Plant Biomass Production in Constructed Wetlands Treating Swine Wastewater in Tropical Climates
Abstract
:1. Introduction
2. Materials and Methods
2.1. Biomass Source
2.2. Operation and Duration of Monitoring
2.3. Survival to Adaptation and Survival of Plants
2.4. Measurement of Plant Development
2.5. Destructive Biomass Measurement
2.6. Non-Destructive Biomass Calculation. Non-Destructive Biomass Measurements
2.7. Quantification of Total Coliforms
2.8. Data Analysis
3. Results and Discussion
3.1. Monitoring Operation and Duration
3.2. Water Quality Parameters
3.2.1. Temperature, pH, Dissolved Oxygen
3.2.2. Physicochemical Parameters and Microorganisms
3.2.3. Removal of Contaminants
3.3. Biomass
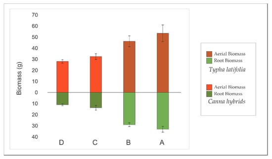
3.3.1. Destructive Biomass
3.3.2. Non-Destructive Biomass
4. Conclusions
Author Contributions
Funding
Informed Consent Statement
Data Availability Statement
Acknowledgments
Conflicts of Interest
References
- Garzón-Zuñiga, M.A.; Buelna, G. Caracterización de aguas residuales porcinas y su tratamiento por diferentes procesos en México. Rev. Int. Contam. Ambient. 2014, 30, 65–79. Available online: http://www.scielo.org.mx/scielo.php?script=sci_arttext&pid=S0188-49992014000100006&lng=es&nrm=iso (accessed on 29 October 2021).
- Parde, D.; Patwa, A.; Shukla, A.; Vijay, R.; Killedar, D.J.; Kumar, R. A review of constructed wetland on type, technology and treatment of wastewater. Environ. Technol. Innov. 2021, 21, 101261. [Google Scholar] [CrossRef]
- Hammer, D.A. (Ed.) Constructed Wetlands for Wastewater Treatment: Municipal, Industrial and Agricultural; CRC Press: Boca Raton, FL, USA, 2020; Available online: https://books.google.es/books?hl=es&lr=&id=wSAJEAAAQBAJ&oi=fnd&pg=PA1&dq=2.%09Hammer,+D.+A.+(Ed.).+Constructed+wetlands+for+wastewater+treatment:+municipal,+industrial+and+agricultural.+2020.+CRC+Press.+&ots=Oie5O_uWXw&sig=nwK0uapCME5099K4KFJOBfU2vug#v=onepage&q&f=false (accessed on 26 November 2021).
- Kataki, S.; Chatterjee, S.; Vairale, M.G.; Dwivedi, S.K.; Gupta, D.K. Constructed wetland, an eco-technology for wastewater treatment: A review on types of wastewater treated and components of the technology (macrophyte, biolfilm and substrate). J. Environ. Manag. 2021, 283, 111986. [Google Scholar] [CrossRef] [PubMed]
- Varma, M.; Gupta, A.K.; Ghosal, P.S.; Majumder, A. A review on performance of constructed wetlands in tropical and cold climate: Insights of mechanism, role of influencing factors, and system modification in low temperature. Sci. Total Environ. 2021, 755, 142540. [Google Scholar] [CrossRef]
- Stephenson, R.; Sheridan, C. Review of experimental procedures and modelling techniques for flow behaviour and their relation to residence time in constructed wetlands. J. Water Process Eng. 2021, 41, 102044. [Google Scholar] [CrossRef]
- Song, H.L.; Li, H.; Zhang, S.; Yang, Y.L.; Zhang, L.M.; Xu, H.; Yang, X.L. Fate of sulfadiazine and its corresponding resistance genes in up-flow microbial fuel cell coupled constructed wetlands: Effects of circuit operation mode and hydraulic retention time. Chem. Eng. J. 2018, 350, 920–929. [Google Scholar] [CrossRef]
- Vera, I.; Verdejo, N.; Chávez, W.; Jorquera, C.; Olave, J. Influence of hydraulic retention time and plant species on performance of mesocosm subsurface constructed wetlands during municipal wastewater treatment in super-arid areas. J. Environ. Sci. Health Part A 2016, 51, 105–113. [Google Scholar] [CrossRef]
- Yang, Y.; Zhao, Y.; Liu, R.; Morgan, D. Global development of various emerged substrates utilized in constructed wetlands. Bioresour. Technol. 2018, 261, 441–452. [Google Scholar] [CrossRef]
- Shelef, O.; Golan-Goldhirsh, A.; Gendler, T.; Rachmilevitch, S. Physiological parameters of plants as indicators of water quality in a constructed wetland. Environ. Sci. Pollut. Res. 2011, 18, 1234–1242. [Google Scholar] [CrossRef] [PubMed]
- Sánchez-Olivares, E.; Marín-Muñiz, J.L.; Hernández-Alarcón, M.E. Radial oxygen loss by roots of native tropical wetland plants of Veracruz in response of different flooding conditions. Bot. Sci. 2019, 97, 202–210. [Google Scholar] [CrossRef] [Green Version]
- Pedescoll, A.; Uggetti, E.; Llorens, E.; Granés, F.; García, D.; García, J. Practical method based on saturated hydraulic conductivity used to assess clogging in subsurface flow constructed wetlands. Ecol. Eng. 2009, 35, 1216–1224. [Google Scholar] [CrossRef]
- De Paoli, A.C.; Sperling, M.V. Evaluation of clogging in planted and unplanted horizontal subsurface flow constructed wetlands: Solids accumulation and hydraulic conductivity reduction. Water Sci. Technol. 2013, 67, 1345–1352. [Google Scholar] [CrossRef]
- Tang, P.; Yu, B.; Zhou, Y.; Zhang, Y.; Li, J. Clogging development and hydraulic performance of the horizontal subsurface flow stormwater constructed wetlands: A laboratory study. Environ. Sci. Pollut. Res. 2017, 24, 9210–9219. [Google Scholar] [CrossRef] [PubMed]
- Vymazal, J. Plants used in constructed wetlands with horizontal subsurface flow: A review. Hydrobiologia 2011, 674, 133–156. [Google Scholar] [CrossRef]
- Vymazal, J. Emergent plants used in free water surface constructed wetlands: A review. Ecol. Eng. 2013, 61, 582–592. [Google Scholar] [CrossRef]
- Sandoval, L.; Zamora-Castro, S.A.; Vidal-Álvarez, M.; Marín-Muñiz, J.L. Role of wetland plants and use of ornamental flowering plants in constructed wetlands for wastewater treatment: A review. Appl. Sci. 2019, 9, 685. [Google Scholar] [CrossRef] [Green Version]
- Kim, S.Y.; Geary, P.M. The impact of biomass harvesting on phosphorus uptake by wetland plants. Water Sci. Technol. 2001, 44, 61–67. [Google Scholar] [CrossRef]
- Thable, T.S. Einbau und Abbau von Stickstoffverbindungen aus Abwasser in der Wurzelraumanlage Othfresen. Ph.D. Thesis, University of Kassel, Kassel, Germany, 1984. [Google Scholar]
- Marín-Muñiz, J.L.; García-González, M.C.; Ruelas-Monjardín, L.C.; Moreno-Casasola, P. Influence of different porous media and ornamental vegetation on wastewater pollutant removal in vertical subsurface flow wetland microcosms. Environ. Eng. Sci. 2018, 35, 88–94. [Google Scholar] [CrossRef]
- Caselles-Osorio, A.; García, J. Impact of different feeding strategies and plant presence on the performance of shallow horizontal subsurface-flow constructed wetlands. Sci. Total Environment. 2007, 378, 253–262. [Google Scholar] [CrossRef]
- Stottmeister, U.; Wießner, A.; Kuschk, P.; Kappelmeyer, U.; Kästner, M.; Bederski, O.; Moormann, H. Effects of plants and microorganisms in constructed wetlands for wastewater treatment. Biotechnol. Adv. 2001, 22, 93–117. [Google Scholar] [CrossRef]
- Wen, Y.; Chen, Y.; Zheng, N.; Yang, D.; Zhou, Q. Effects of plant biomass on nitrate removal and transformation of carbon sources in subsurface-flow constructed wetlands. Bioresour. Technol. 2010, 101, 7286–7292. [Google Scholar] [CrossRef]
- Jia, L.; Wang, R.; Feng, L.; Zhou, X.; Lv, J.; Wu, H. Intensified nitrogen removal in intermittently-aerated vertical flow constructed wetlands with agricultural biomass: Effect of influent C/N ratios. Chem. Eng. J. 2018, 345, 22–30. [Google Scholar] [CrossRef] [Green Version]
- Avellán, T.; Gremillion, P. Constructed wetlands for resource recovery in developing countries. Renew. Sustain. Energy Rev. 2019, 99, 42–57. [Google Scholar] [CrossRef]
- Fia, F.R.L.; de Matos, A.T.; Fia, R.; de Matos, M.P.; Borges, A.C.; Baptestini, G.C.F. Kinetics and Removal Efficiency of Nitrogen in Constructed Wetlands Cultivated with Different Plant Species for Treating Swine Wastewater Applied at Different Rates. Water Air Soil Pollut. 2021, 232, 5–22. [Google Scholar] [CrossRef]
- Feng, L.; He, S.; Wei, L.; Zhang, J.; Wu, H. Impacts of aeration and biochar on physiological characteristics of plants and microbial communities and metabolites in constructed wetland microcosms for treating swine wastewater. Environ. Res. 2021, 111415. [Google Scholar] [CrossRef] [PubMed]
- Tejeda, A.; Barrera, A.; Zurita, F. Adsorption capacity of a volcanic rock—Used in constructedwetlands—For carbamazepine removal, and its modification with biofilm growth. Water 2017, 9, 721. [Google Scholar] [CrossRef]
- INEGI. 2021. Available online: http://cuentame.inegi.org.mx/monografias/informacion/ver/territorio/clima.aspx?tema=me&e=30 (accessed on 28 October 2021).
- Marín-Muñiz, J.L. Remoción de contaminantes de aguas residuales por medio de humedales artificiales establecidos en el municipio de Actopan, Veracruz, México. Rev. Mex. Ing. Química 2016, 15, 553–563. Available online: https://www.redalyc.org/pdf/620/62046829021.pdf (accessed on 18 October 2021). [CrossRef]
- APHA/AWWA/WEF. Standard Methods for the Examination of Water and Wastewater; American Public Health Association: Washington, DC, USA, 2005. [Google Scholar]
- Akratos, C.S.; Tsihrintzis, V.A. Effect of temperature, HRT, vegetation and porous media on removal efficiency of pilot-scale horizontal subsurface flow constructed wetlands. Ecol. Eng. 2007, 29, 173–191. [Google Scholar] [CrossRef]
- Sandoval-Herazo, M.; Nani, G.; Sandoval, L.; Rivera, S.; Fernández-Lambert, G.; Alvarado-Lassman, A. Evaluation of the performance of vertical partially saturated constructed wetlands for sewage treatment swine. Trop. Subtrop. Agroecosyst. 2020, 23. Available online: https://www.revista.ccba.uady.mx/ojs/index.php/TSA/article/view/3138 (accessed on 21 October 2021).
- Winthrop, A.C.; Hook, B.; Biederman, A.J.; Stein, R.O. Temperature and Wetland Plant Species Effects on Wastewater Treatment and Root Zone Oxidation. J. Environ. Qual. 2002, 31, 1010. [Google Scholar] [CrossRef]
- Sandoval-Herazo, L.C.; Alvarado-Lassman, A.; Marín-Muñiz, J.L.; Méndez-Contreras, J.M.; Zamora-Castro, S.A. Effects of the use of ornamental plants and different substrates in the removal of wastewater pollutants through microcosms of constructed wetlands. Sustainability 2018, 10, 1594. [Google Scholar] [CrossRef] [Green Version]
- Li, X.; Li, Y.; Li, Y.; Wu, J. Enhanced nitrogen removal and quantitative analysis of removal mechanism in multistage surface flow constructed wetlands for the large-scale treatment of swine wastewater. J. Environ. Manag. 2019, 15, 575–582. [Google Scholar] [CrossRef]
- Reddy, G.B.; Forbes, D.A.; Hunt, P.G.; Cyrus, J.S. Effect of polyaluminium chloride on phosphorus removal in constructed wetlands treated with swine wastewater. Water Sci. Technol. 2011, 63, 2938–2943. [Google Scholar] [CrossRef] [PubMed]
- Bedoya Pérez, J.C.; Ardila Arias, A.N.; Reyes Calle, J. Evaluation of a subsurface flow constructed wetland in treating wastewater generated at the University Institution College of Antioquia, Colombia. Rev. Int. Contam. Ambient. 2014, 30, 275–283. [Google Scholar]
- De la Cruz, N.; Esquius, L.; Grandjean, D.; Magnet, A.; Tungler, A.; De Alencastro, L.F.; Pulgarín, C. Degradación de contaminantes emergentes por UV, UV/H2O2 y foto-Fenton neutro a escala piloto en una planta de tratamiento de aguas residuales domésticas. Investig. Sobre Agua 2013, 47, 5836–5845. [Google Scholar]
- Yousaf, A.; Khalid, N.; Aqeel, M.; Noman, A.; Naeem, N.; Sarfraz, W.; Khalid, A. Nitrogen Dynamics in Wetland Systems and Its Impact on Biodiversity. Nitrogen 2021, 2, 13. [Google Scholar] [CrossRef]
- Reddy, K.R.; Kadlec, R.H.; Flaig, E.; Gale, P.M. Phosphorus Retention in Streams and Wetlands: A Review. Crit. Rev. Environ. Sci. Technol. 1999, 29, 83–146. [Google Scholar] [CrossRef]
- Spenser, E. Constructed Wetlands for Wastewater Treatment and Wildlife Habitat; United States Environmental Protection Agency: Washington, DC, USA, 1993.
- Ottová, V.; Balcarová, J.; Vymazal, J. Microbial characteristics of constructed wetlands. Water Sci. Technol. 1997, 35, 117–123. [Google Scholar] [CrossRef]
- Giácoman-Vallejos, G.; Ponce-Caballero, C.; Champagne, P. Pathogen removal from domestic and swine wastewater by experimental constructed wetlands. Water Sci. Technol. 2015, 71, 1263–1270. [Google Scholar] [CrossRef]
- Udom, I.J.; Mbajiorgu, C.C.; Oboho, E.O. Development and evaluation of a constructed pilot-scale horizontal subsurface flow wetland treating piggery wastewater. Ain Shams Eng. J. 2018, 9, 3179–3185. [Google Scholar] [CrossRef]
- Aslam, M.M.; Malik, M.; Baig, M.A.; Qazi, I.A.; Iqbal, J. Treatment performances of compost-based and gravel-based vertical flow wetlands operated identically for refinery wastewater treatment in Pakistan. Ecol. Eng. 2007, 30, 34–42. [Google Scholar] [CrossRef]
- Rajwade, V.B.; Banafar, R.N.; Pathak, A.C. Growth analysis of potato in relation to biodinamic package and organic manures with chemical fertilizers. J. Indian Potato Assoc. 2000, 27, 55–58. [Google Scholar]
- Barrientos Llanos, H.; Del Castillo Gutiérrez, C.R.; García Cárdenas, M. Análisis de crecimiento funcional, acumulación de biomasa y translocación de materia seca de ocho hortalizas cultivadas en invernadero. Rev. Investig. Innovación Agropecu. Recur. Nat. 2015, 2, 76–86. Available online: http://www.scielo.org.bo/scielo.php?pid=S2409-16182015000100010&script=sci_arttext (accessed on 24 November 2021).
- Coleman, J.; Hench, K.; Garbutt, K.; Sexstone, A.; Bissonnette, G.; Skousen, J. Treatment of domestic wastewater by three plant species in constructed wetlands. Water Air Soil Pollut. 2001, 128, 283–295. [Google Scholar] [CrossRef]
- Soto, F.; García, M.; de Luís, E.; Bécares, E. Role of Scirpus lacustris in bacterial removal from wastewater. Water Sci. Technol. 1999, 40, 241–247. [Google Scholar] [CrossRef]
- Licata, M.; Gennaro, M.C.; Tuttolomondo, T.; Leto, C.; La Bella, S. Investigación centrada en el rendimiento de las plantas en humedales artificiales y aplicación agronómica de aguas residuales tratadas: Un conjunto de estudios experimentales en Sicilia (Italia). PLoS ONE 2019, 14, 12. [Google Scholar] [CrossRef]
- Delgadillo-López, A.E.; González-Ramírez, C.A.; Prieto-García, F.; Villagómez-Ibarra, J.R.; Acevedo-Sandoval, O. Fitorremediación: Una alternativa para eliminar la contaminación. Trop. Subtrop. Agroecosyst. 2011, 14, 597–612. [Google Scholar]





| Parameter | Input (mg L−1) | Output (mg L−1) | Method |
|---|---|---|---|
| Water temperature (°C) | 16.4 ± 4.2 | 15.2 ± 2.5 | Standard Method [31] |
| Dissolved Oxygen (DO) | 1.7 ± 0.3 | 2.4 ± 0.2 | |
| pH | 7.1 ± 0.2 | 7.8 ± 0.3 | |
| Chemical Oxygen Demand (COD) | 789.6 ± 134.1 | 129.8 ± 53.6 | |
| Total Suspended Solids (TSS) | 607.3 ± 107.5 | 108 ± 94.5 | |
| Total Nitrogen (TN) | 294.3 ± 46.6 | 16.4 ± 9.1 | |
| Total Phosphorus (TP) | 53.4 ± 12.4 | 9.4 ± 4.6 | |
| Total Coliforms (TC) | 1.6 × 100± 0.7 | 9 × 10−1 ± 0.6 |
| Species | Number of Plants per Month | Average Plant Height (m) at the End of the Study (Month 6) | ||||||
|---|---|---|---|---|---|---|---|---|
| 1 | 2 | 3 | 4 | 5 | 6 | |||
| Typha latifolia | Initial | 300 | 172 | 257 | 253 | 305 | 379 | 1.72 |
| Dead | 128 | 0 | 43 | 0 | 0 | 0 | ||
| New | 0 | 85 | 39 | 52 | 74 | 47 | 0.74 | |
| Sown in natural environment | - | - | - | - | - | - | 1.56 | |
| Canna hybrids | Initial | 300 | 274 | 274 | 386 | 481 | 521 | 1.61 |
| Dead | 26 | 0 | 0 | 0 | 0 | 0 | ||
| New | 0 | 0 | 112 | 95 | 40 | 61 | 0.54 | |
| Sown in natural environment | - | - | - | - | - | - | 0.97 | |
| Plant | Zone | Total Biomass (g) | |
|---|---|---|---|
| Typha latifolia | A | Aerial | 16,585.80 |
| Root | 10,482.80 | ||
| B | Aerial | 20,238.60 | |
| Root | 12,582.80 | ||
| Canna hybrids | C | Aerial | 14,588.00 |
| Root | 5835.20 | ||
| D | Aerial | 18,500.40 | |
| Root | 7879.80 | ||
| Total | 106,693.40 | ||
Publisher’s Note: MDPI stays neutral with regard to jurisdictional claims in published maps and institutional affiliations. |
© 2021 by the authors. Licensee MDPI, Basel, Switzerland. This article is an open access article distributed under the terms and conditions of the Creative Commons Attribution (CC BY) license (https://creativecommons.org/licenses/by/4.0/).
Share and Cite
Sandoval-Herazo, M.; Martínez-Reséndiz, G.; Fernández Echeverria, E.; Fernández-Lambert, G.; Sandoval Herazo, L.C. Plant Biomass Production in Constructed Wetlands Treating Swine Wastewater in Tropical Climates. Fermentation 2021, 7, 296. https://doi.org/10.3390/fermentation7040296
Sandoval-Herazo M, Martínez-Reséndiz G, Fernández Echeverria E, Fernández-Lambert G, Sandoval Herazo LC. Plant Biomass Production in Constructed Wetlands Treating Swine Wastewater in Tropical Climates. Fermentation. 2021; 7(4):296. https://doi.org/10.3390/fermentation7040296
Chicago/Turabian StyleSandoval-Herazo, Mayerlin, Georgina Martínez-Reséndiz, Eduardo Fernández Echeverria, Gregorio Fernández-Lambert, and Luis Carlos Sandoval Herazo. 2021. "Plant Biomass Production in Constructed Wetlands Treating Swine Wastewater in Tropical Climates" Fermentation 7, no. 4: 296. https://doi.org/10.3390/fermentation7040296
APA StyleSandoval-Herazo, M., Martínez-Reséndiz, G., Fernández Echeverria, E., Fernández-Lambert, G., & Sandoval Herazo, L. C. (2021). Plant Biomass Production in Constructed Wetlands Treating Swine Wastewater in Tropical Climates. Fermentation, 7(4), 296. https://doi.org/10.3390/fermentation7040296

