Modelling the Growth of Listeria monocytogenes on Fresh-Cut Cucumbers at Various Storage Temperatures
Abstract
1. Introduction
2. Materials and Methods
2.1. Bacterial Culture and Inoculation Preparation
2.2. Fresh-Cut Cucumber Preparation
2.3. Physical and Chemical Analyses
2.4. Inoculation and Incubation
2.5. Determination of L. monocytogenes
2.6. Model Validation
2.7. Statistical Analysis
3. Results
3.1. Physicochemical Characteristics of the Fresh-Cut Cucumbers
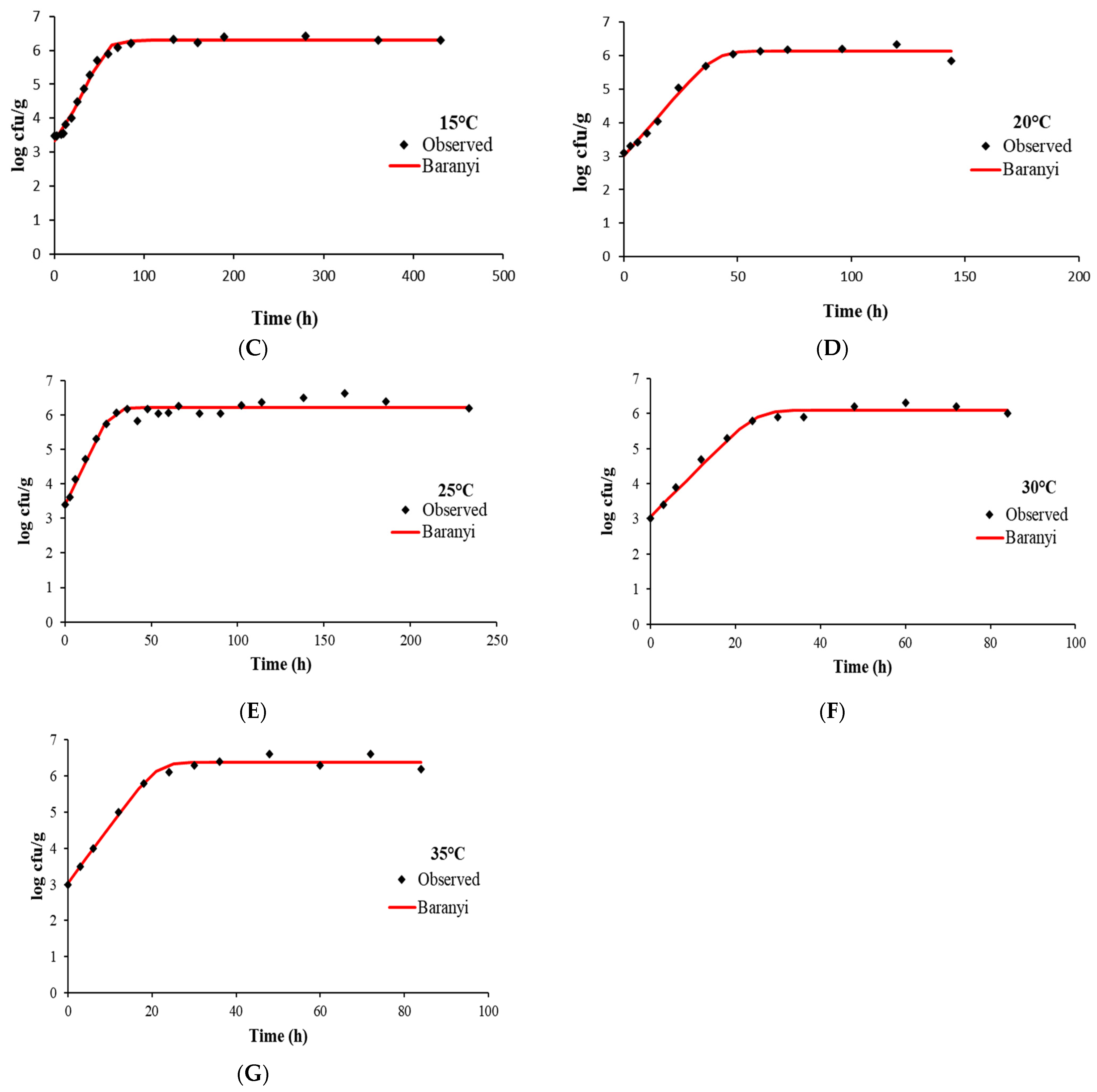
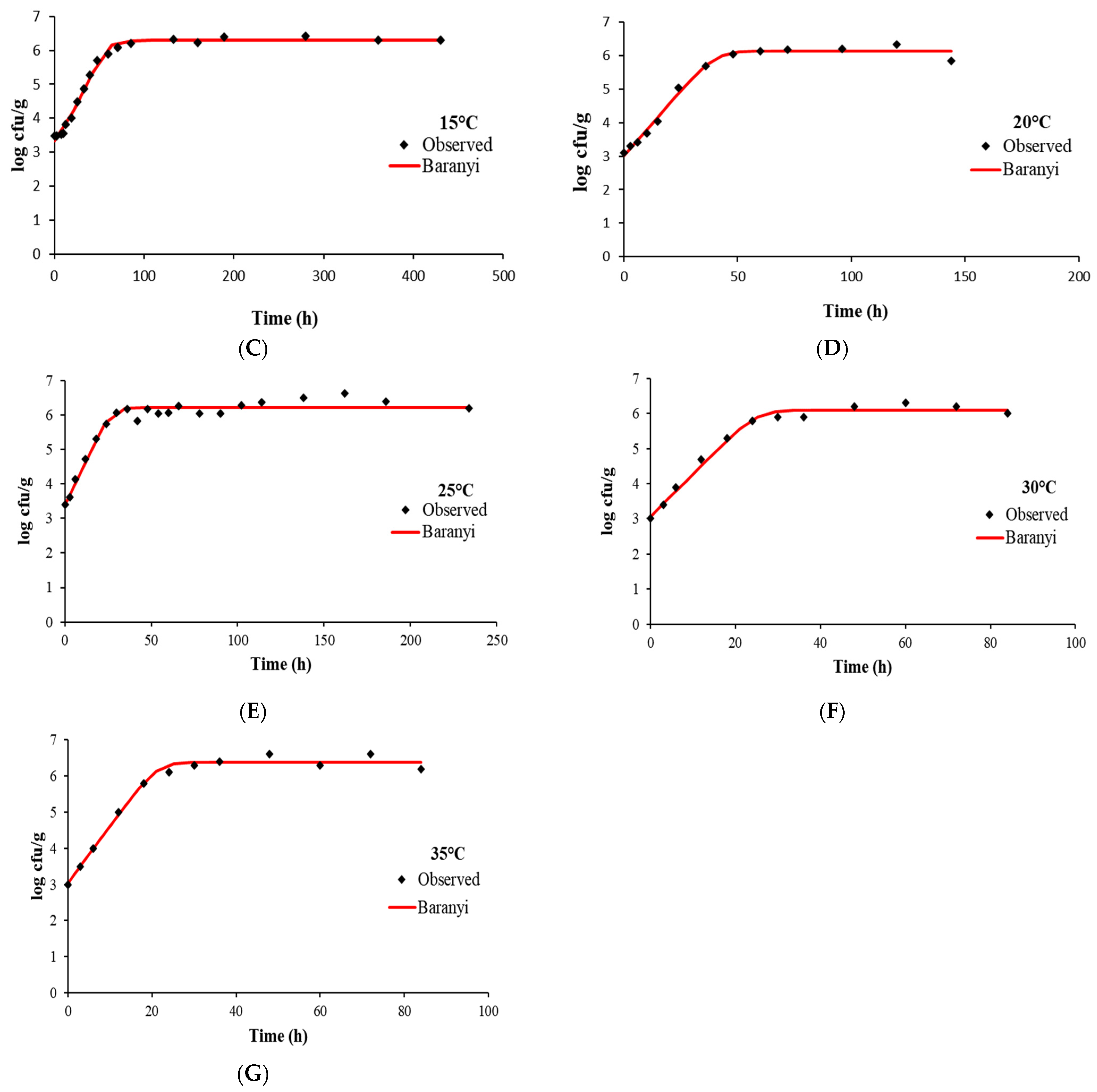
3.2. Primary Model of L. monocytogenes Infection on Fresh-Cut Cucumbers
3.3. The Secondary Models of L. monocytogenes on Fresh-Cut Cucumbers
4. Discussion
5. Conclusions
Author Contributions
Funding
Data Availability Statement
Conflicts of Interest
References
- Salehi, B.; Quispe, C.; Sharifi-Rad, J.; Giri, L.; Suyal, R.; Jugran, A.K.; Zucca, P.; Rescigno, A.; Peddio, S.; Bobiş, O.; et al. Antioxidant potential of family Cucurbitaceae with special emphasis on Cucurbita genus: A key to alleviate oxidative stress-mediated disorders. Phytother. Res. 2021, 35, 3533–3557. [Google Scholar] [CrossRef] [PubMed]
- Tan, J.; Lin, L.; Luo, H.; Zhou, S.; Zhu, Y.; Wang, X.; Miao, L.; Wang, H.; Zhang, P. Recent progress in the regeneration and genetic transformation system of cucumber. Appl. Sci. 2022, 12, 7180. [Google Scholar] [CrossRef]
- Zhang, X.; Ma, W.; Vatsa, P.; Jiang, S. Short supply chain, technical efficiency, and technological change: Insights from cucumber production. Agribusiness 2023, 39, 371–386. [Google Scholar] [CrossRef]
- Guan, Y.; Hu, W.; Wang, L.; Yang, B. Different cutting methods affect the quality of fresh-cut cucumbers by regulating ROS metabolism. Horticulturae 2023, 9, 514. [Google Scholar] [CrossRef]
- Gelaye, Y. Cucumber (Cucumis sativus) production in Ethiopia: Trends, prospects and challenges: A review. Cogent Food Agric. 2023, 9, 2221103. [Google Scholar] [CrossRef]
- Badrinath, V.J.; Megan, D.; Paul, P.V. Bacteriophage-mediated control of pre- and post-harvest produce quality and safety. LWT-Food Sci. Technol. 2022, 169, 113912. [Google Scholar]
- Thomas, G.A.; Gil, T.P.; Müller, C.T.; Rogers, H.J.; Berger, C.N. From field to plate: How do bacterial enteric pathogens interact with ready-to-eat fruit and vegetables, causing disease outbreaks? Food Microbiol. 2024, 117, 104389. [Google Scholar] [CrossRef]
- Townsend, A.; Strawn, L.K.; Chapman, B.J.; Dunn, L.L. A systematic review of Listeria Species and Listeria monocytogenes prevalence, persistence, and diversity throughout the fresh produce supply chain. Foods 2021, 10, 1427. [Google Scholar] [CrossRef] [PubMed]
- Gaul, L.K.; Farag, N.H.; Shim, T.; Kingsley, M.A.; Silk, B.J.; Hyytia-Trees, E.H. Hospital-acquired Listeriosis outbreak caused by contaminated diced celery—Texas, 2010. Clin. Infect. Dis 2013, 56, 20–26. [Google Scholar] [CrossRef]
- Tuffs, A. Outbreak of E. coli in Germany is linked to cucumbers from Spain. Br. Med. J. 2011, 342, d3394. [Google Scholar] [CrossRef]
- Moreira, J.; Mera, E.; Singh, C.V.; King, J.M.; Gentimis, T.; Adhikari, A. Effect of storage temperature and produce type on the survival or growth of Listeria monocytogenes on peeled rinds and fresh-cut produce. Front. Microbiol. 2023, 14, 1151819. [Google Scholar] [CrossRef]
- Huang, J.; Luo, Y.; Zhou, B.; Zheng, J.; Nou, X. Growth and survival of Salmonella enterica and Listeria monocytogenes on fresh-cut produce and their juice extracts: Impacts and interactions of food matrices and temperature abuse conditions. Food Control 2019, 100, 300–304. [Google Scholar] [CrossRef]
- Alegbeleye, O.; Sant’Ana, A.S. Survival and growth behaviour of Listeria monocytogenes in ready-to-eat vegetable salads. Food Control 2022, 138, 109023. [Google Scholar] [CrossRef]
- Luciano, W.A.; Griffin, S.; de Souza Pedrosa, G.T.; Alvarenga, V.; Valdramidis, V.; Magnani, M. Growth behavior of low populations of Listeria monocytogenes on fresh-cut mango, melon and papaya under different storage temperatures. Food Microbiol. 2021, 102, 103930. [Google Scholar] [CrossRef] [PubMed]
- Salazar, J.K.; Fay, M.; Qi, Y.; Liggans, G. Growth Kinetics of Listeria monocytogenes on cut red cabbage. J. Food Prot. 2022, 85, 1128–1132. [Google Scholar] [CrossRef] [PubMed]
- Brierley, G.L.; Parreira, V.R.; Farber, J.M.; Pagotto, F. Growth of Listeria monocytogenes inoculated on packaged fresh-cut turnips stored at 4 and 10 °C. J. Food Prot. 2020, 83, 1296–1301. [Google Scholar] [CrossRef] [PubMed]
- Gonzales-Barron, U.; Cadavez, V.; De Oliveira Mota, J.; Guillier, L.; Sanaa, M. A critical review of risk assessment models for Listeria monocytogenes in produce. Foods 2024, 13, 1111. [Google Scholar] [CrossRef] [PubMed]
- Pang, H.; Pouillot, R.; Van Doren, J.M. Quantitative risk assessment-epidemic curve prediction model for leafy green outbreak investigation. Risk Anal. Off. Publ. Soc. Risk Anal. 2022, 43, 1713–1732. [Google Scholar] [CrossRef]
- Possas, A.; Pérez-Rodríguez, F. Detection, control, risk assessment, and prevention of foodborne microorganisms. Foods 2024, 13, 1551. [Google Scholar] [CrossRef]
- Buchanan, R.L.; Phillips, J.G. Response surface model for predicting the effects of temperature, pH, sodium chloride content, sodium nitrite concentration and atmosphere on the growth of Listeria monocytogenes. J. Food Prot. 1990, 53, 370–376. [Google Scholar] [CrossRef]
- Buchanan, R.L.; Golden, M.H.; Whiting, R.C.; Philips, J.G.; Smith, J.L. Non-thermal inactivation models for Listeria monocytogenes. J. Food Sci. 1994, 59, 179–188. [Google Scholar] [CrossRef]
- Baranyi, J.; Roberts, T.A. A dynamic approach to predicting bacterial growth in food. Int. J. Food Microbiol. 1994, 23, 277–294. [Google Scholar] [CrossRef] [PubMed]
- You, X.; Yang, D.; Qu, Y.; Guo, M.; Zhang, Y.; Zhao, X.; Suo, Y. Modeling growth kinetics of Escherichia coli and background microflora in hydroponically grown lettuce. Foods 2024, 13, 1359. [Google Scholar] [CrossRef] [PubMed]
- Kaur, A.; Yemmireddy, V. Effect of different pre-growth temperatures on the survival kinetics of Salmonella enterica and Listeria monocytogenes in fresh-cut salad during refrigerated storage. Foods 2023, 12, 4287. [Google Scholar] [CrossRef] [PubMed]
- Saha, J.; Topalcengiz, Z.; Sharma, V.; Friedrich, L.M.; Danyluk, M.D. Fate and growth kinetics of Salmonella and Listeria monocytogenes on mangoes during storage. J. Food Prot. 2023, 86, 100151. [Google Scholar] [CrossRef] [PubMed]
- GB/T 12456-2008; Determination of Total Acid in Foods. General Administration of Quality Supervision, Inspection and Quarantine of the People’s Republic of China: Beijing, China, 2008.
- Ratkowsky, D.A.; Olley, J.; McMeekin, T.A.; Ball, A. Relationship between temperature and growth rate of bacterial cultures. J. Bacteriol. 1982, 149, 1–5. [Google Scholar] [CrossRef]
- Ross, T. Indices for performance evaluation of predictive models in food microbiology. J. Appl. Bacteriol. 1996, 81, 501–508. [Google Scholar] [PubMed]
- Wiktorczyk-Kapischke, N.; Skowron, K.; Wałecka-Zacharska, E. Genomic and pathogenicity islands of Listeria monocytogenes—Overview of selected aspects. Front. Mol. Biosci. 2023, 10, 1161486. [Google Scholar] [CrossRef]
- Sant’Ana, A.S.; Franco, B.D.G.M.; Schaffner, D.W. Modeling the growth rate and lag time of different strains of Salmonella enterica and Listeria monocytogenes in ready-to-eat lettuce. Food Microbiol. 2012, 30, 267–273. [Google Scholar] [CrossRef]
- Bardsley, C.A.; Truitt, L.N.; Pfuntner, R.C.; Danyluk, M.D.; Rideout, S.L.; Strawn, L.K. Growth and survival of Listeria monocytogenes and Salmonella on whole and sliced cucumbers. J. Food Prot. 2019, 82, 301–309. [Google Scholar] [CrossRef]
- Oliveira, M.; Viñas, I.; Anguera, M.; Abadias, M. Fate of Listeria monocytogenes and Escherichia coli O157:H7 in the presence of natural background microbiota on conventional and organic lettuce. Food Control 2012, 25, 678–683. [Google Scholar] [CrossRef]
- Lokerse, R.F.A.; Maslowska-Corker, K.A.; van de Wardt, L.C.; Wijtzes, T. Growth capacity of Listeria monocytogenes in ingredients of ready-to-eat salads. Food Control 2016, 60, 338–345. [Google Scholar] [CrossRef]
- Hong, C.H.; Sim, W.C.; Chun, S.J.; Kim, Y.S.; Oh, D.H.; Ha, S.D.; Choi, W.S.; Bahk, G.J. Predictive growth model of native isolated Listeria monocytogenes on raw pork as a function of temperature and time. Korean J. Food Sci. Technol. 2005, 37, 850–855. [Google Scholar]
- Zhang, Y.; Lin, D.; Yan, R.; Xu, Y.; Xing, M.; Liao, S.; Wan, C.; Chen, C.; Zhu, L.; Kai, W.; et al. Amelioration of chilling injury by fucoidan in cold-stored cucumber via membrane lipid metabolism regulation. Foods 2023, 12, 301. [Google Scholar] [CrossRef] [PubMed]
- McMeekin, T.; Bowman, J.; McQuestin, O.; Mellefont, L.; Ross, T.; Tamplin, M. The future of predictive microbiology: Strategic research, innovative applications and great expectations. Int. J. Food Microbiol. 2008, 128, 2–9. [Google Scholar] [CrossRef] [PubMed]
- Stavropoulou, E.; Bezirtzoglou, E. Predictive modeling of microbial behavior in food. Foods 2019, 8, 654. [Google Scholar] [CrossRef] [PubMed]
- Danyluk, M.D.; Friedrich, L.M.; Schaffner, D.W. Modeling the growth of Listeria monocytogenes on cut cantaloupe, honeydew and watermelon. Food Microbiol. 2014, 38, 52–55. [Google Scholar] [CrossRef] [PubMed]
- Huang, J.; Luo, Y.; Nou, X. Growth of Salmonella enterica and Listeria monocytogenes on fresh-cut cantaloupe under different temperature abuse scenarios. J. Food Prot. 2015, 78, 1125–1131. [Google Scholar] [CrossRef] [PubMed]
- Kang, H.S.; Ha, S.D.; Jeong, S.W.; Jang, M.; Kim, J. Predictive modeling of Staphylococcus aureus growth on Gwamegi (semidry Pacific saury) as a function of temperature. J. Korean Soc. Appl. Biol. Chem. 2013, 56, 731–738. [Google Scholar] [CrossRef]
- Luo, K.; Hong, S.S.; Oh, D.H. Modeling the effect of storage temperatures on the growth of Listeria monocytogenes on ready-to-eat ham and sausage. J. Food Prot. 2015, 78, 1675–1681. [Google Scholar] [CrossRef]
- Park, H.S.; Bahk, G.J.; Park, K.H.; Park, J.Y.; Ryu, K. Predictive model for growth of Staphylococcus aureus in Suyuk. Korean J. Food Sci. Anim. Resour. 2010, 30, 487–494. [Google Scholar] [CrossRef]



| Physicochemical Parameters | Value ± S.D. a |
|---|---|
| pH | 5.7 ± 0.02 a |
| Water activity | 0.995 ± 0.03 a |
| Solid soluble (°Brix) | 2.1 ± 0.5 a |
| Titratable acidity (%) | 0.58 ± 0.02 a |
| Temperature (°C) | R2 | Maximum Growth Rate (log CFU/g)/h | Lag Time (h) | Maximum Population (log CFU/g) | Standard Error |
|---|---|---|---|---|---|
| 5 | 0.9957 | 0.0065 | 82.0073 | 5.4310 | 0.0668 |
| 10 | 0.9861 | 0.0300 | 45.8138 | 5.9386 | 0.1303 |
| 15 | 0.9919 | 0.0525 | 4.7227 | 6.2910 | 0.1075 |
| 20 | 0.9872 | 0.0771 | Na | 6.1303 | 0.1447 |
| 25 | 0.9613 | 0.1040 | Na | 6.2184 | 0.1853 |
| 30 | 0.9879 | 0.1212 | Na | 6.0974 | 0.1304 |
| 35 | 0.9872 | 0.1571 | Na | 6.3773 | 0.1450 |
Disclaimer/Publisher’s Note: The statements, opinions and data contained in all publications are solely those of the individual author(s) and contributor(s) and not of MDPI and/or the editor(s). MDPI and/or the editor(s) disclaim responsibility for any injury to people or property resulting from any ideas, methods, instructions or products referred to in the content. |
© 2024 by the authors. Licensee MDPI, Basel, Switzerland. This article is an open access article distributed under the terms and conditions of the Creative Commons Attribution (CC BY) license (https://creativecommons.org/licenses/by/4.0/).
Share and Cite
Feng, K.; Sarengaowa; Ma, J.; Hu, W. Modelling the Growth of Listeria monocytogenes on Fresh-Cut Cucumbers at Various Storage Temperatures. Horticulturae 2024, 10, 667. https://doi.org/10.3390/horticulturae10070667
Feng K, Sarengaowa, Ma J, Hu W. Modelling the Growth of Listeria monocytogenes on Fresh-Cut Cucumbers at Various Storage Temperatures. Horticulturae. 2024; 10(7):667. https://doi.org/10.3390/horticulturae10070667
Chicago/Turabian StyleFeng, Ke, Sarengaowa, Junyi Ma, and Wenzhong Hu. 2024. "Modelling the Growth of Listeria monocytogenes on Fresh-Cut Cucumbers at Various Storage Temperatures" Horticulturae 10, no. 7: 667. https://doi.org/10.3390/horticulturae10070667
APA StyleFeng, K., Sarengaowa, Ma, J., & Hu, W. (2024). Modelling the Growth of Listeria monocytogenes on Fresh-Cut Cucumbers at Various Storage Temperatures. Horticulturae, 10(7), 667. https://doi.org/10.3390/horticulturae10070667
