Hydrodynamics in a Both-Side-Heated Square Enclosure in Laminar Regime Under Constant Heat Flux Using Computational Fluid Dynamics and Deep Learning Methodology
Abstract
1. Introduction
1.1. Literature Review
1.1.1. Effect of Working Fluids and Boundary Conditions on Flow Behavior and Heat Transfer
1.1.2. Status of Available Scaling Laws to Determine Length, Velocity, and Time Scales During Transient Dynamics in an Enclosure
1.1.3. Research Gaps in Previous Work and Motivation and Objectives for the Present Work
2. Mathematical Expressions and Methodology Adopted for CFD and Deep Learning Models
2.1. Mathematical Modeling
2.1.1. Governing Equations
2.1.2. Boundary Conditions for CFD Simulations
2.2. Methodology for CFD Simulations
2.2.1. Inhouse Code
2.2.2. Commercial Code
2.3. Grid Sensitivity for Ensuring the Best Grid for CFD Simulations
2.4. Deep Learning (DL) Model
3. Results
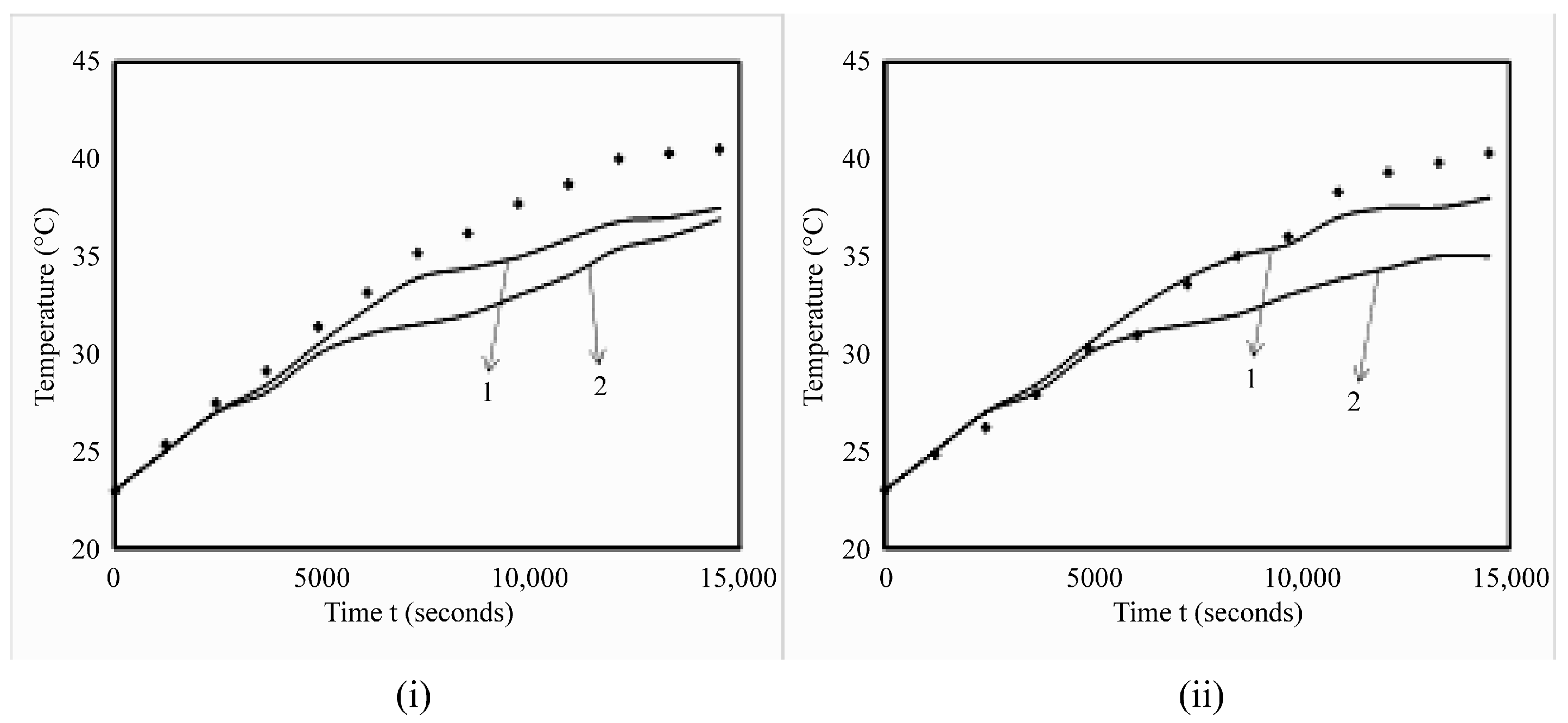
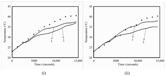
3.1. Model Validation
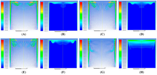
3.2. Flow Patterns
3.2.1. Scaling Analysis of Time Scales Using CFD During Development of Boundary Layer
3.2.2. Qualitative Flow Patterns for Ra = 3.27 × 1010
3.2.3. Qualitative Flow Patterns for Ra = 6.55 × 1010
3.3. Heat Transfer
3.4. Assessment of POD-LSTM Framework (DL Model)
4. Conclusions
- CFD simulations of both-side-heated enclosures for two Ra numbers, Ra = 3.27 × 1010 and Ra = 6.55 × 1010, were carried out. Analysis of the scaling analysis for Ra = 3.27 × 1010 shows that current analytical expressions defined by scaling laws are unable to predict the length and time scales for the Ra number for a both-side-heated enclosure, indicating that these enclosures behave differently than the well-studied differentially heated enclosures.
- The flow patterns in the form of velocity vectors and temperature contours clearly depict that the physics of the phenomena is different than the conventionally studied differentially heated enclosures reported in the literature. The major highlights were the merging of intrusion layers and dynamics of fluid elements near the wall as well as in the bulk.
- The predicted flow pattern for the commercial code shows good qualitative and quantitative agreement with the experimental results in the literature. The inhouse code, however, has a higher deviation and needs improvement.
- A new empirical correlation of Nusselt number with Ra number has been developed for an Ra range of 1.3 × 1010–6.55 × 1010. The predictions are in good agreement with the experimental values from the literature [4].
- CFD simulations required a large amount of time and computational power to simulate such transient phenomena. Alterative, fast models are necessary to simulate such phenomena.
- The DL Model consisting of the POD-LSTM framework is able to predict the temporal dynamics of the velocity with very good accuracy and takes at least an order of magnitude less time than for a full CFD simulation.
- The present study also presents studies with their own code, which, after improvisations, can be used for integrating CFD and DL models for the fundamental understanding of transient flows for both-side-heated enclosures.
- The present study gives a new dimension to the research on side-heated enclosures in terms of qualitative and quantitative analysis and can be used for different applications.
5. Future Work
Author Contributions
Funding
Data Availability Statement
Acknowledgments
Conflicts of Interest
Nomenclature
| Alphabetical Letters | ||
| AR | Aspect Ratio | - |
| Height of the Enclosure | m | |
| Length of the enclosure | m | |
| Pressure of the Fluid | Pa | |
| Nu | Nusselt Number | - |
| Prandtl Number | - | |
| Rayleigh Number | - | |
| Temperature of the Fluid | K | |
| Reference Temperature of the Fluid | K | |
| Temperature of the Convection Fluid | K | |
| W | Width of the Enclosure | m |
| Gravitational Acceleration | 9.81 m/s2 | |
| Convection Heat Transfer Coefficient | W/(m2K) | |
| Thermal Conductivity of the Fluid | W/(mK) | |
| Heat Flux | W/m2 | |
| Stratification Factor | K/m | |
| Time | s | |
| t′ | Dimensionless Time | - |
| Horizontal Velocity of the Fluid In Direction | m/s | |
| Vertical Velocity of the Fluid In Direction | m/s | |
| Velocity of the Thermal Boundary Layer | m/s | |
| Horizontal Distance Co-ordinate | m | |
| Vertical Distance Co-ordinate | m | |
| Greek Symbol | ||
| Difference | ||
| Thermal Diffusivity of the Fluid | m2/s | |
| Volumetric Coefficient of Thermal Expansion of the Fluid | K−1 | |
| Thickness of Intrusion Layer | m | |
| Thermal Boundary Layer Thickness | m | |
| Hydrodynamic Boundary Layer Thickness | m | |
| Angle of Inclination | ° | |
| Kinematic Viscosity of the Fluid | m2/s | |
| Density of Fluid | kg/m3 | |
| Time for Thermal Boundary Layer Development | s | |
| Arrival Time of the Intrusion Layer | s | |
| Subscripts | ||
| Intrusion Layer Parameter | ||
| Thermal Layer Parameter | ||
| Hydrodynamic Layer Parameter | ||
| Convection Fluid Parameter | ||
| Reference Parameter | ||
| Upper wall Parameter | ||
| In the Direction of x Co-ordinate | ||
| In the Direction of y Co-ordinate | ||
| In the Direction of z Co-ordinate | ||
| Superscripts | ||
| ′ | Dimensionless Parameter | |
| Heat Input Parameter | ||
| Abbreviations | ||
| 2-D | Two Dimensional | |
| AR | Aspect Ratio | |
| CFD | Computational Fluid Dynamics | |
| DNS | Direct Numerical Simulation | |
| FVM | Finite Volume Method | |
| PISO | Pressure-Implicit with Splitting of Operators | |
| QUICK | Quadratic Upstream Interpolation for Convective Kinematics | |
| SIMPLE | Semi-Implicit Method for Pressure Linked Equations | |
| SOD | Second Order Upwind | |
| TDMA | Tri Diagonal Matrix Algorithm | |
References
- Turner, J. Convection in the mantle: A laboratory model with temperature-dependent viscosity. Earth Planet. Sci. Lett. 1973, 17, 369–374. [Google Scholar] [CrossRef]
- Ostrach, S. Natural convection in enclosures. J. Heat Transfer. 1988, 110, 1175–1190. [Google Scholar] [CrossRef]
- Tanyun, Z.; Zhongping, H.; Li, S. Numerical simulation of thermal stratification in liquid hydrogen. Adv. Cryog. Eng. Part A 1996, 41, 155–161. [Google Scholar]
- Das, S.; Chakraborty, S.; Dutta, P. Natural convection in a two-dimensional enclosure heated symmetrically from both sides. Int. Commun. Heat Mass Transf. 2002, 29, 345–354. [Google Scholar] [CrossRef]
- Ganguli, A.A.; Tabib, M.V.; Deshpande, S.S.; Raval, M.S. Deep learning based hybrid POD-LSTM framework for laminar natural convection flow in a rectangular enclosure. Chem. Prod. Process Model. 2024, 20, 221–239. [Google Scholar] [CrossRef]
- Patterson, J.; Imberger, J. Unsteady natural convection in a rectangular cavity. J. Fluid Mech. 1980, 100, 65–86. [Google Scholar] [CrossRef]
- Yewell, R.; Poulikakos, D.; Bejan, A. Transient natural convection experiments in shallow enclosures. J. Heat Transfer. 1982, 104, 533–538. [Google Scholar] [CrossRef]
- Ivey, G. Experiments on transient natural convection in a cavity. J. Fluid Mech. 1984, 144, 389–401. [Google Scholar] [CrossRef]
- Patterson, J.C. Unsteady natural convection in a cavity with internal heating and cooling. J. Fluid Mech. 1984, 140, 135–151. [Google Scholar] [CrossRef]
- Schladow, S.; Patterson, J.; Street, R. Transient flow in a side-heated cavity at high Rayleigh number: A numerical study. J. Fluid Mech. 1989, 200, 121–148. [Google Scholar] [CrossRef]
- Schladow, S. Oscillatory motion in a side-heated cavity. J. Fluid Mech. 1990, 213, 589–610. [Google Scholar] [CrossRef]
- Patterson, J.C.; Armfield, S. Transient features of natural convection in a cavity. J. Fluid Mech. 1990, 219, 469–497. [Google Scholar] [CrossRef]
- Das, D.; Roy, M.; Basak, T. Studies on natural convection within enclosures of various (non-square) shapes—A review. Int. J. Heat Mass Transf. 2017, 106, 356–406. [Google Scholar] [CrossRef]
- Pimputkar, S.M.; Ostrach, S. Convective effects in crystals grown from melt. J. Cryst. Growth 1981, 55, 614–646. [Google Scholar] [CrossRef]
- Sadeghi, M.S.; Anadalibkhah, N.; Ghasemiasl, R.; Armaghani, T.; Dogonchi, A.S.; Chamkha, A.J.; Ali, H.; Asadi, A. On the natural convection of nanofluids in diverse shapes of enclosures: An exhaustive review. J. Therm. Anal. Calorim. 2020, 147, 1–22. [Google Scholar] [CrossRef]
- Ali, M.; Zeitoun, O.; Almotairi, S. Natural convection heat transfer inside vertical circular enclosure filled with water-based Al2O3 nanofluids. Int. J. Therm. Sci. 2013, 63, 115–124. [Google Scholar] [CrossRef]
- Huminic, G.; Huminic, A. A numerical approach on hybrid nanofluid behavior in laminar duct flow with various cross sections. J. Therm. Anal. Calorim. 2020, 140, 2097–2110. [Google Scholar] [CrossRef]
- Yu, Q.; Lu, Y.; Zhang, C.; Wu, Y.; Sunden, B. Experimental and numerical study of natural convection in bottom-heated cylindrical cavity filled with molten salt nanofluids. J. Therm. Anal. Calorim. 2020, 141, 1207–1219. [Google Scholar] [CrossRef]
- Zhang, R.; Ghasemi, A.; Barzinjy, A.A.; Zareei, M.; Hamad, S.M.; Afrand, M. Simulating natural convection and entropy generation of a nanofluid in an inclined enclosure under an angled magnetic field with a circular fin and radiation effect. J. Therm. Anal. Calorim. 2020, 139, 3803–3816. [Google Scholar] [CrossRef]
- Öğüt, E.B. Natural convection of water-based nanofluids in an inclined enclosure with a heat source. Int. J. Therm. Sci. 2009, 48, 2063–2073. [Google Scholar] [CrossRef]
- Oztop, H.F.; Abu-Nada, E. Numerical study of natural convection in partially heated rectangular enclosures filled with nanofluids. Int. J. Heat Fluid Flow 2008, 29, 1326–1336. [Google Scholar] [CrossRef]
- Esmaeili, H.; Armaghani, T.; Abedini, A.; Pop, I. Turbulent combined forced and natural convection of nanofluid in a 3D rectangular channel using two-phase model approach. J. Therm. Anal. Calorim. 2019, 135, 3247–3257. [Google Scholar] [CrossRef]
- Anandalakshmi, R.; Basak, T. Natural convection in rhombic enclosures with isothermally heated side or bottom wall: Entropy generation analysis. Eur. J. Mech.-B/Fluids 2015, 54, 27–44. [Google Scholar] [CrossRef]
- Dutta, S.; Goswami, N.; Pati, S.; Biswas, A.K. Natural convection heat transfer and entropy generation in a porous rhombic enclosure: Influence of non-uniform heating. J. Therm. Anal. Calorim. 2021, 144, 1493–1515. [Google Scholar] [CrossRef]
- Bhuiyana, A.; Alam, M.S.; Alim, M. Natural convection of water-based nanofluids in a square cavity with partially heated of the bottom wall. Procedia Eng. 2017, 194, 435–441. [Google Scholar] [CrossRef]
- Dahani, Y.; Hasnaoui, M.; Amahmid, A.; Hasnaoui, S. Lattice-Boltzmann modeling of forced convection in a lid-driven square cavity filled with a nanofluid and containing a horizontal thin heater. Energy Procedia 2017, 139, 134–139. [Google Scholar] [CrossRef]
- Salmun, H. Convection patterns in a triangular domain. Int. J. Heat Mass Transf. 1995, 38, 351–362. [Google Scholar] [CrossRef]
- Joudi, K.; Hussein, I.; Farhan, A. Computational model for a prism shaped storage solar collector with a right triangular cross section. Energy Convers. Manag. 2004, 45, 391–409. [Google Scholar] [CrossRef]
- Ridouane, E.H.; Campo, A.; Chang, J.Y. Natural convection patterns in right-angled triangular cavities with heated vertical sides and cooled hypotenuses. J. Heat Transfer. 2005, 127, 1181–1186. [Google Scholar] [CrossRef]
- Sojoudi, A.; Saha, S.C.; Xu, F.; Gu, Y. Transient air flow and heat transfer due to differential heating on inclined walls and heat source placed on the bottom wall in a partitioned attic shaped space. Energy Build. 2016, 113, 39–50. [Google Scholar] [CrossRef]
- Ramakrishna, D.; Basak, T.; Roy, S.; Momoniat, E. Analysis of thermal efficiency via analysis of heat flow and entropy generation during natural convection within porous trapezoidal cavities. Int. J. Heat Mass Transf. 2014, 77, 98–113. [Google Scholar] [CrossRef]
- Alsabery, A.; Chamkha, A.; Saleh, H.; Hashim, I. Transient natural convective heat transfer in a trapezoidal cavity filled with non-Newtonian nanofluid with sinusoidal boundary conditions on both sidewalls. Powder Technol. 2017, 308, 214–234. [Google Scholar] [CrossRef]
- Triveni, M.K.; Panua, R. Numerical simulation of natural convection in a triangular enclosure with caterpillar (C)-curve shape hot wall. Int. J. Heat Mass Transf. 2016, 96, 535–547. [Google Scholar] [CrossRef]
- Biswal, P.; Basak, T. Bejan’s heatlines and numerical visualization of convective heat flow in differentially heated enclosures with concave/convex side walls. Energy 2014, 64, 69–94. [Google Scholar] [CrossRef]
- Saidi, M.; Karimi, G. Free convection cooling in modified L-shape enclosures using copper–water nanofluid. Energy 2014, 70, 251–271. [Google Scholar] [CrossRef]
- Cho, C.-C.; Chiu, C.-H.; Lai, C.-Y. Natural convection and entropy generation of Al2O3–water nanofluid in an inclined wavy-wall cavity. Int. J. Heat Mass Transf. 2016, 97, 511–520. [Google Scholar] [CrossRef]
- Arpino, F.; Massarotti, N.; Mauro, A. High Rayleigh number laminar-free convection in cavities: New benchmark solutions. Numer. Heat Transf. Part B Fundam. 2010, 58, 73–97. [Google Scholar] [CrossRef]
- Kürekci, N.; Özcan, O. An experimental and numerical study of laminar natural convection in a differentially-heated cubical enclosure. ISI Bilim. VE Tek. Derg.-J. Therm. Sci. Technol. 2012, 32, 1–8. [Google Scholar]
- Armfield, S.; Williamson, N.; Lin, W.; Kirkpatrick, M. Nusselt number scaling in an inclined differentially heated square cavity. In Proceedings of the 19th Australasian Fluid Mechanics Conference, Melbourne, Australia, 8–11 December 2014. [Google Scholar]
- Dou, H.-S.; Jiang, G. Numerical simulation of flow instability and heat transfer of natural convection in a differentially heated cavity. Int. J. Heat Mass Transf. 2016, 103, 370–381. [Google Scholar] [CrossRef]
- Mahdavi, M.; Sharifpur, M.; Ghodsinezhad, H.; Meyer, J.P. Experimental and numerical study of the thermal and hydrodynamic characteristics of laminar natural convective flow inside a rectangular cavity with water, ethylene glycol–water and air. Exp. Therm. Fluid Sci. 2016, 78, 50–64. [Google Scholar] [CrossRef]
- Williamson, N.; Armfield, S.; Lin, W.; Kirkpatrick, M. Stability and Nusselt number scaling for inclined differentially heated cavity flow. Int. J. Heat Mass Transf. 2016, 97, 787–793. [Google Scholar] [CrossRef]
- Karatas, H.; Derbentli, T. Natural convection in differentially heated rectangular cavities with time periodic boundary condition on one side. Int. J. Heat Mass Transf. 2019, 129, 224–237. [Google Scholar] [CrossRef]
- Huerta, P.; Gers, R.; Skurtys, O.; Moreau, F.; Saury, D. Heat transfer enhancement by the suppression of the stratified stagnant core in a rectangular differentially heated cavity. Int. J. Therm. Sci. 2023, 186, 108137. [Google Scholar] [CrossRef]
- Vesper, J.E.; Tietjen, S.C.; Chakkingal, M.; Kenjereš, S. Numerical analysis of effects of fins and conductive walls on heat transfer in side heated cavities—Onset of three-Dimensional phenomena in natural convection. Int. J. Heat Mass Transf. 2022, 183, 122033. [Google Scholar] [CrossRef]
- Wu, T.; Lei, C. On numerical modelling of conjugate turbulent natural convection and radiation in a differentially heated cavity. Int. J. Heat Mass Transf. 2015, 91, 454–466. [Google Scholar] [CrossRef]
- Trias, F.; Soria, M.; Oliva, A.; Pérez-Segarra, C. Direct numerical simulations of two-and three-dimensional turbulent natural convection flows in a differentially heated cavity of aspect ratio 4. J. Fluid Mech. 2007, 586, 259–293. [Google Scholar] [CrossRef]
- Trias, F.X.; Gorobets, A.; Oliva, A.; Verstappen, R. Turbulent Flow in a Differentially Heated Cavity: Direct Numerical Simulation and Regularization Modeling. In Proceedings of the International Heat Transfer Conference, Washington, DC, USA, 8–13 August 2010; pp. 163–172. [Google Scholar]
- Sebilleau, F.; Issa, R.; Lardeau, S.; Walker, S.P. Direct Numerical Simulation of an air-filled differentially heated square cavity with Rayleigh numbers up to 1011. Int. J. Heat Mass Transf. 2018, 123, 297–319. [Google Scholar] [CrossRef]
- Sayed, M.; Hadžiabdić, M.; Dehbi, A.; Ničeno, B.; Mikityuk, K. Simulation of flow and heat transfer in a differentially heated cubical cavity using coarse Large Eddy Simulation. Int. J. Therm. Sci. 2023, 183, 107892. [Google Scholar] [CrossRef]
- Kim, H.; Dehbi, A.; Kalilainen, J. Measurements and LES computations of a turbulent particle-laden flow inside a cubical differentially heated cavity. Atmos. Environ. 2018, 186, 216–228. [Google Scholar] [CrossRef]
- Dehbi, A.; Kalilainen, J.; Lind, T.; Auvinen, A. A large eddy simulation of turbulent particle-laden flow inside a cubical differentially heated cavity. J. Aerosol Sci. 2017, 103, 67–82. [Google Scholar] [CrossRef]
- Clifford, C.E.; Kimber, M.L. Assessment of RANS and LES turbulence models for natural convection in a differentially heated square cavity. Numer. Heat Transf. Part A Appl. 2020, 78, 560–594. [Google Scholar] [CrossRef]
- Ali, A.E.A.; Afgan, I.; Laurence, D.; Revell, A. A dual-mesh hybrid RANS-LES simulation of the buoyant flow in a differentially heated square cavity with an improved resolution criterion. Comput. Fluids 2021, 224, 104949. [Google Scholar] [CrossRef]
- Barakos, G.; Mitsoulis, E.; Assimacopoulos, D. Natural convection flow in a square cavity revisited: Laminar and turbulent models with wall functions. Int. J. Numer. Methods Fluids 1994, 18, 695–719. [Google Scholar] [CrossRef]
- Yang, X.; Shi, B.; Chai, Z. Generalized modification in the lattice Bhatnagar-Gross-Krook model for incompressible Navier-Stokes equations and convection-diffusion equations. Phys. Rev. E 2014, 90, 013309. [Google Scholar] [CrossRef]
- Poujol, F.; Rojas, J.; Ramos, E. Transient natural convection in a cavity with heat input and a constant temperature wall on opposite sides. Int. J. Heat Fluid Flow 1993, 14, 357–365. [Google Scholar] [CrossRef]
- Mohamad, A. Benchmark solution for unsteady state CFD problems. Numer. Heat Transf. Part A Appl. 1998, 34, 653–672. [Google Scholar] [CrossRef]
- Versteegh, T.; Nieuwstadt, F. A direct numerical simulation of natural convection between two infinite vertical differentially heated walls scaling laws and wall functions. Int. J. Heat Mass Transf. 1999, 42, 3673–3693. [Google Scholar] [CrossRef]
- Balaji, C.; Hölling, M.; Herwig, H. Nusselt number correlations for turbulent natural convection flows using asymptotic analysis of the near-wall region. J. Heat Transfer. 2007, 129, 1100–1105. [Google Scholar] [CrossRef]
- Ganguli, A.; Pandit, A.; Joshi, J. CFD simulation of heat transfer in a two-dimensional vertical enclosure. Chem. Eng. Res. Des. 2009, 87, 711–727. [Google Scholar] [CrossRef]
- Mandal, J.; Sonawane, C. Simulation of flow inside differentially heated rotating cavity. Int. J. Numer. Methods Heat Fluid Flow 2013, 23, 23–54. [Google Scholar] [CrossRef]
- Snoussi, L.; Chouikh, R.; Ouerfelli, N.; Guizani, A. Numerical simulation of heat transfer enhancement for natural convection in a cubical enclosure filled with Al2O3/water and Ag/water nanofluids. Phys. Chem. Liq. 2016, 54, 703–716. [Google Scholar] [CrossRef]
- Liu, Y.; Bian, Y.; Zhao, Y.; Zhang, S.; Suo, Q. Scaling laws for the transient convective flow in a differentially and linearly heated rectangular cavity at Pr> 1. Phys. Fluids 2019, 31, 043601. [Google Scholar] [CrossRef]
- Chakkingal, M.; Kenjereš, S.; Dadavi, I.A.; Tummers, M.; Kleijn, C.R. Numerical analysis of natural convection in a differentially heated packed bed with non-uniform wall temperature. Int. J. Heat Mass Transf. 2020, 149, 119168. [Google Scholar] [CrossRef]
- Hachem, E.; Ghraieb, H.; Viquerat, J.; Larcher, A.; Meliga, P. Deep reinforcement learning for the control of conjugate heat transfer. J. Comput. Phys. 2021, 436, 110317. [Google Scholar] [CrossRef]
- Katsamis, C.; Craft, T.; Iacovides, H.; Uribe, J.C. Use of 2-D and 3-D unsteady RANS in the computation of wall bounded buoyant flows. Int. J. Heat Fluid Flow 2022, 93, 108914. [Google Scholar] [CrossRef]
- Le Quéré, P. Natural convection in air-filled differentially heated isoflux cavities: Scalings and transition to unsteadiness, a long story made short. Int. J. Therm. Sci. 2022, 176, 107430. [Google Scholar] [CrossRef]
- Kimura, S.; Bejan, A. The boundary layer natural convection regime in a rectangular cavity with uniform heat flux from the side. J. Heat Transfer. 1984, 106, 98–103. [Google Scholar] [CrossRef]
- Kouroudis, I.; Saliakellis, P.; Yiantsios, S.G. Direct numerical simulation of natural convection in a square cavity with uniform heat fluxes at the vertical sides: Flow structure and transition. Int. J. Heat Mass Transf. 2017, 115, 428–438. [Google Scholar] [CrossRef]
- Lin, C.-S.; Hasan, M. Numerical investigation of the thermal stratification in cryogenic tanks subjected to wall heat flux. In Proceedings of the 26th Joint Propulsion Conference, Orlando, FL, USA, 16–18 July 1990; p. 2375. [Google Scholar]
- Gupta, A.; Eswaran, V.; Munshi, P.; Maheshwari, N.; Vijayan, P. Thermal stratification studies in a side heated water pool for advanced heavy water reactor applications. Heat Mass Transf. 2009, 45, 275–285. [Google Scholar] [CrossRef]
- Tabib, M.V.; Tsiolakis, V.; Pawar, S.; Ahmed, S.E.; Rasheed, A.; Kvamsdal, T.; San, O. Hybrid deep-learning POD-based parametric reduced order model for flow around wind-turbine blade. In Proceedings of the Journal of Physics: Conference Series, Sarajevo, Bosnia and Herzegovina, 30 June–1 July 2022; p. 012039. [Google Scholar]
- Ahmed, S.E.; Pawar, S.; San, O.; Rasheed, A.; Tabib, M. A nudged hybrid analysis and modeling approach for realtime wake-vortex transport and decay prediction. Comput. Fluids 2021, 221, 104895. [Google Scholar] [CrossRef]



















| Name of Reference | Type of Work | Dimensionless Numbers and Range | Type of Closure | Geometrical Dimensions | Correlation |
|---|---|---|---|---|---|
| Das, Chakraborty and Dutta [4] | Experimental and Numerical | Ra = 6.1 × 1010 | Both sides are heated at constant heat flux | Width = 22 cm; maximum height = 22 cm | – |
| Patterson and Imberger [6] | Numerical | Pr = 7 | Differentially heated enclosure | Square geometry | – |
| Ra = 0.1 − 1.4 × 105 | |||||
| Arpino, Massarotti and Mauro [37] | Numerical | Ra = 107 − 108 | One side is heated, and one side is cooled | Square geometry | – |
| Kürekci and Özcan [38] | Experimental and Numerical | Ra = 1.3 × 107 | One side is heated, and one side is cooled | Cubical enclosure | – |
| Armfield, Williamson, Lin and Kirkpatrick [39] | Numerical | Pr = 7 | Differentially, one side is heated and one side cooled | Inclined square enclosure | |
| Ra = 108 | |||||
| Dou and Jiang [40] | Numerical | Pr = 6.67 | Differentially heated enclosure with one side heated and one side cooled | Rectangular enclosure with and without fins | – |
| Ra = 3.38 × 106 − 3.38 × 109 | |||||
| Mahdavi, Sharifpur, Ghodsinezhad and Meyer [41] | Numerical | Ra = 4.16 × 106 for air | One side is heated, and one side is cooled | 96 mm × 120 mm | – |
| Ra = 8.14 × 108 for water | |||||
| Ra = 6.5 × 108 for ethylene glycol-water mixture | |||||
| Williamson, Armfield, Lin and Kirkpatrick [42] | Numerical | Pr = 7 | Differentially, one side is heated, and one side is cooled | Inclined square enclosure | |
| Ra = 104 − 108 | |||||
| Karatas and Derbentli [43] | Experimental and Numerical | Ra = 1.13 × 108 | Differentially, one side is heated and one side cooled | Rectangular cavities of height = 340 mm and AR = 1–6 | |
| Huerta, Gers, Skurtys, Moreau and Saury [44] | Numerical | Ra = 9 × 107 | Differentially, one side is heated and one side cooled | Rectangular enclosure of AR = 4 | – |
| Poujol, et al. [57] | Numerical | Pr = 224 | One side is heated with constant flux while the other is maintained at constant temperature | 13 cm × 13 cm | – |
| Ra = 3.9 × 109 | |||||
| Mohamad [58] | Numerical | Gr = 2 × 106 | Differentially, one side is heated and one side cooled | Square geometry | – |
| Pr = 0.02 | |||||
| Versteegh and Nieuwstadt [59] | Numerical | Pr = 0.709 | Differentially heated cubical enclosure | Lx:Ly:Lz = 1:6:12 | |
| Ra = 0.54 − 5.0 × 106 | |||||
| Balaji, et al. [60] | Numerical | Ra = 5.4 × 105 − 1014 | One side is heated, and one side is cooled | Infinite vertical channel | |
| Ganguli, et al. [61] | Numerical | Ra = 599 − 3.15 × 1005 | One side is heated, and one side cooled | (5 mm ≤ L ≤ 25 mm; 100 mm ≤ H ≤ 1000 mm) | |
| Mandal and Sonawane [62] | Numerical | Pr = 0.01 | Differentially, one side is heated, and one side cooled | Square geometry | – |
| Snoussi, et al. [63] | Numerical | Ra = 103 − 8 × 107 | One side is heated, and one side is cooled | Cubical enclosure | – |
| Liu, et al. [64] | Numerical | Pr = 2–53.1 | Differentially and linearly heated with one side heated and one side cooled | H:L = 1:4.17 | – |
| Ra = 1.84 × 107 − 1.84 × 1010 | |||||
| Chakkingal, et al. [65] | Numerical | Pr = 5.4 | It is differentially heated with one side at constant temperature and the other with a sinusoidal time-varying profile | Square enclosure | – |
| Ra = 105 − 107 | |||||
| Hachem, et al. [66] | Numerical | Pr = 0.71 | One side is heated, and one side is cooled | Square enclosure | – |
| Ra = 104 | |||||
| Katsamis, et al. [67] | Numerical | Ra = 1011 for square enclosure | One side is heated, and one side is cooled | The square enclosure of length = 1 m | – |
| Ra = 0.86 × 106 for rectangular enclosure | Rectangular enclosure of H × L = 2.18 m × 0.076 m | ||||
| Le Quéré [68] | Numerical | Pr = 0.71 Ra = 109 − 5.1 × 1013 | Differentially heated enclosure heated and cooled with uniform flux at the vertical boundaries | AR = 0.2–8 | - |
| Kimura and Bejan [69] | Numerical | Ra = 3.5 × 105–Ra = 2.8 × 108 | One side is heated, and one side is cooled | AR = 1 to AR = 3 | |
| Kouroudis, et al. [70] | Numerical | Ra = 2.9 × 1011–Ra = 4 × 1014 | One side is heated, and one side is cooled | AR = 1 | - |
| Analysis of Boundary Layer and Core Motion for Present Work | Dimensionless Time t′ (-) | Real Time t (s) |
|---|---|---|
| Development of the thermal boundary layer | 0.0004 | 20 |
| Intrusion layer from both walls moves in the horizontal direction along the surface towards the center | 0.001 | 40 |
| The intrusion layer of the thermal boundary layer from both walls meets at the center | 0.0015 | 75 |
| Intrusion thermal boundary layers discharge heat towards the center and cellular structures due to velocity intrusion layers at the center | 0.0021 | 100 |
| Intrusion layers shrink and squeeze towards the wall with the velocity boundary layer, causing cellular motion at the enclosure center | 0.0025 | 120 |
| A thick boundary layer along the heated wall merged at the surface, and discharge to the cavity started | 0.003 | 150 |
| Discharge to an enclosure with thermal gradients restricted to the top of the enclosure and velocity intrusion layer moving down | 0.004 | 180 |
| Discharge to enclosure continued with thermal gradients moving down and start of core motion | 0.005 | 250 |
| Discharge to enclosure continued with thermal gradients moving down and velocity intrusion layer discharging downward | 0.006 | 300 |
| Discharge to enclosure continued with thermal gradients moving down and velocity intrusion layer discharging downward, creating core motion | 0.007 | 350 |
| Discharge to enclosure continued with thermal gradients moving down and core motion started | 0.008 | 400 |
| Developed boundary layers with core motion | 0.021 | 1000 |
| Developed boundary layers with core motion | 0.026 | 1280 |
| Developed boundary layers with core circulation motion restricted to a top portion of the enclosure | 0.103 | 5000 |
| Developed boundary layers with core circulation motion restricted to a top portion of the enclosure and approach to steady state | 0.207 | 10,000 |
| Steady state reached | 0.310 | 15,000 |
| Different Layer Data | Patterson and Imberger [6] | Poujol, Rojas and Ramos [57] | Liu, Bian, Zhao, Zhang and Suo [64] | Kimura and Bejan [69] | Le Quéré [68] | Present Work | Patterson and Imberger [6] | Poujol, Rojas and Ramos [57] | Liu, Bian, Zhao, Zhang and Suo [64] | Kimura and Bejan [69] | Le Quéré [68] | ||
|---|---|---|---|---|---|---|---|---|---|---|---|---|---|
| Transient Stage | Steady Stage | Transient Stage | Steady Stage | ||||||||||
| Time for thermal boundary layer development | 1.78 × 100 | 2.00 × 101 | - | - | - | 0.0004 | Equation (6) | - | - | ||||
| Thermal boundary layer thickness | 5.17 × 10−4 | 1.74 ×10−3 | - | - | - | 0.0037 | Equation (7) | Equation (8) | Equation (2) | - | |||
| Velocity of the thermal boundary layer | 1.237 × 10−1 | 1.099 × 10−2 | - | - | - | 0.006 | Equation (9) | Equation (10) | Equation (3) | - | |||
| Hydrodynamic boundary layer thickness | 1.37 × 10−3 | - | - | 0.012 | - | - | |||||||
| Arrival time of intrusion layer | 3.93 × 100 | 67.2 | - | - | - | 0.0015 | Equation (11) | - | - | ||||
| Thickness of intrusion layer | 2.03 ×10−3 | 5.82 × 10−3 | - | - | - | - | 0.0105 | Equation (12) | Equation (13) | - | - | ||
| Temperature gradient at the core | - | - | - | - | - | - | - | - | Equation (5) | Equation (14) | |||
Disclaimer/Publisher’s Note: The statements, opinions and data contained in all publications are solely those of the individual author(s) and contributor(s) and not of MDPI and/or the editor(s). MDPI and/or the editor(s) disclaim responsibility for any injury to people or property resulting from any ideas, methods, instructions or products referred to in the content. |
© 2025 by the authors. Licensee MDPI, Basel, Switzerland. This article is an open access article distributed under the terms and conditions of the Creative Commons Attribution (CC BY) license (https://creativecommons.org/licenses/by/4.0/).
Share and Cite
Ganguli, A.A.; Deshpande, S.S.; Raval, M.S. Hydrodynamics in a Both-Side-Heated Square Enclosure in Laminar Regime Under Constant Heat Flux Using Computational Fluid Dynamics and Deep Learning Methodology. Fluids 2025, 10, 309. https://doi.org/10.3390/fluids10120309
Ganguli AA, Deshpande SS, Raval MS. Hydrodynamics in a Both-Side-Heated Square Enclosure in Laminar Regime Under Constant Heat Flux Using Computational Fluid Dynamics and Deep Learning Methodology. Fluids. 2025; 10(12):309. https://doi.org/10.3390/fluids10120309
Chicago/Turabian StyleGanguli, Arijit A., Sagar S. Deshpande, and Mehul S. Raval. 2025. "Hydrodynamics in a Both-Side-Heated Square Enclosure in Laminar Regime Under Constant Heat Flux Using Computational Fluid Dynamics and Deep Learning Methodology" Fluids 10, no. 12: 309. https://doi.org/10.3390/fluids10120309
APA StyleGanguli, A. A., Deshpande, S. S., & Raval, M. S. (2025). Hydrodynamics in a Both-Side-Heated Square Enclosure in Laminar Regime Under Constant Heat Flux Using Computational Fluid Dynamics and Deep Learning Methodology. Fluids, 10(12), 309. https://doi.org/10.3390/fluids10120309

