. 2017, 5, e3260. [Google Scholar] [CrossRef] [PubMed]
- Mu, H.; Jin, X.; Lv, S.; Long, S.; Liu, Y.; Chen, L.; Lin, L. Genome-Wide Identification and Expression Analysis of Auxin Response Factor. (ARF) Gene Family in Betula pendula. Horticulturae 2024, 10, 27. [Google Scholar] [CrossRef]
- Zhao, Z.X.; Yin, X.X.; Li, S.; Peng, Y.T.; Yan, X.L.; Chen, C.; Hassan, B.; Zhou, S.X.; Pu, M.; Zhao, J.H.; et al. miR167d-ARFs Module Regulates Flower Opening and Stigma Size in Rice. Rice 2022, 15, 40. [Google Scholar] [CrossRef]
- Li, X.X.; Yu, B.; Dong, Y.Y.; Wang, L.S.; Zhang, S.L.; Shangguan, H.Y.; He, Z.H.; Luo, X.M.; Lai, P.F. Lanthanum chloride enhances the photosynthetic characteristics and increases konjac glucomannan contents in Amorphophallus sinensis Belval. Photosynthetica 2020, 58, 165–173. [Google Scholar] [CrossRef]
- Alonso, M.M.P. In-Depth Analysis of Jasmonate-Mediated Indole-3-Acetic Acid (iaa) Biosynthesis and its Implication in Plant Development. Ph.D. Thesis, Universidad Politécnica De Madrid, Madrid, Spain, 2017. Available online: https://oa.upm.es/47133/ (accessed on 15 May 2025).
- Yu, Y.; Tang, W.; Lin, W.; Li, W.; Zhou, X.; Li, Y.; Chen, R.; Zheng, R.; Qin, G.; Cao, W.; et al. ABLs and TMKs are co-receptors for extracellular auxin. Cell 2023, 186, 5457–5471. [Google Scholar] [CrossRef]
- Qian, S.; Zhang, Q.; Li, S.; Shi, R.; He, X.; Zi, S.; Liu, T. Arbuscular mycorrhiza and plant growth promoting endophytes facilitates accumulation of saponin under moderate drought stress. Chin. Herb. Med. 2024, 16, 214–226. [Google Scholar] [CrossRef]
- Feng, L.; Chen, H.; Zhao, J.; Liu, D.; Wei, Z.; Li, Y.; Yang, B.; He, Y.; Zhang, M.; Hou, D.; et al. Auxin induces lateral root formation in Bupleurum: A heme oxygenase dependent approach. Chin. Herb. Med. 2023, 15, 57–62. [Google Scholar] [CrossRef]
- Pernisová, M.; Vernoux, T. Auxin Does the SAMba: Auxin Signaling in the Shoot Apical Meristem. Cold Spring Harb. Perspect. Biol. 2021, 13, a039925. [Google Scholar] [CrossRef]
- Cheng, T.; Li, M.; Zhao, C.; Wang, T.; Zheng, X.; Yang, L.; Diao, Y.; Yang, S.; Hu, Z. Genome-wide identification, expression profile and selection analysis of the CPK gene family in Nelumbo nucifera. BMC Genomics 2025, 26, 461. [Google Scholar] [CrossRef]
- Zhang, Y.; Wu, W.; Shen, H.; Yang, L. Genome-wide identification and expression analysis of ARF gene family in embryonic development of Korean pine (Pinus koraiensis). BMC Plant Biol. 2024, 24, 267. [Google Scholar] [CrossRef]
- Zhang, C.; Lin, W.; Ke, S.; Chen, D.; Wang, L.; Zheng, Q.; Huang, Y.; Liu, Z.J.; Yin, W.; Lan, S. Genome-Wide Identification of the ARF Gene Family in Three Dendrobium Species and Its Expression Pattern Analysis in D. nobile Flower. Horticulturae 2024, 10, 568. [Google Scholar] [CrossRef]
- Wang, S.; Hagen, G.; Guilfoyle, T.J. ARF-Aux/IAA interactions through domain III/IV are not strictly required for auxin-responsive gene expression. Plant Signal Behav. 2013, 8, e24526. [Google Scholar] [CrossRef] [PubMed][Green Version]
- Hernandez-Garcia, C.M.; Finer, J.J. Identification and validation of promoters and cis-acting regulatory elements. Plant Sci. 2014, 217–218, 109–119. [Google Scholar] [CrossRef] [PubMed]
- Wang, W.; Li, Y.; Cai, C.; Zhu, Q. Auxin response factors fine-tune lignin biosynthesis in response to mechanical bending in bamboo. New Phytol. 2023, 241, 1161–1176. [Google Scholar] [CrossRef]
- Liu, N.; Dong, L.; Deng, X.; Liu, D.; Liu, Y.; Li, M.; Hu, Y.; Yan, Y. Genome-wide identification, molecular evolution, and expression analysis of auxin response factor (ARF) gene family in Brachypodium distachyon L. BMC Plant Biol. 2018, 18, 336. [Google Scholar] [CrossRef]
- Shin, R.; Burch, A.Y.; Huppert, K.A.; Tiwari, S.B.; Murphy, A.S.; Guilfoyle, T.J.; Schachtman, D.P. The Arabidopsis Transcription Factor MYB77 Modulates Auxin Signal Transduction. Plant Cell 2007, 19, 2440–2453. [Google Scholar] [CrossRef]
- He, C.; Feng, Y.; Deng, Y.; Lin, L.; Cheng, S. A systematic review and meta-analysis on the root effects and toxic mechanisms of rare earth elements. Chemosphere 2024, 363, 142951. [Google Scholar] [CrossRef]
- Trejo-Téllez, L.I.; Gómez-Merino, F.C. Editorial: Beneficial elements: Novel players in plant biology for innovative crop production, volume II. Front. Plant Sci. 2023, 14, 1303462. [Google Scholar] [CrossRef]
- Syrvatka, V.; Rabets, A.; Gromyko, O.; Luzhetskyy, A.; Fedorenko, V. Scandium–microorganism interactions in new biotechnologies. Trends Biotechnol. 2022, 40, 1088–1101. [Google Scholar] [CrossRef]
- Khosa, J.; Bellinazzo, F.; Kamenetsky Goldstein, R.; Macknight, R.; Immink, R.G.H. PHOSPHATIDYLETHANOLAMINE-BINDING PROTEINS: The conductors of dual reproduction in plants with vegetative storage organs. J. Exp. Bot. 2021, 72, 2845–2856. [Google Scholar] [CrossRef]
- Liu, B.; Zhang, N.; Wen, Y.; Si, H.; Wang, D. Identification of differentially expressed genes in potato associated with tuber dormancy release. Mol. Biol. Rep. 2012, 39, 11277–11287. [Google Scholar] [CrossRef] [PubMed]
- Sun, M.X.; Cheng, L.; Li, S.; Yin, J.; Li, L.; Chen, X. Genome-Wide Analysis of Differentially Expressed Genes Relevant to Rhizome Formation in Lotus Root (Nelumbo nucifera Gaertn). PLoS ONE. 2013, 8, e67116. [Google Scholar] [CrossRef]
- Miao, Y.; Zhu, Z.; Guo, Q.; Yang, X.; Liu, L.; Sun, Y.; Wang, C. Dynamic changes in carbohydrate metabolism and endogenous hormones during Tulipa edulis stolon development into a new bulb. J. Plant Biol. 2016, 59, 121–132. [Google Scholar] [CrossRef]
- Pallotti, C.; Renau-Morata, B.; Cardone, L.; Nebauer, S.G.; Albiñana Palacios, M.; Rivas-Sendra, A.; Seguí-Simarro, J.M.; Molina, R.V. Understanding the Saffron Corm Development—Insights into Histological and Metabolic Aspects. Plants 2024, 13, 1125. [Google Scholar] [CrossRef]
- Zhang, E.; Shen, W.; Jiang, W.; Li, W.; Wan, X.; Yu, X.; Xiong, F. Research progress on the bulb expansion and starch enrichment in taro (Colocasia esculenta (L). Schott). PeerJ. 2023, 11, e15400. [Google Scholar] [CrossRef]
- Zhu, Q.; Li, B.; Liu, X.; Shan, N.; Sun, J.; Zhang, H.; Huang, Y.; Xiao, Y.; Zhou, Q. Uncovering the mechanism preliminarily of formation and development of taro corm in vitro by morphological physiology and transcriptomic analysis. Sci. Hortic. 2022, 291, 110575. [Google Scholar] [CrossRef]
- Sun, Q.; Zhang, B.; Xiang, L.; Wang, Y.; Chan, Z. Auxin Receptor TRANSPORT INHIBITOR RESPONSE1 Promotes Tulip Plant Growth and Bulb Swelling. J. Plant Growth Regul. 2024, 43, 4691–4703. [Google Scholar] [CrossRef]
- Zhang, K.; Lyu, T.; Lyu, Y. Transcriptional Insights into Lily Stem Bulblet Formation: Hormonal Regulation, Sugar Metabolism, and Transcriptional Networks in LA Lily ‘Aladdin’. Horticulturae 2024, 10, 171. [Google Scholar] [CrossRef]
- Gutierrez, L.; Mongelard, G.; Floková, K.; Pacurar, D.I.; Novák, O.; Staswick, P.; Kowalczyk, M.; Pacurar, M.; Demailly, H.; Geiss, G.; et al. Auxin controls Arabidopsis adventitious root initiation by regulating jasmonic acid homeostasis. Plant Cell 2012, 24, 2515–2527. [Google Scholar] [CrossRef]
- Sagar, M.; Chervin, C.; Mila, I.; Hao, Y.; Roustan, J.P.; Benichou, M.; Gibon, Y.; Biais, B.; Maury, P.; Latché, A.; et al. SlARF4, an Auxin Response Factor Involved in the Control of Sugar Metabolism during Tomato Fruit Development. Plant Physiol. 2013, 161, 1362–1374. [Google Scholar] [CrossRef]
- Zhao, Z.; Wang, C.; Yu, X.; Tian, Y.; Wang, W.; Zhang, Y.; Bai, W.; Yang, N.; Zhang, T.; Zheng, H.; et al. Auxin regulates source-sink carbohydrate partitioning and reproductive organ development in rice. Proc. Natl. Acad. Sci. USA 2022, 119, e2121671119. [Google Scholar] [CrossRef] [PubMed]







| Gene Name | Chromosome Number | Number of Amin Acid | Molecular Weight (kD) | Theoretical pI | Instability Index | Aliphatic Index | Grand Average of Hydropathicity | Subcellular Localization |
|---|---|---|---|---|---|---|---|---|
| AkARF1 | Chr1 | 918 | 101.09 | 5.89 | 71.82 | 75.31 | −0.43 | Nucleus |
| AkARF2 | Chr2 | 225 | 24.97 | 7.91 | 44.02 | 76.53 | −0.06 | Cytosol |
| AkARF3 | Chr2 | 676 | 74.58 | 5.9 | 58.80 | 72.38 | −0.41 | Nucleus |
| AkARF4 | Chr2 | 733 | 80.5 | 6.77 | 55.98 | 65.96 | −0.46 | Nucleus |
| AkARF5 | Chr3 | 712 | 79.39 | 8.02 | 56.56 | 69.13 | −0.47 | Nucleus |
| AkARF6 | Chr4 | 1144 | 128.07 | 6.23 | 71.65 | 75.53 | −0.59 | Nucleus |
| AkARF7 | Chr4 | 1142 | 127.8 | 6.23 | 71.27 | 75.32 | −0.59 | Nucleus |
| AkARF8 | Chr4 | 1127 | 124.81 | 6.24 | 66.68 | 75.84 | −0.54 | Nucleus |
| AkARF9 | Chr5 | 496 | 54.59 | 8.25 | 39.72 | 67.36 | −0.34 | Nucleus |
| AkARF10 | Chr5 | 1128 | 125.52 | 6.38 | 65.17 | 73.67 | −0.57 | Nucleus |
| AkARF11 | Chr7 | 693 | 75.76 | 6.05 | 47.91 | 74.73 | −0.33 | Nucleus |
| AkARF12 | Chr7 | 583 | 64.05 | 6.84 | 48.20 | 70.38 | −0.37 | Nucleus |
| AkARF13 | Chr7 | 581 | 63.72 | 7.11 | 49.02 | 70.62 | −0.36 | Nucleus |
| AkARF14 | Chr8 | 798 | 89.85 | 5.91 | 61.15 | 75.34 | −0.46 | Nucleus |
| AkARF15 | Chr9 | 720 | 79.91 | 5.82 | 51.89 | 67.83 | −0.50 | Nucleus |
| AkARF16 | Chr9 | 759 | 82.21 | 7.03 | 63.20 | 66.46 | −0.47 | Nucleus |
| AkARF17 | Chr10 | 904 | 100.07 | 5.88 | 62.81 | 77.95 | −0.40 | Nucleus |
| AkARF18 | Chr12 | 689 | 75.91 | 6.05 | 58.40 | 69.62 | −0.47 | Nucleus |
| AkARF19 | Chr12 | 426 | 48.18 | 7.79 | 54.29 | 82.58 | −0.32 | Nucleus |
| AkARF20 | Chr12 | 875 | 97.25 | 6.35 | 58.51 | 63.77 | −0.63 | Nucleus |
| AkARF21 | Chr12 | 573 | 62.49 | 6.71 | 46.29 | 74.82 | −0.24 | Nucleus |
| AkARF22 | Chr12 | 1055 | 116.71 | 5.35 | 57.06 | 78.53 | −0.43 | Nucleus |
| AkARF23 | Chr13 | 1126 | 125.24 | 6.08 | 58.57 | 75.42 | −0.55 | Nucleus |
Disclaimer/Publisher’s Note: The statements, opinions and data contained in all publications are solely those of the individual author(s) and contributor(s) and not of MDPI and/or the editor(s). MDPI and/or the editor(s) disclaim responsibility for any injury to people or property resulting from any ideas, methods, instructions or products referred to in the content. |
© 2025 by the authors. Licensee MDPI, Basel, Switzerland. This article is an open access article distributed under the terms and conditions of the Creative Commons Attribution (CC BY) license (https://creativecommons.org/licenses/by/4.0/).
Share and Cite
Li, X.; Huang, H.; Shen, J.; Long, J.; Wang, H.; Yu, Z. Comprehensive Identification of Auxin Response Factor Gene Family and Their Expression Profiles Under Lanthanum Stress in Amorphophallus konjac. Horticulturae 2025, 11, 687. https://doi.org/10.3390/horticulturae11060687
Li X, Huang H, Shen J, Long J, Wang H, Yu Z. Comprehensive Identification of Auxin Response Factor Gene Family and Their Expression Profiles Under Lanthanum Stress in Amorphophallus konjac. Horticulturae. 2025; 11(6):687. https://doi.org/10.3390/horticulturae11060687
Chicago/Turabian StyleLi, Xiaoxian, Herui Huang, Jinjun Shen, Jingyi Long, Hui Wang, and Zhenming Yu. 2025. "Comprehensive Identification of Auxin Response Factor Gene Family and Their Expression Profiles Under Lanthanum Stress in Amorphophallus konjac" Horticulturae 11, no. 6: 687. https://doi.org/10.3390/horticulturae11060687
APA StyleLi, X., Huang, H., Shen, J., Long, J., Wang, H., & Yu, Z. (2025). Comprehensive Identification of Auxin Response Factor Gene Family and Their Expression Profiles Under Lanthanum Stress in Amorphophallus konjac. Horticulturae, 11(6), 687. https://doi.org/10.3390/horticulturae11060687

