Abstract
Phase change modeling in porous media is among the important challenges in many essential engineering problems, including thermal management, energy conservation or recovery, and heat transfer. One particularly efficient method of dissipating heat in a porous material is transpiration cooling with phase change. It is one of the most innovative cooling methods available for removing excessive heat flux from engine components such as combustors or gas turbine blades. There is, however, a lack of in-depth understanding of the interconnected mechanisms involved in such an application. In this work, an innovative numerical solver built on the OpenFOAM environment is constructed in order to explore the phase change process in a porous medium. The volume-of-fluid method and the Lee phase change model are applied in this numerical approach. The effects of coolant flow mass rate, heat flux, and porosity of porous structure on temperature and saturation distribution are investigated and discussed. The effects of both the external heat flux and the coolant mass flow rate under fixed porosity are also studied. The phase change is then delayed in the porous matrix when the amount of the injected coolant is increased. It reduces the area of two-phase and vapor regions. Also, a considerable rise in the upper surface temperature is obtained when the input heat flux or the porosity is separately enhanced.
1. Introduction
The common topic of two-phase flow and heat transfer within a porous matrix has attracted a lot of attention in recent years [1,2,3]. It is mainly due to the complexity of this process across several fields, including transpiration cooling [4,5], heat pipe [6,7,8,9], fuel cell technology [10], enhancement of heat transfer [11], building energy conservation [12], geothermal energy recovery [13], aquifer remediation, and oil recovery [14,15,16].
One useful application of dissipating heat in porous material is the transpiration cooling process. It is one of the most advanced cooling methods that may be used for removing high heat flux from combustors [17], gas turbine blades [18,19], rocket nozzles [5,20,21], and other engine components. If a solid component is exposed to heat radiation or a hot gas without any type of protection, it can reach extremely high temperatures, bend, and burn. In this case, the solid component can be thermally protected by transpiration cooling, which is achieved by covering it with a porous material and injecting the coolant from the interior of the permeable wall. Once the coolant has passed through the porous matrix, it produces a film on the porous surface. As the coolant flows through the porous medium, it absorbs heat, decreasing the amount of heat flux that reaches the porous surface. Transpiration cooling can be achieved using either a liquid or vapor coolant. Liquid coolants have the capacity to absorb a significant quantity of latent heat during the phase change process. Hence, transpiration cooling using liquid is more efficient than that using vapor.
A particular interest has been shown in transpiration cooling as an effective method to dissipate heat in recent years. Several studies have delved into this topic, focusing on different aspects such as numerical investigations, experimental studies, flow characterization, and optimization methods. Some analytical, computational, and experimental research on transpiration cooling using a gaseous coolant is described in the literature [22,23,24]. Many researchers are also interested in thermal instabilities that might occur during transpiration. A practical study and theoretical analysis of the unstable transpiration cooling performances are presented by Luan et al. [25]. They show that under a specific mainstream temperature and a range of coolant injection rates, the transpiration cooling will instead fluctuate frequently. Then, they explained the fundamental reason for this fluctuation theoretically. Wanstall et al. [26] used linear stability analysis to examine the start of instability and offered a base state solution. They demonstrated that incorporating non-linear density effects has a stabilizing impact and examined the impact of changing the porous media’s net through-flow.
In contrast, several studies focus on the use of the liquid coolant. Ma et al. [27], in their experimental study of transpiration cooling of a porous plate with phase change, found that the efficiency of transpiration cooling increased with increasing coolant injection ratio, the surface temperature significantly decreased along the mainstream flow direction, and the injection pressure increased with the phase change. New mass, momentum, and energy conservation equations were presented by He et al. [28] to describe heat absorption, fluid flow, and phase change in porous media.
He et al. [29] investigated the essential heat flux and coolant volume needed for transpiration cooling with phase change in a computational study in order to protect thermal structures from excessive heat flux. Shen et al.’s experimental study on transpiration cooling under supersonic settings [4] confirmed the feasibility of transpiration cooling with liquid coolant. In their experimental investigation of transpiration cooling with phase change for sintered porous plates, Huang et al. [30] examined the impact of the coolant injection ratio and the particle diameter on the cooling performance. Hu et al. [31] proposed a modified energy equation model for flow boiling in porous medium, specifically for transpiration cooling at low pressures with transient effects. Su et al. [32] simplified the mathematical model of liquid transpiration cooling to overcome the complexity of coolant flow, phase change, and heat absorption within a porous medium. Cheng et al. [33] discussed transpiration cooling with phase change using a functionally graded porous matrix, highlighting the importance of material properties in enhancing cooling performance. Xin et al. [34], using a modified separate flow model, conducted a computational analysis of transpiration cooling during phase change, taking into account the capillarity, non-isothermal properties, and the local thermal non-equilibrium characteristics. The effects of the thermal conductivity, the porosity, the sphere diameter, the heat transfer coefficient, and the primary flow temperature on the saturation and temperature dispersions, as well as the temperature difference, were then examined. Wang et al. [35] constructed a phase change transpiration cooling mathematical model. They compared their approach with the constant property model, taking into account the real variation in water thermodynamic characteristics. The obtained numerical results show that significant variations in different thermodynamic properties were obtained when pressure and temperature varied. It resulted in an increase in the coolant driving power and the phase change temperature. Bandivadekar and Minisci [36] examined in their work the transpiration cooling technique used in re-entry vehicle thermal protection systems using the OpenFOAM framework. The results show that, depending on variables like the coolant pressure and the wall temperature, there is a discernible decrease in the heat flux along the cylindrical vehicle’s surface.
Wang et al. [37] presented a novel method and an adjusted separated phase model (SPM) using the OpenFOAM platform. This model offers a sufficiently thorough reference and aids in the understanding of the transient performances of phase change transpiration cooling in highly efficient heat dissipation systems. Jiang et al. [38] emphasized the efficiency of transpiration cooling in protecting solid surfaces from high-heat-flux environments, underlining its applicability in various high-temperature settings such as rocket thrusts and gas turbine blades. He et al. [39] proposed an optimization strategy involving the use of porous media whose structure is gradually changing in order to overcome issues such as uneven heating and vapor obstruction, which can reduce the efficiency of transpiration cooling. Furthermore, Hermann et al. [40] discussed the thermal impulse response for transpiration cooling systems in porous structures. They highlighted the simplicity and effectiveness of transpiration-cooled systems. In fact, by injecting a cool fluid through a porous medium, the heat dissipation is improved.
In conclusion, research on transpiration cooling, including phase change in porous matrix, encompasses a wide range of experimental, numerical, and optimization studies aimed at improving cooling efficiency in high-temperature environments. By combining practical experiments with theoretical simulations and optimization techniques, researchers aim to develop innovative cooling solutions for various applications.
The problem of heat and mass transfer in a porous structure has not been thoroughly studied despite extensive analysis in specialized literature. In this work, we developed a new numerical methodology for determining the relative position of the interfaces between various regions in a porous matrix. An altogether unique phase change model is validated and uniformly used within the two-phase flow. This numerical tool is used to simulate heat and mass transfer involved in the cooling transpiration process through a one-dimensional assumed porous structure. The impact of the mass rate of the coolant flow, the heat flux, and the porosity of the porous medium are then investigated. Their effects on the temperature distribution and the liquid fraction within the two-phase and single-phase regions are also discussed. In addition, the effect of both external heat flux and coolant mass flow rate under fixed porosity is studied.
2. Mathematical Model
The governing equations and numerical methods used to investigate transpiration cooling with phase change through a porous medium are described hereby.
2.1. Physical Model
The mechanism of transpiration cooling with liquid phase change is numerically investigated in order to protect a thermal structure exposed to extremely high heat flux.
The physical model used in this research is shown in Figure 1. The water is being used as the working fluid. A porous matrix with a thickness of 0.1 m is set horizontally. The fluid moves against gravity. With a fixed mass flow rate of and temperature Tc, liquid water was injected into the porous matrix from the bottom surface of the porous matrix. In addition, a given heat flux Q is set at the upper surface. As it moves through the pores, the liquid coolant absorbs heat, leading to a phase change. The generated vapor is then released. Three stratified regions are accordingly obtained from the porous matrix bottom: the liquid region, the two-phase region, and the vapor region (Figure 1).
Figure 1.
Physical model during transpiration cooling with liquid coolant phase change.
Table 1 summarizes the thermophysical properties of the coolant fluid (water) considered in this study.
Table 1.
Thermophysical properties of saturated water at the reference temperature (373.15 K).
2.2. Governing Equations
The governing equations for the transpiration cooling model are presented in this section. It is assumed that the porous matrix is homogenous and isotropic. The liquid and vapor phases are considered incompressible, immiscible, and in local equilibrium with the porous zone. These equations are then solved using the finite volume method (FVM) afterward [41,42].
Eulerian methods are more suitable to describe two-phase flows experiencing complex and changing topology. In the current study, the volume of fluid (VOF) [43] is used. It presents a primary illustrative example of the Eulerian approach.
The numerical methods are classified according to the interface’s thickness. In fact, the interface zone is a thin layer involving two different phases of matter. There are sharp and diffuse interface approaches in numerical methods. The sharp interface method, used in this study, is preferred for implementing the phase change procedure when the interface thickness is assumed to be extremely small. As a result, the various physical characteristics of the fluid mixture, such as density or viscosity, are always discontinuous through that interface. This interface tracking method conserves mass well, but it offers low accuracy for the interface curvature or the normal vector estimation [41].
The VOF approach resolves the interface between two phases in a fixed grid using a discontinuous scalar color function. This scalar αi, the volume fraction of the ith phase or the saturation term, is the ratio of the element volume of the ith phase () to the total elemental volume of all phases () and is defined as
The two-phase flow thermo-physical properties such as density (ρ) and viscosity (µ) are calculated by
where , yf has the physical properties of liquid, and where , it has the physical properties of vapor. The interface moves along the flow; thus, the volume fraction is advected to maintain the interface.
Porous media are a solid matrix with several interconnected voids, or pores. The voids contain one or more fluids that can move through the medium since they are linked. The porosity (ε) is a physical quantity defined as the ratio between the volume of voids and the total volume of a porous medium:
The governing equations for liquid and vapor must be specified in addition to the solid matrix. The interactions between solids, liquids, and vapors are essential for applications involving mass and heat transport. Consequently, all possible phase transitions between liquid and vapor must be taken into consideration in the governing equation for both phases. The transport equations for the vapor, v, and liquid, l, phases are given in [42].
Continuity equation
Both phases, vapor and liquid, occupy the pores of the porous medium, the continuity equation is provided by
For incompressible flow, these equations reduce to
where is the volumetric mass transfer term (kg/m3s). This term shows the rate of evaporation when it is positive and condensation when it is negative. is the pondered velocity and given by
Momentum equation
Flow in porous structure is governed by the momentum equation, which must consider the inertial drag component (Forchheimer term) and the dispersion effect of the amount of movement on the flow (Brinkman term) at the macroscopic scale. The momentum equation is given by
With
the geometric function ( and the permeability of porous media (K) are given by, respectively [44],
Using the continuous surface force model (CSF) [45], the last term in Equation (9) is surface tension.
The interface curvature κ is
is the smoothed VOF function determined by filtering across a limited region at the interface. Over a thin region, the fluid interface in the VOF method changes sharply.
Energy equation
By assuming that the flow is incompressible, removing the viscosity dissipation term, and considering that the fluid and solid are in local thermal equilibrium, the energy equation can be obtained:
where the effective heat capacity is
and the heat capacity of the fluid is
and the effective thermal conductivity is
2.3. Phase Change Model
The main aim is to investigate the mass and energy transfer during phase changes from liquid to gas under particular conditions. As a result, a new phase change model can be quickly implemented. The “Lee model” for the change phase has been suggested in [46].
This model assumes that the phase change mass flow is carried out under constant pressure and quasi-thermo-equilibrium conditions. The following formula is used to obtain the volumetric transferred mass rate:
where the mass transfer intensity factor (in s−1) is represented by the empirical coefficients rc and re. Their value range in the literature is 0.1 to 107 s−1 [47,48].
2.4. Pressure Velocity Coupling
Several pressure–velocity coupled algorithms are currently available with OpenFOAM solvers. For transient problems, the pressure implicit split operator PISO [49] is used; for steady-state applications, there is the semi-implicit method for pressure-linked equation, SIMPLE [50], or the mixture of these two algorithms, PIMPLE [51], is utilized. Larger time steps can be set by the user with this combination. There may be some computational limitations with these algorithms since they are essentially iterative methods for connecting equations of mass and momentum. They solve a pressure equation while explicitly adjusting the velocity in order to guarantee mass conservation and satisfy momentum conservation. Even though they all provide the same solution to the governing equation, their methods for looping over the problem differ primarily from one another.
Since the PIMPLE approach was employed in our case, the pressure Poisson equation for the domain must be developed. The divergence operator can be applied to the momentum equation Equation (8) to obtain the pressure Poisson expression:
where H (U) includes source terms and off-diagonal coefficients, and ap is the velocity matrix’s diagonal coefficient. These terms are determined from the preceding velocity field iteration or time step.
2.5. Phase Transport Equation for Volume Fraction
Capturing the interface is advised while the volume fraction moves with the flow. To obtain the volume fraction’s transport equation, we consider the global continuity equation.
where the fluid density is given by
We can obtain the following equation by substituting by its expression in Equation (23) into Equation (22) and rearranging:
The continuity equation Equation (8) is used to construct the transport equation in our case involving a phase change process in porous media. Consequently, we obtain the following transport equation for αL:
In OpenFAOM, the transport equation includes the extra divergence factor. The contribution of this term is limited to the interface area (0 < αL < 1) [52]:
where the artificial compressive velocity is denoted by Uc. In the normal direction toward that interface, it is determined to prevent any excessive dispersion of interface thickness [53].
2.6. Boundary Conditions
The boundary conditions applied are as follows:
At the upper side:
left and right vertical sides:
coolant inlet: at y = −L:
Numerical tests using different grid systems were carried out to choose the appropriate one, which ensures the independence of the solution to grid size and produces sufficiently accurate results.
3. Numerical Details
In this section, we provide the details for the numerical implementation in the OpenFOAM-6 open-source software. It is an adaptable and potent C++ package containing operating functions and software (utilities and solvers) for scalar, vector, and tensor fields [54]. It is primarily based on the finite volume method and may be easily extended and adapted for new applications involving any set of partial differential equations.
The current solver, porousPhaseChangeFoam, was created using OpenFOAM-6 and based on the existing interPhaseChangeFoam solver. Cavitation-related fluid flow problems can be solved with the native solver. It can manage two incompressible, isothermal, immiscible fluid flows with potential mass transfer. The moving interface is captured using the VOF (volume of fluid) phase-fraction-based technique. Although the offered set of phase change types was intended to simulate cavitation, the same solver structure might be applied to other phase change models as well. The Lee model (Section 2.3) was applied in the present case.
The porousPhaseChangeFoam solver is built in OpenFOAM to simulate the two-phase flow in a porous structure by solving Equations (8), (15), (21), and (26). Different features of the new solver might be observed in order to simulate various processes. The numerical procedure tree is mainly described in Appendix A. These attributes are summarized as follows:
- The transfer equation for thermal energy (TEqn.H) is extended to include the energy source term to predict temperature distribution at each time step.
- A new library for the Lee model’s phase change model (Lee.C) is implemented to solve evaporation and condensation and to calculate mass transfer rates in various applications.
- In addition, the original velocity equation (UEqn.H) and pressure equation (pEqn.H) are adjusted with the suitable source terms considering the porous components in the governing equations and the transport equation (alphaEqn.H) of the volume fraction.
It is also worth mentioning that the liquid phase is considered the primary phase. A transient solution with a self-adjusted time step is carried out in the model. A maximum global Courant number of 0.2 was set to ensure the stability of the simulation solutions. The pseudo-steady state regime is reached when the main parameters (temperature, pressure, and velocity) are almost stable (less than 3% of time-step fluctuations). The convergence criteria of the solutions must be lower than 10−10. A (16-core CPU with 12Go RAM) computer is used for the development, the test, and the simulation of the investigated numerical cases.
4. Mesh Independence Test
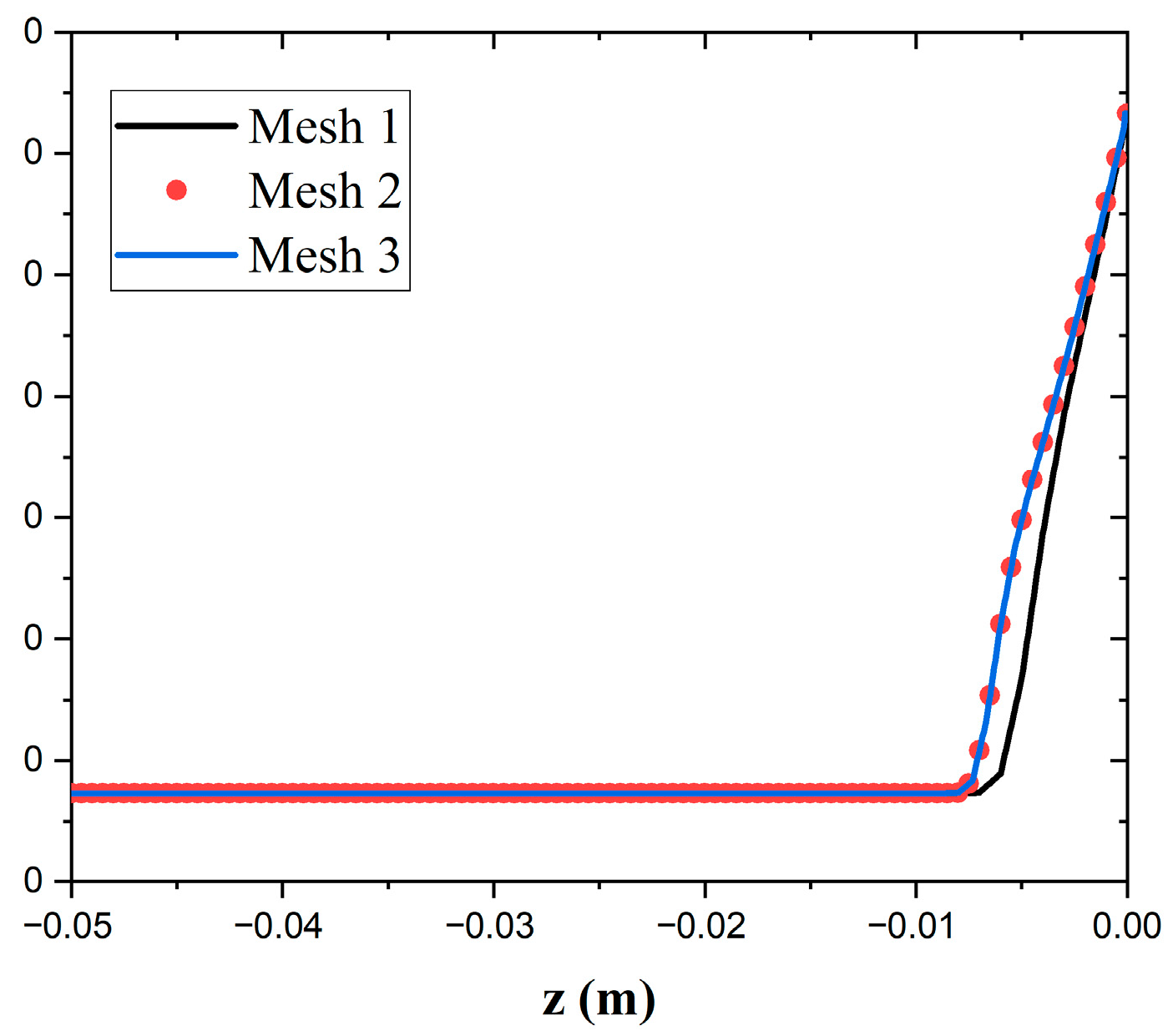
Numerical tests using three different grid numbers, with different mesh stats points, Mesh 1: 204, Mesh 2: 304, Mesh 3: 404, were carried out, and the corresponding numerical results were used to examine the mesh independence.
In this section, the porosity is 0.35. The imposed heat flux is 1.5 MW/m2, and the mass flux of coolant is 0.4 kg/m2s. Figure 2 shows the temperature distribution along the porous matrix. The simulation results in Figure 2 provided by mesh 2 and mesh 3 are extremely similar. Hence, in the following numerical simulations, Mesh 2 is applied in order to save computational resources and guarantee computational accuracy. We also verified that it fits well for the remaining test cases, since we considered a fixed simulation domain.
Figure 2.
Temperature distribution under three different meshes.
5. Validation
5.1. Validation with Previous Numerical Results
We provide in this part the numerical results generated and compared with data from the earlier work of He et al. [28] for a range of coolant mass flow rates.
The porous matrix, shown in Figure 1, used in this study has a porosity of 0.35, a sphere diameter of 5.10−4 m, and thermal conductivity of 30 W/mK. The thermophysical properties of water used as the working fluid are listed in Table 1.
Figure 3 exhibits the obtained temperature distributions (continuous curves) in comparison with previous work data (separate symbols) [28]. As shown, there is a good accord between them, with a maximum relative error of 5.5%. Therefore, these results demonstrate the new solver’s effectiveness in precisely examining heat transport problems with phase change in porous media.
Figure 3.
Comparison of temperature distribution for the validation case of the CFD simulation (continuous curves) by He et al. [28] (separate symbols).
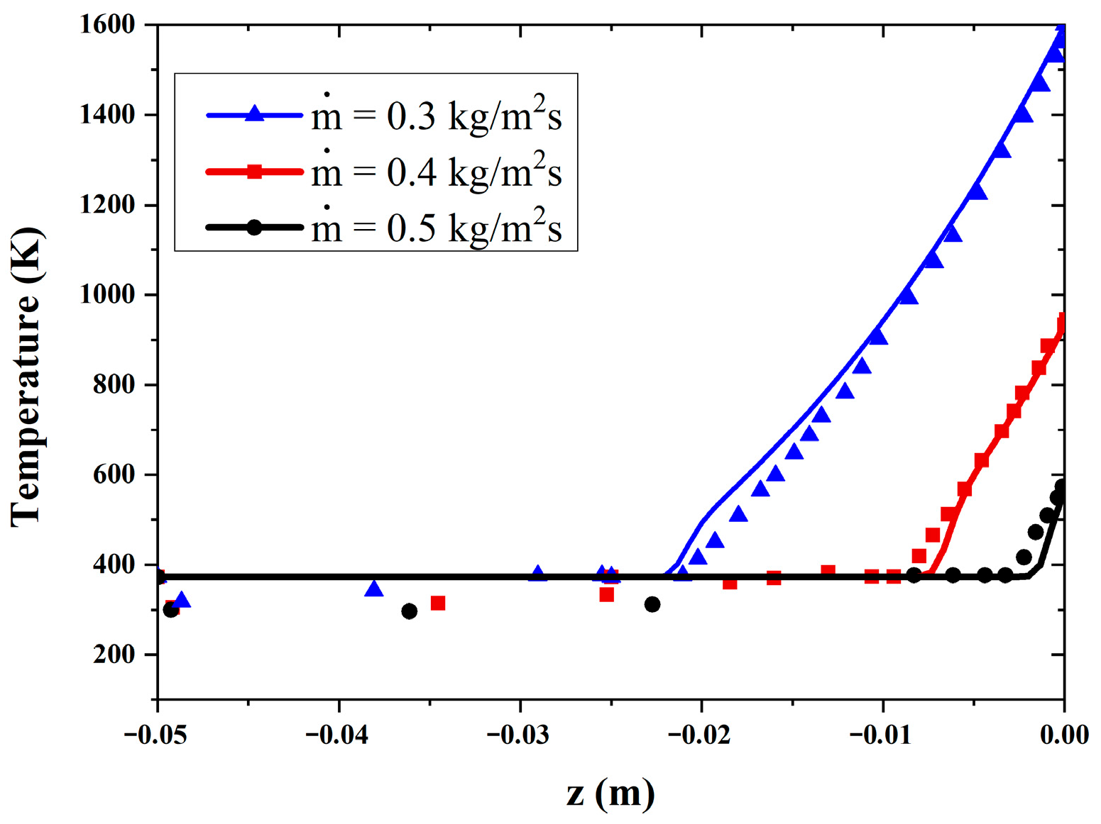
5.2. Validation with Experimental Data
The experimental system data in ref. [31] is utilized to validate the suggested numerical model. We adopted our numerical model under the same experimental conditions illustrated in ref. [31]. Made of sintered metal copper with a porosity of 0.318 and a particle diameter of 0.20 mm, the porous matrix was a cylinder with a radius of 40 mm and a length of 100 mm. Above the cylinder surface, a xenon lamp is mounted to produce a 0.21 MW/m2 heat flux. At a constant temperature of 300 K, the mass flow rates of water were 5.67 g/min and 7.45 g/min, respectively. To measure the temperature of the porous matrix, seven thermocouples were arranged along the direction of the coolant flow.
As shown in Figure 4, the modeling results and experimental data are quite similar, with a maximum relative error of no more than 6.5%. As a result, the numerical approach and mathematical model are considered valid.
Figure 4.
Comparison of numerical results (solid lines) and experimental data [31] (separate symbols).
6. Results and Discussion
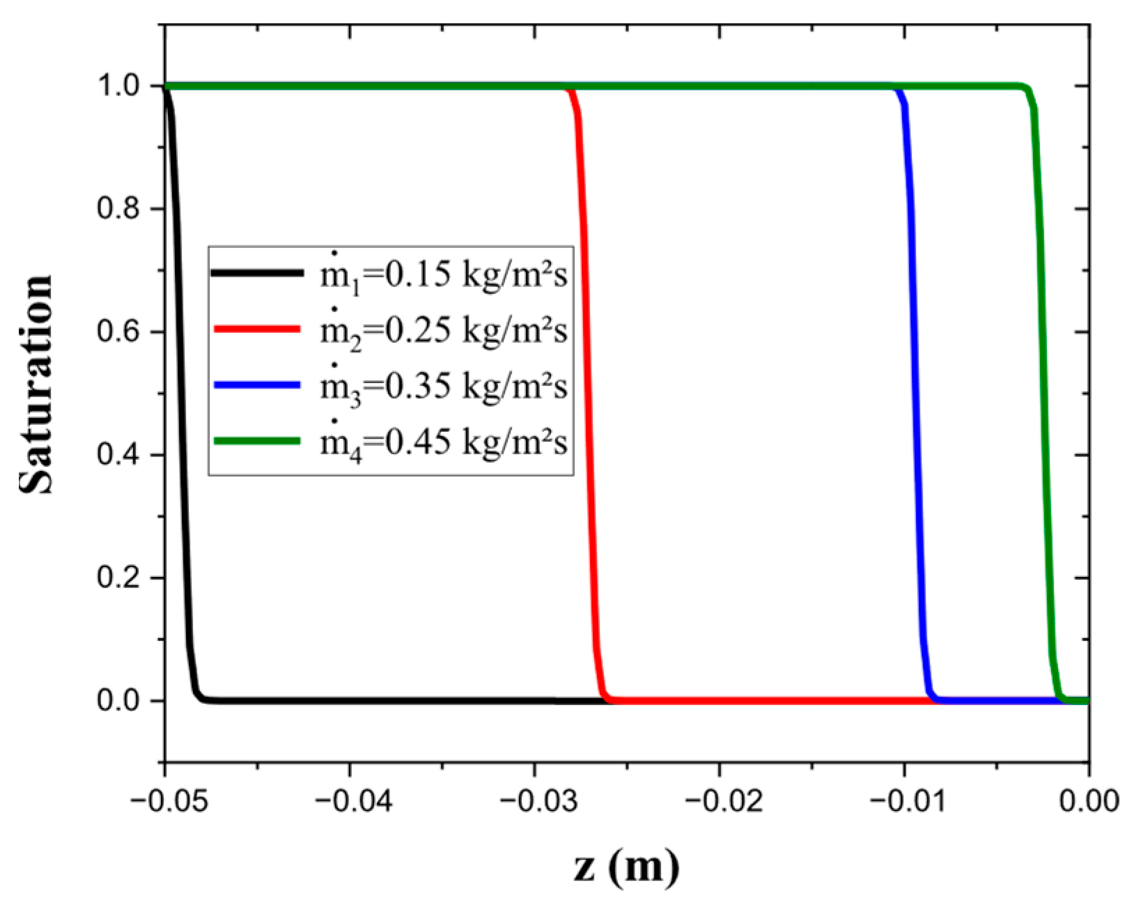
6.1. Effect of the Coolant Flow Mass Rate
To investigate the impact of the coolant flow mass rate, Figure 5 and Figure 6 illustrate the distribution of temperature and saturation for different phases within the porous matrix. Four coolant mass flow rates 0.15, 0.25, 0.35, and 0.45 kg/m2s were selected. The heat flux was applied and porosity was fixed at 1.4 MW/m2 and 0.4, respectively. The steady state is reached between 380 and 720 s of calculation time when decreasing the coolant flow rate.
Figure 5.
Saturation distribution with various coolant mass flow rates.
Figure 6.
Temperature distribution with various coolant mass flow rates.
Figure 5 displays the saturation variations as a function of the coordinate y. It has been proven that increasing the amount of coolant injection delays phase change in the porous matrix and reduces the area of two-phase and vapor regions. The saturation distribution is illustrated in this figure by the use of the sharp interface approach, which supports the extremely small interface thickness. Notice that the VOF approach implemented in this case represents only sharp interfaces with no significant numerical thickness.
Consequently, the temperature of the surface exposed to the heat flux (at the matrix top) decreases (Figure 6). In fact, a higher coolant mass flow rate may increase the temperature gradient in the super-heated vapor area, delay the evaporation of liquid, and lower solid temperatures at the hot surface. This trend makes sense and is consistent with the predictions made by Peterson and Chang [55] and Kazuhisa Yuki et al. [56], as it requires greater heat energy to evaporate the liquid phase. In the present example, the temperature at the top surfaces is 1423.7 K, 1044.1 K, 690.07 K, and 538.71 K for = 0.15, 0.25, 0.35, and 0.45 kg/m2s, respectively. Indeed, there is a noticeable rise in temperature at the upper surface when the mass flow rate decreases.
6.2. Effect of the Heat Flux
The impact of the heat flux on phase change through the porous matrix phase is examined. Figure 7 and Figure 8 show the distributions of temperature and saturation for both liquid and vapor phases at various external heat flux values (1, 1.4, 1.8, and 2.2 MW/m2). The coolant mass flow rate is fixed at 0.25 kg/m2 s, and the porosity is 0.4. The time required to reach a steady state is between 780 s and 220 s when increasing the heat flux.
Figure 7.
Saturation distribution with various heat flux values.
Figure 8.
Temperature distribution with various heat flux values.
As the heat flux Q increases, as seen in Figure 7, the saturation variation reduces, indicating that evaporation happens quickly in the two-phase region. It is noticeable that the two-phase region shifts to the left, and the vapor region expands with the heat flux increase; these occurrences are evidently reasonable.
Figure 8 shows the temperature distributions along the porous structure at various heat flux values. In the liquid region (saturation = 1), the temperature is constant, with a significant increase happening close to the two-phase region limit where evaporation takes place. It increases continuously through the vapor region.
It is evident that as Q increases, there is a noticeable rise in temperature at the upper surface. In the present example, the temperature at the top surfaces is 716.68 K, 1044.1 K, 1357.1 K, and 1680.7 K, respectively, for the selected heat flux values (Q = 1, 1.4, 1.8, and 2.2 MW/m2).
For the case of Q = 1 MW/m2, Figure 9 displays the saturation distribution of the CFD results with time, with various representations for the different phases.
Figure 9.
Saturation distribution at different time steps for the case of Q = 1 MW/m2.
The liquid phase evolution and the interface position are used to illustrate the condensation process across the time interval of t = 5 s to t = 780 s.
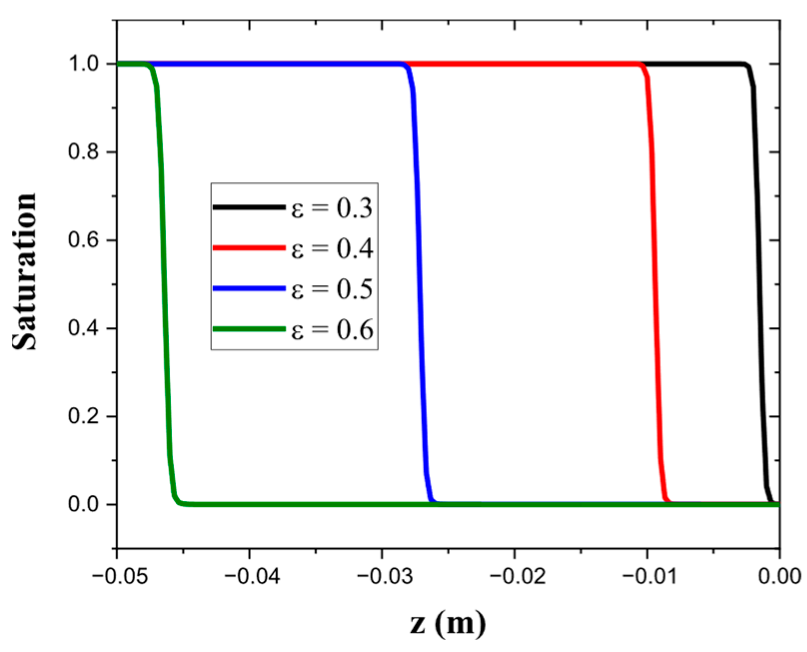
6.3. Effect of the Porosity
Figure 10 and Figure 11 show the saturation and temperature distributions within the porous structure at various porosities (ϵ = 0.3, 0.4, 0.5, and 0.6) with a fixed heat flux of Q = 1.4 MW/m2 and a coolant mass flow value of 0.35 kg/m2s. When increasing the porosity, the time required to reach a steady state is between 200 s and 500 s.
Figure 10.
Saturation distribution with various porosity values.
Figure 11.
Temperature distribution with porosity values.
The porosity ϵ changes have an important effect. Indeed, as the porosity rises, the corresponding liquid area interface, or saturation, moves to the left, and the temperature in the superheated vapor region increases.
It can be explained by the fact that a lower porosity results in an elevated solid effective conductivity ksm,eff and a larger specific area. This indicates that the area of the liquid region will decrease when a phase change takes place inside the pores, which are composed of bigger spheres.
In our example, the temperatures at the top surfaces are 520.61 K, 690.07 K, 1020.4 K, and 1291.5 K for the porosity values of 0.3, 0.4, 0.5, and 0.6, respectively. It is clear that as ϵ increases, there is a noticeable rise in the top surface temperature at the upper surface.
It seems that the fluid flow rate inside the porous plate (mostly driven by the overall vertical pressure drop) is mostly dependent on the upper vapor region. It has higher flow resistance. Besides, the liquid region, characterized by a larger specific heat, shows lower surface temperature when the porosity is decreased. The same trend was obtained in previous investigations, such as [56,57]. They even proposed an innovative way to enhance the transpiration cooling and optimize the top surface temperature. The use of a variable porosity matrix, with small porosity at the lower liquid layer, can indeed have a positive effect on transpiration cooling [56].
6.4. The Cooling Performance
The average cooling efficiency is defined as [4,30]
where and are, respectively, the top surface temperatures in the adiabatic case (without cooling) and the transpiration cooling case. is the coolant inlet temperature.
The obtained results, taking into account various parameters (the porosity, the heat flux, and the coolant flow mass rate), are listed in Table 2.
Table 2.
The average cooling efficiency as a function of the main transpiration cooling parameters.
Table 2 and Figure 12 show that the cooling performance decreases when the top wall temperature increases, as a result of heat accumulation and relatively bad heat transfer. It can be seen that the transpiration cooling, for the tested set of parameters, is more efficient when the coolant flow rate increases and the heat flux decreases. Moreover, it is more efficient with a lowered average porosity of the porous plate. In fact, decreasing the porosity can enhance the liquid flow through the porous medium and then increase the heat transfer with phase change capability. The liquid phase also has a larger specific heat than that of the vapor, which can enhance plate cooling. Similar trends were obtained in previous investigations [57,58].
Figure 12.
Temperature and cooling efficiency distribution (a–c).
6.5. Under Fixed Porosity
In this section, we introduce the effect of both external heat flux and coolant mass flow rate obtained at different cooling cases under a fixed porosity of 0.4. Four different values of heat flux (Q = 1, 1.4, 1.8, and 2.2 MW/m2) are investigated with three different mass flow rates ( 0.25, 0.35, and 0.45 kg/m2s). Figure 13 presents the temperature and saturation distributions for different cases in these states.
Figure 13.
Temperature and saturation distributions for different heat flux and mass flow rate.
As seen for various mass flow rates, increasing the heat flux leads to an increase in the temperature at the top surface, but increasing the mass flow rate leads to decreasing this temperature for the same heat flux value. For example, for Q = 2.2 MW/m2, the temperature is equal to 1680.7 K for 0.25 kg/m2s and 858.32 K for 0.45 kg/m2s.
As the coolant mass flow rate increases, the heat exchange between the coolant and solid matrix improves, allowing more heat to be absorbed by the coolant and reaching equilibrium earlier. Also, for the example of Q = 1 MW/m2, we can notice a very small variation in the temperature between = 0.35 kg/m2s (T = 499.29 K) and = 0.45 kg/m2s (T = 492.24 K).
This directly affects the cooling efficiency. Figure 14 presents the cooling efficiency for different heat flux and mass flow rates. In order to optimize transpiration cooling, we can conclude that a reduction in the temperature leads to a rise in the cooling efficiency, meaning that transpiration cooling can provide effective thermal protection for the system. Besides, when the coolant flow rate reaches a certain level, further increasing the flow rate will not bring an obvious improvement in the cooling effect.
Figure 14.
Cooling efficiency for different heat flux and mass flow rates.
7. Conclusions
In this work, a new numerical solver based on the OpenFOAM-6 environment has been developed to explore the phase change process in a porous material.
It is therefore used to examine the transpiration cooling problem. It involves a two-phase flow with phase change within porous media. There is indeed an increasing need to develop such a tool to improve heat transfer efficiency in porous media (textiles, heat pipes, heat exchangers, etc.).
The impacts of the coolant flow mass rate, heat flux, and porosity of the porous matrix on saturation and temperature distribution are investigated. The obtained results show that increasing the amount of injected coolant delays phase change in the porous matrix and reduces the area of two-phase and vapor regions. Consequently, the temperature gradient in the super-heated vapor section increases, and the temperature of the hot surface decreases. If the input heat flux is increased, then the two-phase region shifts back, and the vapor region expands. As a result, the temperature of the upper surface rises considerably. It also tends to increase as the porosity of the porous medium increases. The average cooling efficiency is a parameter used for estimating cooling performance. The obtained results show that the transpiration cooling capability through the porous plate could be improved when the coolant flow rate is increased and the heat flux or the porosity is lowered. Although this numerical tool has been validated for the case of transpiration, it can be extended to investigate more complex problems involved in engineering applications such as heat pipes or heat exchangers.
Author Contributions
A.G., writing—original draft, software, methodology, data curation; Z.L., writing—original draft and investigation; A.M.B., visualization and methodology; Y.B., visualization; A.J., writing—original draft, supervision, and investigation. All authors have read and agreed to the published version of the manuscript.
Funding
This research received no external funding.
Data Availability Statement
The raw data supporting the conclusions of this article will be made available by the authors on request.
Acknowledgments
This research was carried out as part of the PHC-Utique program supported by both the French and Tunisian governments under contract CMCU no. 23G1104.
Conflicts of Interest
The authors declare no conflicts of interest.
Appendix A
Figure A1.
Diagram of the porousPhaseChangeFoam Solver.
Figure A1.
Diagram of the porousPhaseChangeFoam Solver.

References
- Alomar, O.R.; Mendes, M.A.; Trimis, D.; Ray, S. Numerical simulation of complete liquid–vapour phase change process inside porous media using smoothing of diffusion coefficient. Int. J. Therm. Sci. 2014, 86, 408–420. [Google Scholar] [CrossRef]
- Alomar, O.R.; Mendes, M.A.; Trimis, D.; Ray, S. Simulation of complete liquid–vapour phase change process inside porous evaporator using local thermal non-equilibrium model. Int. J. Therm. Sci. 2015, 94, 228–241. [Google Scholar] [CrossRef]
- Ray, S.; Alomar, O.R. Simulation of liquid–vapour phase change process inside porous media using modified enthalpy formulation. Int. J. Therm. Sci. 2016, 105, 123–136. [Google Scholar] [CrossRef]
- Shen, L.; Wang, J.; Dong, W.; Pu, J.; Peng, J.; Qu, D.; Chen, L. An experimental investigation on transpiration cooling with phase change under supersonic condition. Appl. Therm. Eng. 2016, 105, 549–556. [Google Scholar] [CrossRef]
- Keener, D.; Lenertz, J.; Bowersox, R.; Bowman, J. Transpiration cooling effects on nozzle heat transfer and performance. J. Spacecr. Rocket. 1995, 32, 981–985. [Google Scholar] [CrossRef]
- Mashaei, P.R.; Shahryari, M.; Madani, S. Numerical hydrothermal analysis of water-Al2O3 nanofluid forced convection in a narrow annulus filled by porous medium considering variable properties: Application to cylindrical heat pipes. J. Therm. Anal. Calorim. 2016, 126, 891–904. [Google Scholar] [CrossRef]
- Brahim, T.; Jemni, A. CFD analysis of hotspots copper metal foam flat heat pipe for electronic cooling applications. Int. J. Therm. Sci. 2021, 159, 106583. [Google Scholar] [CrossRef]
- Mottet, L.; Prat, M. Numerical simulation of heat and mass transfer in bidispersed capillary structures: Application to the evaporator of a loop heat pipe. Appl. Therm. Eng. 2016, 102, 770–784. [Google Scholar] [CrossRef]
- Liu, X.; Chen, Y.; Shi, M. Dynamic performance analysis on start-up of closed-loop pulsating heat pipes (CLPHPs). Int. J. Therm. Sci. 2013, 65, 224–233. [Google Scholar] [CrossRef]
- Wang, S.; Utaka, Y.; Tasaki, Y. An experimental study on moisture transport through a porous plate with micro pores. Int. J. Heat Mass Transf. 2009, 52, 4386–4389. [Google Scholar] [CrossRef]
- Hanlon, M.A.; Ma, H.B. Evaporation heat transfer in sintered porous media. J. Heat Transf. 2003, 125, 644–652. [Google Scholar] [CrossRef]
- Sabir, H.M.; ElHag, Y.B.M. A study of capillary-assisted evaporators. Appl. Therm. Eng. 2007, 27, 1555–1564. [Google Scholar] [CrossRef]
- Tambue, A.; Berre, I.; Nordbotten, J.M. Efficient simulation of geothermal processes in heterogeneous porous media based on the exponential Rosenbrock–Euler and Rosenbrock-type methods. Adv. Water Resour. 2013, 53, 250–262. [Google Scholar] [CrossRef]
- Hornung, R.D.; Trangenstein, J.A. Adaptive mesh refinement and multilevel iteration for flow in porous media. J. Comput. Phys. 1997, 136, 522–545. [Google Scholar] [CrossRef]
- Wang, X.H.; Quintard, M.; Darche, G. Adaptive mesh refinement for one-dimensional three-phase flow with phase change in porous media. Numer. Heat Transf. Part B Fundam. 2006, 50, 231–268. [Google Scholar] [CrossRef]
- Luo, H.S.; Wang, X.H.; Quintard, M. Adaptive mesh refinement for one-dimensional three-phase flows in heterogeneous fractured porous media. Numer. Heat Transf. Part B Fundam. 2008, 54, 476–498. [Google Scholar] [CrossRef]
- Song, K.D.; Choi, S.H.; Scotti, S.J. Transpiration cooling experiment for scramjet engine combustion chamber by high heat fluxes. J. Propuls. Power 2006, 22, 96–102. [Google Scholar] [CrossRef]
- Andoh, Y.H.; Lips, B. Prediction of porous walls thermal protection by effusion or transpiration cooling. An analytical approach. Appl. Therm. Eng. 2003, 23, 1947–1958. [Google Scholar] [CrossRef]
- Trevino, C.; Medina, A. Analysis of Transpiration Cooling of a Thin Porous Plate in a Hot Laminar Convective Flow. Mec. Comput. 1997, 18, 309–316. [Google Scholar] [CrossRef]
- Greuel, D.; Herbertz, A.; Haidn, O.; Ortelt, M.; Hald, H. Transpiration cooling applied to C/C liners of cryogenic liquid rocket engines. In Proceedings of the 40th AIAA/ASME/SAE/ASEE/JPC Conference and Exhibition, Fort Lauderdale, FL, USA, 11–14 July 2004. [Google Scholar]
- Landis, J.; Bowman, W. Numerical study of a transpiration cooled rocket nozzle. In Proceedings of the 32nd Joint Propulsion Conference and Exhibit, Lake Buena Vista, FL, USA, 1–3 July 1996; p. 2580. [Google Scholar]
- Langener, T.; Von Wolfersdorf, J.; Steelant, J. Experimental investigations on transpiration cooling for scramjet applications using different coolants. AIAA J. 2011, 49, 1409–1419. [Google Scholar] [CrossRef]
- Huang, Z.; Xiong, Y.B.; Liu, Y.Q.; Jiang, P.X.; Zhu, Y.H. Experimental investigation of full-coverage effusion cooling through perforated flat plates. Appl. Therm. Eng. 2015, 76, 76–85. [Google Scholar] [CrossRef]
- Dahmen, W.; Müller, S.; Rom, M.; Schweikert, S.; Selzer, M.; Von Wolfersdorf, J. Numerical boundary layer investigations of transpiration-cooled turbulent channel flow. Int. J. Heat Mass Transf. 2015, 86, 90–100. [Google Scholar] [CrossRef]
- Luan, Y.; He, F.; Wang, J.; Wu, Y.; Zhu, G. An experimental investigation on instability of transpiration cooling with phase change. Int. J. Therm. Sci. 2020, 156, 106498. [Google Scholar] [CrossRef]
- Wanstall, C.T.; Johnson, P.R. The role of buoyancy induced instability in transpirational cooling applications. Appl. Sci. 2021, 11, 11766. [Google Scholar] [CrossRef]
- Ma, J.; Lin, J.; Wang, J. Experiment on transpiration cooling with phase change of liquid water. J. Aerosp. Power 2014, 29, 556–562. [Google Scholar]
- He, F.; Wang, J.; Xu, L.; Wang, X. Modeling and simulation of transpiration cooling with phase change. Appl. Therm. Eng. 2013, 58, 173–180. [Google Scholar] [CrossRef]
- He, F.; Wang, J. Numerical investigation on critical heat flux and coolant volume required for transpiration cooling with phase change. Energy Convers. Manag. 2014, 80, 591–597. [Google Scholar] [CrossRef]
- Huang, G.; Zhu, Y.; Liao, Z.; Ouyang, X.L.; Jiang, P.X. Experimental investigation of transpiration cooling with phase change for sintered porous plates. Int. J. Heat Mass Transf. 2017, 114, 1201–1213. [Google Scholar] [CrossRef]
- Hu, H.; Jiang, P.; Ouyang, X.; Zhao, C.; Xu, R. A modified energy equation model for flow boiling in porous media and its application to transpiration cooling at low pressures with transient effect. Int. J. Heat Mass Transf. 2020, 158, 119745. [Google Scholar] [CrossRef]
- Su, H.; He, F.; Wang, J.; Luo, X.; Ai, B. Numerical investigation on the effects of porous cone parameters on liquid transpiration cooling performance. Int. J. Therm. Sci. 2021, 161, 106743. [Google Scholar] [CrossRef]
- Cheng, Z.; Xu, R.; Jiang, P. Transpiration cooling with phase change by functionally graded porous media. Int. J. Heat Mass Transf. 2023, 205, 123862. [Google Scholar] [CrossRef]
- Xin, C.; Lu, L.; Liu, X. Numerical analysis on thermal characteristics of transpiration cooling with coolant phase change. J. Therm. Anal. Calorim. 2018, 131, 1747–1755. [Google Scholar] [CrossRef]
- Wang, M.; He, F.; Wu, N.; Wang, J.; Dong, G. Numerical Simulation of Transpiration Cooling within Variable Property of Water and Steam. IOP Conf. Ser. Mater. Sci. Eng. 2019, 491, 012022. [Google Scholar] [CrossRef]
- Bandivadekar, D.; Minisci, E. Modelling and simulation of transpiration cooling systems for atmospheric re-entry. Aerospace 2020, 7, 89. [Google Scholar] [CrossRef]
- Wang, M.; Wang, J.; Pu, J.; He, F. Transient heat dissipation performances of transpiration cooling with coolant phase change. Int. Commun. Heat Mass Transf. 2022, 135, 106082. [Google Scholar] [CrossRef]
- Jiang, P.X.; Yu, L.; Sun, J.G.; Wang, J. Experimental and numerical investigation of convection heat transfer in transpiration cooling. Appl. Therm. Eng. 2004, 24, 1271–1289. [Google Scholar] [CrossRef]
- He, Y.; Du, S.; Li, D.; Gao, Y.; Chen, Y. Optimization studies of transpiration cooling using porous medium with gradually-changed structure. Front. Heat Mass Transf. (FHMT) 2020, 15, 19. [Google Scholar] [CrossRef]
- Hermann, T.; McGilvray, M.; Ifti, H.S.; Hufgard, F.; Löhle, S. Thermal impulse response in porous media for transpiration-cooling systems. J. Thermophys. Heat Transf. 2020, 34, 447–456. [Google Scholar] [CrossRef]
- Ishii, M.; Hibiki, T. Thermo-Fluid Dynamics of Two-Phase Flow; Springer Science & Business Media: Berlin/Heidelberg, Germany, 2010. [Google Scholar]
- Faghri, A.; Zhang, Y. Transport Phenomena in Multiphase Systems; Elsevier: Amsterdam, The Netherlands, 2006. [Google Scholar]
- Hirt, C.W.; Nichols, B.D. Volume of fluid (VOF) method for the dynamics of free boundaries. J. Comput. Phys. 1981, 39, 201–225. [Google Scholar] [CrossRef]
- Ergun, S. Fluid flow through packed columns. Chem. Eng. Prog. 1952, 48, 89. [Google Scholar]
- Scardovelli, R.; Zaleski, S. Direct numerical simulation of free-surface and interfacial flow. Annu. Rev. Fluid Mech. 1999, 31, 567–603. [Google Scholar] [CrossRef]
- Lee, W.H. A pressure iteration scheme for two-phase flow modeling. Multiph. Transp. Fundam. React. Saf. Appl. 1980, 1, 407–431. [Google Scholar]
- De Schepper, S.C.; Heynderickx, G.J.; Marin, G.B. Modeling the evaporation of a hydrocarbon feedstock in the convection section of a steam cracker. Comput. Chem. Eng. 2009, 33, 122–132. [Google Scholar] [CrossRef]
- Alizadehdakhel, A.; Rahimi, M.; Alsairafi, A.A. CFD modeling of flow and heat transfer in a thermosyphon. Int. Commun. Heat Mass Transf. 2010, 37, 312–318. [Google Scholar] [CrossRef]
- Issa, R.I. Solution of the implicitly discretised fluid flow equations by operator-splitting. J. Comput. Phys. 1986, 62, 40–65. [Google Scholar] [CrossRef]
- Caretto, L.S.; Gosman, A.D.; Patankar, S.V.; Spalding, D.B. Two calculation procedures for steady, three-dimensional flows with recirculation. In Proceedings of the Third International Conference on Numerical Methods in Fluid Mechanics: Vol. II Problems of Fluid Mechanics; Springer: Berlin/Heidelberg, Germany, 1973; pp. 60–68. [Google Scholar]
- Holzmann, T. Mathematics, Numerics, Derivations and OpenFOAM®; Holzmann CFD: Loeben, Germany, 2016. [Google Scholar]
- Klostermann, J.; Schaake, K.; Schwarze, R. Numerical simulation of a single rising bubble by VOF with surface compression. Int. J. Numer. Methods Fluids 2013, 71, 960–982. [Google Scholar] [CrossRef]
- Albadawi, A.; Donoghue, D.B.; Robinson, A.J.; Murray, D.B.; Delauré, Y.M.C. Influence of surface tension implementation in volume of fluid and coupled volume of fluid with level set methods for bubble growth and detachment. Int. J. Multiph. Flow 2013, 53, 11–28. [Google Scholar] [CrossRef]
- Weller, H.G.; Tabor, G.; Jasak, H.; Fureby, C. A tensorial approach to computational continuum mechanics using object-oriented techniques. Comput. Phys. 1998, 12, 620–631. [Google Scholar] [CrossRef]
- Peterson, G.P.; Chang, C.S. Heat transfer analysis and evaluation for two-phase flow in porous-channel heat sinks. Numer. Heat Transf. Part A Appl. 1997, 31, 113–130. [Google Scholar] [CrossRef]
- Yuki, K.; Abei, J.; Hashizume, H.; Toda, S. Numerical investigation of thermofluid flow characteristics with phase change against high heat flux in porous media. Heat Transf. Summer Conf. 2005, 47322, 409–419. [Google Scholar]
- He, F.; Liu, T.; Ding, R.; Wang, J. Numerical investigation on the double-layer porous plate of transpiration cooling with phase change under different heat flux. Results Eng. 2023, 20, 101549. [Google Scholar] [CrossRef]
- Li, X.; Liao, Z.; Li, H.; Jiang, P.; Xu, R. Phase-change transpiration cooling in heterogeneous composite porous plates: Heat transfer characteristics and their prediction. Int. J. Heat Mass Transf. 2024, 224, 125290. [Google Scholar] [CrossRef]
Disclaimer/Publisher’s Note: The statements, opinions and data contained in all publications are solely those of the individual author(s) and contributor(s) and not of MDPI and/or the editor(s). MDPI and/or the editor(s) disclaim responsibility for any injury to people or property resulting from any ideas, methods, instructions or products referred to in the content. |
© 2025 by the authors. Licensee MDPI, Basel, Switzerland. This article is an open access article distributed under the terms and conditions of the Creative Commons Attribution (CC BY) license (https://creativecommons.org/licenses/by/4.0/).













