Physiological and Biochemical Responses of Lettuce to Arbuscular Mycorrhizal Inoculation and Landoltia punctata Extract Applications
Abstract
1. Introduction
2. Materials and Methods
- (1)
- C—control variant without any treatment;
- (2)
- M—variant treated with mycorrhizal inoculum;
- (3)
- M + L—variant treated with a combination of mycorrhizal inoculum and Landoltia punctata (clone no. 5562) extract;
- (4)
- L—variant treated with L. punctata (clone no. 5562) extract.
3. Results
3.1. Plant Physiological Status
3.2. Biometric Parameters at Harvest
3.3. Qualitative and Compositional Analysis
3.4. Identified Amino Acids in the Aqueous Extract of Landoltia punctata
3.5. Mycorrhizal Colonisation
4. Discussion
5. Conclusions
Supplementary Materials
Author Contributions
Funding
Data Availability Statement
Conflicts of Interest
References
- Boincean, B. From Green Revolution to Green Agriculture: Horizons to Rethinking and Transforming Agrifood Systems for People and the Planet. Available online: https://www.fao.org/platforms/green-agriculture/news/news-detail/from-green-revolution-to-green-agriculture--horizons-to-rethinking-and-transforming-agrifood-systems-for-people-and-the-planet/en (accessed on 15 August 2025).
- IFA. Fertilizer Consumption—Historical Trends by Country or Region. Available online: https://www.ifastat.org/databases/graph/1_1 (accessed on 17 August 2025).
- FAO. Land Statistics 2001–2022 Global, Regional and Country Trends. Available online: https://openknowledge.fao.org/server/api/core/bitstreams/b359009a-d35d-47af-aca2-fd6a5bc71980/content (accessed on 17 August 2025).
- FAO. Pesticides Use. Available online: https://www.fao.org/faostat/en/#data/RP/visualize (accessed on 17 August 2025).
- Silva, J.; Duarte, S.N.; Silva, D.D.; Miranda, N.O. Reclamation of salinized soils due to excess of fertilizers: Evaluation of leaching systems and equations. Dyna 2019, 86, 115–124. [Google Scholar] [CrossRef]
- Zhang, Y.; Ye, C.; Su, Y.; Peng, W.; Lu, R.; Liu, Y.; Huang, H.; He, X.; Yang, M.; Zhu, S. Soil Acidification caused by excessive application of nitrogen fertilizer aggravates soil-borne diseases: Evidence from literature review and field trials. Agric. Ecosyst. Environ. 2022, 340, 108176. [Google Scholar] [CrossRef]
- Bebber, D.P.; Richards, V. A meta-analysis of the effect of organic and mineral fertilizers on soil microbial diversity. Appl. Soil Ecol. 2022, 175, 104450. [Google Scholar] [CrossRef]
- Uddin, M.S.; Kurosawa, K. Effect of chemical nitrogen fertilizer application on the release of arsenic from sediment to groundwater in Bangladesh. Procedia Environ. Scis. 2011, 4, 294–302. [Google Scholar] [CrossRef]
- Zhou, W.; Lv, H.; Chen, F.; Wang, Q.; Li, J.; Chen, Q.; Liang, B. Optimizing nitrogen management reduces mineral nitrogen leaching loss mainly by decreasing water leakage in vegetable fields under plastic-shed greenhouse. Environ. Pollut. 2022, 308, 119616. [Google Scholar] [CrossRef]
- Lee, G.F.; Jones-Lee, A. Eutrophication (Excessive Fertilization). In Water Encyclopedia; Lehr, J.H., Keeley, J., Eds.; John Wiley & Sons: Hoboken, NJ, USA, 2005. [Google Scholar] [CrossRef]
- Menegat, S.; Ledo, A.; Tirado, R. Greenhouse gas emissions from global production and use of nitrogen synthetic fertilisers in agriculture. Sci. Rep. 2022, 12, 14490. [Google Scholar] [CrossRef]
- Jardin, P.D. Plant biostimulants: Definition, concept, main categories and regulation. Sci. Hortic. 2015, 196, 3–14. [Google Scholar] [CrossRef]
- European Parliament and Council (EU). Regulation (EU) 2019/1009 of the European Parliament and of the Council of 5 June 2019 Laying Down Rules on the Making Available on the Market of EU Fertilising Products. Available online: https://eur-lex.europa.eu/eli/reg/2019/1009/oj/eng (accessed on 2 September 2025).
- Rossini, A.; Ruggeri, R.; Rossini, F. Combining nitrogen fertilization and biostimulant application in durum wheat: Effects on morphophysiological traits, grain production, and quality. Ital. J. Agron. 2025, 20, 100027. [Google Scholar] [CrossRef]
- Fall, A.F.; Nakabonge, G.; Ssekandi, J.; Founoune-Mboup, H.; Badji, A.; Ndiaye, A.; Kyakuwa, P.; Anyoni, O.G.; Kabaseke, C.; Ronoh, A.K.; et al. Combined Effects of Indigenous Arbuscular Mycorrhizal Fungi (AMF) and NPK Fertilizer on Growth and Yields of Maize and Soil Nutrient Availability. Sustainability 2023, 15, 2243. [Google Scholar] [CrossRef]
- Spatafora, J.W.; Chang, Y.; Benny, G.L.; Lazarus, K.; Smith, M.E.; Berbee, M.L.; Bonito, G.; Corradi, N.; Grigoriev, I.; Gryganskyi, A.; et al. A phylum-level phylogenetic classification of zygomycete fungi based on genome-scale data. Mycologia 2016, 108, 1028–1046. [Google Scholar] [CrossRef]
- Schoch, C.L. Glomeromycetes. Available online: https://www.ncbi.nlm.nih.gov/Taxonomy/Browser/wwwtax.cgi?mode=Tree&id=214506&lvl=3&lin=f&keep=1&srchmode=1&unlock (accessed on 8 September 2025).
- Gryndler, M. Mycorrhizal Symbiosis; Academia: Praha, Czech Republic, 2004; ISBN 80-200-1240-0. (In Czech) [Google Scholar]
- Smith, S.E.; Read, D. Mycorrhizal Symbiosis, 3rd ed.; Academic Press: London, UK, 2008; pp. 59–63. [Google Scholar] [CrossRef]
- Rasouli, F.; Amini, T.; Asadi, M.; Hassanpouraghdam, M.B.; Aazami, M.A.; Ercisli, S.; Skrovankova, S.; Mlcek, J. Growth and Antioxidant Responses of Lettuce (Lactuca sativa L.) to Arbuscular Mycorrhiza Inoculation and Seaweed Extract Foliar Application. Agronomy 2022, 12, 401. [Google Scholar] [CrossRef]
- Keller-Pearson, M.; Liu, Y.; Peterson, A.; Pederson, K.; Willems, L.; Ané, J.-M.; Silva, E.M. Inoculation with arbuscular mycorrhizal fungi has a more significant positive impact on the growth of open-pollinated heirloom varieties of carrots than on hybrid cultivars under organic management conditions. Agric. Ecosyst. Environ. 2020, 289, 106712. [Google Scholar] [CrossRef]
- Nedorost, L.; Pokluda, R. Effect of arbuscular mycorrhizal fungi on tomato yield and nutrient uptake under different fertilization levels. Acta Univ. Agric. Silvic. Mendel. Brun. 2012, 60, 181–186. [Google Scholar] [CrossRef]
- Lee, Y.; Choi, H.J.; Shiga, T. Taxonomic identity of Landoltia punctata (Araceae, Lemnoideae) in Korea. J. Asia-Pac. Biodivers. 2020, 13, 494–498. [Google Scholar] [CrossRef]
- UF IFAS. Landoltia punctata, Dotted Duckweed. Available online: https://plant-directory.ifas.ufl.edu/plant-directory/landoltia-punctata/ (accessed on 14 September 2025).
- Xu, H.; Yu, C.; Xia, X.; Li, M.; Li, H.; Wang, Y.; Wang, S.; Wang, C.; Ma, Y.; Zhou, G. Comparative transcriptome analysis of duckweed (Landoltia punctata) in response to cadmium provides insights into molecular mechanisms underlying hyperaccumulation. Chemosphere 2018, 190, 154–165. [Google Scholar] [CrossRef] [PubMed]
- Neag, E.; Malschi, D.; Măicăneanu, A. Isotherm and kinetic modelling of Toluidine Blue (TB) removal from aqueous solution using Lemna minor. Int. J. Phytoremediation 2018, 20, 1049–1054. [Google Scholar] [CrossRef] [PubMed]
- Yue, L.; Zhao, J.; Yu, X.; Lv, K.; Wang, Z.; Xing, B. Interaction of CuO nanoparticles with duckweed (Lemna minor L.): Uptake, distribution and ROS production sites. Environ. Pollut. 2018, 243, 543–552. [Google Scholar] [CrossRef] [PubMed]
- Pop, C.-E.; Draga, S.; Măciucă, R.; Niță, R.; Crăciun, N.; Wolff, R. Bisphenol A Effects in Aqueous Environment on Lemna minor. Processes 2021, 9, 1512. [Google Scholar] [CrossRef]
- Sikorski, Ł.; Baciak, M.; Bęś, A.; Adomas, B. The effects of glyphosate-based herbicide formulations on Lemna minor, a non-target species. Aquat. Toxicol. 2019, 209, 70–80. [Google Scholar] [CrossRef]
- Drobniewska, A.; Giebułtowicz, J.; Wawryniuk, M.; Kierczak, P.; Nałęcz-Jawecki, G. Toxicity and bioaccumulation of selected antidepressants in Lemna minor (L.). Ecohydrol. Hydrobiol. 2024, 24, 262–270. [Google Scholar] [CrossRef]
- Ahmad, Z.; Hossain, N.; Hussain, S.; Khan, A.H. Effect of duckweed (Lemna minor) as complement to fertilizer nitrogen on the growth and yield of rice. Int. J. Trop. Agric. 1990, 8, 72–79. [Google Scholar]
- Hong, C.; Wang, Z.; Wang, Y.; Zong, X.; Qiang, X.; Li, Q.; Shaghaleh, H.; Hamoud, Y.A.; Guo, X. Response of duckweed to different irrigation modes under different fertilizer types and rice varieties: Unlocking the potential of duckweed (Lemna minor L.) in rice cultivation as “fertilizer capacitors”. Agric. Water Manag. 2024, 292, 108681. [Google Scholar] [CrossRef]
- Pulido, C.R.; Caballero, J.; Bruns, M.A.; Brennan, R.A. Recovery of waste nutrients by duckweed for reuse in sustainable agriculture: Second-year results of a field pilot study with sorghum. Ecol. Eng. 2021, 168, 106273. [Google Scholar] [CrossRef]
- Mahofa, R.; Kapenzi, A.; Masaka, J. The effects of different types of duckweed manure on height and yield of floridade tomatoes. Midlands State Univ. J. Sci. Agric. Technol. 2014, 5, 135–152. [Google Scholar]
- Baldi, A.; Verdi, L.; Piacenti, L.; Lenzi, A. From Waste to Resource: Use of Lemna minor L. as Unconventional Fertilizer for Lettuce (Lactuca sativa L.). Horticulturae 2025, 11, 20. [Google Scholar] [CrossRef]
- Pratiwi, A.; Aji, O.R.; Sumbudi, M. Growth Response and Biochemistry of Red Spinach (Amaranthus tricolor L.) with the Application of Liquid Organic Fertilizer Lemna sp. J.Biotechnol. Nat. Sci. 2022, 2, 61–69. [Google Scholar] [CrossRef]
- Chikuvire, T.J.; Muchaonyerwa, P.; Zengeni, R. Improvement of nitrogen uptake and dry matter content of Swiss chard by pre-incubation of duckweeds in soil. Int. J. Recycl. Org. Waste Agric. 2019, 8, 235–244. [Google Scholar] [CrossRef]
- Buono, D.D.; Bartucca, M.L.; Ballerini, E.; Senizza, B.; Lucini, L.; Trevisan, M. Physiological and Biochemical Effects of an Aqueous Extract of Lemna minor L. as a Potential Biostimulant for Maize. J. Plant Growth Regul. 2022, 41, 3009–3018. [Google Scholar] [CrossRef]
- Priolo, D.; Tolisano, C.; Ballerini, E.; Brienza, M.; Buono, D.D. Stimulatory Effect of an Extract of Lemna minor L. in Protecting Maize from Salinity: A Multifaceted Biostimulant for Modulating Physiology, Red. Balance, and Nutrient Uptake. Agriculture 2024, 14, 705. [Google Scholar] [CrossRef]
- Miras-Moreno, B.; Senizza, B.; Regni, L.; Tolisano, C.; Proietti, P.; Trevisan, M.; Lucini, L.; Rouphael, Y.; Buono, D.D. Biochemical Insights into the Ability of Lemna minor L. Extract to Counteract Copper Toxicity in Maize. Plants 2022, 11, 2613. [Google Scholar] [CrossRef] [PubMed]
- Regni, L.; Buono, D.D.; Miras-Moreno, B.; Senizza, B.; Lucini, L.; Trevisan, M.; Venturi, D.M.; Costantino, F.; Proietti, P. Biostimulant Effects of an Aqueous Extract of Duckweed (Lemna minor L.) on Physiological and Biochemical Traits in the Olive Tree. Agriculture 2021, 11, 1299. [Google Scholar] [CrossRef]
- Regni, L.; Tolisano, C.; Buono, D.D.; Priolo, D.; Proietti, P. Role of an Aqueous Extract of Duckweed (Lemna minor L.) in Increasing Salt Tolerance in Olea europaea L. Agriculture 2024, 14, 375. [Google Scholar] [CrossRef]
- Priolo, D.; Tolisano, C.; Brienza, M.; Buono, D.D. Insight into the Biostimulant Effect of an Aqueous Duckweed Extract on Tomato Plants. Agriculture 2024, 14, 808. [Google Scholar] [CrossRef]
- Zbíral, J. Analysis of Plant Material: Standardized Procedures; ÚKZÚZ: Brno, Czech Republic, 2005. (In Czech) [Google Scholar]
- Holm, G. Chlorophyll mutations in barley. Acta Agric. Scand. 1954, 4, 457–471. [Google Scholar] [CrossRef]
- Celakovský, J.; Aujezdská, A. Stanovení obsahu polyfenolů a celkové antioxidační kapacity v potravinách rostlinného původu. In Závěrečná zpráva o plnění výzkumného projektu podpořeného finančně Nadačním fondem Institutu Danone; Ústav hygieny Lékařské fakulty UK: Plzeň, Czech Republic, 2004. (In Czech) [Google Scholar]
- Vierheilig, H.; Schweiger, P.; Brundrett, M.C. An overview of methods for the detection and observation of arbuscular mycorrhizal fungi in roots. Physiol. Plant. 2005, 125, 393–404. [Google Scholar] [CrossRef]
- Alarcón, C.; Cuenca, G. Arbuscular mycorrhizas in coastal sand dunes of the Paraguaná Peninsula, Venezuela. Mycorrhiza 2005, 16, 1–9. [Google Scholar] [CrossRef]
- Carrenho, R.; Trufem, S.F.; Bononi, V.L.; Silva, E.S. The effect of different soil properties on arbuscular mycorrhizal colonization of peanuts, sorghum and maize. Acta Bot. Bras. 2007, 21, 723–730. [Google Scholar] [CrossRef]
- Asadi, M.; Rasouli, F.; Amini, T.; Hassanpouraghdam, M.B.; Souri, S.; Skrovankova, S.; Mlcek, J.; Ercisli, S. Improvement of Photosynthetic Pigment Characteristics, Mineral Content, and Antioxidant Activity of Lettuce (Lactuca sativa L.) by Arbuscular Mycorrhizal Fungus and Seaweed Extract Foliar Application. Agronomy 2022, 12, 1943. [Google Scholar] [CrossRef]
- Zrig, A.; Alsherif, E.A.; Aloufi, A.S.; Korany, S.M.; Selim, S.; Almuhayawi, M.S.; Tarabulsi, M.K.; Nhs, M.; Albasri, H.M.; Bouqellah, N.A. The biomass and health-enhancing qualities of lettuce are amplified through the inoculation of arbuscular mycorrhizal fungi. BMC Plant Biol. 2025, 25, 521. [Google Scholar] [CrossRef] [PubMed]
- Han, Z.; Zhang, Z.; Li, Y.; Wang, B.; Xiao, Q.; Li, Z.; Geng, X.; Lin, K.; Huang, T.; Li, X.; et al. Effect of Arbuscular mycorrhizal fungi (AMF) inoculation on endophytic bacteria of lettuce. Physiol. Mol. Plant Pathol. 2023, 126, 102036. [Google Scholar] [CrossRef]
- Cela, F.; Avio, L.; Giordani, T.; Vangelisti, A.; Cavallini, A.; Turrini, A.; Sbrana, C.; Pardossi, A.; Incrocci, L. Arbuscular Mycorrhizal Fungi Increase Nutritional Quality of Soilless Grown Lettuce while Overcoming Low Phosphorus Supply. Foods 2022, 11, 3612. [Google Scholar] [CrossRef] [PubMed]
- Aini, N.; Yamika, W.S.; Ulum, B. Effect of nutrient concentration, PGPR and AMF on plant growth, yield and nutrient uptake of hydroponic lettuce. Int. J. Agric. Biol. 2019, 21, 175–183. [Google Scholar] [CrossRef]
- Shah, S.; Nawaz, T.; Fahad, S. Arbuscular mycorrhizal fungi role in plant beneficial elements uptake and nutrient acquisition. Rhizosphere 2025, 35, 101141. [Google Scholar] [CrossRef]
- Chen, S.; Zhao, H.; Zou, C.; Li, Y.; Chen, Y.; Wang, Z.; Jiang, Y.; Liu, A.; Zhao, P.; Wang, M.; et al. Combined Inoculation with Multiple Arbuscular Mycorrhizal Fungi Improves Growth, Nutrient Uptake and Photosynthesis in Cucumber Seedlings. Front. Microbiol. 2017, 8, 2516. [Google Scholar] [CrossRef]
- Li, H.; Zhang, L.; Wu, B.; Li, Y.; Wang, H.; Teng, H.; Wei, D.; Yuan, Z.; Yuan, Z. Physiological and proteomic analyses reveal the important role of arbuscular mycorrhizal fungi on enhancing photosynthesis in wheat under cadmium stress. Ecotoxicol. Environ. Saf. 2023, 261, 115105. [Google Scholar] [CrossRef] [PubMed]
- Hu, Z.; Fang, Y.; Yi, Z.; Tian, X.; Li, J.; Jin, Y.; He, K.; Liu, P.; Du, A.; Huang, Y.; et al. Determining the nutritional value and antioxidant capacity of duckweed (Wolffia arrhiza) under artificial conditions. LWT 2022, 153, 112477. [Google Scholar] [CrossRef]
- Sembada, A.A.; Faizal, A. Protein and Lipid Composition of Duckweeds (Landoltia punctata and Wolffia arrhiza) Grown in a Controlled Cultivation System. Asian J. Plant Sci. 2022, 21, 637–642. [Google Scholar] [CrossRef]
- Tsouvaltzis, P.; Koukounaras, A.; Siomos, A. Application of Amino Acids Improves Lettuce Crop Uniformity and Inhibits Nitrate Accumulation Induced by the Supplemental Inorganic Nitrogen Fertilization. Int. J. Agric. Biol. 2014, 16, 951–955. [Google Scholar]











| Value | Proportion of Mycorrhiza in Observed Plant Tissue Samples |
|---|---|
| 0 | Without targeted mycorrhiza |
| 1 | Incidence trace |
| 2 | Targeted mycorrhiza present in less than 10% of plant tissue |
| 3 | From 11 to 50% |
| 4 | From 51% to 90% |
| 5 | More than 90% |
| Variants | C | M | M + L | L |
|---|---|---|---|---|
| NDVI 28 March 2025 | 0.600 ± 0.043 a | 0.576 ± 0.045 a | 0.601 ± 0.050 a | 0.604 ± 0.044 a |
| NDVI 4 April 2025 | 0.464 ± 0.065 A | 0.507 ± 0.062 A | 0.527 ± 0.036 A | 0.509 ± 0.024 A |
| Qy 28 March 2025 | 0.83 ± 0.00 A | 0.83 ± 0.02 A | 0.82 ± 0.00 A | 0.82 ± 0.01 A |
| Qy 4 April 2025 | 0.81 ± 0.02 ab | 0.81 ± 0.01 b | 0.82 ± 0.01 a | 0.81 ± 0.01 b |
| Variants | C | M | M + L | L |
|---|---|---|---|---|
| Above-ground biomass [g] | 214.3 ± 44.4 a | 223.4 ± 42.1 a | 199.2 ± 25.8 a | 199.3 ± 49.9 a |
| Leaf area [cm2] | 956.6 ± 84.5 a | 933.0 ± 116.4 a | 926.1 ± 82.1 a | 916.5 ± 114.7 a |
| Plant height [mm] | 162.7 ± 11.3 a | 161.8 ± 15.2 a | 166.8 ± 7.8 a | 165.4 ± 12.0 a |
| Plant diameter [mm] | 270.9 ± 23.4 a | 259.2 ± 22.0 ab | 251.8 ± 10.1 ab | 248.3 ± 29.6 b |
| Number of leaves [pcs] | 28.9 ± 1.6 a | 29.0 ± 2.0 a | 29.3 ± 1.7 a | 28.4 ± 2.4 a |
| Variants | C | M | M + L | L |
|---|---|---|---|---|
| Dry matter of leaves [%] | 3.93 ± 0.26 A | 3.83 ± 0.11 A | 4.39 ± 0.81 A | 4.88 ± 0.32 A |
| Vitamin C [mg/kg] | 49.05 ± 2.41 A | 44.08 ± 7.30 A | 55.72 ± 4.00 A | 49.54 ± 10.51 A |
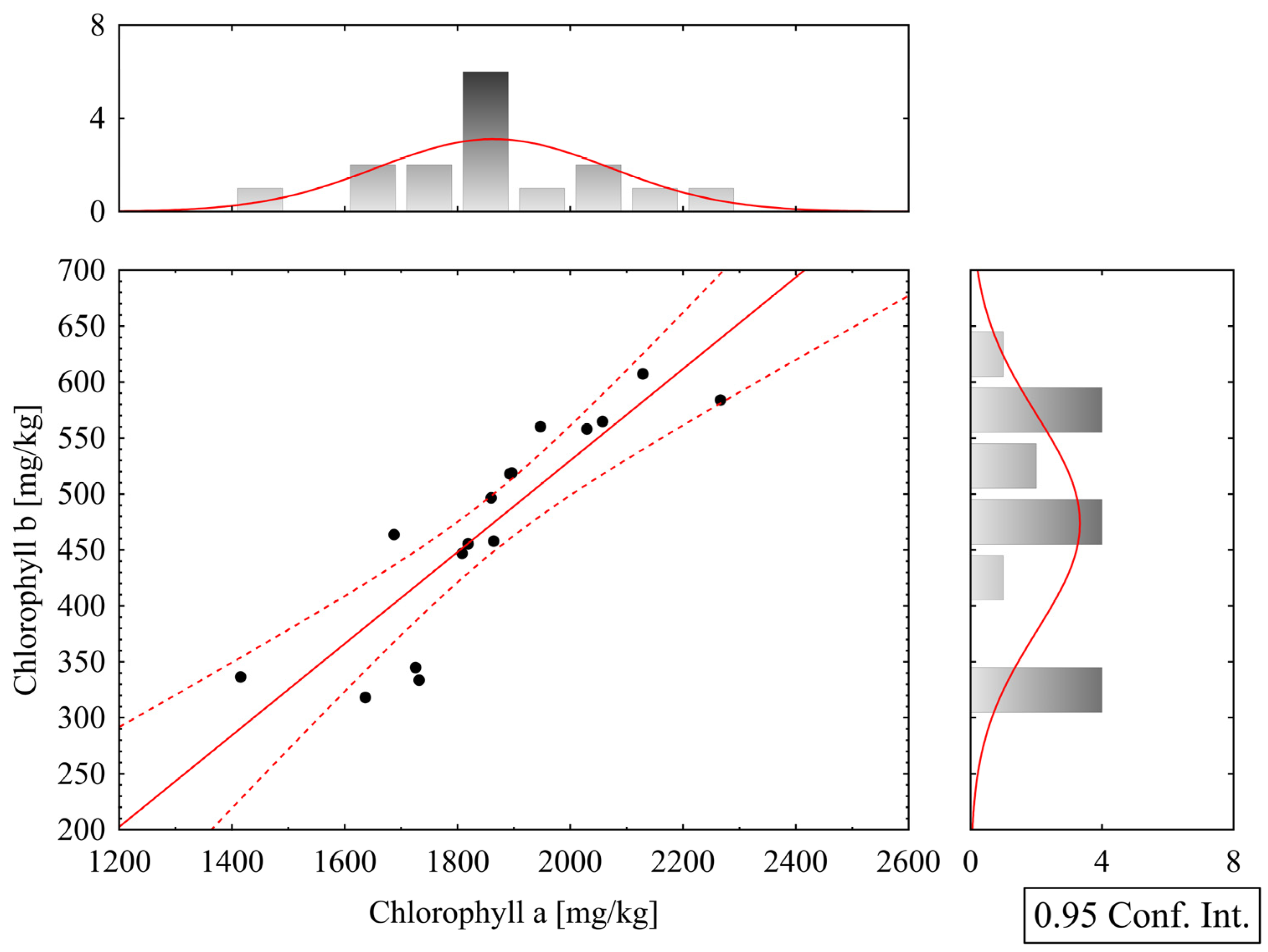
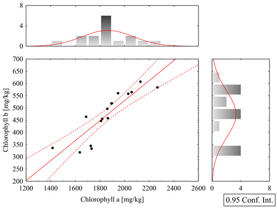
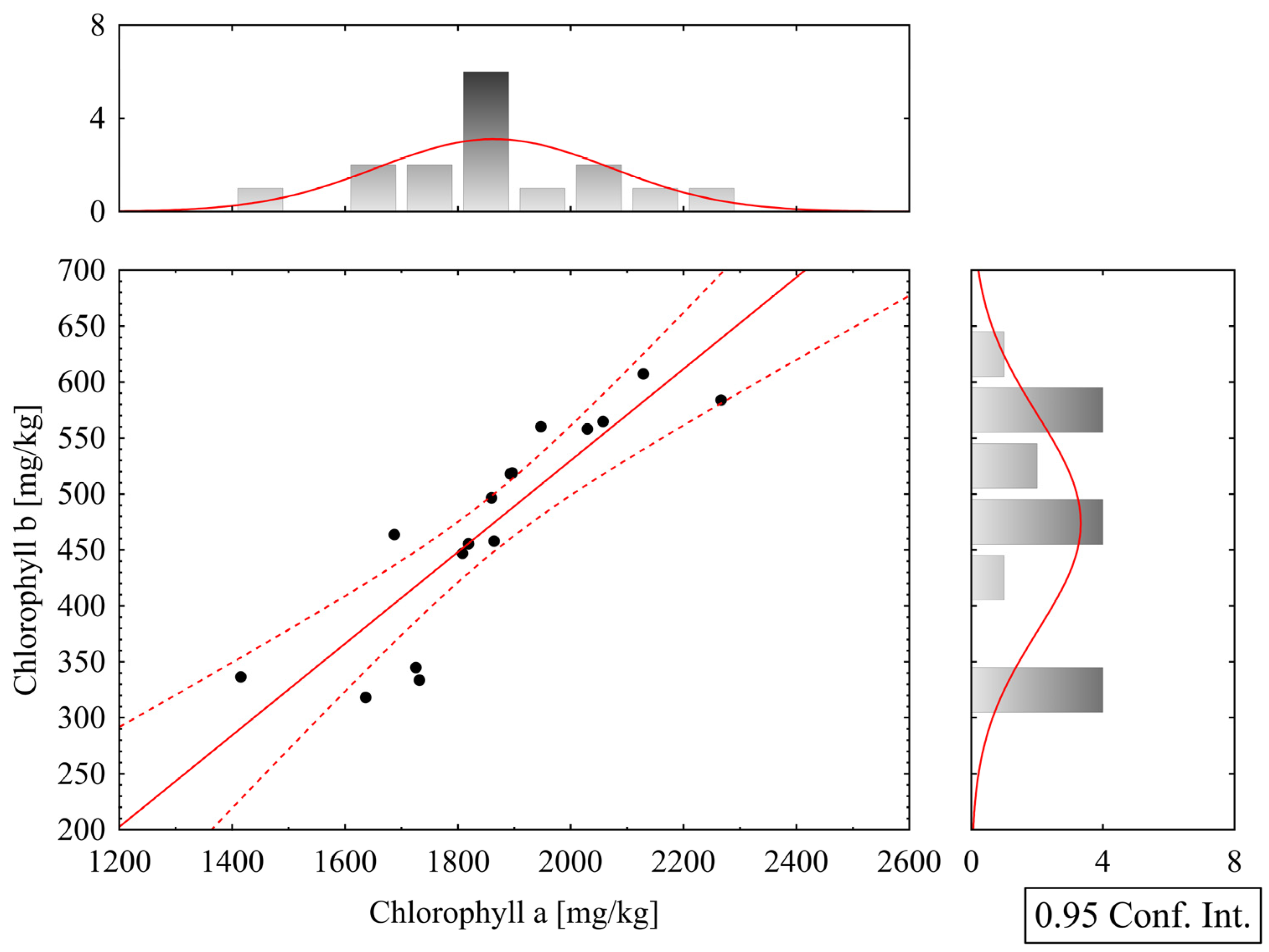
| Chlorophyll a [mg/kg] | 1725.66 ± 70.14 b | 1713.91 ± 218.33 b | 2001.69 ± 204.54 a | 2000.48 ± 101.57 a |
| Chlorophyll b [mg/kg] | 360.92 ± 58.39 c | 453.70 ± 81.20 bc | 515.51 ± 68.41 ab | 561.05 ± 36.24 a |
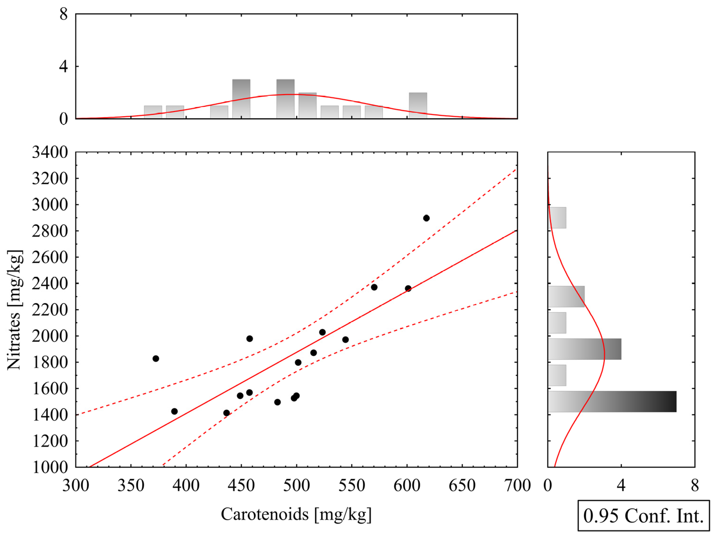
| Carotenoids [mg/kg] | 561.67 ± 72.13 a | 414.02 ± 39.63 c | 483.30 ± 24.40 b | 520.27 ± 19.30 ab |
| Phenolic compounds [mg/kg] | 198.00 ± 16.14 b | 185.77 ± 34.61 b | 254.28 ± 23.63 a | 207.84 ± 20.84 b |
| Flavonoids [mg/kg] | 97.67 ± 8.79 a | 110.22 ± 24.00 a | 105.83 ± 4.73 a | 90.21 ± 20.87 a |
| Antiox. cap. (DPPH) [mg/kg] | 126.68 ± 24.04 a | 113.14 ± 40.64 a | 116.93 ± 12.51 a | 113.92 ± 23.95 a |
| Nitrates [mg/kg] | 2402.08 ± 376.69 a | 1558.88 ± 192.32 b | 1595.50 ± 137.00 b | 1849.20 ± 225.14 b |
| AA | Mean Concentration [µg/L] ± SD |
|---|---|
| GABA | 1547.68 ± 4.208 |
| Valine | 1526.97 ± 1.842 |
| Phenylalanine | 750.93 ± 3.787 |
| Tryptophan | 550.65 ± 3.999 |
| Alanine | 471.19 ± 4.164 |
| Leucine | 418.51 ± 3.179 |
| Arginine | 346.03 ± 4.005 |
| Aspartic acid | 285.20 ± 0.408 |
| Isoleucine | 259.16 ± 0.490 |
| Asparagine | 235.54 ± 0.116 |
| Glutamic acid | 219.85 ± 0.334 |
| Tyrosine | 200.70 ± 0.164 |
| Proline | 124.65 ± 0.283 |
| Histidine | 112.37 ± 0.276 |
| Glycine | 74.31 ± 0.213 |
| Threonine | 66.18 ± 0.418 |
| Glutamine | 33.98 ± 0.418 |
| Lysine | 12.63 ± 0.028 |
| Methionine | 4.16 ± 0.036 |
| Hydroxy-proline | 1.09 ± 0.005 |
| Serine | 0.32 ± 0.002 |
| Cysteine | 0.08 ± 0.001 |
Disclaimer/Publisher’s Note: The statements, opinions and data contained in all publications are solely those of the individual author(s) and contributor(s) and not of MDPI and/or the editor(s). MDPI and/or the editor(s) disclaim responsibility for any injury to people or property resulting from any ideas, methods, instructions or products referred to in the content. |
© 2025 by the authors. Licensee MDPI, Basel, Switzerland. This article is an open access article distributed under the terms and conditions of the Creative Commons Attribution (CC BY) license (https://creativecommons.org/licenses/by/4.0/).
Share and Cite
Patloková, K.; Ferby, V.; Slaný, V.; Oravec, M.; Tříska, J.; Mašán, V.; Burg, P.; Pokluda, R. Physiological and Biochemical Responses of Lettuce to Arbuscular Mycorrhizal Inoculation and Landoltia punctata Extract Applications. Horticulturae 2025, 11, 1310. https://doi.org/10.3390/horticulturae11111310
Patloková K, Ferby V, Slaný V, Oravec M, Tříska J, Mašán V, Burg P, Pokluda R. Physiological and Biochemical Responses of Lettuce to Arbuscular Mycorrhizal Inoculation and Landoltia punctata Extract Applications. Horticulturae. 2025; 11(11):1310. https://doi.org/10.3390/horticulturae11111310
Chicago/Turabian StylePatloková, Kateřina, Vojtěch Ferby, Vlastimil Slaný, Michal Oravec, Jan Tříska, Vladimír Mašán, Patrik Burg, and Robert Pokluda. 2025. "Physiological and Biochemical Responses of Lettuce to Arbuscular Mycorrhizal Inoculation and Landoltia punctata Extract Applications" Horticulturae 11, no. 11: 1310. https://doi.org/10.3390/horticulturae11111310
APA StylePatloková, K., Ferby, V., Slaný, V., Oravec, M., Tříska, J., Mašán, V., Burg, P., & Pokluda, R. (2025). Physiological and Biochemical Responses of Lettuce to Arbuscular Mycorrhizal Inoculation and Landoltia punctata Extract Applications. Horticulturae, 11(11), 1310. https://doi.org/10.3390/horticulturae11111310

