Simulation of Transpiration Cooling with Phase Change Process in Porous Media
Abstract
1. Introduction
2. Mathematical Model
2.1. Physical Model
2.2. Governing Equations
2.3. Phase Change Model
2.4. Pressure Velocity Coupling
2.5. Phase Transport Equation for Volume Fraction
2.6. Boundary Conditions
3. Numerical Details
- The transfer equation for thermal energy (TEqn.H) is extended to include the energy source term to predict temperature distribution at each time step.
- A new library for the Lee model’s phase change model (Lee.C) is implemented to solve evaporation and condensation and to calculate mass transfer rates in various applications.
- In addition, the original velocity equation (UEqn.H) and pressure equation (pEqn.H) are adjusted with the suitable source terms considering the porous components in the governing equations and the transport equation (alphaEqn.H) of the volume fraction.
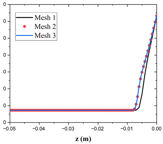
4. Mesh Independence Test
5. Validation
5.1. Validation with Previous Numerical Results
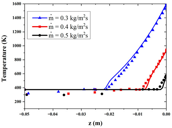
5.2. Validation with Experimental Data
6. Results and Discussion
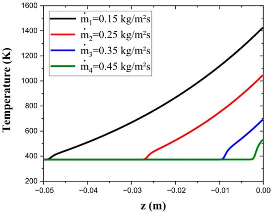
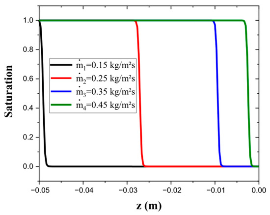
6.1. Effect of the Coolant Flow Mass Rate
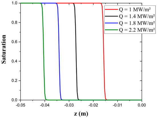
6.2. Effect of the Heat Flux
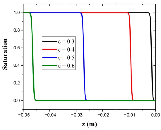
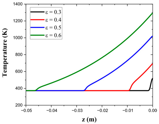
6.3. Effect of the Porosity
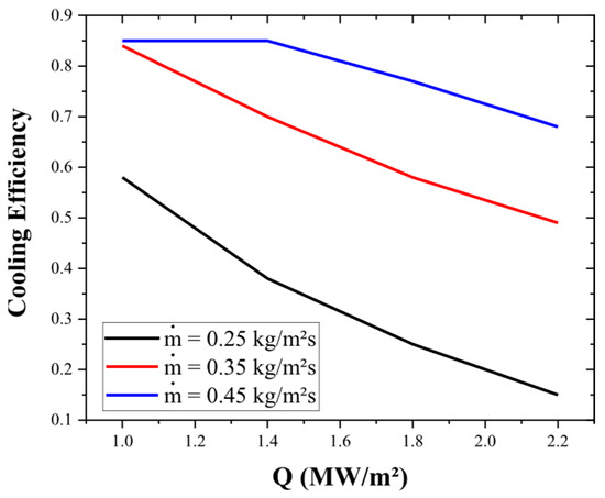
6.4. The Cooling Performance
6.5. Under Fixed Porosity
7. Conclusions
Author Contributions
Funding
Data Availability Statement
Acknowledgments
Conflicts of Interest
Appendix A

References
- Alomar, O.R.; Mendes, M.A.; Trimis, D.; Ray, S. Numerical simulation of complete liquid–vapour phase change process inside porous media using smoothing of diffusion coefficient. Int. J. Therm. Sci. 2014, 86, 408–420. [Google Scholar] [CrossRef]
- Alomar, O.R.; Mendes, M.A.; Trimis, D.; Ray, S. Simulation of complete liquid–vapour phase change process inside porous evaporator using local thermal non-equilibrium model. Int. J. Therm. Sci. 2015, 94, 228–241. [Google Scholar] [CrossRef]
- Ray, S.; Alomar, O.R. Simulation of liquid–vapour phase change process inside porous media using modified enthalpy formulation. Int. J. Therm. Sci. 2016, 105, 123–136. [Google Scholar] [CrossRef]
- Shen, L.; Wang, J.; Dong, W.; Pu, J.; Peng, J.; Qu, D.; Chen, L. An experimental investigation on transpiration cooling with phase change under supersonic condition. Appl. Therm. Eng. 2016, 105, 549–556. [Google Scholar] [CrossRef]
- Keener, D.; Lenertz, J.; Bowersox, R.; Bowman, J. Transpiration cooling effects on nozzle heat transfer and performance. J. Spacecr. Rocket. 1995, 32, 981–985. [Google Scholar] [CrossRef]
- Mashaei, P.R.; Shahryari, M.; Madani, S. Numerical hydrothermal analysis of water-Al2O3 nanofluid forced convection in a narrow annulus filled by porous medium considering variable properties: Application to cylindrical heat pipes. J. Therm. Anal. Calorim. 2016, 126, 891–904. [Google Scholar] [CrossRef]
- Brahim, T.; Jemni, A. CFD analysis of hotspots copper metal foam flat heat pipe for electronic cooling applications. Int. J. Therm. Sci. 2021, 159, 106583. [Google Scholar] [CrossRef]
- Mottet, L.; Prat, M. Numerical simulation of heat and mass transfer in bidispersed capillary structures: Application to the evaporator of a loop heat pipe. Appl. Therm. Eng. 2016, 102, 770–784. [Google Scholar] [CrossRef]
- Liu, X.; Chen, Y.; Shi, M. Dynamic performance analysis on start-up of closed-loop pulsating heat pipes (CLPHPs). Int. J. Therm. Sci. 2013, 65, 224–233. [Google Scholar] [CrossRef]
- Wang, S.; Utaka, Y.; Tasaki, Y. An experimental study on moisture transport through a porous plate with micro pores. Int. J. Heat Mass Transf. 2009, 52, 4386–4389. [Google Scholar] [CrossRef]
- Hanlon, M.A.; Ma, H.B. Evaporation heat transfer in sintered porous media. J. Heat Transf. 2003, 125, 644–652. [Google Scholar] [CrossRef]
- Sabir, H.M.; ElHag, Y.B.M. A study of capillary-assisted evaporators. Appl. Therm. Eng. 2007, 27, 1555–1564. [Google Scholar] [CrossRef]
- Tambue, A.; Berre, I.; Nordbotten, J.M. Efficient simulation of geothermal processes in heterogeneous porous media based on the exponential Rosenbrock–Euler and Rosenbrock-type methods. Adv. Water Resour. 2013, 53, 250–262. [Google Scholar] [CrossRef]
- Hornung, R.D.; Trangenstein, J.A. Adaptive mesh refinement and multilevel iteration for flow in porous media. J. Comput. Phys. 1997, 136, 522–545. [Google Scholar] [CrossRef]
- Wang, X.H.; Quintard, M.; Darche, G. Adaptive mesh refinement for one-dimensional three-phase flow with phase change in porous media. Numer. Heat Transf. Part B Fundam. 2006, 50, 231–268. [Google Scholar] [CrossRef]
- Luo, H.S.; Wang, X.H.; Quintard, M. Adaptive mesh refinement for one-dimensional three-phase flows in heterogeneous fractured porous media. Numer. Heat Transf. Part B Fundam. 2008, 54, 476–498. [Google Scholar] [CrossRef]
- Song, K.D.; Choi, S.H.; Scotti, S.J. Transpiration cooling experiment for scramjet engine combustion chamber by high heat fluxes. J. Propuls. Power 2006, 22, 96–102. [Google Scholar] [CrossRef]
- Andoh, Y.H.; Lips, B. Prediction of porous walls thermal protection by effusion or transpiration cooling. An analytical approach. Appl. Therm. Eng. 2003, 23, 1947–1958. [Google Scholar] [CrossRef]
- Trevino, C.; Medina, A. Analysis of Transpiration Cooling of a Thin Porous Plate in a Hot Laminar Convective Flow. Mec. Comput. 1997, 18, 309–316. [Google Scholar] [CrossRef]
- Greuel, D.; Herbertz, A.; Haidn, O.; Ortelt, M.; Hald, H. Transpiration cooling applied to C/C liners of cryogenic liquid rocket engines. In Proceedings of the 40th AIAA/ASME/SAE/ASEE/JPC Conference and Exhibition, Fort Lauderdale, FL, USA, 11–14 July 2004. [Google Scholar]
- Landis, J.; Bowman, W. Numerical study of a transpiration cooled rocket nozzle. In Proceedings of the 32nd Joint Propulsion Conference and Exhibit, Lake Buena Vista, FL, USA, 1–3 July 1996; p. 2580. [Google Scholar]
- Langener, T.; Von Wolfersdorf, J.; Steelant, J. Experimental investigations on transpiration cooling for scramjet applications using different coolants. AIAA J. 2011, 49, 1409–1419. [Google Scholar] [CrossRef]
- Huang, Z.; Xiong, Y.B.; Liu, Y.Q.; Jiang, P.X.; Zhu, Y.H. Experimental investigation of full-coverage effusion cooling through perforated flat plates. Appl. Therm. Eng. 2015, 76, 76–85. [Google Scholar] [CrossRef]
- Dahmen, W.; Müller, S.; Rom, M.; Schweikert, S.; Selzer, M.; Von Wolfersdorf, J. Numerical boundary layer investigations of transpiration-cooled turbulent channel flow. Int. J. Heat Mass Transf. 2015, 86, 90–100. [Google Scholar] [CrossRef]
- Luan, Y.; He, F.; Wang, J.; Wu, Y.; Zhu, G. An experimental investigation on instability of transpiration cooling with phase change. Int. J. Therm. Sci. 2020, 156, 106498. [Google Scholar] [CrossRef]
- Wanstall, C.T.; Johnson, P.R. The role of buoyancy induced instability in transpirational cooling applications. Appl. Sci. 2021, 11, 11766. [Google Scholar] [CrossRef]
- Ma, J.; Lin, J.; Wang, J. Experiment on transpiration cooling with phase change of liquid water. J. Aerosp. Power 2014, 29, 556–562. [Google Scholar]
- He, F.; Wang, J.; Xu, L.; Wang, X. Modeling and simulation of transpiration cooling with phase change. Appl. Therm. Eng. 2013, 58, 173–180. [Google Scholar] [CrossRef]
- He, F.; Wang, J. Numerical investigation on critical heat flux and coolant volume required for transpiration cooling with phase change. Energy Convers. Manag. 2014, 80, 591–597. [Google Scholar] [CrossRef]
- Huang, G.; Zhu, Y.; Liao, Z.; Ouyang, X.L.; Jiang, P.X. Experimental investigation of transpiration cooling with phase change for sintered porous plates. Int. J. Heat Mass Transf. 2017, 114, 1201–1213. [Google Scholar] [CrossRef]
- Hu, H.; Jiang, P.; Ouyang, X.; Zhao, C.; Xu, R. A modified energy equation model for flow boiling in porous media and its application to transpiration cooling at low pressures with transient effect. Int. J. Heat Mass Transf. 2020, 158, 119745. [Google Scholar] [CrossRef]
- Su, H.; He, F.; Wang, J.; Luo, X.; Ai, B. Numerical investigation on the effects of porous cone parameters on liquid transpiration cooling performance. Int. J. Therm. Sci. 2021, 161, 106743. [Google Scholar] [CrossRef]
- Cheng, Z.; Xu, R.; Jiang, P. Transpiration cooling with phase change by functionally graded porous media. Int. J. Heat Mass Transf. 2023, 205, 123862. [Google Scholar] [CrossRef]
- Xin, C.; Lu, L.; Liu, X. Numerical analysis on thermal characteristics of transpiration cooling with coolant phase change. J. Therm. Anal. Calorim. 2018, 131, 1747–1755. [Google Scholar] [CrossRef]
- Wang, M.; He, F.; Wu, N.; Wang, J.; Dong, G. Numerical Simulation of Transpiration Cooling within Variable Property of Water and Steam. IOP Conf. Ser. Mater. Sci. Eng. 2019, 491, 012022. [Google Scholar] [CrossRef]
- Bandivadekar, D.; Minisci, E. Modelling and simulation of transpiration cooling systems for atmospheric re-entry. Aerospace 2020, 7, 89. [Google Scholar] [CrossRef]
- Wang, M.; Wang, J.; Pu, J.; He, F. Transient heat dissipation performances of transpiration cooling with coolant phase change. Int. Commun. Heat Mass Transf. 2022, 135, 106082. [Google Scholar] [CrossRef]
- Jiang, P.X.; Yu, L.; Sun, J.G.; Wang, J. Experimental and numerical investigation of convection heat transfer in transpiration cooling. Appl. Therm. Eng. 2004, 24, 1271–1289. [Google Scholar] [CrossRef]
- He, Y.; Du, S.; Li, D.; Gao, Y.; Chen, Y. Optimization studies of transpiration cooling using porous medium with gradually-changed structure. Front. Heat Mass Transf. (FHMT) 2020, 15, 19. [Google Scholar] [CrossRef]
- Hermann, T.; McGilvray, M.; Ifti, H.S.; Hufgard, F.; Löhle, S. Thermal impulse response in porous media for transpiration-cooling systems. J. Thermophys. Heat Transf. 2020, 34, 447–456. [Google Scholar] [CrossRef]
- Ishii, M.; Hibiki, T. Thermo-Fluid Dynamics of Two-Phase Flow; Springer Science & Business Media: Berlin/Heidelberg, Germany, 2010. [Google Scholar]
- Faghri, A.; Zhang, Y. Transport Phenomena in Multiphase Systems; Elsevier: Amsterdam, The Netherlands, 2006. [Google Scholar]
- Hirt, C.W.; Nichols, B.D. Volume of fluid (VOF) method for the dynamics of free boundaries. J. Comput. Phys. 1981, 39, 201–225. [Google Scholar] [CrossRef]
- Ergun, S. Fluid flow through packed columns. Chem. Eng. Prog. 1952, 48, 89. [Google Scholar]
- Scardovelli, R.; Zaleski, S. Direct numerical simulation of free-surface and interfacial flow. Annu. Rev. Fluid Mech. 1999, 31, 567–603. [Google Scholar] [CrossRef]
- Lee, W.H. A pressure iteration scheme for two-phase flow modeling. Multiph. Transp. Fundam. React. Saf. Appl. 1980, 1, 407–431. [Google Scholar]
- De Schepper, S.C.; Heynderickx, G.J.; Marin, G.B. Modeling the evaporation of a hydrocarbon feedstock in the convection section of a steam cracker. Comput. Chem. Eng. 2009, 33, 122–132. [Google Scholar] [CrossRef]
- Alizadehdakhel, A.; Rahimi, M.; Alsairafi, A.A. CFD modeling of flow and heat transfer in a thermosyphon. Int. Commun. Heat Mass Transf. 2010, 37, 312–318. [Google Scholar] [CrossRef]
- Issa, R.I. Solution of the implicitly discretised fluid flow equations by operator-splitting. J. Comput. Phys. 1986, 62, 40–65. [Google Scholar] [CrossRef]
- Caretto, L.S.; Gosman, A.D.; Patankar, S.V.; Spalding, D.B. Two calculation procedures for steady, three-dimensional flows with recirculation. In Proceedings of the Third International Conference on Numerical Methods in Fluid Mechanics: Vol. II Problems of Fluid Mechanics; Springer: Berlin/Heidelberg, Germany, 1973; pp. 60–68. [Google Scholar]
- Holzmann, T. Mathematics, Numerics, Derivations and OpenFOAM®; Holzmann CFD: Loeben, Germany, 2016. [Google Scholar]
- Klostermann, J.; Schaake, K.; Schwarze, R. Numerical simulation of a single rising bubble by VOF with surface compression. Int. J. Numer. Methods Fluids 2013, 71, 960–982. [Google Scholar] [CrossRef]
- Albadawi, A.; Donoghue, D.B.; Robinson, A.J.; Murray, D.B.; Delauré, Y.M.C. Influence of surface tension implementation in volume of fluid and coupled volume of fluid with level set methods for bubble growth and detachment. Int. J. Multiph. Flow 2013, 53, 11–28. [Google Scholar] [CrossRef]
- Weller, H.G.; Tabor, G.; Jasak, H.; Fureby, C. A tensorial approach to computational continuum mechanics using object-oriented techniques. Comput. Phys. 1998, 12, 620–631. [Google Scholar] [CrossRef]
- Peterson, G.P.; Chang, C.S. Heat transfer analysis and evaluation for two-phase flow in porous-channel heat sinks. Numer. Heat Transf. Part A Appl. 1997, 31, 113–130. [Google Scholar] [CrossRef]
- Yuki, K.; Abei, J.; Hashizume, H.; Toda, S. Numerical investigation of thermofluid flow characteristics with phase change against high heat flux in porous media. Heat Transf. Summer Conf. 2005, 47322, 409–419. [Google Scholar]
- He, F.; Liu, T.; Ding, R.; Wang, J. Numerical investigation on the double-layer porous plate of transpiration cooling with phase change under different heat flux. Results Eng. 2023, 20, 101549. [Google Scholar] [CrossRef]
- Li, X.; Liao, Z.; Li, H.; Jiang, P.; Xu, R. Phase-change transpiration cooling in heterogeneous composite porous plates: Heat transfer characteristics and their prediction. Int. J. Heat Mass Transf. 2024, 224, 125290. [Google Scholar] [CrossRef]














| Properties | Liquid | Vapor |
|---|---|---|
| Density (kg/m3) | 1000 | 0.6 |
| Thermal conductivity (W/mK) | 0.68 | 0.0248 |
| Specific heat (J/kg K) | 4.217 × 103 | 2.029 × 103 |
| Dynamic viscosity (kg/m s) | 0.000279 | 0.0000122 |
| Latent heat (J/kg) | 2.675 × 106 | |
| Fixed parameters | Q = 1.4 MW/m2 ϵ = 0.4 | = 0.25 kg/m2s ϵ = 0.4 | Q = 1.4 MW/m2 = 0.35 kg/m2s | |||||||||
| Valued parameter | (kg/m2s) | Q (MW/m2) | ϵ | |||||||||
| 0.15 | 0.25 | 0.35 | 0.45 | 1 | 1.4 | 1.8 | 2.2 | 0.3 | 0.4 | 0.5 | 0.6 | |
| (K) | 1423.7 | 1044.1 | 690.07 | 538.71 | 716.68 | 1044.1 | 1357.1 | 1680.7 | 520.6 | 690.07 | 1020.6 | 1291.5 |
| 0.03 | 0.38 | 0.7 | 0.84 | 0.58 | 0.38 | 0.25 | 0.15 | 0.87 | 0.7 | 0.37 | 0.074 | |
Disclaimer/Publisher’s Note: The statements, opinions and data contained in all publications are solely those of the individual author(s) and contributor(s) and not of MDPI and/or the editor(s). MDPI and/or the editor(s) disclaim responsibility for any injury to people or property resulting from any ideas, methods, instructions or products referred to in the content. |
© 2025 by the authors. Licensee MDPI, Basel, Switzerland. This article is an open access article distributed under the terms and conditions of the Creative Commons Attribution (CC BY) license (https://creativecommons.org/licenses/by/4.0/).
Share and Cite
Ghedira, A.; Lataoui, Z.; Benselama, A.M.; Bertin, Y.; Jemni, A. Simulation of Transpiration Cooling with Phase Change Process in Porous Media. Fluids 2025, 10, 52. https://doi.org/10.3390/fluids10020052
Ghedira A, Lataoui Z, Benselama AM, Bertin Y, Jemni A. Simulation of Transpiration Cooling with Phase Change Process in Porous Media. Fluids. 2025; 10(2):52. https://doi.org/10.3390/fluids10020052
Chicago/Turabian StyleGhedira, Aroua, Zied Lataoui, Adel M. Benselama, Yves Bertin, and Abdelmajid Jemni. 2025. "Simulation of Transpiration Cooling with Phase Change Process in Porous Media" Fluids 10, no. 2: 52. https://doi.org/10.3390/fluids10020052
APA StyleGhedira, A., Lataoui, Z., Benselama, A. M., Bertin, Y., & Jemni, A. (2025). Simulation of Transpiration Cooling with Phase Change Process in Porous Media. Fluids, 10(2), 52. https://doi.org/10.3390/fluids10020052

