Autonomous UV-C Treatment and Hyperspectral Monitoring: Advanced Approaches for the Management of Dollar Spot in Turfgrass
Abstract
1. Introduction
2. Materials and Methods
2.1. Implementation of an Autonomous Mower Equipped with UV-C Lamps
2.2. Field Trial
2.2.1. Plant and Fungal Material
2.2.2. Experimental Design
2.3. Data Collection
2.3.1. Operative Performance of the Autonomous Mower Equipped with the UV-C Lamp System
2.3.2. Collection of Canopy Spectra
2.4. Analyses of Spectral Signatures
2.5. Calculation of Vegetation Spectral Indices
2.6. Statistical Analysis
3. Results
3.1. Operative Performance of the Autonomous Mower Equipped with UV-C Lamp System
3.2. Analysis of Canopy Hyperspectral Signatures
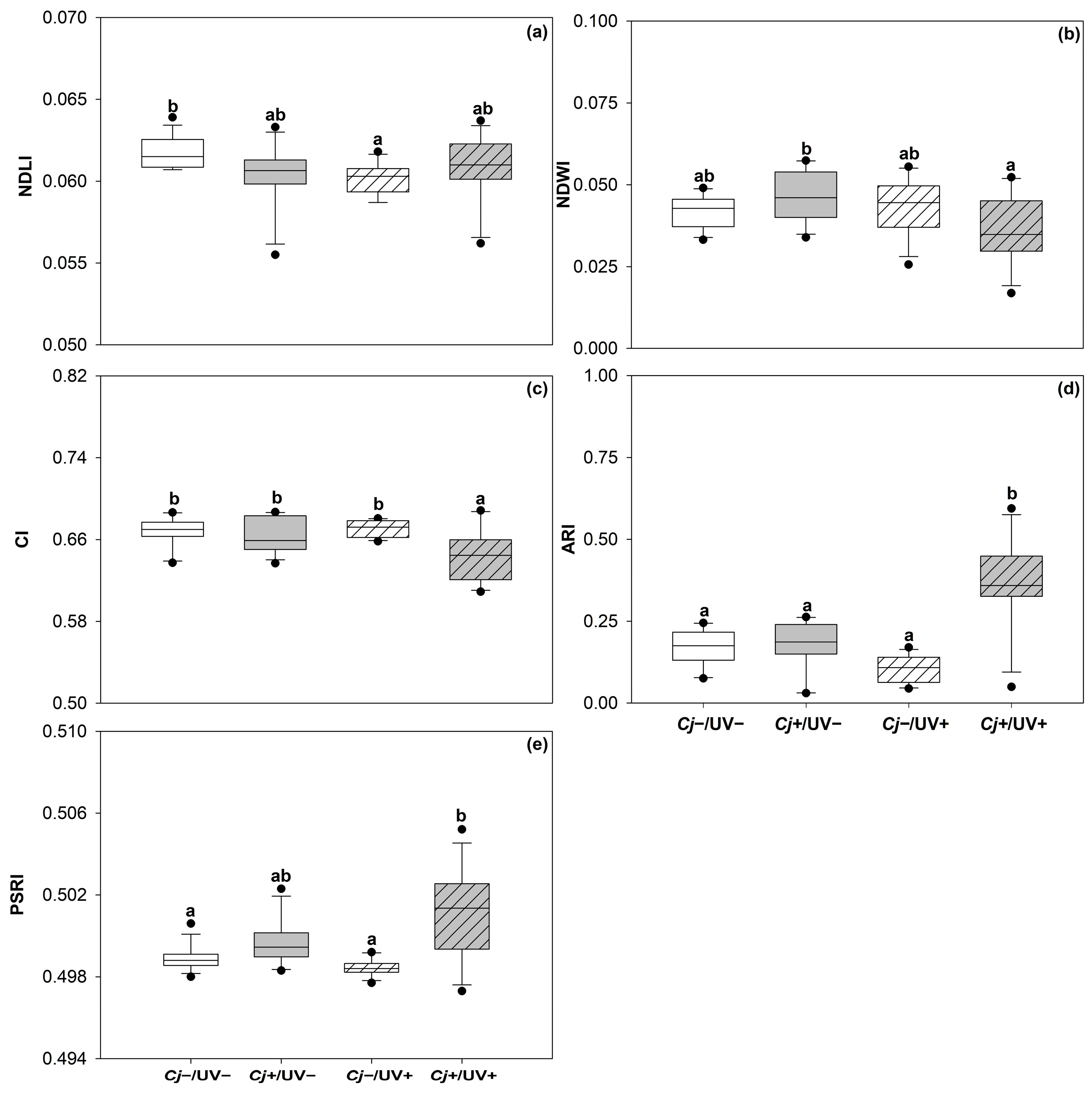
3.3. Variations in Vegetation Spectral Indices
4. Discussion
5. Conclusions
Author Contributions
Funding
Data Availability Statement
Acknowledgments
Conflicts of Interest
References
- Goodman, D.M.; Burpee, L.L. Biological Control of Dollar Spot Disease of Creeping Bentgrass. Phytopathology 1991, 81, 1438–1446. [Google Scholar] [CrossRef]
- Sapkota, S.; Catching, K.E.; Raymer, P.L.; Martinez-Espinoza, A.D.; Bahri, B.A. New Approaches to an Old Problem: Dollar Spot of Turfgrass. Phytopathology 2022, 112, 469–480. [Google Scholar] [CrossRef]
- Mitkowski, N.A.; Colucci, S. The Identification of a Limited Number of Vegetative Compatibility Groups within Isolates of Sclerotinia homoeocarpa Infecting Poa spp. and Agrostis palustris from Temperate Climates. J. Phytopathol. 2006, 154, 500–503. [Google Scholar] [CrossRef]
- Salgado-Salazar, C.; Beirn, L.A.; Ismaiel, A.; Boehm, M.J.; Carbone, I.; Putman, A.I.; Tredway, L.P.; Clarke, B.B.; Crouch, J.A. Clarireedia: A New Fungal Genus Comprising Four Pathogenic Species Responsible for Dollar Spot Disease of Turfgrass. Fungal Biol. 2018, 122, 761–773. [Google Scholar] [CrossRef] [PubMed]
- Bennett, F.T. Dollar Spot Disease of Turf and Its Causal Organism, Sclerotinia homoeocarpa n. sp. Ann. Appl. Biol. 1937, 24, 236–257. [Google Scholar] [CrossRef]
- Walsh, B.; Ikeda, S.S.; Boland, G.J. Biology and Management of Dollar Spot (Sclerotinia homoeocarpa); an Important Disease of Turfgrass. HortScience 1999, 34, 13–21. [Google Scholar] [CrossRef]
- Tomaso-Peterson, M. A Demonstration Trial of Biofungicides with Efficacy for Controlling Dollar Spot in Turfgrasses. Mississippi State Univ. 2006, 23, 1–5. [Google Scholar]
- Torsiello, J. Million Dollar Question. Golf Course Industry. 2015. Available online: https://www.golfcourseindustry.com/article/gci0315-dollar-spot-disease-control/ (accessed on 6 September 2025).
- Bekken, M.A.H.; Soldat, D.J.; Koch, P.L.; Schimenti, C.S.; Rossi, F.S.; Aamlid, T.S.; Hesselsøe, K.J.; Peterson, T.K.; Straw, C.M.; Unruh, J.B.; et al. Analyzing Golf Course Pesticide Risk across the US and Europe—The Importance of Regulatory Environment. Sci. Total Environ. 2023, 874, 162498. [Google Scholar] [CrossRef]
- Vargas, J.M. Management of Turfgrass Diseases, 3rd ed.; John Wiley & Sons: Hoboken, NJ, USA, 2005. [Google Scholar]
- Steketee, C.J.; Martinez-Espinoza, A.D.; Harris-Shultz, K.R.; Henry, G.M.; Raymer, P.L. Evaluation of Seashore Paspalum Germplasm for Resistance to Dollar Spot. Int. Turfgrass Soc. Res. J. 2017, 13, 175–184. [Google Scholar] [CrossRef]
- Sang, H.; Hulvey, J.; Popko, J.T.; Lopes, J.; Swaminathan, A.; Chang, T.; Jung, G. A Pleiotropic Drug Resistance Transporter Is Involved in Reduced Sensitivity to Multiple Fungicide Classes in Sclerotinia homoeocarpa (F.T. Bennett). Mol. Plant Pathol. 2015, 16, 251–261. [Google Scholar] [CrossRef]
- Hu, J.; Yang, J.; Li, J.; Ma, Z.; Yao, W.; Ren, H.; Zhang, F.; Yang, G.; Sun, X.; Xiao, Y. Sensitivity of Sclerotinia homoeocarpa from Turfgrass to Thiophanate-Methyl, Iprodione and Propiconazole. Chin. J. Pestic. Sci. 2017, 19, 694–700. [Google Scholar]
- Popko, J.T.; Sang, H.; Lee, J.; Yamada, T.; Hoshino, Y.; Jung, G. Resistance of Sclerotinia homoeocarpa Field Isolates to Succinate Dehydrogenase Inhibitor Fungicides. Plant Dis. 2018, 102, 2625–2631. [Google Scholar] [CrossRef]
- Urban, L.; Charles, F.; De Miranda, M.R.A.; Aarrouf, J. Understanding the Physiological Effects of UV-C Light and Exploiting Its Agronomic Potential before and after Harvest. Plant Physiol. Biochem. 2016, 105, 1–11. [Google Scholar] [CrossRef] [PubMed]
- De Oliveira, I.R.; Crizel, G.R.; Severo, J.; Renard, C.M.G.C.; Chaves, F.C.; Rombaldi, C.V. Preharvest UV-C Radiation Influences Physiological, Biochemical, and Transcriptional Changes in Strawberry cv. Camarosa. Plant Physiol. Biochem. 2016, 108, 391–399. [Google Scholar] [CrossRef] [PubMed]
- Severo, J.; De Oliveira, I.R.; Bott, R.; Le Bourvellec, C.; Renard, C.M.G.C.; Page, D.; Chaves, F.C.; Rombaldi, C.V. Preharvest UV-C Radiation Impacts Strawberry Metabolite Content and Volatile Organic Compound Production. LWT—Food Sci. Technol. 2017, 85, 390–393. [Google Scholar] [CrossRef]
- Xu, Y.; Charles, M.T.; Luo, Z.; Mimee, B.; Tong, Z.; Véronneau, P.; Roussel, D.; Rolland, D. Ultraviolet-C Priming of Strawberry Leaves against Subsequent Mycosphaerella fragariae Infection Involves the Action of Reactive Oxygen Species, Plant Hormones, and Terpenes. Plant Cell Environ. 2019, 42, 815–831. [Google Scholar] [CrossRef]
- Zhang, W.; Jiang, H.; Cao, J.; Jiang, W. UV-C Treatment Controls Brown Rot in Postharvest Nectarine by Regulating ROS Metabolism and Anthocyanin Synthesis. Postharvest Biol. Technol. 2021, 180, 111613. [Google Scholar] [CrossRef]
- Han, S.; Cai, H.; Yu, H.; Yu, Z.; Wu, Y. Targeted Metabolomic and Transcriptomic Reveal the Regulation of UV–C on Phenolics Biosynthesis of Peach Fruit during Storage. LWT 2023, 190, 115573. [Google Scholar] [CrossRef]
- Vanhaelewyn, L.; Van Der Straeten, D.; De Coninck, B.; Vandenbussche, F. Ultraviolet Radiation from a Plant Perspective: The Plant-Microorganism Context. Front. Plant Sci. 2020, 11, 597642. [Google Scholar] [CrossRef]
- Prämaßing, W. Effects of UV-C Radiation and Suståne Slow-Release Fertilzer on Turfgrass Diseases on Golf Greens. In Proceedings of the Symposium Sustainable Golf Courses: Integrated Turf Management, Sigtuna, Sweden, 18–19 September 2023. [Google Scholar]
- Saga Robotics Grapevine—Thorvald. Available online: https://sagarobotics.com/crops/grapevine/ (accessed on 15 November 2024).
- Gadoury, D.M.; Sapkota, S.; Cadle-Davidson, L.; Underhill, A.; McCann, T.; Gold, K.M.; Gambhir, N.; Combs, D.B.; Nyrop, J.P. Use of Germicidal UV Light to Suppress Grapevine Diseases and Arthropod Pests. BIO Web Conf. 2022, 50, 01002. [Google Scholar] [CrossRef]
- Grossi, N.; Fontanelli, M.; Garramone, E.; Peruzzi, A.; Raffaelli, M.; Pirchio, M.; Martelloni, L.; Frasconi, C.; Caturegli, L.; Gaetani, M.; et al. Autonomous Mower Saves Energy and Improves Quality of Tall Fescue Lawn. HortTechnology 2016, 26, 825–830. [Google Scholar] [CrossRef]
- Fontanelli, M.; Carlomagno, P.; Gagliardi, L.; Frasconi, C.; Raffaelli, M.; Peruzzi, A. Measuring Trampling in Autonomous Mowers with Systematic Trajectories: Comparison with the Ordinary Random Patterns. In Proceedings of the 2024 IEEE International Conference on Metrology for Agriculture and Forestry (MetroAgriFor), Padova, Italy, 29–31 October 2024. [Google Scholar]
- SGL. Sustainable Fungal Disease Treatment UVC180. Available online: https://sglsystem.com/products/sustainable-grass-disease-management/the-uvc180/ (accessed on 10 April 2024).
- UVBOOSTING. Helios Gazon: Technology for an Enhanced Turfgrass Protection. Available online: https://uvboosting.com/helios-gazon/?lang=en (accessed on 15 April 2025).
- Urban, L.; Chabane Sari, D.; Orsal, B.; Lopes, M.; Miranda, R.; Aarrouf, J. UV-C Light and Pulsed Light as Alternatives to Chemical and Biological Elicitors for Stimulating Plant Natural Defenses against Fungal Diseases. Sci. Hortic. 2018, 235, 452–459. [Google Scholar] [CrossRef]
- Urban, L.; Aarrouf, J.; Chabane Sari, D.; Orsal, B. Method for Stimulating the Resistance of Plants to Biotic Stress by UV Radiation Exposure. U.S. Patent 10,806,096, 20 October 2020. [Google Scholar]
- Aarrouf, J.; Urban, L. Flashes of UV-C Light: An Innovative Method for Stimulating Plant Defences. PLoS ONE 2020, 15, e0235918. [Google Scholar] [CrossRef] [PubMed]
- Mahlein, A.-K.; Kuska, M.T.; Behmann, J.; Polder, G.; Walter, A. Hyperspectral Sensors and Imaging Technologies in Phytopathology: State of the Art. Annu. Rev. Phytopathol. 2018, 56, 535–558. [Google Scholar] [CrossRef] [PubMed]
- Cotrozzi, L. Spectroscopic Detection of Forest Diseases: A Review (1970–2020). J. For. Res. 2022, 33, 21–38. [Google Scholar] [CrossRef]
- Ustin, S.L.; Jacquemoud, S. How the Optical Properties of Leaves Modify the Absorption and Scattering of Energy and Enhance Leaf Functionality. In Remote Sensing of Plant Biodiversity; Cavender-Bares, J., Gamon, J.A., Townsend, P.A., Eds.; SpringerOpen: Heidelberg, Germany, 2020; pp. 349–384. [Google Scholar]
- Cotrozzi, L.; Couture, J.J. Hyperspectral Assessment of Plant Responses to Multi-Stress Environments: Prospects for Managing Protected Agrosystems. Plants People Planet 2020, 2, 244–258. [Google Scholar] [CrossRef]
- Wang, Z.; Féret, J.-B.; Liu, N.; Sun, Z.; Yang, L.; Geng, S.; Zhang, H.; Chlus, A.; Kruger, E.L.; Townsend, P.A. Generality of Leaf Spectroscopic Models for Predicting Key Foliar Functional Traits across Continents: A Comparison between Physically- and Empirically-Based Approaches. Remote Sens. Environ. 2023, 293, 113614. [Google Scholar] [CrossRef]
- Santin, M.; Caturegli, L.; Gagliardi, L.; Luglio, S.M.; Magni, S.; Pellegrini, E.; Pisuttu, C.; Raffaelli, M.; Volterrani, M.; Incrocci, L. Innovative Techniques for Managing Dollar Spot in Warm- and Cool-Season Turfgrasses: The Case of UV-B and UV-C Irradiations. Agriculture 2025, 15, 784. [Google Scholar] [CrossRef]
- ISPRA—Istituto Superiore per la Protezione e la Ricerca Ambientale Rapporti 343/2021. Available online: https://www.isprambiente.gov.it/files2021/pubblicazioni/rapporti/r343-2021.pdf (accessed on 6 September 2025).
- Valøen, L.O.; Shoesmith, M.I. The Effect of PHEV and HEV Duty Cycles on Battery and Battery Pack Performance. In Proceedings of the PHEV 2007 Conference: Where the Grid Meets the Road, Winnipeg, MB, Canada, 1 November 2007; p. 9. [Google Scholar]
- May, G.J.; Davidson, A.; Monahov, B. Lead Batteries for Utility Energy Storage: A Review. J. Energy Storage 2018, 15, 145–157. [Google Scholar] [CrossRef]
- Anderson, M.J. A New Method for Non-parametric Multivariate Analysis of Variance. Austral Ecol. 2001, 26, 32–46. [Google Scholar]
- Dixon, P. VEGAN, a Package of R Functions for Community Ecology. J. Veg. Sci. 2003, 14, 927–930. [Google Scholar] [CrossRef]
- Chevallier, S.; Bertrand, D.; Kohler, A.; Courcoux, P. Application of PLS-DA in Multivariate Image Analysis. J. Chemom. 2006, 20, 221–229. [Google Scholar] [CrossRef]
- Kuhn, M. Building Predictive Models in R Using the Caret Package. J. Stat. Soft. 2008, 28, 1–26. [Google Scholar] [CrossRef]
- Gamon, J.A.; Field, C.B.; Goulden, M.L.; Griffin, K.L.; Hartley, A.E.; Joel, G.; Penuelas, J.; Valentini, R. Relationships Between NDVI, Canopy Structure, and Photosynthesis in Three Californian Vegetation Types. Ecol. Appl. 1995, 5, 28–41. [Google Scholar] [CrossRef]
- Gao, B. NDWI—A Normalized Difference Water Index for Remote Sensing of Vegetation Liquid Water from Space. Remote Sens. Environ. 1996, 58, 257–266. [Google Scholar] [CrossRef]
- Gitelson, A.; Merzlyak, M.N. Quantitative Estimation of Chlorophyll-a Using Reflectance Spectra: Experiments with Autumn Chestnut and Maple Leaves. J. Photochem. Photobiol. B Biol. 1994, 22, 247–252. [Google Scholar] [CrossRef]
- Gitelson, A.A.; Kaufman, Y.J.; Stark, R.; Rundquist, D. Novel Algorithms for Remote Estimation of Vegetation Fraction. Remote Sens. Environ. 2002, 80, 76–87. [Google Scholar] [CrossRef]
- Gitelson, A.A.; Merzlyak, M.N.; Chivkunova, O.B. Optical Properties and Nondestructive Estimation of Anthocyanin Content in Plant Leaves. Photochem. Photobiol. 2001, 74, 38–45. [Google Scholar] [CrossRef]
- Merzlyak, M.N.; Gitelson, A.A.; Chivkunova, O.B.; Rakitin, V.Y. Non-Destructive Optical Detection of Pigment Changes during Leaf Senescence and Fruit Ripening. Physiol. Plant. 1999, 106, 135–141. [Google Scholar] [CrossRef]
- Serrano, L.; Peñuelas, J.; Ustin, S.L. Remote Sensing of Nitrogen and Lignin in Mediterranean Vegetation from AVIRIS Data: Decomposing Biochemical from Structural Signals. Remote Sens. Environ. 2002, 81, 355–364. [Google Scholar] [CrossRef]
- Winkler, J.; Pasternak, G.; Sas, W.; Hurajová, E.; Koda, E.; Vaverková, M.D. Nature-Based Management of Lawns—Enhancing Biodiversity in Urban Green Infrastructure. Appl. Sci. 2024, 14, 1705. [Google Scholar] [CrossRef]
- Janisiewicz, W.J.; Takeda, F.; Nichols, B.; Glenn, D.M.; Jurick Ii, W.M.; Camp, M.J. Use of Low-Dose UV-C Irradiation to Control Powdery Mildew Caused by Podosphaera Aphanis on Strawberry Plants. Can. J. Plant Pathol. 2016, 38, 430–439. [Google Scholar] [CrossRef]
- Cote, S.; Rodoni, L.; Miceli, E.; Concellón, A.; Civello, P.M.; Vicente, A.R. Effect of Radiation Intensity on the Outcome of Postharvest UV-C Treatments. Postharvest Biol. Technol. 2013, 83, 83–89. [Google Scholar] [CrossRef]
- Forges, M.; Bardin, M.; Urban, L.; Aarrouf, J.; Charles, F. Impact of UV-C Radiation Applied during Plant Growth on Pre- and Postharvest Disease Sensitivity and Fruit Quality of Strawberry. Plant Dis. 2020, 104, 3239–3247. [Google Scholar] [CrossRef]
- Marquenie, D.; Lammertyn, J.; Geeraerd, A.H.; Soontjens, C.; Van Impe, J.F.; Nicolaı¨, B.M.; Michiels, C.W. Inactivation of Conidia of Botrytis Cinerea and Monilinia Fructigena Using UV-C and Heat Treatment. Int. J. Food Microbiol. 2002, 74, 27–35. [Google Scholar] [CrossRef]
- Scolaro, E.; Beligoj, M.; Estevez, M.P.; Alberti, L.; Renzi, M.; Mattetti, M. Electrification of Agricultural Machinery: A Review. IEEE Access 2021, 9, 164520–164541. [Google Scholar] [CrossRef]
- Luglio, S.M.; Frasconi, C.; Gagliardi, L.; Raffaelli, M.; Peruzzi, A.; Volterrani, M.; Magni, S.; Fontanelli, M. Analysis of Football Pitch Performances Based on Different Cutting Systems: From Visual Evaluation to YOLOv8. Agronomy 2024, 14, 2645. [Google Scholar] [CrossRef]
- Gagliardi, L.; Sportelli, M.; Frasconi, C.; Pirchio, M.; Peruzzi, A.; Raffaelli, M.; Fontanelli, M. Evaluation of Autonomous Mowers Weed Control Effect in Globe Artichoke Field. Appl. Sci. 2021, 11, 11658. [Google Scholar] [CrossRef]
- Ledermann, L.; Daouda, S.; Gouttesoulard, C.; Aarrouf, J.; Urban, L. Flashes of UV-C Light Stimulate Defenses of Vitis vinifera L. ‘Chardonnay’ Against Erysiphe necator in Greenhouse and Vineyard Conditions. Plant Dis. 2021, 105, 2106–2113. [Google Scholar] [CrossRef]
- Badzmierowski, M.J.; McCall, D.S.; Evanylo, G. Using Hyperspectral and Multispectral Indices to Detect Water Stress for an Urban Turfgrass System. Agronomy 2019, 9, 439. [Google Scholar] [CrossRef]
- Cushnahan, T.A.; Grafton, M.C.E.; Pearson, D.; Ramilan, T. Hyperspectral Data Can Differentiate Species and Cultivars of C3 and C4 Turf Despite Measurable Diurnal Variation. Remote Sens. 2024, 16, 3142. [Google Scholar] [CrossRef]
- Kitchin, E.C.A.; Sneed, H.J.; McCall, D.S. Leveraging Deep Learning for Dollar Spot Detection and Quantification in Turfgrass. Crop Sci. 2025, 65, e21329. [Google Scholar] [CrossRef]
- Horvath, B.J.; Vargas, J.M. Analysis of Dollar Spot Disease Severity Using Digital Image Analysis. Int. Turfgrass Soc. Res. J. 2005, 10, 196–201. [Google Scholar]
- Loconsole, D.; Santamaria, P. UV Lighting in Horticulture: A Sustainable Tool for Improving Production Quality and Food Safety. Horticulturae 2021, 7, 9. [Google Scholar] [CrossRef]
- Vàsquez, H.; Ouhibi, C.; Forges, M.; Lizzi, Y.; Urban, L.; Aarrouf, J. Hormetic Doses of UV-C Light Decrease the Susceptibility of Tomato Plants to Botrytis Cinerea Infection. J. Phytopathol. 2020, 168, 524–532. [Google Scholar] [CrossRef]
- Nicolas, O.; Charles, M.; Chabot, D.; Aarrouf, J.; Jenni, S.; Toussaint, V.; Beaulieu, C. Preliminary Evaluation of the Impact of Preharvest UV-C on Lettuce: Potential for the Control of Xanthomonas campestris. Acta Hortic. 2020, 1271, 387–394. [Google Scholar] [CrossRef]
- Pons, C.; Mas-Normand, L.; Chevallier, O.; Aarrouf, J.; Urban, L.; Lugan, R. Priming for Drought Resistance: UV-C Flashes Triggered Pipecolate Accumulation and Dehydration Avoidance in Capsicum chinense Jacq. but Induced No Growth or Metabolic Costs. Environ. Exp. Bot. 2024, 226, 105873. [Google Scholar] [CrossRef]
- Mahlein, A.-K.; Oerke, E.-C.; Steiner, U.; Dehne, H.-W. Recent Advances in Sensing Plant Diseases for Precision Crop Protection. Eur. J. Plant Pathol. 2012, 133, 197–209. [Google Scholar] [CrossRef]
- Bauriegel, E.; Herppich, W.B. Hyperspectral and Chlorophyll Fluorescence Imaging for Early Detection of Plant Diseases, with Special Reference to Fusarium spec. Infections on Wheat. Agronomy 2014, 4, 32–57. [Google Scholar] [CrossRef]
- Aarrouf, J.; Hdech, D.B.; Diot, A.; Bornard, I.; Félicie, L.; Urban, L. Flashes of UV-C Light Are Perceived by UVR8, the Photoreceptor of UV-B Light. J. Plant Sci. Phytopathol. 2022, 6, 151–153. [Google Scholar] [CrossRef]




| Effect | df | p |
|---|---|---|
| Cj | 1 | *** |
| UV-C | 1 | ns |
| Cj × UV-C | 1 | ** |
| Experimental Groups | C−/U− | Cj+/UV− | Cj−/UV+ | Cj+/UV+ |
|---|---|---|---|---|
| Cj−/UV− | 0.66 | 0.08 | 0.24 | 0.02 |
| Cj+/UV− | 0.09 | 0.76 | 0.09 | 0.06 |
| Cj−/UV+ | 0.16 | 0.20 | 0.64 | 0.00 |
| Cj+/UV+ | 0.08 | 0.09 | 0.00 | 0.83 |
| Index | Cj (df: 1) | UV-C (df: 1) | Cj × UV-C (df: 1) |
|---|---|---|---|
| NDVI | 8.37 ** | 0.44 ns | 0.26 ns |
| NDLI | 0.21 ns | 2.96 ns | 5.06 ** |
| NDWI | 0.40 ns | 3.94 ns | 6.02 ** |
| CI | 9.80 ** | 2.81 ns | 4.86 ** |
| ARI | 21.78 *** | 6.21 * | 24.51 *** |
| PSRI | 22.47 *** | 1.78 ns | 44.60 ** |
| NDNI | 14.53 *** | 1.26 ns | 0.53 ns |
| CRI | 4.43 * | 0.10 ns | 2.48 ns |
Disclaimer/Publisher’s Note: The statements, opinions and data contained in all publications are solely those of the individual author(s) and contributor(s) and not of MDPI and/or the editor(s). MDPI and/or the editor(s) disclaim responsibility for any injury to people or property resulting from any ideas, methods, instructions or products referred to in the content. |
© 2025 by the authors. Licensee MDPI, Basel, Switzerland. This article is an open access article distributed under the terms and conditions of the Creative Commons Attribution (CC BY) license (https://creativecommons.org/licenses/by/4.0/).
Share and Cite
Pippi, L.; Gagliardi, L.; Caturegli, L.; Cotrozzi, L.; Luglio, S.M.; Magni, S.; Pellegrini, E.; Pisuttu, C.; Raffaelli, M.; Santin, M.; et al. Autonomous UV-C Treatment and Hyperspectral Monitoring: Advanced Approaches for the Management of Dollar Spot in Turfgrass. Horticulturae 2025, 11, 1257. https://doi.org/10.3390/horticulturae11101257
Pippi L, Gagliardi L, Caturegli L, Cotrozzi L, Luglio SM, Magni S, Pellegrini E, Pisuttu C, Raffaelli M, Santin M, et al. Autonomous UV-C Treatment and Hyperspectral Monitoring: Advanced Approaches for the Management of Dollar Spot in Turfgrass. Horticulturae. 2025; 11(10):1257. https://doi.org/10.3390/horticulturae11101257
Chicago/Turabian StylePippi, Lorenzo, Lorenzo Gagliardi, Lisa Caturegli, Lorenzo Cotrozzi, Sofia Matilde Luglio, Simone Magni, Elisa Pellegrini, Claudia Pisuttu, Michele Raffaelli, Marco Santin, and et al. 2025. "Autonomous UV-C Treatment and Hyperspectral Monitoring: Advanced Approaches for the Management of Dollar Spot in Turfgrass" Horticulturae 11, no. 10: 1257. https://doi.org/10.3390/horticulturae11101257
APA StylePippi, L., Gagliardi, L., Caturegli, L., Cotrozzi, L., Luglio, S. M., Magni, S., Pellegrini, E., Pisuttu, C., Raffaelli, M., Santin, M., Fontanelli, M., Federighi, T., Scarpelli, C., Volterrani, M., & Incrocci, L. (2025). Autonomous UV-C Treatment and Hyperspectral Monitoring: Advanced Approaches for the Management of Dollar Spot in Turfgrass. Horticulturae, 11(10), 1257. https://doi.org/10.3390/horticulturae11101257

