You are currently viewing a new version of our website. To view the old version click .
Horticulturae
  • Article
  • Open Access

17 December 2024

Salinity Stress in Calendula officinalis: Negative Growth Impacts Offset by Increased Flowering Yield and the Mitigating Role of Zinc

,
,
,
and
1
Horticulture Department, Faculty of Agriculture and Natural Resources, Aswan University, Aswan 81528, Egypt
2
Department of Biology, College of Science, King Khalid University, Abha 61321, Saudi Arabia
*
Author to whom correspondence should be addressed.
This article belongs to the Special Issue Environmental Stresses and Horticulture Crop Yields

Abstract

Salinity stress is a significant abiotic factor that limits plant growth and productivity by causing ionic imbalances and oxidative damage. Chelated zinc (Zn) has gained attention as an effective micronutrient to mitigate salinity-induced stress by enhancing antioxidant defense mechanisms, osmotic regulation, and physiological processes. This study aimed to investigate the impact of foliar-sprayed chelated Zn on the alleviation of salinity stress in Calendula officinalis. A pot experiment was conducted with varying salinity levels (0, 1000, 2000, and 3000 ppm NaCl) and Zn concentrations (0, 200, 400, and 600 ppm). The results demonstrated that chelated Zn significantly enhanced the growth parameters, flower yield, and biochemical traits, particularly under high-salinity conditions. Salinity stress was associated with a marked increase in the Na+ and K+ concentrations and a reduction in the Zn levels in the leaves. However, the foliar application of chelated Zn reduced the Na+ and increased the K+ concentrations in the leaves, resulting in an elevated K+/Na+ ratio with higher salinity and Zn application rates. Furthermore, the salinity and chelated Zn treatments stimulated the production of proline, phenols, flavonoids, and antioxidant activity, indicating the plant’s adaptive mechanism to enhance its secondary metabolite production under stress. These findings highlight the potential of chelated Zn to improve the salinity tolerance, supporting sustainable agricultural practices in saline-affected areas. Although salinity reduced the overall growth of C. officinalis, farmers are encouraged to cultivate this plant for its valuable inflorescences under saline irrigation conditions (up to 2000 ppm), combined with chelated Zn foliar applications at 400–600 ppm. We also recommend further research on other micronutrients.

1. Introduction

Plants are frequently subjected to biotic and abiotic stresses that disrupt their water and nutrient absorption, compromise their cellular integrity, and hinder their overall growth and development [1]. Among the abiotic stresses, salinity is particularly harmful, significantly limiting plant growth and productivity by disrupting the cellular equilibrium and vital physiological processes [2]. Salinity stress impairs hormone regulation, reduces gas exchange, and triggers the rapid generation of reactive oxygen species (ROS). These ROS cause oxidative damage to cellular components, including proteins, lipids, and nucleic acids. Moreover, ROS disrupt the osmotic balance due to the excessive accumulation of Na+ and Cl ions [3]. Furthermore, salinity accelerates chlorophyll breakdown, reduces the photochemical efficiency of photosystems, and increases electrolyte leakage. All of these decrease the photosynthetic pigment content and efficiency, ultimately leading to premature aging and plant death [4,5,6].
Soil salinization poses an increasing threat to global agricultural sustainability, currently impacting approximately 20% of all cultivated land. This issue is further aggravated by unsustainable agricultural practices, including excessive fertilizer application and inefficient irrigation methods, which intensify the salinity levels [7,8]. Mitigating the effects of salinity stress necessitates the development and implementation of strategies to enhance plant resilience. One promising solution is the application of micronutrients, particularly zinc. Zinc has demonstrated the ability to mitigate salinity-induced damage by supporting key physiological processes and enhancing plants’ adaptive mechanisms under stress [9,10].
Zinc is an essential micronutrient that plays a critical role in plant growth and stress tolerance, particularly under abiotic stresses such as salinity. It stabilizes cell membranes, facilitates hormone biosynthesis, and is involved in vital structural and regulatory functions in RNA and DNA. Zinc strengthens antioxidant defenses, reducing oxidative damage caused by reactive oxygen species (ROS), while improving the membrane stability and photosynthetic efficiency [11,12,13]. Adequate zinc levels support robust photosynthetic activity and maintain cellular homeostasis, which is crucial for plant health [14,15]. Exogenous zinc application has been shown to improve overall plant performance, including both morphological and biochemical traits, particularly under salinity stress. Studies have demonstrated that zinc helps to mitigate salt stress in various plants, including Oryza sativa L., Vigna radiata L., Pistacia vera L., Ocimum basilicum L., Pisum sativum L., and Panicum miliaceum L. [16,17,18,19,20,21].
Zinc is a key component of several biomolecules, including lipids, proteins, and auxin co-factors, which are essential for plant nucleic acid metabolism. However, while sufficient zinc is beneficial, both zinc deficiency and excess can lead to negative effects. Inadequate zinc weakens the ROS scavenging systems, resulting in oxidative stress, while excessive zinc can be toxic to plants, inhibiting cell division and elongation and reducing biomass production [13]. Additionally, while zinc is commonly found in soil and water, excessive concentrations can reduce the microbial diversity, affecting the absorption and bioavailability of other metals. High zinc levels may also alter the soil microbial diversity, potentially reducing the soil fertility, crop quality, yield, plant growth, and overall crop production [22,23,24].
A crucial role of zinc in salinity tolerance lies in its impact on proline metabolism [21]. Proline acts as both an osmo-protectant and an antioxidant, accumulating in plants under stress. Proline stabilizes proteins and cell membranes, reduces oxidative damage, and maintains the osmotic equilibrium [25,26,27]. Under saline conditions, proline accumulation facilitates osmotic adjustments and protects cellular structures. On the other hand, zinc has been shown to enhance the proline biosynthesis pathways, thereby boosting plants’ resilience to salinity stress [28]. Additionally, zinc contributes to stress tolerance by modulating the activity of enzymes involved in ROS detoxification. In particular, the Cu-Zn superoxide dismutase enzyme neutralizes superoxide radicals and mitigates oxidative damage under saline conditions [29,30].
Calendula officinalis Linn., a member of the Asteraceae family, is an annual ornamental plant renowned for its pharmaceutical properties and millennia-long history of use [31]. This species holds significant value in traditional medicine and is widely utilized in the food and pharmaceutical industries due to its abundance of secondary metabolites [32,33,34]. It is commonly known as English marigold, pot marigold, Holigold, Mary Bud, Marybud, or Mary Gowles. C. officinalis is the most extensively studied species within its genus and has been known for its medicinal properties since the 12th century [35,36]. It is often referred to as the “herb of the sun” because its flowers open at sunrise and close at sunset. It has traditionally been used to treat minor burns, wounds, and skin conditions. Today, C. officinalis-based products, including tinctures and carotenoid-rich ointments, are commonly used for therapeutic purposes. It is also a key ingredient in the homeopathic formulation Traumeel® (Biologische Heilmittel Heel GmbH, Baden-Baden, Germany), which alleviates pain and swelling associated with acute musculoskeletal injuries [37]. Additionally, its petals have historically served as a cost-effective alternative to saffron for culinary flavoring and coloring [36].
Calendula officinalis is a self-seeding annual plant that thrives in warm, humid conditions, typically growing to a height of 12–18 inches. This plant produces composite flower heads measuring 5–7 cm in diameter. It is characterized by an epicalyx of lance-shaped sepals with glandular hairs and yellow–orange tubular florets on the interior side [38]. The powdered form of C. officinalis has a yellowish–brown color and a distinctive aroma [39]. Its anatomical features include normocytic stomata on the outer epidermis, corolla fragments, trichomes, elongated sclerenchymatous cells, pigmented ovary wall fragments, pollen grains, stigma pieces, and fibrous elements [40,41]. C. officinalis is widely distributed across Central Europe, the Mediterranean region, and parts of the Middle East, including Cyprus, Turkey, and Iran. Significant cultivation of this species also occurs in India and China [42,43].
Given the multifaceted role of Zn in enhancing stress tolerance, this study hypothesizes that chelated zinc application will alleviate NaCl-induced salinity stress in Calendula officinalis. It is expected to achieve this by enhancing secondary metabolism, supporting ROS management, and promoting overall plant growth and health. The objectives of this study include assessing Zn’s effects on the growth and flowering parameters, as well as secondary metabolite accumulation, in saline conditions. This research contributes to a broader understanding of zinc’s role in mitigating salinity stress, with implications for the development of sustainable crop management practices in saline-affected areas.

2. Materials and Methods

2.1. Plant Materials and Experimental Conditions

This pot experiment was conducted in the Floriculture Nursery, Faculty of Agriculture and Natural Resources, Aswan University, Aswan, Egypt, during the successive seasons of 2022/2023 and 2023/2024. Seeds of pot marigold, Calendula officinalis Linn., were collected from the Floriculture Nursery. This experiment was implemented using a randomized complete block design in a split plot; the main plot involved salinity stress and the sub-plot involved chelated zinc treatments. The experiment included 16 treatments, which were the combination of four salinity levels (0, 1000, 2000, and 3000 ppm) and four chelated zinc rates (0, 200, 400, and 600 ppm) with four replicates. Each plot included 5 pots, with a total of 320 pots.
Seeds were sown in the nursery in the first week of October. Healthy and uniform seedlings were obtained at 45 days old (about 10 cm height). Seedlings were transplanted into a 25-cm-diameter plastic pot. Pots were filled with equal amounts of a homogeneous soil mixture of sand and clay (2:1). After three weeks of transplanting, the salinity stress treatment and foliar spraying of chelated zinc were applied. Plants were irrigated with saline water containing NaCl at 1000, 2000, and 3000, ppm, as well as a control. Irrigation was applied in two-day intervals (500 mL per pot). Polyethylene was placed under the pots to prevent the penetration of the roots to the ground. The foliar spraying of chelated zinc was applied with 3 rates (200, 400, and 600 ppm), in addition to the control plants treated with tap water (zero chelated zinc).

2.2. Vegetative Growth and Flowering Parameters

In the last week of March, the plants were harvested, and data were recorded on the following characteristics:
  • Shoot fresh and dry weight (g);
  • Root fresh and dry weight (g);
  • Number of inflorescences;
  • Inflorescence diameter (mm);
  • Inflorescence fresh and dry weight (g);
  • Inflorescence fresh and dry weight per plant (g).

2.3. Chemical Analysis

2.3.1. Determination of Na, K, and Zn in Leaves and Roots

The chemical analysis of Calendula officinalis shoots and roots was conducted using a wet digestion method with concentrated H2SO4 and H2O2. Sodium (Na) and potassium (K) levels were assessed via flame photometry, following the procedure of Chapman and Paratt [44]. The zinc content in dry roselle leaves during the flowering phase was measured using an atomic absorption spectrophotometer (Perkin-Elmer 2380, Artisan Technology Group, Champaign, IL, USA) according to Chapman and Paratt [44].

2.3.2. Determination of Proline Content

The proline content was measured following the method of Bates et al. [45]. The acid ninhydrin reagent was prepared by dissolving 1.25 g ninhydrin in 30 mL of glacial acetic acid and 20 mL of 6 M phosphoric acid, with continuous stirring until fully dissolved; it was then stored at 4 °C. A sample of 0.5 g was homogenized in 10 mL of 3% aqueous sulfosalicylic acid, followed by filtration through filter paper. Two milliliters of the filtrate was combined with 2 mL of acid ninhydrin reagent and 2 mL of glacial acetic acid in a test tube. The mixture was then incubated at 100 °C for 1 h, with the reaction stopped in an ice bath. The mixture was extracted with 4 mL of toluene, mixed vigorously for 15–20 s, and the absorbance was recorded at 520 nm using a spectrophotometer (SPECTROstar Nano, BMG LABTECH GmbH, Ortenberg, Germany).

2.3.3. Determination of Total Phenols, Flavonoids, and Antioxidants

Total phenols were quantified using the method described by Swain and Hillis [46]. In a test tube, 0.5 mL of Folin–Ciocalteu reagent was added to 1 mL of ethanol extract and 7.5 mL of distilled water. After 10 min, 4 mL of 2.5 N sodium carbonate was added, and the mixture was left to stand at room temperature for 20 min. Then, the absorbance was measured at 650 nm using a spectrophotometer (SPECTROstar Nano, BMG LABTECH GmbH, Ortenberg, Germany).
The total flavonoid content was measured according to Vladimir-Knežević et al. [47]. The plant extract (200 µL, 1 mg/mL) was combined with a 2% methanolic solution of aluminum chloride (Sigma-Aldrich) and incubated at room temperature for 15 min. The absorbance was then recorded at 415 nm, with the results expressed as rutin equivalents (RE) for flavonoids.
Antioxidant activity was assessed using the reducing power, phosphor-molybdenum, metal chelation, and free radical scavenging assays. Antioxidant capacities were expressed using standard compounds, including Trolox equivalents (TE/g extract) and ethylenediamine tetraacetate equivalents (EDTAE g−1 extract) [48].

2.4. Statistical Analysis

The data collected were analyzed using an “F” test, and statistical analysis was performed using the Statistix 8.1 software [49]. Tukey’s HSD was used to examine the differences among interaction treatments.

3. Results

3.1. Vegetative Growth Characteristics

The results of this study showed that salinity stress and chelated zinc spraying had significant effects on Calendula officinalis’ growth characteristics, such as the fresh and dry weights of both the shoots and roots (Table 1). Salinity stress had significant negative effects, while chelated zinc spraying had significant positive effects on the growth characteristics. In general, the highest fresh weight of the shoots was obtained in plants irrigated with non-saline water and sprayed with chelated zinc at 400 ppm, while the highest dry weight of shoots was obtained in plants irrigated with non-saline water and sprayed with chelated zinc at 600 ppm.
Table 1. Fresh and dry weights of shoots and roots as affected by salinity stress and chelated zinc application. Values represent means ± standard deviations (average of two seasons). Different letters reflect differences among interaction treatments.
In the same manner, the root fresh and dry weights decreased with increasing salinity levels and increased with increasing zinc concentrations. In general, the highest fresh and dry weights of roots were obtained in unstressed plants sprayed with chelated zinc at 600 ppm. Meanwhile, the lowest fresh and dry biomass for shoots and roots was obtained under high salinity stress when the plants were irrigated with 3000 ppm water without zinc spraying (Table 1).

3.2. Flower Characteristics

It is notable that the number of inflorescences per plant increased with higher salinity levels, reaching the highest number at 2000 ppm. The effect of zinc spraying was generally positive, although the responses varied depending on the zinc concentration. On the other hand, the inflorescence diameter decreased noticeably with salinity stress, reaching its smallest diameter at 3000 ppm. Zinc application also showed generally positive effects, with some variation in the response (Table 2).
Table 2. Inflorescence number, diameter, and fresh and dry weight, as well as inflorescence fresh dry yield per plant, as affected by salinity stress and chelated zinc application. Values represent means ± standard deviations (average of two seasons). Different letters reflect differences among interaction treatments.
The fresh weight of the inflorescences decreased significantly with increasing salinity levels, reaching its lowest weight at 3000 ppm. However, the fresh weight of the inflorescences increased with zinc spraying, especially at concentrations of 400 and 600 ppm. Conversely, the dry weight of the flowers showed negative responses with both increased salinity levels and zinc treatments (Table 2).
On the other hand, the fresh inflorescence yield per plant increased significantly with higher salinity levels. The highest value was observed at 2000 ppm salinity treatment. It also increased noticeably with higher zinc concentrations. In the same manner, the dry inflorescence yield showed a significant increase with rising salinity levels, reaching its highest value at 2000 ppm. The responses to the chelated zinc treatment varied, although they were positive in general (Table 2).

3.3. Chemical and Biochemical Characteristics

The results of this study showed that salinity stress and chelated zinc spraying had significant effects on Calendula officinalis’ chemical content in the leaves (Table 3). Increasing salinity levels led to a rise in sodium (Na) accumulation in the leaves, with the highest Na concentration observed at 3000 ppm. Conversely, zinc spraying reduced the Na accumulation in the leaves, with the lowest Na concentration found for the zinc treatment with 600 ppm (Table 3). In the same manner, increasing salinity levels led to an increase in the potassium (K) content, with the highest K content at 3000 ppm. In contrast to Na, the K content showed significant increases with zinc spraying, and the highest K content was found with chelated zinc treatment at 600 ppm (Table 3). The zinc (Zn) content in the leaves decreased significantly with increasing salinity levels, with the lowest zinc content observed at 3000 ppm. In contrast, zinc spraying led to significant increases in the Zn content in the leaves (Table 3).
Table 3. Sodium (Na), potassium (K), and zinc (Zn) content as affected by salinity stress and chelated zinc application. Values represent means ± standard deviations (average of two seasons). Different letters reflect differences among interaction treatments.
In addition, the salinity treatments and zinc spraying significantly impacted the biochemical components of the leaves, such as the proline, total phenolics, total flavonoids, and antioxidant activity (Table 4). All biochemical components showed significant responses with increased salinity levels and higher zinc concentrations. The highest levels of proline, total phenols, total flavonoids, and antioxidants were observed at the highest salinity level (3000 ppm) and the highest chelated zinc concentration (600 ppm).
Table 4. Proline, total phenol, total flavonoid, and antioxidant content in leaves as affected by salinity stress and chelated zinc application. Values represent means ± standard deviations (average of two seasons). Different letters reflect differences among interaction treatments.

4. Discussion

4.1. Salinity Resistance, Avoidance, and Tolerance

Plants’ resistance to environmental stresses such as salinity is based on their ability to reduce the negative impacts of stress, which involves both avoidance and tolerance mechanisms [2]. According to Gorham et al. [50], plant species, such as the succulent Chenopodiaceae, tolerate the imposed stress of Na+ accumulation in the shoots by synthesizing osmolytes such as glycine betaine. On the other hand, halophyte grasses avoid salinity stress by limiting the influx of salts into the shoots and/or by excluding the excess salt via the salt glands. A plant’s tolerance to stress is represented by its biomass growth and the yield of the economic part of the plant. In this study, the economic part of Calendula officinalis was the inflorescence.
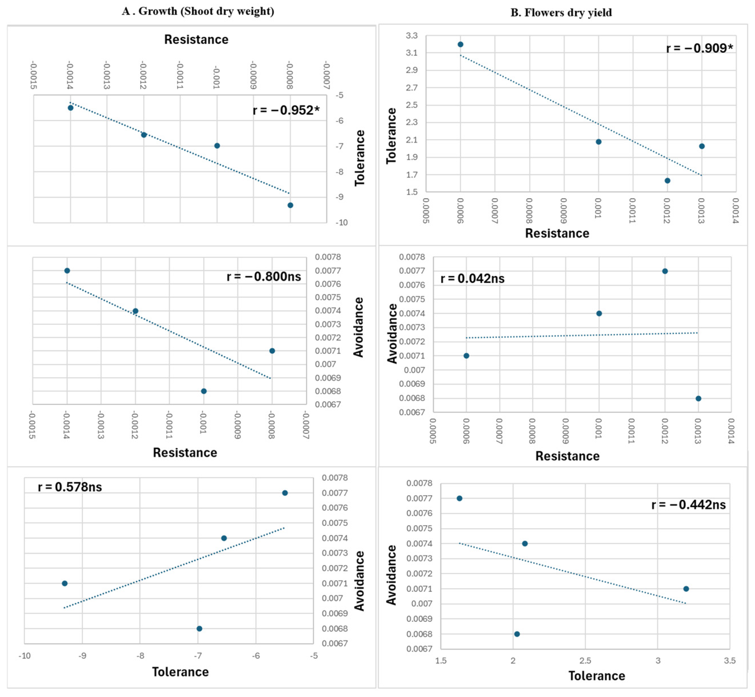
The slopes of the linear regression lines were used to calculate the resistance, avoidance, and tolerance of each species to salinity stress, as described by Sabreen and Sugiyama [51]. Resistance was calculated as the linear regression slope of the shoot/flower dry mass against the NaCl treatment. Avoidance was calculated as the regression slope of the shoot Na+ concentration against the NaCl treatment. Meanwhile, tolerance was calculated as the regression slope of the shoot/flower dry mass against the shoot Na+ concentration. The slopes of these linear regressions represented the extent of salinity resistance, avoidance, and tolerance to salinity stress, with lesser slopes indicating higher salinity resistance, avoidance, and tolerance.
In terms of growth characteristics (shoot dry biomass), resistance showed a significant correlation with tolerance, but not with avoidance, under different chelated zinc concentrations (r = −0.952* and −0.800ns, respectively). On the other hand, there was no clear correlation between avoidance and tolerance abilities (r = 0.578ns). Similarly, regarding the inflorescence yield per plant, resistance showed a significant correlation with tolerance but not with avoidance under different chelated zinc concentrations (r = −0.909* and 0.04ns, respectively). There was also no clear correlation between the avoidance and tolerance abilities (r = −0.442ns). These results suggest that the interspecific differences in growth and inflorescence yield resistance to salinity stress are associated with salinity tolerance (Figure 1). This is consistent with our previous study on C3 turfgrass, where we found that resistance was mainly associated with the tolerance trait [2].
Figure 1. Relationships among growth/flower yield resistance, avoidance, and tolerance to salinity stress in Calendula officinalis under different chelated zinc concentrations. * represents significance at p of 5%; ns indicates a non-significant result.
Regarding the flowering traits, salinity reduced the inflorescence diameter and mass, while the zinc treatments had positive effects on the inflorescence diameter and did not affect the inflorescence weight. Despite the decrease in inflorescence biomass under saline stress conditions, the overall inflorescence yield increased under moderate saline stress up to a concentration of 2000 ppm. This increase can be attributed to the consistent rise in the number of flowers with increasing salinity levels of up to 2000 ppm. This phenomenon can be explained by the plant accelerating flower formation to ensure the species’ survival under stress conditions, up to a certain tolerance level. This result aligns with a previous study on chamomile, which also showed an increase in the flower yield under saline stress conditions [52]. Despite this reduced growth, farmers are encouraged to grow Calendula officinalis for their inflorescences under saline irrigation of up to 2000 ppm, with chelated zinc spraying at 400–600 ppm.
The reduction in plant growth under saline irrigation can be attributed to the accumulation of high concentrations of NaCl in the cell walls and cytoplasm. NaCl accumulation negatively impacts photosynthesis, carbohydrate synthesis, and growth hormone activity [53,54,55,56]. Long-term salinity stress generally reduces plant growth rates due to osmotic and ionic stresses. Specifically, salinity-induced reductions in turgor pressure decrease the cell wall extensibility and the yield threshold for growth, particularly in the stems and leaves [57]. However, Ben Amor et al. [58] observed that salinity influenced the development of new leaves without significantly affecting cell expansion or division. Khalid and Cai [54] suggested that salinity stress disrupts essential plant activities, leading to growth reductions through biochemical alterations and constraints on carbon metabolism. Another critical factor contributing to reduced growth under salinity stress is the decline in photosynthetic activity. This is primarily due to stomatal closure and limited carbon dioxide uptake, which leads to insufficient ATP production [59].

4.2. Chemical and Biochemical Changes

Salinity has a negative impact on plant physiological processes such as water relations [60], the nutritional balance [61], and membrane stability [62]. Sodium sequestration and K+ retention are crucial factors in salinity tolerance [63]. Pandolfi et al. [64] found that plants acclimate to salinity stress by preventing K+ leakage and Na+ accumulation. They suggested that salinity tolerance is associated mainly with the ion-specific component rather than the osmotic component of stress. Accumulated Na+ ions in plant tissue negatively affect the plant’s water status and membrane stability [2]. It is also worth mentioning that potassium plays a major role in plants’ resistance to salinity. Therefore, it is required in large amounts to reduce the osmotic stress in saline stress conditions. In fact, salinity stress stimulates the transport of K+ to the xylem, maintaining an optimal K+/Na+ ratio in the xylem and the water balance [65]. The results of this study revealed that the salinity treatments led to significant increases in the Na+ and K+ concentrations in the leaves. Conversely, foliar zinc application had positive effects in terms of reducing the Na concentrations in the leaves, with the lowest levels observed at 600 ppm chelated zinc spraying. In contrast, the zinc treatments increased the K+ concentrations in the leaves, with the highest K+ levels recorded at 600 ppm chelated zinc spraying. This, in turn, resulted in an increase in the K+/Na+ ratio as the salinity levels and chelated zinc spraying increased. On the other hand, the Zn concentration in the leaves significantly decreased with increasing salinity levels, but it increased with external chelated zinc spraying. These findings suggest the critical role of potassium under salinity stress conditions. Its higher accumulation in the tissue compared to sodium enhanced the plant’s ability to tolerate the stress, as supported by [65].

4.3. Correlation Coefficients

The correlation coefficient analysis showed a highly significant, negative correlation between plant growth, represented by the shoot biomass, and Na+ accumulation in the leaves (r = −0.975 ***). Similarly, there was a significant negative correlation between the Zn concentration and Na+ concentration in the leaves (r = −0.939 ***). In contrast, a highly significant, positive correlation was observed between the Zn concentration and plant biomass (r = 0.970 ***). These correlation coefficients highlight the effectiveness of Zn in enhancing plants’ stress tolerance under salinity conditions by reducing Na+ accumulation and increasing K+ accumulation in the leaves (Figure 2).
Figure 2. Correlation coefficients of shoot dry biomass, Na content in leaves, and Zn content in leaves of Calendula officinalis under salinity stress and different chelated zinc concentrations. *** represents significance at p of 0.1%. Values represent average means of two seasons as the results did not show clear differences between the two seasons because the experiment was conducted in pots under similar conditions across the two seasons.
As shown in Figure 3, although the total inflorescence yield did not exhibit clear correlations with the Na+, K+, or Zn concentrations in the leaves (r = 0.474ns, 0.353ns, −0.460ns, respectively), the inflorescence diameter showed significant correlations with these elements (r = −0.809***, −0.952***, 0.753**, respectively), and the number of inflorescences showed moderate correlations (r = 0.603*, 0.548*, −0.553*, respectively). The overall inflorescence yield was weakly and negatively correlated with the inflorescence diameter (r = −0.423ns). However, it was strongly and positively correlated with the number of inflorescences (r = 0.969***), which increased with the salinity treatments (Figure 4). This explains the observed increase in the overall inflorescence yield with moderate salinity levels.
Figure 3. Correlation coefficients of inflorescence dry yield, number, and diameter with Na, K, and Zn content in leaves of Calendula officinalis under salinity stress and different chelated zinc concentrations. *, and *** represent significance at p of 5, and 0.1%, respectively. ns indicates a non-significant result. Values represent average means of two seasons as the results did not show clear differences between the two seasons because the experiment was conducted in pots under similar conditions across the two seasons.
Figure 4. Correlation coefficients of inflorescence dry yield with its number and diameter in Calendula officinalis under salinity stress and different chelated zinc concentrations. *** represents significance at p of 0.1%. ns indicates a non-significant result. Values represent average means of two seasons as the results did not show clear differences between the two seasons because the experiment was conducted in pots under similar conditions across the two seasons.
Plants regulate their cellular osmotic potential in response to saline stress through osmolytes, which include organic and inorganic solutes [66]. Compatible osmolytes, such as proline, glycine betaine, sugars, and polyols, are small, highly soluble organic compounds that accumulate in varying amounts depending on the plant species. These osmolytes serve critical roles in maintaining the cellular structure and osmotic balance. They achieve this through mechanisms such as osmotic adjustment, ROS detoxification, membrane integrity protection, and enzyme/protein stabilization [67,68].
Proline, for instance, safeguards protein turnover systems against stress-induced damage and promotes the production of protective proteins. It also supports intracellular osmotic adjustment, maintaining photosynthetic activity under salinity stress [69,70]. It also reduces the ROS levels, decreases lipid peroxidation, and enhances the membrane stability by boosting the antioxidant activity and protecting against NaCl-induced cell death [71]. Proline has been shown to alleviate salinity stress by boosting antioxidant enzymes’ activity [72].
Salinity stress also influences the accumulation of phenolic compounds, which play a crucial role in plants’ defense against biotic and abiotic stresses. Moderate salinity levels have been reported to enhance the phenolic content, activating the saline tolerance pathways [73]. Navarro et al. [74] noted an increase in total phenolics in red pepper under moderate salinity conditions. Phenolic accumulation is influenced by genetic and environmental factors [75]. It contributes to oxidative stress mitigation by scavenging ROS and acting as antioxidants in plant tissue [76]. These responses underline the essential roles of proline and phenolics in plants’ adaptation to salinity stress.
The results indicated that the total proline, phenolic, and flavonoid content, as well as the antioxidant activity, was affected by salinity stress. It was observed that they increased as the plants were irrigated with saline water (Table 4). It was noticed that the highest concentrations were observed at 3000 ppm of NaCl. Moreover, these concentrations significantly increased with increasing chelated zinc spraying, with the maximum value at 600 ppm chelated zinc. These results suggest that the plant enhances its secondary metabolite production, such as proline, phenol, flavonoids, and antioxidants, under salinity stress conditions as a mechanism to enhance its stress tolerance.

5. Conclusions

This study highlighted the significant impact of salinity stress on Calendula officinalis, emphasizing both physiological and biochemical adaptations. Salinity negatively affected the plant’s growth and nutrient balance, as evidenced by the increased Na+ accumulation and disrupted ionic equilibrium. However, the application of chelated zinc proved effective in mitigating these adverse effects by enhancing the antioxidant defenses, osmotic regulation, and secondary metabolite production. The results revealed that foliar-applied chelated Zn improved the proline content, total phenolics, flavonoids, and antioxidant capacity under saline conditions. The increased K+/Na+ ratio observed with Zn treatment underscores its potential to enhance ionic homeostasis, contributing to improved plant resilience. Furthermore, the stimulation of secondary metabolites under salinity stress highlights the plant’s adaptive mechanism to combat oxidative damage. This study also provides a practical strategy for the cultivation of C. officinalis in saline environments, particularly with the integration of chelated Zn as a foliar application. These findings enhance the understanding of plants’ responses to salinity stress and support sustainable agriculture in saline regions, providing insights to optimize C. officinalis production under challenging conditions. Further research on the long-term effects and a comparative analysis of other micronutrients are recommended.

Author Contributions

Conceptualization, W.S.S., S.S., A.-A.G. and M.H.E.-S.; methodology, W.S.S. and M.H.E.-S.; software, W.S.S. and S.S.; validation, W.S.S., S.S. and A.-A.G.; formal analysis, W.S.S. and M.H.E.-S.; investigation, W.S.S. and M.H.E.-S.; resources, S.S.; data curation, A.-A.G.; writing—original draft preparation, W.S.S.; writing—review and editing, A.M.A.; visualization, A.M.A.; supervision, W.S.S., S.S. and A.-A.G.; project administration, W.S.S. and A.M.A.; funding acquisition, A.M.A. All authors have read and agreed to the published version of the manuscript.

Funding

The authors extend their appreciation to the Deanship of Research and Graduate Studies at King Khalid University for funding this work through the Large Group Project under grant number RGP. 2/466/45.

Data Availability Statement

The original contributions presented in this study are included in the article. Further inquiries can be directed to the corresponding author.

Conflicts of Interest

The authors declare that there are no conflicts of interest related to this article.

References

  1. Arif, Y.; Singh, P.; Siddiqui, H.; Bajguz, A.; Hayat, S. Salinity-Induced Physiological and Biochemical Changes in Plants: An Omic Approach Towards Salt Stress Tolerance. Plant Physiol. Biochem. 2020, 156, 64–77. [Google Scholar] [CrossRef] [PubMed]
  2. Soliman, W.S.; Sugiyama, S.; Abbas, A.M. Contribution of avoidance and tolerance strategies towards salinity stress resistance in eight C3 turfgrass species. Hortic. Environ. Biotechnol. 2018, 59, 29–36. [Google Scholar] [CrossRef]
  3. Rahman, A.; Nahar, K.; Hasanuzzaman, M.; Fujita, M. Calcium Supplementation Improves Na+/K+ Ratio, Antioxidant Defense, and Glyoxalase Systems in Salt-Stressed Rice Seedlings. Front. Plant Sci. 2016, 7, 609. [Google Scholar] [CrossRef]
  4. Akhter, M.S.; Noreen, S.; Mahmood, S.; Ashraf, M.; Alsahli, A.A.; Ahmad, P. Influence of Salinity Stress on PSII in Barley (Hordeum vulgare L.) Genotypes, Probed by Chlorophyll-a Fluorescence. J. King Saud. Univ. Sci. 2021, 33, 101239. [Google Scholar] [CrossRef]
  5. El Sabagh, E.L.; Islam, M.S.; Skalicky, M.; Ali Raza, M.; Singh, K.; Anwar Hossain, M.; Hossain, A.; Mahboob, W.; Iqbal, M.A.; Ratnasekera, D.; et al. Salinity Stress in Wheat (Triticum aestivum L.) in the Changing Climate: Adaptation and Management Strategies. Front. Agron. 2021, 3, 661932. [Google Scholar] [CrossRef]
  6. Siddiqui, M.H.; Alamri, S.; Al-Khaishany, M.Y.; Khan, M.N.; Al-Amri, A.; Ali, H.M.; Alaraidh, I.A.; Alsahli, A.A. Exogenous Melatonin Counteracts NaCl-Induced Damage by Regulating the Antioxidant System, Proline, and Carbohydrates Metabolism in Tomato Seedlings. Int. J. Mol. Sci. 2019, 20, 353. [Google Scholar] [CrossRef] [PubMed]
  7. Khan, A.; Khan, A.A.; Khan, M.J.; Ijaz, M.; Hassan, S.S. Combined Effect of Organic Amendments and Seed Placement Techniques on Sorghum Yield Under Salt-Stressed Conditions. J. Soil Sci. Plant Nutr. 2022, 22, 4752–4767. [Google Scholar] [CrossRef]
  8. Ladeiro, B. Saline Agriculture in the 21st Century: Using Salt-Contaminated Resources to Cope with Food Requirements. J. Bot. 2012, 2012, 310705. [Google Scholar] [CrossRef]
  9. Abideen, Z.; Waqif, H.; Munir, N.; El-Keblawy, A.; Hasnain, M.; Radicetti, E.; Mancinelli, R.; Nielsen, B.L.; Haider, G. Algal-Mediated Nanoparticles, Phycochar, and Biofertilizers for Mitigating Abiotic Stresses in Plants: A Review. Agronomy 2022, 12, 1788. [Google Scholar] [CrossRef]
  10. Kaur, S.; Kaur, N.; Siddique, K.H.; Nayyar, H. Beneficial Elements for Agricultural Crops and Their Functional Relevance in Defence Against Stresses. Arch. Agron. Soil Sci. 2016, 62, 905–920. [Google Scholar] [CrossRef]
  11. Dimkpa, C.O.; Singh, U.; Bindraban, P.S.; Elmer, W.H.; Gardea-Torresdey, J.L.; White, J.C. Zinc Oxide Nanoparticles Alleviate Drought-Induced Alterations in Sorghum Performance, Nutrient Acquisition, and Grain Fortification. Sci. Total Environ. 2019, 688, 926–934. [Google Scholar] [CrossRef]
  12. Venugopalan, V.K.; Nath, R.; Sengupta, K.; Pal, A.K.; Banerjee, S.; Banerjee, P.; Chandran, M.A.S.; Roy, S.; Sharma, L.; Hossain, A.; et al. Foliar Spray of Micronutrients Alleviates Heat and Moisture Stress in Lentil (Lens culinaris Medik) Grown Under Rainfed Field Conditions. Front. Plant Sci. 2022, 13, 847743. [Google Scholar] [CrossRef]
  13. Umair Hassan, M.; Aamer, M.; Umer Chattha, M.; Haiying, T.; Shahzad, B.; Barbanti, L.; Nawaz, M.; Rasheed, A.; Afzal, A.; Liu, Y.; et al. The Critical Role of Zinc in Plants Facing the Drought Stress. Agriculture 2020, 10, 396. [Google Scholar] [CrossRef]
  14. Hassanein, Y.Z.; Abdel-Rahman, S.; Soliman, W.S.; Salaheldin, S. Growth, Yield, and Quality of Roselle (Hibiscus sabdariffa L.) Plants as Affected by Nano Zinc and Bio-Stimulant Treatments. Hortic. Environ. Biotechnol. 2021, 62, 879–890. [Google Scholar] [CrossRef]
  15. Shah, A.A.; Ahmed, S.; Malik, A.; Naheed, K.; Hussain, S.; Yasin, N.A.; Javad, S.; Siddiqui, M.H.; Ali, H.M.; Ali, A. Potassium Silicate and Zinc Oxide Nanoparticles Modulate Antioxidant System, Membranous H+-ATPase, and Nitric Oxide Content in Faba Bean (Vicia faba) Seedlings Exposed to Arsenic Toxicity. Funct. Plant Biol. 2022, 50, 146–159. [Google Scholar] [CrossRef]
  16. Al-Zahrani, H.S.; Alharby, H.F.; Hakeem, K.R.; Rehman, R.U. Exogenous application of zinc to mitigate salt stress in Vigna radiata (L.) Wilczek—Evaluation of physiological and biochemical processes. Plants 2021, 10, 1005. [Google Scholar] [CrossRef]
  17. Elshoky, H.A.; Yotsova, E.; Farghali, M.A.; Farroh, K.Y.; El-Sayed, K.; Elzorkany, H.E.; Rashkov, G.; Dobrikova, A.; Borisova, P.; Stefanov, M.; et al. Impact of foliar spray of zinc oxide nanoparticles on the photosynthesis of Pisum sativum L. under salt stress. Plant Physiol. Biochem. 2021, 167, 607–618. [Google Scholar] [CrossRef] [PubMed]
  18. Nadeem, F.; Azhar, M.; Anwar-Ul-Haq, M.; Sabir, M.; Samreen, T.; Tufail, A.; Awan, H.U.M.; Juan, W. Comparative response of two rice (Oryza sativa L.) cultivars to applied zinc and manganese for mitigation of salt stress. J. Soil Sci. Plant Nutr. 2020, 20, 2059–2072. [Google Scholar] [CrossRef]
  19. Said-Al Ahl, H.; Mahmoud, A.A. Effect of zinc and/or iron foliar application on growth and essential oil of sweet basil (Ocimum basilicum L.) under salt stress. Ozean. J. Appl. Sci. 2010, 3, 97–111. [Google Scholar]
  20. Tavallali, V.; Rahemi, M.; Eshghi, S.; Kholdebarin, B.; Ramezanian, A. Zinc alleviates salt stress and increases antioxidant enzyme activity in the leaves of pistachio (Pistacia vera L. ‘Badami’) seedlings. Turkish J. Agric. Forest. 2010, 34, 349–359. [Google Scholar] [CrossRef]
  21. Mushtaq, N.U.; Alghamdi, K.M.; Saleem, S.; Tahir, I.; Bahieldin, A.; Henrissat, B.; Alghamdi, M.K.; Rehman, R.U.; Hakeem, K.R. Exogenous Zinc Mitigates Salinity Stress by Stimulating Proline Metabolism in Proso Millet (Panicum miliaceum L.). Front. Plant Sci. 2023, 14, 1053869. [Google Scholar] [CrossRef] [PubMed]
  22. Hussain, S.; Khan, M.; Sheikh, T.M.M.; Mumtaz, M.Z.; Chohan, T.A.; Shamim, S.; Liu, Y. Zinc essentiality, toxicity, and its bacterial bioremediation: A comprehensive insight. Front. Microbiol. 2022, 13, 900740. [Google Scholar] [CrossRef] [PubMed]
  23. Kaur, H.; Srivastava, S.; Goyal, N.; Walia, S. Behavior of zinc in soils and recent advances on strategies for ameliorating zinc phyto-toxicity. Environ. Exp. Bot. 2024, 220, 105676. [Google Scholar] [CrossRef]
  24. Raza’i, T.S.; Thamrin, T.; Nofrizal, N.; Amrifo, V.; Pardi, H.; Putra, I.P.; Febrianto, T.; Ilhamdy, A.F. Accumulation of essential (copper, iron, zinc) and non-essential (lead, cadmium) heavy metals in Caulerpa racemosa, seawater, and marine sediments of Bintan Island, Indonesia. F1000Research 2021, 10, 699. [Google Scholar] [CrossRef] [PubMed]
  25. Alamri, S.A.; Siddiqui, M.H.; Al-Khaishany, M.Y.; Khan, M.N.; Ali, H.M.; Alakeel, K.A. Nitric Oxide-Mediated Cross-Talk of Proline and Heat Shock Proteins Induce Thermotolerance in Vicia faba L. Environ. Exp. Bot. 2019, 161, 290–302. [Google Scholar] [CrossRef]
  26. Iqbal, Z.; Sarkhosh, A.; Balal, R.M.; Gómez, C.; Zubair, M.; Ilyas, N.; Khan, N.; Shahid, M.A. Silicon Alleviates Hypoxia Stress by Improving Enzymatic and Non-Enzymatic Antioxidants and Regulating Nutrient Uptake in Muscadine Grape (Muscadinia rotundifolia Michx.). Front. Plant Sci. 2021, 11, 618873. [Google Scholar] [CrossRef] [PubMed]
  27. Meena, M.; Divyanshu, K.; Kumar, S.; Swapnil, P.; Zehra, A.; Shukla, V.; Yadav, M.; Upadhyay, R.S. Regulation of l-Proline Biosynthesis, Signal Transduction, Transport, Accumulation, and Its Vital Role in Plants During Variable Environmental Conditions. Heliyon 2019, 5, e02952. [Google Scholar] [CrossRef] [PubMed]
  28. Zhao, Y.; He, Y.; Wang, X.; Qu, C.; Miao, J. Proline Metabolism Regulation in Spartina alterniflora and SaP5CS2 Gene Positively Regulates Salt Stress Tolerance in Transgenic Arabidopsis thaliana. J. Plant Interact. 2022, 17, 632–642. [Google Scholar] [CrossRef]
  29. Gupta, N.; Ram, H.; Kumar, B. Mechanism of Zinc Absorption in Plants: Uptake, Transport, Translocation, and Accumulation. Rev. Environ. Sci. Bio/Technol. 2016, 15, 89–109. [Google Scholar] [CrossRef]
  30. Olsen, L.I.; Palmgren, M.G. Many Rivers to Cross: The Journey of Zinc from Soil to Seed. Front. Plant Sci. 2014, 5, 30. [Google Scholar] [CrossRef] [PubMed]
  31. Shahane, K.; Kshirsagar, M.; Tambe, S.; Jain, D.; Rout, S.; Ferreira, M.K.M.; Mali, S.; Amin, P.; Srivastav, P.P.; Cruz, J.; et al. An Updated Review on the Multifaceted Therapeutic Potential of Calendula officinalis L. Pharmaceuticals 2023, 16, 611. [Google Scholar] [CrossRef]
  32. Fallahi, M.; Mohammadi, A.; Miri, S.M. The Natural Variation in Six Populations of Calendula officinalis L.: A Karyotype Study. J. Genet. 2020, 6, 34–40. [Google Scholar]
  33. Pedram Rad, Z.; Mokhtari, J.; Abbasi, M. Preparation and Characterization of Calendula officinalis-Loaded PCL/Gum Arabic Nanocomposite Scaffolds for Wound Healing Applications. Iran. Polym. J. 2019, 28, 51–63. [Google Scholar] [CrossRef]
  34. Savic Gajic, I.M.; Savic, I.M.; Skrba, M.; Dosić, A.; Vujadinovic, D. Food Additive Based on the Encapsulated Pot Marigold (Calendula officinalis L.) Flowers Extract in Calcium Alginate Microparticles. J. Food Process. Preserv. 2022, 46, e15792. [Google Scholar] [CrossRef]
  35. Basch, E.; Bent, S.; Foppa, I.; Haskmi, S.; Kroll, D.; Mele, M.; Szapary, P.; Ulbricht, C.; Vora, M.; Yong, S. Marigold (Calendula officinalis L.): An Evidence-Based Systematic Review by the Natural Standard Research Collaboration. J. Herb. Pharm. 2006, 6, 135–159. [Google Scholar] [CrossRef] [PubMed]
  36. Gu, J.; Aidy, A.; Goorani, S. Anti-Human Lung Adenocarcinoma, Cytotoxicity, and Antioxidant Potentials of Copper Nanoparticles Green-Synthesized by Calendula officinalis. J. Exp. Nanosci. 2022, 17, 285–296. [Google Scholar] [CrossRef]
  37. Schneider, C. Traumeel—An Emerging Option to Nonsteroidal Anti-Inflammatory Drugs in the Management of Acute Musculoskeletal Injuries. Int. J. Gen. Med. 2011, 4, 225–234. [Google Scholar] [CrossRef] [PubMed]
  38. Ashwlayan, V.D.; Kumar, A.; Verma, M.; Garg, V.K.; Gupta, S. Therapeutic Potential of Calendula officinalis. Pharm. Pharmacol. Int. J. 2018, 6, 149–155. [Google Scholar] [CrossRef]
  39. Almeida, V.M.; Dias, Ê.R.; Souza, B.C.; Cruz, J.N.; Santos, C.B.R.; Leite, F.H.A.; Queiroz, R.F.; Branco, A. Methoxylated Flavonols from Vellozia Dasypus Seub Ethyl Acetate Active Myeloperoxidase Extract: In Vitro and In Silico Assays. J. Biomol. Struct. Dyn. 2022, 40, 7574–7583. [Google Scholar] [CrossRef]
  40. Arora, D.; Rani, A.; Sharma, A. A Review on Phytochemistry and Ethnopharmacological Aspects of Genus Calendula. Pharmacogn. Rev. 2013, 7, 179–187. [Google Scholar] [CrossRef] [PubMed]
  41. Rego, C.M.A.; Francisco, A.F.; Boeno, C.N.; Paloschi, M.V.; Lopes, J.A.; Silva, M.D.S.; Santana, H.M.; Serrath, S.N.; Rodrigues, J.E.; Lemos, C.T.L.; et al. Inflammasome NLRP3 Activation Induced by Convulxin, a C-Type Lectin-Like Isolated from Crotalus durissus terrificus Snake Venom. Sci. Rep. 2022, 12, 1428. [Google Scholar] [CrossRef] [PubMed]
  42. Ercetin, T.; Senol, F.S.; Erdogan Orhan, I.; Toker, G. Comparative Assessment of Antioxidant and Cholinesterase Inhibitory Properties of the Marigold Extracts from Calendula arvensis L. and Calendula officinalis L. Ind. Crop. Prod. 2012, 36, 203–208. [Google Scholar] [CrossRef]
  43. Gonçalves, A.C.; Castro, S.; Paiva, J.; Santos, C.; Silveira, P. Taxonomic Revision of the Genus Calendula (Asteraceae) in the Iberian Peninsula and the Balearic Islands. Phytotaxa 2018, 352, 1–91. [Google Scholar] [CrossRef]
  44. Chapman, H.D.; Paratt, P.F. Methods of Soil, Plants, and Water Analysis; University of California Division of Agricultural Sciences: Oakland, CA, USA, 1961; p. 314. [Google Scholar]
  45. Bates, L.S.; Waldren, R.P.; Teare, I.D. Rapid Determination of Free Proline for Water-Stress Studies. Plant Soil 1973, 39, 205–207. [Google Scholar] [CrossRef]
  46. Swain, T.; Hillis, W.E. The Phenolic Constituents of Prunus domestica: The Quantitative Analysis of Phenolic Constituents. J. Sci. Food Agric. 1959, 10, 63–68. [Google Scholar] [CrossRef]
  47. Vladimir-Knežević, S.; Blažeković, B.; Bival Štefan, M.; Alegro, A.; Köszegi, T.; Petrik, J. Antioxidant Activities and Polyphenolic Contents of Three Selected Micromeria Species from Croatia. Molecules 2011, 16, 1454–1470. [Google Scholar] [CrossRef] [PubMed]
  48. Grochowski, D.M.; Uysal, S.; Aktumsek, A.; Granica, S.; Zengin, G.; Ceylan, R.; Locatelli, M.; Tomczyk, M. In Vitro Enzyme Inhibitory Properties, Antioxidant Activities, and Phytochemical Profile of Potentilla thuringiaca. Phytochem. Lett. 2017, 20, 365–372. [Google Scholar] [CrossRef]
  49. Snedecor, G.W.; Cochran, W.G. Statistical Methods, 8th ed.; Iowa State University Press: Ames, IA, USA, 1989. [Google Scholar]
  50. Gorham, J.; Wyn Jones, R.G.; McDonnell, E. Some mechanisms of salt tolerance in crop plants. Plant Soil 1985, 89, 15–40. [Google Scholar] [CrossRef]
  51. Sabreen, S.; Sugiyama, S. Trade-off between cadmium tolerance and relative growth rate in 10 grass species. Environ. Exp. Bot. 2008, 63, 327–332. [Google Scholar] [CrossRef]
  52. Hendawy, S.F.; Omer, E.A.; El-Gohary, A.E.; El-Gendy, A.G.; Hussein, M.S.; Salaheldin, S.; Soliman, W.S. Effect of soil and irrigation water salinity in the productivity and essential oil constituents of chamomile (Chamomilla recutita L.). J. Essent. Oil Bear. Plants 2019, 22, 962–971. [Google Scholar] [CrossRef]
  53. Ben Taarit, M.; Msaada, K.; Hosnia, K.; Hammami, M.; Elyes Kchouka, M.; Marzouka, B. Plant Growth, Essential Oil Yield, and Composition of Sage (Salvia officinalis L.) Fruits Cultivated Under Salt Stress Conditions. Ind. Crops Prod. 2009, 30, 333–337. [Google Scholar] [CrossRef]
  54. Khalid, K.H.; Cai, W. The Effects of Mannitol and Salinity Stresses on Growth and Biochemical Accumulations in Lemon Balm. Acta Ecol. Sin. 2011, 31, 112–120. [Google Scholar] [CrossRef]
  55. Barbieri, G.; Vallone, S.; Orsini, F.; Paradiso, R.; Pascale, S.D.; Zakharov, F.N.; Maggio, A. Stomatal Density and Metabolic Determinants Mediate Salt Stress Adaptation and Water Use Efficiency in Basil (Ocimum basilicum L.). J. Plant Physiol. 2012, 169, 1737–1746. [Google Scholar] [CrossRef] [PubMed]
  56. Mazher, A.M.A.; El-Quesni, E.M.F.; Farhat, M.M. Response of Ornamental and Woody Trees to Salinity. World J. Agric. Sci. 2007, 3, 386–395. [Google Scholar]
  57. Munns, R. Comparative Physiology of Salt and Water Stress. Plant Cell Environ. 2002, 25, 239–250. [Google Scholar] [CrossRef] [PubMed]
  58. Ben Amor, N.; Ben Hamed, K.; Debez, A.; Grignon, C.; Abdelly, C. Physiological and Antioxidant Responses of the Perennial Halophyte Crithmum maritimum to Salinity. Plant Sci. 2005, 168, 889–899. [Google Scholar] [CrossRef]
  59. Zhu, J.K. Plant Salt Tolerance. Trends Plant Sci. 2001, 6, 66–71. [Google Scholar] [CrossRef] [PubMed]
  60. Maeda, Y.; Nakazawa, R. Effects of the timing of calcium application on the alleviation of salt stress in the maize, tall fescue, and reed canary grass seedlings. Biol. Plant. 2008, 52, 153–156. [Google Scholar] [CrossRef]
  61. Yang, C.W.; Wang, P.; Li, C.Y.; Shi, D.C.; Wang, D.L. Comparison of effects of salt and alkali stresses on the growth and photosynthesis of wheat. Photosynthetica 2008, 46, 107–114. [Google Scholar] [CrossRef]
  62. Dogan, M.; Tipirdamaz, R.; Demir, Y. Salt resistance of tomato species grown in sand culture. Plant. Soil Environ. 2010, 56, 499–507. [Google Scholar] [CrossRef]
  63. Adem, G.D.; Roy, S.J.; Zhou, M.; Bowman, J.P.; Shabala, S. Evaluating contribution of ionic, osmotic and oxidative stress components towards salinity tolerance in barley. BMC Plant Biol. 2014, 14, 113. [Google Scholar] [CrossRef] [PubMed]
  64. Pandolfi, C.; Mancuso, S.; Shabala, S. Physiology of acclimation to salinity stress in pea (Pisum sativum). Environ. Exp. Bot. 2012, 84, 44–51. [Google Scholar] [CrossRef]
  65. Shabala, S.; Shabala, S.; Cuin, T.A.; Pang, J.; Percey, W.; Chen, Z.; Conn, S.; Eing, C.; Wegner, L.H. Xylem Ionic Relations and Salinity Tolerance in Barley. Plant J. 2010, 61, 839–853. [Google Scholar] [CrossRef] [PubMed]
  66. Mahouachi, J. Long-Term Salt Stress Influence on Vegetative Growth and Foliar Nutrient Changes in Mango (Mangifera indica L.) Seedlings. Sci. Hortic. 2018, 234, 95–100. [Google Scholar] [CrossRef]
  67. Bohnert, H.J.; Jensen, R.G. Strategies for engineering water-stress tolerance in plants. Trends Biotechnol. 1996, 14, 89–97. [Google Scholar] [CrossRef]
  68. Hasegawa, P.M.; Bressan, R.A.; Zhu, J.K.; Bohnert, H.J. Plant cellular and molecular responses to High Salinity. Annu. Rev. Plant Biol. 2000, 51, 463–499. [Google Scholar] [CrossRef] [PubMed]
  69. Khedr, A.A.; Abbas, M.A.; Abdel Wahid, A.A.; Paul Quick, W.; Abogadallah, G.M. Proline induces the expression of salt-stress-responsive proteins and may improve the adaptation of Pancratium maritimum L. to salt-stress. J. Exp. Bot. 2003, 54, 2553–2562. [Google Scholar] [CrossRef] [PubMed]
  70. Silva-Ortega, C.O.; Ochoa-Alfaro, A.E.; Reyes-Agüero, J.A.; Aguado-Santacruz, G.A.; Jiménez-Bremont, J.F. Salt stress increases the expression of P5CS gene and induces proline accumulation in cactus pear. Plant Physiol. Biochem. 2008, 46, 82–92. [Google Scholar] [CrossRef]
  71. Banu, N.A.; Hoque, A.; Watanabe-Sugimoto, M.; Matsuoka, K.; Nakamura, Y.; Shimoishi, Y.; Murata, Y. Proline and Glycine Betaine Induce Antioxidant Defense Gene Expression and Suppress Cell Death in Cultured Tobacco Cells Under Salt Stress. J. Plant Physiol. 2009, 166, 146–156. [Google Scholar] [CrossRef] [PubMed]
  72. Hoque, M.A.; Okuma, E.; Banu, M.N.A.; Nakamura, Y.; Shimoishi, Y.; Murata, Y. Exogenous proline mitigates the detrimental effects of salt stress more than exogenous betaine by increasing antioxidant enzyme activities. J. Plant Physiol. 2007, 164, 553–561. [Google Scholar] [CrossRef]
  73. Salem, N.; Msaada, K.; Dhifi, W.; Limam, F.; Marzouk, B. Effect of Salinity on Plant Growth and Biological Activities of Carthamus tinctorius L. Extracts at Two Flowering Stages. Acta Physiol. Plant. 2014, 36, 433–445. [Google Scholar] [CrossRef]
  74. Navarro, J.M.; Flores, P.; Garrido, C.; Martinez, V. Changes in the Contents of Antioxidants Under Salinity Stress. J. Hortic. Sci. Biotechnol. 2006, 81, 543–550. [Google Scholar]
  75. Awika, J.M.; Rooney, L.W. Sorghum Phytochemicals and Their Potential Impact on Human Health. Phytochemistry 2004, 65, 1199–1221. [Google Scholar] [CrossRef] [PubMed]
  76. Selmar, D.; Kleinwachter, M. Influencing the Product Quality by Deliberately Applying Drought Stress During the Cultivation of Medicinal Plants. Ind. Crops Prod. 2013, 42, 558–566. [Google Scholar] [CrossRef]
Disclaimer/Publisher’s Note: The statements, opinions and data contained in all publications are solely those of the individual author(s) and contributor(s) and not of MDPI and/or the editor(s). MDPI and/or the editor(s) disclaim responsibility for any injury to people or property resulting from any ideas, methods, instructions or products referred to in the content.

Article Metrics

Citations

Article Access Statistics

Multiple requests from the same IP address are counted as one view.