Magnetic Polypyrrole-Gelatin-Barium Ferrite Cryogel as an Adsorbent for Chromium (VI) Removal
Abstract
:1. Introduction
2. Results and Discussion
2.1. Effect of pH on Cr(VI) Adsorption
2.2. Effect of the Presence of Magnetic BaFe Particles on Cr(VI) Adsorption
2.3. Kinetics of Cr(VI) Adsorption
2.4. Adsorption Isotherm
2.5. Adsorption of Cr(VI) in the Presence of Interfering Ions
2.6. Regeneration of PPy-G-BaFe Aerogel after Adsorption of Cr(VI) and Its Reusability
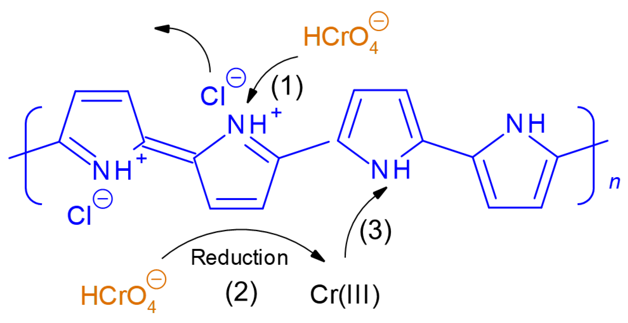
2.7. Mechanism of Cr(VI) Removal by PPy-G-BaFe
3. Conclusions
4. Materials and Methods
4.1. Materials and Preparation
4.2. Adsorption Study
4.3. Material Characterization Methods
Supplementary Materials
Author Contributions
Funding
Institutional Review Board Statement
Informed Consent Statement
Data Availability Statement
Conflicts of Interest
References
- Zhitkovich, A. Chromium in drinking water: Sources, metabolism, and cancer risks. Chem. Res. Toxicol. 2011, 24, 1617–1629. [Google Scholar] [CrossRef] [PubMed]
- Oze, C.; Bird, D.K.; Fendorf, S. Genesis of hexavalent chromium from natural sources in soil and groundwater. Proc. Natl. Acad. Sci. USA 2007, 104, 6544–6549. [Google Scholar] [CrossRef]
- Hasan, S.M.M.; Akber, M.A.; Bahar, M.M.; Islam, M.A.; Akbor, M.A.; Siddique, M.A.B.; Islam, M.A. Chromium contamination from tanning industries and phytoremediation potential of native plants: A study of savar tannery industrial estate in Dhaka, Bangladesh. Bull. Environ. Contam. Toxicol. 2021, 106, 1024–1032. [Google Scholar] [CrossRef] [PubMed]
- Sanyal, T.; Kaviraj, A.; Saha, S. Deposition of chromium in aquatic ecosystem from effluents of handloom textile industries in Ranaghat–Fulia region of West Bengal, India. J. Adv. Res. 2015, 6, 995–1002. [Google Scholar] [CrossRef] [PubMed]
- Beukes, J.P.; Du Preez, S.P.; Van Zyl, P.G.; Paktunc, D.; Fabritius, T.; Päätalo, M.; Cramer, M. Review of Cr (VI) environmental practices in the chromite mining and smelting industry–Relevance to development of the Ring of Fire, Canada. J. Clean. Prod. 2017, 165, 874–889. [Google Scholar] [CrossRef]
- Chrysochoou, M.; Ferreira, D.R.; Johnston, C.P. Calcium polysulfide treatment of Cr (VI)-contaminated soil. J. Hazard. Mater. 2010, 179, 650–657. [Google Scholar] [CrossRef] [PubMed]
- World Health Organization. Chromium in drinking-water. In Background Document for Development of WHO Guidelines for Drinking-Water Quality; WHO/HEP/ECH/WSH/2020.3; World Health Organization: Geneva, Switzerland, 2020. [Google Scholar]
- Park, J.E.; Shin, J.H.; Oh, W.; Choi, S.J.; Kim, J.; Kim, C.; Jeon, J. Removal of hexavalent chromium(VI) from wastewater using chitosan-coated iron oxide nanocomposite membranes. Toxics 2022, 10, 98. [Google Scholar] [CrossRef] [PubMed]
- El Gaayda, J.; Rachid, Y.; Titchou, F.E.; Barra, I.; Hsini, A.; Yap, P.S.; Oh, W.D.; Swanson, C.; Hamdani, M.; Akbour, R.A. Optimizing removal of chromium (VI) ions from water by coagulation process using central composite design: Effectiveness of grape seed as a green coagulant. Sep. Purif. Technol. 2023, 307, 122805. [Google Scholar] [CrossRef]
- Sattari-Najafabadi, M.; Esfahany, M.N. Hexavalent chromium extraction from aqueous solutions in a liquid-liquid slug flow microreactor. Chem. Eng. Process. 2020, 157, 108156. [Google Scholar] [CrossRef]
- Peng, H.; Guo, J.; Li, B.; Liu, Z.H.; Tao, C.Y. High-efficient recovery of chromium (VI) with lead sulfate. J. Taiwan Inst. Chem. Eng. 2018, 85, 149–154. [Google Scholar] [CrossRef]
- Bashir, M.S.; Safdar, A.; Ibrahim, A.; Ahmed, I.A.; Shah, S.S.A.; Unar, A.; Almukhlifi, H.A.; Saeedi, A.M.; Fuzhou, W. Facile one-pot strategy to fabricate polyurea-based palladium for flow-through catalytic reduction of harmful hexavalent chromium from water. Inorg. Chem. Commun. 2023, 158, 111462. [Google Scholar] [CrossRef]
- Yu, M.; Shang, J.; Kuang, Y. Efficient photocatalytic reduction of chromium (VI) using photoreduced graphene oxide as photocatalyst under visible light irradiation. J. Mater. Sci. Nanotechnol. 2021, 91, 17–27. [Google Scholar] [CrossRef]
- Zhang, Z.J.; Sun, L.; Liu, R. Flash nanoprecipitation of polymer supported Pt colloids with tunable catalytic chromium reduction property. Colloid Polym. Sci. 2018, 296, 327–333. [Google Scholar] [CrossRef]
- Rajapaksha, A.U.; Selvasembian, R.; Ashiq, A.; Gunarathne, V.; Ekanayake, A.; Perera, V.O.; Wijesekera, H.; Mia, S.M.; Ahmad, M.; Vithanage, M.; et al. A systematic review on adsorptive removal of hexavalent chromium from aqueous solutions: Recent advances. Sci. Total Environ. 2022, 809, 152055. [Google Scholar] [CrossRef] [PubMed]
- Valentin-Reyes, J.; Garcia-Reyes, R.B.; Garcia-Gonzalez, A.; Soto-Regalado, E.; Cerino-Cordova, F. Adsorption mechanisms of hexavalent chromium from aqueous solutions on modified activated carbons. J. Environ. Manag. 2019, 236, 815–822. [Google Scholar] [CrossRef] [PubMed]
- Zhang, T.; Wei, S.; Waterhouse, G.I.N.; Fu, L.; Liu, L.; Shi, W.J.; Sun, J.C.; Ai, S.Y. Chromium (VI) adsorption and reduction by humic acid coated nitrogen-doped magnetic porous carbon. Powder Technol. 2020, 360, 55–64. [Google Scholar] [CrossRef]
- Almanassra, I.W.; Al-Ansari, T.; Ihsanullah, I.; Kochkodan, V.; Chatla, A.; Atieh, M.A.; Shanableh, A.; Laoui, T. Carbide-derived carbon as an extraordinary material for the removal of chromium from an aqueous solution. Chemosphere 2022, 307, 135953. [Google Scholar] [CrossRef]
- Dim, P.E.; Mustapha, L.S.; Termtanun, M.; Okafor, J.O. Adsorption of chromium (VI) and iron (III) ions onto acid-modified kaolinite: Isotherm, kinetics and thermodynamics studies. Arab. J. Chem. 2021, 14, 103064. [Google Scholar] [CrossRef]
- Khalfa, L.; Sdiri, A.; Bagane, M.; Cervera, M.L. A calcined clay fixed bed adsorption studies for the removal of heavy metals from aqueous solutions. J. Clean. Prod. 2021, 278, 123935. [Google Scholar] [CrossRef]
- Santoso, S.P.; Kurniawan, A.; Angkawijaya, A.E.; Shuwanto, H.; Warmadewanthi, I.D.A.A.; Hsieh, C.W.; Hsu, H.Y.; Soetaredjo, F.E.; Ismadji, S.; Cheng, K.C. Removal of heavy metals from water by macro-mesoporous calcium alginate-exfoliated clay composite sponges. Chem. Eng. J. 2023, 452, 139261. [Google Scholar] [CrossRef]
- Alvarez, A.M.; Guerron, D.B.; Calderon, C.M. Natural zeolite as a chromium VI removal agent in tannery effluents. Heliyon 2021, 7, 07974. [Google Scholar] [CrossRef] [PubMed]
- Liu, X.Q.; Zhang, Y.Y.; Liu, Y.; Zhang, T.A. Green method to synthesize magnetic zeolite/chitosan composites and adsorption of hexavalent chromium from aqueous solutions. Int. J. Biol. Macromol. 2022, 194, 746–754. [Google Scholar] [CrossRef] [PubMed]
- Velarde, L.; Nabavi, M.S.; Escalera, E.; Antti, M.L.; Akhtar, F. Adsorption of heavy metals on natural zeolites: A review. Chemosphere 2023, 328, 138508. [Google Scholar] [CrossRef] [PubMed]
- Varnamkhasti, S.S.; Samani, M.R.; Toghraie, D. Removal of chromium (VI) from aqueous environments using composites of polyaniline-cherry leaves. J. Environ. Manag. 2023, 332, 117359. [Google Scholar] [CrossRef] [PubMed]
- Choe, J.; Ji, J.M.; Yu, J.H.Y.; Jang, K.; Yun, J.; Choe, S.; Rim, Y.; Jo, C. Adsorption of Cr(VI) in aqueous solution by polypyrrole nanotube and polypyrrole nanoparticle; Kinetics, isotherm equilibrium, and thermodynamics. Inorg. Chem. Commun. 2022, 145, 109981. [Google Scholar] [CrossRef]
- Marghaki, N.S.; Jonoush, Z.A.; Rezaee, A. Chromium (VI) removal using microbial cellulose/nano-Fe3O4@polypyrrole: Isotherm, kinetic and thermodynamic studies. Mater. Chem. Phys. 2022, 278, 125696. [Google Scholar] [CrossRef]
- Karthikeyan, P.; Elanchezhiyan, S.S.; Meenakshi, S.; Park, C.M. Magnesium ferrite-reinforced polypyrrole hybrids as an effective adsorbent for the removal of toxic ions from aqueous solutions: Preparation, characterization, and adsorption experiments. J. Hazard. Mater. 2021, 408, 124892. [Google Scholar] [CrossRef] [PubMed]
- Qiu, L.Y.; Wang, Y.J.; Sui, R.; Zhu, C.X.; Yang, W.W.; Yu, Y.S.; Li, J.M. Preparation of a novel metal-free polypyrrole-red phosphorus adsorbent for efficient removal of Cr(VI) from aqueous solution. Environ. Res. 2023, 224, 115458. [Google Scholar] [CrossRef] [PubMed]
- Chigondo, M.; Nyamunda, B.; Maposa, M.; Chigondo, F. Cr (VI) ions water pollution, toxicity and remediation by polypyrrole-based adsorbents: A review. Water Sci. Technol. 2022, 85, 1600–1619. [Google Scholar] [CrossRef] [PubMed]
- Pang, A.L.; Arsad, A.; Ahmadipour, M. Synthesis and factor affecting on the conductivity of polypyrrole: A short review. Polym. Adv. Technol. 2021, 32, 1428–1454. [Google Scholar] [CrossRef]
- Milakin, K.A.; Capáková, Z.; Acharya, U.; Vajďák, J.; Morávková, Z.; Hodan, J.; Humpolíček, P.; Bober, P. Biocompatible and antibacterial gelatin-based polypyrrole cryogels. Polymer 2020, 197, 122491. [Google Scholar] [CrossRef]
- Minisy, I.M.; Acharya, U.; Veigel, S.; Morávková, Z.; Taboubi, O.; Hodan, J.; Breitenbach, S.; Unterweger, C.; Gindl-Altmutter, W.; Bober, P. Sponge-like polypyrrole-nanofibrillated cellulose aerogels: Synthesis and application. J. Mater. Chem. C 2021, 9, 12615–12623. [Google Scholar] [CrossRef]
- Milakin, K.A.; Morávková, Z.; Acharya, U.; Lhotka, M.; Hlídková, H.; Hodan, J.; Bober, P. Templating effects in dye-containing polypyrrole-gelatin cryogels. Mater. Chem. Phys. 2022, 290, 126596. [Google Scholar] [CrossRef]
- Bober, P.; Minisy, I.M.; Morávková, Z.; Hlídková, H.; Hodan, J.; Hromádková, J.; Acharya, U. Polypyrrole aerogels: Efficient adsorbents of Cr(VI) ions from aqueous solutions. Gels 2023, 9, 582. [Google Scholar] [CrossRef] [PubMed]
- Milakin, K.A.; Taboubi, O.; Acharya, U.; Lhotka, M.; Pokorný, V.; Konefał, M.; Kočková, O.; Hromádková, J.; Hodan, J.; Bober, P. Polypyrrole-barium ferrite magnetic cryogels for water purification. Gels 2023, 9, 92. [Google Scholar] [CrossRef] [PubMed]
- Chullasat, K.; Nurerk, P.; Kanatharana, P.; Kueseng, P.; Sukchuay, T.; Bunkoed, O. Hybrid monolith sorbent of polypyrrole-coated graphene oxide incorporated into a polyvinyl alcohol cryogel for extraction and enrichment of sulfonamides from water samples. Anal. Chim. Acta 2017, 961, 59–66. [Google Scholar] [CrossRef] [PubMed]
- Chen, M.M.; Yan, Z.; Luan, J.D.; Sun, X.; Liu, W.A.; Ke, X. pi-pi electron-donor-acceptor (EDA) interaction enhancing adsorption of tetracycline on 3D PPY/CMC aerogels. Chem. Eng. J. 2023, 454, 140300. [Google Scholar] [CrossRef]
- Mohammadi, A.; Ataie, A.; Sheibani, S. Chromium (VI) ions adsorption onto barium hexaferrite magnetic nano-adsorbent. Adv. Mater. Lett. 2016, 7, 579–586. [Google Scholar] [CrossRef]
- Marciano, J.S.; Ferreira, R.R.; de Souza, A.G.; Barbosa, R.F.S.; de Moura, A.J.; Rosa, D.S. Biodegradable gelatin composite hydrogels filled with cellulose for chromium (VI) adsorption from contaminated water. Int. J. Biol. Macromol. 2021, 181, 112–124. [Google Scholar] [CrossRef] [PubMed]
- Chen, G.X.; Qiao, C.D.; Wang, Y.; Yao, J.S. Synthesis of magnetic gelatin and its adsorption property for Cr(VI). Ind. Eng. Chem. Res. 2014, 53, 15576–15581. [Google Scholar] [CrossRef]
- Zhang, F.; Xi, L.Y.; Zhao, M.Q.; Du, Y.G.; Ma, L.Y.; Chen, S.H.; Ye, H.P.; Du, D.Y.; Zhang, T.C. Efficient removal of Cr(VI) from aqueous solutions by polypyrrole/natural pyrite composites. J. Mol. Liq. 2022, 365, 120041. [Google Scholar] [CrossRef]
- Van Vlierberghe, S.; Graulus, G.J.; Keshari Samal, S.; Van Nieuwenhove, I.; Dubruel, P. 12-porous hydrogel biomedical foam scaffolds for tissue repair. In Biomedical Foams for Tissue Engineering Applications; Woodhead Publishing: Cambridge, UK, 2014. [Google Scholar] [CrossRef]
- Ramsey, J.D.; Xia, L.; Kendig, M.W.; McCreery, L. Raman spectroscopic analysis of the speciation of dilute chromate solutions. Corros. Sci. 2001, 43, 1557–1572. [Google Scholar] [CrossRef]
- Rouhaninezhad, A.A.; Hojati, S.; Masir, M.N. Adsorption of Cr (VI) onto micro- and nanoparticles of palygorskite in aqueous solutions: Effects of pH and humic acid Ecotoxicol. Environ. Saf. 2020, 206, 111247. [Google Scholar] [CrossRef]
- Bhaumik, M.; Maity, A.; Srinivasu, V.V.; Onyango, M.S. Enhanced removal of Cr(VI) from aqueous solution using polypyrrole/Fe3O4 magnetic nanocomposite. J. Hazard. Mater. 2011, 190, 381–390. [Google Scholar] [CrossRef] [PubMed]
- Stejskal, J.; Trchová, M.; Bober, P.; Morávková, Z.; Kopecký, D.; Vrňata, M.; Prokeš, J.; Varga, M.; Watzlová, E. Polypyrrole salts and bases: Superior conductivity of nanotubes and their stability towards the loss of conductivity by deprotonation. RSC Adv. 2016, 6, 88382–88391. [Google Scholar] [CrossRef]
- Al-Harby, N.F.; Albahly, E.F.; Mohamed, N.A. Kinetics, isotherm and thermodynamic studies for efficient adsorption of Congo Red dye from aqueous solution onto novel cyanoguanidine-modified chitosan adsorbent. Polymers 2021, 13, 4446. [Google Scholar] [CrossRef] [PubMed]
- Dehghani, M.H.; Sanaei, D.; Ali, I.; Bhatnagar, A. Removal of chromium(VI) from aqueous solution using treated waste newspaper as a low-cost adsorbent: Kinetic modeling and isotherm studies. J. Mol. Liq. 2016, 215, 671–679. [Google Scholar] [CrossRef]
- Raji, C.; Anirudhan, T.S. Batch Cr(VI) removal by polyacrylamide-grafted sawdust: Kinetics and thermodynamics. Water Res. 1998, 32, 3772–3780. [Google Scholar] [CrossRef]
- Li, D.; Liu, H.P.; Wang, Z.W.; Zhang, Z.Q.; Wang, C.Z.; Zhao, B.A.; Pan, K. Ultralight and superelastic nanofiber aerogels with in-situ loaded polypyrrole for high-efficient Cr(VI) adsorption. J. Polym. Environ. 2023, 31, 637–647. [Google Scholar] [CrossRef]
- Ji, J.Y.; Xiong, H.Z.; Zhu, Z.N.; Li, L.; Huang, Y.N.; Yu, X.H. Fabrication of polypyrrole/chitosan nanocomposite aerogel monolith for removal of Cr(VI). J. Polym. Environ. 2018, 26, 1979–1985. [Google Scholar] [CrossRef]
- Chen, J.D.; Liang, Q.W.; Ploychompoo, S.; Luo, H.J. Functional rGO aerogel as a potential adsorbent for removing hazardous hexavalent chromium: Adsorption performance and mechanism. Environ. Sci. Pollut. Res. 2020, 27, 10715–10728. [Google Scholar] [CrossRef]
- Liang, Q.W.; Luo, H.J.; Geng, J.J.; Chen, J.D. Facile one-pot preparation of nitrogen-doped ultra-light graphene oxide aerogel and its prominent adsorption performance of Cr(VI). Chem. Eng. J. 2018, 338, 62–71. [Google Scholar] [CrossRef]
- Bin, Y.L.; Liang, Q.W.; Luo, H.J.; Chen, Y.Y.; Wang, T. One-step synthesis of nitrogen-functionalized graphene aerogel for efficient removal of hexavalent chromium in water. Environ. Sci. Pollut. Res. 2023, 30, 6746–6757. [Google Scholar] [CrossRef] [PubMed]
- Waghmare, A.; Rathore, R.; Pandey, A.; Chandra, V. Graphene-oxide-coated, polypyrrole-supported, nano zerovalent iron nanocomposites for adsorption of hexavalent chromium from wastewater. Chemistryselect 2023, 8, e202204410. [Google Scholar] [CrossRef]
- Hosseinkhani, A.; Rad, B.F.; Baghdadi, M. Efficient removal of hexavalent chromium from electroplating wastewater using polypyrrole coated on cellulose sulfate fibers. J. Environ. Manag. 2020, 274, 111153. [Google Scholar] [CrossRef] [PubMed]
- Chigondo, M.; Paumo, H.K.; Bhaumik, M.; Pillay, K.; Maity, A. Magnetic arginine-functionalized polypyrrole with improved and selective chromium(VI) ions removal from water. J. Mol. Liq. 2019, 275, 778–791. [Google Scholar] [CrossRef]
- Zhang, Y.H.; Zhu, C.Q.; Liu, F.Q.; Yuan, Y.; Wu, H.D.; Li, A.M. Effects of ionic strength on removal of toxic pollutants from aqueous media with multifarious adsorbents: A review. Sci. Total Environ. 2019, 646, 265–279. [Google Scholar] [CrossRef] [PubMed]
- Wang, J.Q.; Pan, K.; He, Q.W.; Cao, B. Polyacrylonitrile/polypyrrole core/shell nanofiber mat for the removal of hexavalent chromium from aqueous solution. J. Hazard. Mater. 2013, 244, 121–129. [Google Scholar] [CrossRef]
- Xu, Y.L.; Chen, J.Y.; Chen, R.; Yu, P.L.; Guo, S.; Wang, X.F. Adsorption and reduction of chromium(VI) from aqueous solution using polypyrrole/calcium rectorite composite adsorbent. Water Res. 2019, 160, 148–157. [Google Scholar] [CrossRef] [PubMed]
- Du, L.L.; Gao, P.; Meng, Y.D.; Liu, Y.L.; Le, S.W.; Yu, C.B. Highly efficient removal of Cr(VI) from aqueous solutions by polypyrrole/monodisperse latex spheres. ACS Omega 2020, 5, 6651–6660. [Google Scholar] [CrossRef] [PubMed]
- Minisy, I.M.; Zasońska, B.A.; Petrovský, E.; Veverka, P.; Šeděnková, I.; Hromádková, J.; Bober, P. Poly(p-phenylenediamine)/maghemite composite as highly effective adsorbent for anionic dye removal. React. Funct. Polym. 2020, 146, 104436. [Google Scholar] [CrossRef]
- Minisy, I.M.; Salahuddin, N.A.; Ayad, M.M. Chitosan/polyaniline hybrid for the removal of cationic and anionic dyes from aqueous solutions. J. Appl. Polym. Sci. 2019, 136, 47056. [Google Scholar] [CrossRef]









| Cr(VI) Concentration, mg L−1 | Adsorbent Mass, mg | Qe (Exp), mg g−1 | Pseudo-First-Order | Pseudo-Second-Order | ||||
|---|---|---|---|---|---|---|---|---|
| k1, min−1 | Qe, mg g−1 | R2 | k2, g mg−1 min−1 | Qe, mg g−1 | R2 | |||
| 35 | 2.5 | 144.2 | 0.0015 | 106.6 | 0.963 | 4.12 × 10−5 | 147.9 | 0.994 |
| 35 | 5 | 130.4 | 0.0016 | 101.8 | 0.966 | 3.70 × 10−5 | 136.2 | 0.993 |
| 35 | 10 | 67.0 | 0.0052 | 46.6 | 0.976 | 0.00026 | 69.3 | 0.999 |
| 15 | 5 | 57.9 | 0.0052 | 44.6 | 0.980 | 0.00023 | 60.9 | 0.999 |
| 60 | 5 | 134.1 | 0.0013 | 99.1 | 0.955 | 3.79 × 10−5 | 137.6 | 0.992 |
| Langmuir | Freundlich | Temkin | ||||||
|---|---|---|---|---|---|---|---|---|
| KL, L mg−1 | Qmax, mg g−1 | R2 | Kf | R2 | KT | B | R2 | |
| 0.467 | 255.8 | 0.950 | 75.2 | 0.568 | 0.948 | 5.57 | 50.0 | 0.996 |
| Material | SBET, m2 g−1 | Q, mg g−1 | Method | Reference |
|---|---|---|---|---|
| PPy-nanofibrillated cellulose aerogel | 50 | 184 (pH 2) | Experimentally | [33] |
| PPy-gelatin aerogel | - | 337 (pH 2) | Langmuir | [35] |
| PPy-poly(vinyl alcohol) aerogel | - | 498 (pH 2) | Langmuir | [35] |
| PPy-hydroxypropylcellulose aerogel | - | 238 (pH 2) | Langmuir | [35] |
| PPy-methylcellulose aerogel | - | 289 (pH 2) | Langmuir | [35] |
| PPy-poly(N-vinylpyrrolidone) aerogel | - | 221 (pH 2) | Langmuir | [35] |
| PPy-natural pyrite composite | 35 | 262 (pH 2) | Langmuir | [42] |
| PPy-cellulose acetate aerogel | - | 183 (pH 2) | Langmuir | [51] |
| PPy-chitosan aerogel | 235 | 401 (pH 2) | Langmuir | [52] |
| PPy-reduced graphene oxide-ethylenediamine tetraacetic acid Na salt aerogel | 54 | 336 (pH 2) | Langmuir | [53] |
| PPy-graphene oxide aerogel | - | 416 (pH 2) | Langmuir | [54] |
| PPy-polyethyleneimine-graphene oxide aerogel | - | 478 (pH 2) | Langmuir | [55] |
| PPy-graphene oxide-iron nanoparticles | 55 | 171 (pH 4) | Langmuir | [56] |
| PPy-cellulose sulfate fibers | 0.14 | 198 (pH 2) | Langmuir | [57] |
| PPy-arginine-Fe3O4 nanocomposite | 22 | 323 (pH 2) | Langmuir | [58] |
| PPy-G-BaFe aerogel | 19 [36] | 256 (pH 4) | Langmuir | This work |
| Interfering Compound | Concentration, M | Cr(VI) Fraction Adsorbed, % | Adsorption Capacity, mg g−1 |
|---|---|---|---|
| None | - | 84 | 118 |
| NaCl | 0.1 | 73 | 102 |
| NaBr | 0.1 | 74 | 103 |
| KNO3 | 0.1 | 67 | 93 |
| Na2SO4 | 0.1 | 46 | 64 |
| Na2SO4 | 0.05 | 57 | 80 |
| Na2SO4 | 0.033 | 63 | 89 |
| Cr(VI) Concentration, mg L−1 | Adsorbent Mass, mg | Equilibrium Time, h |
|---|---|---|
| 35 | 2.5 | 48 |
| 35 | 5 | 48 |
| 35 | 10 | 24 |
| 15 | 5 | 24 |
| 60 | 5 | 48 |
Disclaimer/Publisher’s Note: The statements, opinions and data contained in all publications are solely those of the individual author(s) and contributor(s) and not of MDPI and/or the editor(s). MDPI and/or the editor(s) disclaim responsibility for any injury to people or property resulting from any ideas, methods, instructions or products referred to in the content. |
© 2023 by the authors. Licensee MDPI, Basel, Switzerland. This article is an open access article distributed under the terms and conditions of the Creative Commons Attribution (CC BY) license (https://creativecommons.org/licenses/by/4.0/).
Share and Cite
Milakin, K.A.; Taboubi, O.; Hromádková, J.; Bober, P. Magnetic Polypyrrole-Gelatin-Barium Ferrite Cryogel as an Adsorbent for Chromium (VI) Removal. Gels 2023, 9, 840. https://doi.org/10.3390/gels9100840
Milakin KA, Taboubi O, Hromádková J, Bober P. Magnetic Polypyrrole-Gelatin-Barium Ferrite Cryogel as an Adsorbent for Chromium (VI) Removal. Gels. 2023; 9(10):840. https://doi.org/10.3390/gels9100840
Chicago/Turabian StyleMilakin, Konstantin A., Oumayma Taboubi, Jiřina Hromádková, and Patrycja Bober. 2023. "Magnetic Polypyrrole-Gelatin-Barium Ferrite Cryogel as an Adsorbent for Chromium (VI) Removal" Gels 9, no. 10: 840. https://doi.org/10.3390/gels9100840
APA StyleMilakin, K. A., Taboubi, O., Hromádková, J., & Bober, P. (2023). Magnetic Polypyrrole-Gelatin-Barium Ferrite Cryogel as an Adsorbent for Chromium (VI) Removal. Gels, 9(10), 840. https://doi.org/10.3390/gels9100840

