Abstract
The stability of the electrolyte is very important for the development of high-performance all-solid-state lithium batteries. To improve the stability of electrolyte performance, it is essential to first understand the causes of its deterioration. Physically speaking, the degradation of electrolyte performance is mainly due to interface degradation. PAN-PVDF-HFP-LiClO4-Li6.4La3Zr1.4Ta0.6O12 (LLZTO) gel polymer electrolyte was prepared by the UV curing method and assembled into a solid-state battery. The electrochemical properties of solid-state batteries were tested at −20 °C, 30 °C, and 60 °C. The test results show that the gel polymer electrolyte exhibits good electrochemical performance in this temperature range. (The ionic conductivities of the gel polymer electrolyte at −20 °C and 60 °C were 3.95 × 10−4 S·cm−1 and 5.04 × 10−4 S·cm−1, respectively.) At a current density of 0.2 C, the battery exhibited high initial specific discharge capacities of 122 mAh g−1 and 151.6 mAh g−1 at −20 °C and 60 °C. The gel polymer electrolyte before and after working at different temperatures was characterized, and the ion transport was analyzed to explore the physical reasons for the degradation of the gel polymer electrolyte membrane interface. Therefore, this work provides a certain theoretical basis for improving the stability of solid-state lithium-ion batteries.
1. Introduction
Gel polymer electrolytes, which have recently regained attention as an advanced class of electrolytes bridging liquid and solid systems, combine high ionic conductivity with mechanical flexibility suitable for next-generation solid-state batteries. Various types of gel polymer electrolytes have been developed for different metal-ion systems, such as lithium, sodium, and zinc. This unique structure gives GPE significant advantages: on the one hand, its ionic conductivity is close to liquid electrolyte, ensuring good charge and discharge performance; on the other hand, the gel state effectively locks liquid, greatly improves battery safety, solves the problem of flammability and leakage of liquid electrolyte, and enhances mechanical stability. GPE also has excellent processing flexibility and is easy to form into thin films to meet the needs of flexible electronic devices. In recent years, the emergence of bio-based (such as chitosan, pectin) and functionalized (such as antifreeze, high-strength) GPE has further promoted its application prospects in the next generation of high-safety lithium-ion batteries, flexible zinc-ion batteries, and extreme-environment energy-storage devices. Solid-state lithium batteries are considered to be the key to the next generation of energy storage technology. Compared with traditional liquid batteries, solid-state batteries have higher energy density, lower self-discharge rate, and better safety performance [1,2,3,4,5]. Despite the promising application of solid-state batteries, stability issues remain one of the main challenges hindering their widespread use. Especially, the interface stability of gel polymer electrolytes is very important to improve the performance and service life of a solid lithium battery [6,7,8,9,10,11]. Dipan Kundu et al. conducted research on the interface stability of solid-state lithium batteries [12,13,14,15]. Specifically, their research systematically explored the interface instability between solid electrolytes and lithium metal, highlighting how chemical and mechanical degradation at the interface limits the cycle stability of solid-state batteries. They pointed out that the interface layer formed, due to the reduction or oxidation of solid electrolytes, significantly increases the interface resistance and may lead to dendrite penetration. Their discovery highlights the significance of interface engineering in enhancing the long-term performance and safety of solid-state lithium batteries. Understanding the mechanisms that lead to degradation at the gel polymer electrolytes interface is essential for enhancing the overall stability of solid electrolytes in these advanced battery systems.
Abhirup Bhadra and his team employed X-ray photoelectron spectroscopy (XPS) to analyze the changes in the composition at the interface before and after cycling, aiming to investigate the stability of the interface [16,17,18,19,20]. By studying the evolution of stable phases, including electrolyte decomposition products, through alterations in diffraction peaks, they delved into the underlying reasons for interface degradation. Additionally, to delve deeper into the dynamic modifications in the chemical composition of the interface at the ion-fragment level, they utilized a time-of-flight secondary ion mass spectrometer for the high-sensitivity analysis of electrolyte cross-sections before and after cycling. This approach facilitated the identification of various anion and cation fragments as well as intricate interface products at solid interfaces, providing compelling evidence to advance comprehension of interface evolution. Jacob Otabil Bonsu and his colleagues conducted a quantitative evaluation of the changes in interfacial impedance of the cell using in situ electrochemical impedance spectroscopy (EIS) testing to scrutinize interfacial stability [21,22,23,24]. EIS allowed for the real-time monitoring of alterations in ion transport resistance at the interface under varying charge and discharge conditions, offering valuable insights into the degradation mechanism and rate of the interface. The results established a direct correlation between performance and microstructure, shedding light on the interplay between the two.
Although the UV-curing path adopted in this work shares certain commonalities with the idea of using LLZTO as an inorganic filler and the existing studies on PAN/PVDF-HFP-based gel electrolytes, the fundamental new contribution of this paper does not lie in proposing a completely new preparation process or a specific chemical composition of LLZTO. Instead, it lies in clearly shifting the research focus to “the failure mechanisms at different temperatures”. It is worth noting that Jin et al. proposed a new coarse-grained discrete element method for simulating the failure process of strongly bound particle materials in Powder Technology [25]. Its core value also lies in efficiently capturing the entire process from material damage accumulation to macroscopic failure, reflecting the “failure process-centered” research paradigm. Inspired by this, this paper further emphasizes: Only by analyzing the failure path under multiple temperature conditions can the reliability boundary of this type of gel electrolyte be more realistically defined, and provide mechanism-based evidence for subsequent material design and battery applications oriented towards temperature adaptability.
2. Results and Discussion
The safety of batteries is of vital importance, and the safety of electrolytes has an irreplaceable and significant impact on the safety of batteries. To further confirm that the electrolyte has good safety characteristics, flammability tests were conducted on the electrolyte. Figure 1a–c are plan views of GPE stored at −20 °C, 30 °C, and 60 °C for 48 h, respectively. Figure 1d,e are experimental pictures of GPE thin-film ignition for 1 s and 5 s, respectively. It can be seen from the experiment that the film cannot be ignited, indicating that the GPE film is nonflammable.
Figure 1.
(a–c) Plan view of GPE after 48 h at −20 °C, 30 °C, and 60 °C. (d) GPE ignition for 1 s; (e) GPE ignition for 5 s.
Ion conductivity is a key parameter for evaluating the electrochemical performance of lithium-ion battery separators, which refers to the current density generated by ion movement in materials under a specific electric field intensity. This characteristic reflects the speed of ion migration and the concentration of ions within the material. Figure 2e shows the impedance spectroscopy (EIS) data collected over a range of temperatures for gel polymer electrolytes, providing insight into their conductivity behavior. As a supplement, Table 1 provides detailed values of ionic conductivity values of gel polymer electrolytes at different temperatures. As can be seen from Table 1, the ionic conductivities of the electrolyte at −20 °C, 30 °C, and 60 °C are 3.95 × 10−4 S·cm−1, 4.64 × 10−4 S·cm−1, and 5.04 × 10−4 S·cm−1, respectively. The ionic conductivity of this electrolyte at −20 °C is compared with that of different electrolytes at −20 °C as shown in Table 2.
Figure 2.
(a–c) DC polarization curves of the battery at −20 °C, 30 °C, and 60 °C when the polarization voltage is 10 mV. (Inset: Simulated equivalent resistance and impedance spectra of symmetrical cells before and after polarization.) (d) Linear voltammogram of gel polymer electrolyte. (e) Impedance plots of the gel polymer electrolyte at different temperatures. (f) Bar graph comparing conductivity at different temperatures.
Table 1.
Experimentally measured parameters of gel polymer electrolytes and ionic conductivity calculated from Equation (1).
Table 2.
Comparison with existing gel polymer electrolytes.
The lithium-ion transference number refers to the proportion of the current transferred by lithium ions (Li) to the total current under the action of an electric field. It reflects the conductivity of lithium ions relative to other ions (such as anions) in the electrolyte. Lithium-ion transference number t(Li+) is a very important performance parameter of the electrolyte membrane. Table 3 lists lithium-ion transference values of gel polymer electrolytes at different temperatures. Figure 2a–c show their corresponding AC impedance spectra and DC polarization curves.
Table 3.
Experimentally measured gel polymer electrolytes parameters and lithium-ion transference number t(Li+) calculated according to Equation (2).
The electrochemical window is a critical parameter that defines the voltage range in which an electrolyte or electrode material can operate without undergoing significant decomposition processes, like electrolysis, oxidation, or reduction, under specific environmental conditions. This parameter is essential for evaluating the stability of the electrolyte, which in turn directly impacts the upper voltage limit, energy density, and safety of batteries. In Figure 1d, it is illustrated that the current passing through the solid electrolyte membrane starts to increase at voltage thresholds of 4.3 V, 4.5 V, and 4.6 V, corresponding to temperatures of −20 °C, 30 °C, and 60 °C, respectively. This observation validates the considerable electrochemical window and stability of the solid electrolyte material.
Figure 3a–c, respectively, show the initial charge–discharge curves of the battery (with lithium iron phosphate as the positive electrode and lithium sheets as the negative electrode) when charged and discharged at different rates at different temperatures. Due to the continuous extraction/insertion of lithium ions from the active material, the initial charge–discharge curve presents a typical smooth monotonic voltage plateau. At the same current density, the higher the operating temperature of the battery, the higher the discharge capacity and the smaller the polarization of the battery. This shows that at a certain temperature range, the performance of the battery improves with the increase in temperature.
Figure 3.
(a–c) The charge–discharge curves of the battery at −20 °C, 30 °C, and 60 °C, respectively.
Figure 4a shows the rate characteristics of the batteries at different temperatures. It can be seen from the figure that the specific capacity of the battery decreases with the increase in current density at 0.1 C, 0.2 C, 0.5 C, 1 C, and 0.1 C current densities. When the current density is the same, the higher the temperature, the higher the charge–discharge specific capacity. For example, at a current density of 0.2 C, the specific discharge capacity is 136.7 mAh g−1 at 30 °C and 151.6 mAh g−1 at 60 °C.
Figure 4.
(a,b) Rate characteristic diagram and cycle characteristic diagram of the battery under different temperature conditions, respectively.
Figure 4b shows the cycle characteristics of GPE charged and discharged at a 0.1 C rate for 100 cycles at different temperatures. According to the information shown in Figure 4b, the initial discharge specific capacity of the GPE at −20 °C, 30 °C, and 60 °C reached 130.18, 142.34, and 165.67 mAh g−1, respectively. After 100 cycles, the specific discharge capacities were 100.37, 109.42, and 133.30 mAh g−1, respectively. After 100 cycles, the cycling performance of GPE at all temperatures declined to some extent. The attenuation rates reached 22.8%, 23.1%, and 24.1%, respectively. The degradation mechanism of GPE was explored by comparing the characteristics of GPE before and after charging and discharging.
Figure 5 shows X-ray diffraction (XRD) patterns of GPE before and after charging and discharging. It can be seen from Figure 5 that the position of the characteristic diffraction peak of GPE after charge and discharge is earlier than that before charge and discharge. This is due to the weakened coordination relationship between lithium ions and polymers and the resulting relaxation of the polymer structure/decrease in crystallinity. Partial extraction or redistribution of lithium ions can disrupt the coordination between Li+ and the polar sites of polymers, resulting in a reduction in the semi-crystalline region and an increase in the amorphous region. On XRD, this is manifested as a decrease in the intensity of diffraction peaks and slight peak shifts [34,35,36]. Diffraction peaks before charging and discharging have high crystallinity, a complete lattice, sharp diffraction peaks, and high intensity. After charging and discharging, the diffraction peak intensity decreases, and the peak width widens. By comparing the diffraction peaks at different temperatures, it can be seen that the diffraction peak at 60 °C has the highest intensity and the diffraction peak at −20 °C has the lowest intensity. This indicates that the performance of the electrolyte increases with the increase in temperature in a certain temperature range.
Figure 5.
(a–c) XRD patterns of GPE before and after charging and discharging at −20 °C, 30 °C, and 60 °C.
Figure 6 displays the thermogravimetric analysis (TGA) spectra of the gel polymer electrolytes (GPEs), both before and after undergoing charge–discharge cycles. The comparison reveals a notable difference in the weight loss percent of the GPE between the two states at equivalent heating temperatures. For example, when the heating temperature is 400 °C, the weight loss rate of the GPE before and after charging and discharging at 30 °C is 47.9% and 56.1%, respectively. This discrepancy can be elucidated by the robust chemical stability exhibited by gel polymer electrolytes in their pristine condition, characterized by minimal impurities like trace adsorbed water or residual substances either on the surface or within the material [37,38,39]. Consequently, the initial mass loss during heating is limited due to the absence of significant contaminants. Moreover, the interaction between the electrolyte and the electrode during cycling triggers secondary reactions, leading to the formation of less stable compounds that exhibit increased volatility upon heating.
Figure 6.
(a–c) Thermogravimetric analysis (TGA) spectra of GPE before and after charging and discharging at −20 °C, 30 °C, and 60 °C.
Figure 7 shows the Fourier Transform Infrared Spectroscopy (FTIR) of the gel polymer electrolyte before and after charging and discharging. As can be seen from Figure 7, the absorption peak of the electrolyte before charging and discharging is stronger and more distinct compared to the absorption peak of the electrolyte after charging and discharging. Even some absorption peaks only appear in the infrared spectrum of the electrolyte before charging and discharging, as shown in Figure 7a. In the infrared spectrum of the electrolyte before charging and discharging, there is a clear absorption peak at 1424 cm−1, but it is not present in the infrared spectrum of the electrolyte after charging and discharging. This is because the electrolyte structure before charging and discharging is intact and the functional groups are well retained, with high and clear infrared absorption peaks; while after charging and discharging, the electrolyte decomposes, its structure becomes disordered, and by-product formation occurs, resulting in a reduction or masking of the corresponding functional groups, thereby significantly weakening the absorption peak intensity [40,41,42]. The positions of the infrared spectra of the electrolyte before and after charging and discharging are also different. As shown in Figure 7b, in the infrared spectrum of the electrolyte before charging and discharging, an absorption peak appears at 1078 cm−1, while in the corresponding infrared spectrum of the electrolyte after charging and discharging, this absorption peak appears at 1067 cm−1. This is because after the performance decline, the electrolyte polymer chains are disrupted, the coordination structure changes, side-reaction products form, and the molecular environment alters. These factors cause the vibration frequency of chemical bonds to change, thereby resulting in a shift in the position of the absorption peak [43,44,45].
Figure 7.
(a–c) Fourier transform infrared spectra (FTIR) of GPE before and after charging and discharging at −20 °C, 30 °C, and 60 °C.
Figure 8 depicts the Raman spectra of the gel polymer electrolyte (GPE) before and after charging and discharging processes. As can be seen from Figure 8, the Raman peak intensity of the electrolyte before charging and discharging is extremely high, accompanied by sharp peaks, indicating that its structure is clear and definite. After charging and discharging, the Raman peak intensity of the electrolyte is relatively low, and the peak width is also relatively wide. This is due to the decline in the performance of the electrolyte after charging and discharging, as well as the disorder of its internal structure or the uneven distribution of stress. The positions of the Raman peaks of the electrolyte before and after charging and discharging are also different. As shown in Figure 8b, the Raman peak of the electrolyte before charging and discharging appeared at 2943 cm−1, while the Raman peak of the electrolyte after charging and discharging was located at 2940 cm−1. This is because the performance of the electrolyte deteriorates after charging and discharging, causing changes in the vibration energy of chemical bonds, which in turn leads to a shift in the Raman peak position [44,45,46,47].
Figure 8.
(a–c) Raman spectra of GPE before and after charging and discharging at −20 °C, 30 °C, and 60 °C.
Figure 9a–l show SEM images of surfaces and sections before and after charging and discharging. SEM images of the surface and cross-section before charging and discharging are compact and continuous, characterized by a uniform distribution of dense grains and a smooth surface. Grain boundaries are well defined and free of voids or defects. The particles show a narrow size distribution and have regular shapes, such as spheres or polyhedrons, with smooth surfaces without any adhesion. SEM images of the surface and cross-section after charging and discharging show local structural collapse or ion separation, resulting in the formation of a glass phase on the surface. The amorphous region can be distinguished from the surrounding crystalline regions. In addition, radial cracks appeared on the surface due to lattice contraction caused by lithium-ion extraction. This process leads to an increase in interparticle voids and the formation of new aggregates in specific areas [48,49].
Figure 9.
(a,g) SEM images of the surface of GPE before and after the experiment at −20 °C. (c,i) SEM images of the surface of GPE before and after the experiment at 30 °C. (e,k) SEM images of the surface of GPE before and after the experiment at 60 °C. (b,h) Cross-sectional SEM images of GPE before and after the experiment at −20 °C. (d,j) Cross-sectional SEM images of GPE before and after the experiment at 30 °C. (f,l) Cross-sectional SEM images of GPE before and after the experiment at 60 °C.
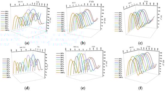
Figure 10 shows EIS plots of GPE before and after charging and discharging under different SOC conditions (Tables S1–S6). From the EIS diagram, it can be seen that the impedance of GPE before charging and discharging is smaller than that after charging and discharging under the same SOC condition. For example, when SOC is 20%, the impedance of GPE before charging and discharging at −20 °C is 524 Ω, and the impedance of GPE after charging and discharging is 720 Ω. The impedance of GPE before charging and discharging at 30 °C is 420 Ω, and the impedance after charging and discharging is 627 Ω. The impedance of GPE before charging and discharging at 60 °C is 391 Ω, and the impedance after charging and discharging is 584 Ω. The reason for this phenomenon is that the interface between electrolyte and electrode before GPE decay is clean, only a thin passivation layer exists, and the resistance to ion migration is very small. The grain arrangement is compact, the grain boundary is clear, the conduction channel is continuous, and the grain boundary resistance is low. Chemical/electrochemical reactions occur at the degraded GPE interface to form high-impedance products that increase the interfacial impedance. The volume change of lithium dendrites in GPE leads to cracks after dendrite growth or decay, forcing lithium ions to detour and increasing equivalent resistance. Local voids cause ionic conduction paths to break, forming “dead zones” that reduce the effective conduction area [50,51].
Figure 10.
(a,d) EIS diagrams of GPE before and after charging and discharging at −20 °C and different SOC conditions. (b,e) EIS diagrams of GPE before and after charging and discharging at 30 °C under different SOC conditions. (c,f) EIS diagrams of GPE before and after charging and discharging at 60 °C under different SOC conditions.
During the constant current charge–discharge cycling tests, in situ electrochemical impedance spectroscopy (EIS) measurements were conducted on the full battery every 10 cycles. Each measurement was performed after a 1 h rest period at the open-circuit voltage following the discharge completion. By applying the distribution of relaxation times (DRT) transformation deconvolution to the EIS data (as shown in Figure 11, Tables S7–S9), quantitative analysis of the interfacial impedance evolution in the battery was achieved. This method enables real-time monitoring of changes in interfacial ionic transport resistance across different cycling stages, providing crucial insights into the kinetic processes and intrinsic mechanisms of interface degradation. As illustrated in Figure 11, the longer the cycling period, the higher the interfacial impedance of the battery. This indicates that the ionic transport pathway gradually becomes obstructed, leading to accelerated capacity decay. Batteries cycled at −20 °C exhibited significantly higher interfacial impedance compared to those under other conditions, suggesting relatively difficult ionic transport at low temperatures.
Figure 11.
EIS diagrams: (a–c) battery DRT analysis at −20 °C, 30 °C, 60 °C. The three-dimensional evolution diagrams corresponding to (a–c) are shown in figures (d–f).
Figure 12 shows the LED-bulb-test photos of GPE batteries before and after charging and discharging under different temperature conditions. It can be seen from the figure that the brightness of LED bulbs lit by batteries before charging and discharging is significantly higher than that of LED bulbs lit by batteries after charging and discharging. After measurement, the voltage of the battery before charging and discharging is higher than that after charging and discharging, which testifies to the above statement from another perspective.
Figure 12.
(a,d) Images of GPE batteries lighting LED lights before and after the experiment at −20 °C. (b,e) Images of GPE batteries lighting LED lamps before and after the experiment at 30 °C. (c,f) Images of GPE batteries lighting LED lights before and after the experiment at 60 °C. The red line represents the positive electrode, and the black line represents the negative electrode.
3. Conclusions
In conclusion, PAN-PVDF-HFP-LiClO4-LLZTO solid electrolyte was prepared by the solution casting method, and its electrochemical properties were tested at different temperatures. The battery was charged and discharged 100 times at a 0.1 C rate at different temperatures (−20 °C, 30 °C, and 60 °C). The results showed that the performance of the battery decreased by 22.8%, 23.1%, and 24.1%, respectively, after 100 cycles of charge and discharge. The solid electrolyte before and after charge and discharge was characterized by XRD and TG, so as to explore the physical reason of interface degradation of the solid electrolyte. It can be concluded from various characterizations that, from a macroscopic point of view, the electrolyte impedance after performance degradation increases obviously, which is due to the chemical reaction at the interface of the solid electrolyte after performance degradation, resulting in the formation of high impedance products, which makes the interface impedance increase. From the microstructure, the solid electrolyte before charge and discharge has a regular shape, with compact and smooth grain arrangement. After charging and discharging, the structure of the solid electrolyte is relatively disordered, the intergranular voids increase, and the density decreases noticeably. From spectrum analysis, it can be seen that the characteristic diffraction peaks of the solid electrolyte before charge and discharge indicate high crystallinity, a complete lattice, a sharp diffraction peak, and high intensity. After charging and discharging, the diffraction peak intensity decreases noticeably, and the peak position is different.
4. Materials and Methods
4.1. Preparation of Gel Polymer Electrolytes
GPE is fabricated using the solution casting method, as depicted in Figure 13. PVDF-HFP (Mn = 600,000, Arkema, Colombes, France), PAN, and LLZTO were pre-dried in a vacuum oven for subsequent use. A magnetic stirrer was set to 45 °C and placed in a beaker. A certain amount of DMF (Macklin, Shanghai, China) was weighed, then placed in a beaker for later use. Then, the components PAN, PVDF-HFP, LLZTO (99%, Kocrystal, Shenzhen, China), and LiClO4 (Macklin, Shanghai, China) were weighed in a ratio of 3:7:1:3, added to the beaker containing DMF, and stirred for 6 h. Then, plasticizers including trimethylolpropane ethoxylate triacrylate (ETPTA, Mn = 428, Macklin, Shanghai, China), 2-hydroxy-methylpropanone (1173, Chembridge, Beijing, China), and urethane acrylate (430, RYOJI, Frankfurt, Germany) were incorporated into the mixture. After 5 min of stirring, the magnetic stirrer was turned off, and the mixture was left to stand at room temperature for 5 min. The solution was then poured into a mold for uniform distribution and dried in a furnace at 60 °C for 30 min to obtain the PAN-PVDF-HFP-LiClO4-LLZTO gel polymer electrolytes. Finally, the electrolyte was cut into 19 mm diameter disks and stored in a glove box with a H2O content < 0.01 ppm and O2 content < 0.01 ppm.
Figure 13.
Schematic diagram of preparation of gel polymer electrolyte.
In this system, PAN, PVDF-HFP, and LLZTO jointly form a “stable framework-high dielectric solvation environment—composite ion channel—interface stability” synergy mechanism, thereby improving the comprehensive performance of the gel electrolyte. Firstly, PAN mainly provides a solid gel framework, and its polar acrylonitrile group (–C≡N) can coordinate with Li+ and promote the dissociation of the lithium salt, increasing the effective carrier concentration; at the same time, the PAN network helps to lock and retain the liquid components, enhancing wettability and size/thermal stability, and reducing interface contact loss during the cycling process. Secondly, PVDF-HFP has a high dielectric constant and good chemical/electrochemical stability. The –CF2– group, which brings about strong polarity, is beneficial for the solvation and dissociation of the salt; at the same time, the HFP unit reduces the polymer crystallinity, increases the amorphous phase and free volume, enabling the gel to absorb liquid and form a continuous ion transport phase, thereby enhancing room-temperature ionic conductivity and broadening the working temperature window. Moreover, the good film-forming property and flexibility of PVDF-HFP help to improve the adhesion of the electrode/electrolyte interface, maintaining interface integrity under temperature fluctuations or cycling stress. Finally, LLZTO (perovskite-type lithium-ion conductor) as a ceramic filler significantly improves the mechanical stiffness and anti-penetration ability of the gel, and provides a local rapid Li+ migration region, forming a “polymer phase-ceramic phase” synergistic transport network; its introduction can also disturb the regular stacking of polymer chain segments, reduce effective crystallinity, and further promote ion migration. More importantly, the LLZTO/polymer interface can, to some extent, homogenize Li+ flux, reduce local concentration gradients and interface polarization, thereby enhancing cycling stability. In summary, the structural support of PAN, the solvation/suction and film-forming advantages of PVDF-HFP, and the mechanical enhancement and rapid transport contribution of LLZTO are mutually coupled, providing a material and structural basis for further analyzing the performance degradation path from the interface evolution and failure mechanism at different temperatures in this paper. The fabrication process of the gel solid-state electrolyte used in this paper is shown in Figure 13.
4.2. Characterization and Test Methods of Gel Polymer Electrolytes
The prepared gel polymer electrolyte membrane was analyzed by X-ray diffractometer (XRD, DX-2700, Manufacturer: Dandong Haoyuan Instrument Co., Dandong, China; Cu-Kα radiation). The surface structure of the gel polymer electrolyte membrane was characterized by scanning electron microscopy (SEM, phenompharos G2, Manufacturer: Shanghai FEI Ltd., Shanghai, China). Thermogravimetric analysis (TGA) was performed on the composite solid electrolyte in a nitrogen atmosphere using a thermogravimetric analysis system (TGA, NetzschF3Tarsus, Manufacturer: NETZSCH., Bayern, Germany) in the temperature range of 30 to 800 °C at a heating rate of 10 °C min−1. Raman spectra were collected by Raman microscopy (ATR8000, Aopu Tiancheng, Xiamen, China). Fourier transform infrared spectroscopy (FTIR, Spectrum 100, PerkinElmer, Waltham, MA, USA) was used to determine functional groups on the surface of gel polymer electrolytes, with a spectral range of 400~3500 cm−1.
4.3. Preparation of Electrodes
The mortar was removed from the oven and cleaned meticulously using lint-free paper soaked in alcohol. Once cleaned, it was set aside for further use. A composite mixture was prepared by combining 1.6 g of dried lithium iron phosphate powder, 0.2 g of conductive carbon black, and 0.2 g of polyvinylidene fluoride (PVDF). In a beaker, PVDF was dissolved in N-methylpyrrolidone (NMP) solvent and stirred using a magnetic stirrer for 90 min. Meanwhile, the lithium iron phosphate powder and conductive carbon black were meticulously mixed and ground in an agate grinder for 40 min. Subsequently, the resulting mixture was introduced into the beaker for further magnetic stirring. To prevent any volatilization of the components, the beaker was securely covered with plastic film. After 4 h of continuous stirring, a homogeneous and viscous slurry was achieved. This slurry was uniformly coated onto aluminum foil using a precision coating machine set to a specific thickness of 50 μm. The coated aluminum foil was then carefully dried in an oven for a duration ranging from 36 to 48 h to ensure complete evaporation of the solvent. The dried electrode sheets were meticulously pressed into 14 mm diameter electrodes utilizing a press under a pressure of 10 MPa. Finally, the electrodes were stored in a glove box environment with water (H2O) levels maintained below 0.01 ppm and oxygen (O2) levels below 0.01 ppm to prevent any unwanted reactions or contamination.
4.4. Electrochemical Performance Test
Ionic conductivity plays a pivotal role in determining the performance of solid electrolytes. To assess this, electrochemical impedance spectroscopy (EIS) experiments were carried out on symmetrical stainless steel cells under varying temperatures (−20 °C, 30 °C, and 60 °C). The EIS analysis was conducted over a frequency range from 106 Hz to 0.01 Hz with a modulation amplitude of 10 mV. The ionic conductivity of the solid electrolyte was calculated using Equation (1).
The symbol σ in this context represents the ionic conductivity of the electrolyte membrane, a crucial parameter indicating the ability of the material to conduct ions. The thickness of the electrolyte membrane, denoted by L in centimeters, plays a significant role in determining the overall performance of the membrane in various electrochemical processes. The resistance of the electrolyte membrane, represented by R in ohms, reflects the hindrance to the flow of ions through the membrane, influencing the efficiency of ion transport. Additionally, the area of contact between the electrolyte membrane and the stainless steel sheet, denoted by S in square centimeters, affects the interface properties and the overall performance of the electrochemical cell.
The movement of lithium ions within the constructed Li/Li symmetric batteries was measured by chronoamperometry (CA) at three distinct temperatures: −20 °C, 30 °C, and 60 °C, employing a DH7000 electrochemical workstation. The experimental procedure included the application of a polarization voltage of 0.01 V for a duration of 4000 s. The transfer number of lithium ions can be determined utilizing Formula (2).
where t+ represents the lithium-ion transference number; I0 and IS denote the initial current and the steady-state current value after 4000 s, respectively; R0 and Rs represent initial impedance and stable interface impedance after 4000 s of current; and the polarization voltage ΔV is 0.01 V.
The electrochemical window of the solid electrolyte was assessed through Linear Sweep Voltammetry (LSV) on the DH7000 electrochemical workstation. The LSV analysis was conducted with specific parameters: an initial potential of 2 V, a final potential of 6 V, and a scan speed of 0.005 V/s.
Supplementary Materials
The following supporting information can be downloaded at: https://www.mdpi.com/article/10.3390/gels12020121/s1, Table S1: Specific values of EIS impedance of GPE under different SOC conditions at −20 °C before charging and discharging, corresponding to Figure 10a. Table S2: Specific values of EIS impedance of GPE under different SOC conditions at −20 °C after charging and discharging, corresponding to Figure 10d. Table S3: Specific values of EIS impedance of GPE under different SOC conditions at 30 °C before charging and discharging, corresponding to Figure 10b. Table S4: Specific values of EIS impedance of GPE under different SOC conditions at 30 °C after charging and discharging, corresponding to Figure 10e. Table S5: Specific values of EIS impedance of GPE under different SOC conditions at 60 °C before charging and discharging, corresponding to Figure 10c. Table S6: Specific values of EIS impedance of GPE under different SOC conditions at 60 °C after charging and discharging, corresponding to Figure 10f. Table S7: The specific values of the interface impedance of GPE during charging and discharging for different numbers of cycles at −20 °C, as shown in Figure 11a. Table S8: The specific values of the interface impedance of GPE during charging and discharging for different numbers of cycles at 30 °C, as shown in Figure 11b. Table S9: The specific values of the interface impedance of GPE during charging and discharging for different numbers of cycles at 60 °C, as shown in Figure 11c.
Author Contributions
Conceptualization, R.T. and X.L.; methodology, Q.H. and L.L.; software, X.L.; validation, X.L., R.T. and Q.H.; formal analysis, R.T.; investigation, L.L.; resources, X.L.; data curation, R.T.; writing—original draft preparation, R.T.; writing—review and editing, X.L.; visualization, X.L. and L.L.; supervision, C.L. and Y.G.; project administration, L.L. and C.L.; funding acquisition, C.L. and Y.G. All authors have read and agreed to the published version of the manuscript.
Funding
This research was funded by the Reginal Collaboration R&D Program of Sichuan Province under Grant (No. 2024YFHZ0209), the Fund Project of the Guangxi Key R&D Programme Projects (No. AB24010346), the National Natural Science Foundation of China (No. 22462003, 22362005, 22262005), the Guangxi Key Laboratory of Automobile Components and Vehicle Technology (2023GKLACVTZZ02), the Guangxi Key Laboratory of Automobile Components and Vehicle Technology (No. 2022GKLACVTZZ04, 2023GKLACVTZZ10), the Innovation Project of Guangxi Graduate Education (YCSW2025576), and the Ph.D. Programs Foundation of Guangxi University of Science and Technology (Grant No. 23Z04).
Institutional Review Board Statement
Not applicable.
Informed Consent Statement
Not applicable.
Data Availability Statement
The data are contained within the article.
Acknowledgments
We are thankful to the following authors for their contributions, as well as for the purchase of materials and conducting the relevant experiments: RenJi Tan, Xinghua Liang, Qiankun Hun, Junming Li, Lingxiao Lan, and Yifeng Guo.
Conflicts of Interest
The authors declare no conflicts of interest.
References
- Gallus, D.R.; Wagner, R.; Streipert, B.; Kraft, V.; Weber, W.; Kloepsch, R.; Wiemersmeyer, S.; Cekiclaskovic, I.; Winter, M. New Insights into Structure-Property-Relationship of High-Voltage Electrolyte Components for Lithium-Ion Batteries Using a pka Value Approach. ECS Meet. Abstr. 2015, 184, 410–416. [Google Scholar] [CrossRef]
- Yim, C.H.; Karkar, Z.; Houache, M.S.E.; Kim, D.; Jang, B.; Abu-Lebdeh, Y. Enabling 5V Solid-State Lithium Metal Batteries Using Catholyte for LiNi0.5Mn1.5O4 Spinel. Meet. Abstr. 2024, MA2024-02, 920. [Google Scholar] [CrossRef]
- Mohammadi, A.; Fazeli, A. Future Market and Challenges of Lithium/Sulfur Batteries; Springer: Cham, Switzerland, 2024. [Google Scholar]
- Domínguez, M.; Fernández-Cardador, A.; Fernández-Rodríguez, A.; Cucala, A.P.; Pecharromán, R.R.; Sánchez, P.U.; Cortázar, I.V. Review on the use of energy storage systems in railway applications. Renew. Sustain. Energy Rev. 2025, 207, 114904. [Google Scholar] [CrossRef]
- Bridgelall, R. Solid-State Battery Developments: A Cross-Sectional Patent Analysis. Sustainability 2024, 16, 10994. [Google Scholar] [CrossRef]
- Meng, F.; Fang, Z.; Li, Z.; Xu, W.; Wang, M.; Liu, Y.; Zhang, J.; Wang, W.; Zhao, D.; Guo, X. Porous Co3O4 materials prepared by solid-state thermolysis of a novel Co-MOF crystal and their superior energy storage performances for supercapacitors. J. Mater. Chem. A 2013, 1, 7235–7241. [Google Scholar] [CrossRef]
- Blejan, D.; Muresan, L.M. Corrosion behavior of ZnNiAl2O3 nanocomposite coatings obtained by electrodeposition from alkaline electrolytes. Mater. Corros. 2014, 64, 433–438. [Google Scholar] [CrossRef]
- Liu, Y.; Wang, P.; Yang, Z.; Wang, L.; Li, Z.; Liu, C.; Liu, B.; Sun, Z.; Pei, H.; Lv, Z. Lignin Derived Ultrathin All-Solid Polymer Electrolytes with 3D Single-Ion Nanofiber Ionic Bridge Framework for High Performance Lithium Batteries. Adv. Mater. 2024, 36, e2400970. [Google Scholar] [CrossRef]
- Roh, K.; Park, J.; Appiah, P.; Song, S.W.; Oh, T. Rapid Experimental Optimization of Liquid Electrolytes Compositions for Safe Li-Ion Battery with Outstanding Long-Term Performance: Multi-Objective Constrained Bayesian Optimization Approach. Meet. Abstr. 2024, MA2024-02, 399. [Google Scholar] [CrossRef]
- Bandara, T.M.W.J.; Gunathilake, S.M.S.; Gamachchi, G.G.D.M.; Pemasiri, B.M.K.; Desilva, L.A.; Dissanayake, M.A.K.L.; Kumara, G.R.A. Strategic graphene integration in multilayer photoanodes for enhanced quasi-solid-state dye-sensitized solar cells and performance under variable irradiance. J. Appl. Electrochem. 2025, 55, 691–707. [Google Scholar] [CrossRef]
- Qiu, B.; Xiao, X.; Xu, G. 40 °C–60 °C useable transparent hydrogel electrolyte for flexible and tailorable electrochromic devices with excellent performance. Mater. Today Chem. 2023, 33, 101703. [Google Scholar] [CrossRef]
- Thirunavukarasu, G.; Kundu, S.; Mishra, B.; Chatterjee, S. Effect of Bonding Temperature on Interfacial Reaction and Mechanical Properties of Diffusion-Bonded Joint Between Ti-6Al-4V and 304 Stainless Steel Using Nickel as an Intermediate Material. Metall. Mater. Trans. A 2014, 45, 2067–2077. [Google Scholar] [CrossRef]
- Nandi, S.K.; Kundu, B.; Mahato, A.; Thakur, N.L.; Joardar, S.N.; Mandal, B.B. In vitro and in vivo evaluation of the marine sponge skeleton as a bone mimicking biomaterial. Integr. Biol. Quant. Biosci. Nano Macro 2015, 7, 250–262. [Google Scholar] [CrossRef] [PubMed]
- Kundu, D.; Katre, V.; Dhillon, K.; Deshpande, M.; Parmar, M. Innovative social protection mechanism for alleviating catastrophic expenses on multidrug-resistant tuberculosis patients in Chhattisgarh, India. WHO South-East Asia J. Public Health 2015, 4, 69–77. [Google Scholar] [CrossRef] [PubMed]
- Rana, A.K.; Kundu, S.; Datta, S. An investigation of prototype development using 3D printer: A digital fabrication approach. J. Phys. Conf. Ser. 2024, 2856, 012014. [Google Scholar] [CrossRef]
- Bag, S.; Choutipalli, V.S.K.; Bhadra, A.; Shuford, K.L.; Kundu, D.; Raj, C.R. Carbothermal reduction-induced oxygen vacancies in spinel cathodes for high-performance aqueous zinc-ion batteries. J. Mater. Chem. A Mater. Energy Sustain. 2024, 12, 22998–23007. [Google Scholar] [CrossRef]
- Bhadra, A.; Kundu, D. Stabilizing the High-Voltage Aqueous Battery Chemistry of LiMn2O4. Meet. Abstr. 2024, MA2024-01, 624. [Google Scholar] [CrossRef]
- Bhadra, A.; Brunisholz, M.; Bonsu, J.O.; Kundu, D. Carbon Mediated In Situ Cathode Interface Stabilization for High Rate and Highly Stable Operation of All-Solid-State Lithium Batteries. Adv. Energy Mater. 2025, 15, 2403608. [Google Scholar] [CrossRef]
- Bonsu, J.O.; Bhadra, A.; Kundu, D. Wet Chemistry Route to Li3InCl6: Microstructural Control Render High Ionic Conductivity and Enhanced All-Solid-State Battery Performance. Adv. Sci. 2024, 11, 2403208. [Google Scholar] [CrossRef]
- Bhadra, A.; Kundu, A.; Raj, C.R. Surface-engineered mesoporous carbon-based material for the electrochemical detection of hexavalent chromium. J. Chem. Sci. 2021, 133, 125. [Google Scholar] [CrossRef]
- Darkwah, W.; Appiagyei, A.B.; Puplampu, J.; Bonsu, J.O. Mechanistic Understanding of the Use of Single-Atom and Nanocluster Catalysts for Syngas Production via Partial Oxidation of Methane. Langmuir ACS J. Surf. Colloids 2023, 39, 8568–8588. [Google Scholar] [CrossRef]
- Appiagyei, A.B.; Anang, D.A.; Bonsu, J.O.; Asiedua-Ahenkorah, L.; Mane, S.D.; Kim, H.S.; Bathula, C. Sucrose-directed porous carbon interfaced α-Fe2O3-rGO for supercapacitors. J. Electroanal. Chem. 2023, 936, 117383. [Google Scholar] [CrossRef]
- Appiagyei, A.B.; Bonsu, J.O.; Han, J.I. Robust structural stability and performance -e nhanced asymmetric supercapacitors based on CuMoO4/ZnMoO4 nanoflowers prepared via a simple and low-energy precipitation route. J. Mater. Sci. Mater. Electron. 2021, 32, 6668–6681. [Google Scholar] [CrossRef]
- Bonsu, J.O.; Appiagyei, A.B.; Han, J.I. Induced symmetric 2D Mesoporous Graphitic Carbon Spinel Cobalt Ferrite (CoFe2O4/2D-C) with high porosity fabricated via a facile and swift sucrose templated microwave combustion route for an improved supercapacitive performance. Mater. Res. Bull. 2020, 133, 111053. [Google Scholar] [CrossRef]
- Jin, G.; Zhou, Z.; Liu, Y.; Gao, C.; Ma, H.; Yang, Z.; Jing, Y.; Tu, H. A novel coarse-grained discrete element method for simulating failure process of strongly bonded particle materials. Powder Technol. 2025, 464, 121212. [Google Scholar] [CrossRef]
- Shen, S.; Tang, G.; Li, H.; Zhang, L.; Zheng, J.; Luo, Y.; Yue, J.; Shi, Y.; Chen, Z. Low-temperature fabrication of NASICON-type LATP with superior ionic conductivity. Ceram. Int. 2022, 48, 36961–36967. [Google Scholar] [CrossRef]
- Xu, S.; Sun, Z.; Sun, C.; Li, F.; Chen, K.; Zhang, Z.; Hou, G.; Cheng, H.M.; Li, F. Homogeneous and fast ion conduction of PEO-based solid-state electrolyte at low temperature. Adv. Funct. Mater. 2020, 30, 2007172. [Google Scholar] [CrossRef]
- Tadanaga, K.; Takano, R.; Ichinose, T.; Mori, S.; Hayashi, A.; Tatsumisago, M. Low temperature synthesis of highly ion conductive Li7La3Zr2O12–Li3BO3 composites. Electrochem. Commun. 2013, 33, 51–54. [Google Scholar] [CrossRef]
- Yang, H.; Jing, M.; Wang, L.; Xu, H.; Yan, X.; He, X. PDOL-based solid electrolyte toward practical application: Opportunities and challenges. Nano-Micro Lett. 2024, 16, 127. [Google Scholar] [CrossRef]
- Gao, J.; Liu, Z.; Akbar, M.; Gao, C.; Dong, W.; Meng, Y.; Jin, X.; Xia, C.; Wang, B.; Zhu, B. Efficiently enhance the proton conductivity of YSZ-based electrolyte for low temperature solid oxide fuel cell. Ceram. Int. 2023, 49, 5637–5645. [Google Scholar] [CrossRef]
- Tron, A.; Nosenko, A.; Park, Y.D.; Mun, J. Enhanced ionic conductivity of the solid electrolyte for lithium-ion batteries. J. Solid State Chem. 2018, 258, 467–470. [Google Scholar] [CrossRef]
- Wu, C.; Ren, X.; Zhou, W.; Xie, G.; Zhang, G. Thermal stability and thermal conductivity of solid electrolytes. APL Mater. 2022, 10, 040902. [Google Scholar] [CrossRef]
- Zhao, G.; Suzuki, K.; Yonemura, M.; Hirayama, M.; Kanno, R. Enhancing fast lithium ion conduction in Li4GeO4–Li3PO4 solid electrolytes. ACS Appl. Energ. Mater. 2019, 2, 6608–6615. [Google Scholar] [CrossRef]
- Sinasamy, S. Investigation on the Performance of Tetraglyme-Based Solid Copolymer Electrolytes for Solid-State Electrical Double Layer Capacitors (Edlcs). Ph.D. Thesis, University of Malaya (Malaysia), Kuala Lumpur, Malaysia, 2021. [Google Scholar]
- Iwata-Yoshikawa, N.; Okamura, T.; Shimizu, Y.; Hasegawa, H.; Takeda, M.; Nagata, N. TMPRSS2 Contributes to Virus Spread and Immunopathology in the Airways of Murine Models after Coronavirus Infection. J. Virol. 2019, 93, 10–1128. [Google Scholar] [CrossRef] [PubMed]
- Pakizeh, E.; Moradi, M.; Ahmadi, A. Effect of sol–gel pH on XRD peak broadening, lattice strain, ferroelectric domain orientation, and optical bandgap of nanocrystalline Pb1. 1 (Zr0.52Ti0.48)O3. J. Phys. Chem. Solids 2014, 75, 174–181. [Google Scholar] [CrossRef]
- Aversa, T.; Lombardo, F.; Corrias, A.; Salerno, M.; De Luca, F.; Wasniewska, M. In young patients with Turner or Down syndrome, Graves’ disease presentation is often preceded by Hashimoto’s thyroiditis. Thyroid Off. J. Am. Thyroid Assoc. 2014, 24, 744–747. [Google Scholar] [CrossRef] [PubMed]
- Hincapie, D.; Tedrow, U.B.; Miranda-Arboleda, A.F.; Koplan, B.A.; Gordon, J.S.; Sutter, J.S.; Londono, G.A.; Shadrin, I.; Ezzeddine, F.; Cha, Y.M. Cardiac resynchronization therapy with left bundle branch area pacing in patients with a definitive diagnosis of cardiac sarcoidosis. Europace 2025, 27, euaf085-612. [Google Scholar] [CrossRef]
- Wang, Z.; Dai, Z.; Gao, Y.; Zhao, Z.; Li, Z.; Wang, L.; Gao, X.; Qiu, Q.; Qiu, X.; Liu, Z. Development of a machine learning-based predictive risk model combining fatty acid metabolism and ferroptosis for immunotherapy response and prognosis in prostate cancer. Discov. Oncol. 2025, 16, 744. [Google Scholar] [CrossRef]
- Lv, Z.; Yan, Y.; Yuan, C.; Huang, B.; Yang, C.; Ma, J.; Wang, J.; Huo, L.; Cui, Z.; Wang, X. Making Fe-Si-B amorphous powders as an effective catalyst for dye degradation by high-energy ultrasonic vibration. Mater. Des. 2020, 194, 108876. [Google Scholar] [CrossRef]
- Jang, Y.H.; Yang, S.S.; Park, M.H.; Han, S.; Kim, H. Design of an Improved Algorithm for VR-Based Image Processing. In Advances in Computer Science and Ubiquitous Computing; Springer: Singapore, 2020. [Google Scholar]
- Luo, Z.; Tang, Z.; Jiang, L.; Ma, G. A referenceless image degradation perception method based on the underwater imaging model. Appl. Intell. 2022, 52, 6522–6538. [Google Scholar] [CrossRef]
- Schneider, N.; Bontemps, S.; Motte, F.; Ossenkopf, V.; Federrath, C. Understanding star formation in molecular clouds III. Probability distribution functions of molecular lines in Cygnus X. Astron. Astrophys. 2015, 587, A74. [Google Scholar] [CrossRef]
- Keruckiene, R.; Vaitusionak, A.A.; Hulnik, M.I.; Berezianko, I.A.; Gudeika, D.; Macionis, S.; Mahmoudi, M.; Volyniuk, D.; Valverde, D.; Olivier, Y. Is a small singlet–triplet energy gap a guarantee of TADF performance in MR-TADF compounds? Impact of the triplet manifold energy splitting. J. Mater. Chem. C Mater. Opt. Electron. Devices 2024, 12, 3450–3464. [Google Scholar] [CrossRef]
- Paul, S.; Das, S.; Sepay, N.; Basak, N.; Sen, B.; Islam, E.; Smaalen, S.V.; Ali, S.I. Order–Disorder Structure in Ni3Sb4CO6F6: Synthesis, Characterization, and Its Applications toward Photocatalytic Dye Degradation and Antibacterial Activities. Cryst. Growth Des. 2024, 24, 9110–9125. [Google Scholar] [CrossRef]
- Bakhtiar, S.U.H.; Ai, P.; Sattar, H.; Ali, S.; Al-Fatesh, A.S.; Zhao, J.; Wen, D.; Fu, Q. Harnessing point-defect induced local symmetry breaking in a tetragonal-HfO2 system through sterically mismatched ion doping. J. Mater. Chem. C 2024, 12, 2933–2943. [Google Scholar] [CrossRef]
- Shenderovich, I.G.; Denisov, G.S. Modeling of the Response of Hydrogen Bond Properties on an External Electric Field: Geometry, NMR Chemical Shift, Spin-Spin Scalar Coupling. Molecules 2021, 26, 4967. [Google Scholar] [CrossRef]
- Derez, T.; Pennock, G.; Drury, M.; Sintubin, M. Deciphering the relationship between different types of low-temperature intracrystalline deformation microstructures in naturally deformed quartz. Programme Abstr. 2013, 39. [Google Scholar]
- Natalia, K.; Paolo, T.; Issei, O.; Julien, H.; Bong-Kyu, B.; Houhun, L.; Sylvie, A.; Alain, R.; Carlos, L.V.; Tzen-Yuh, C. From east to west across the Palearctic: Phylogeography of the invasive lime leaf miner Phyllonorycter issikii (Lepidoptera: Gracillariidae) and discovery of a putative new cryptic species in East Asia. PLoS ONE 2017, 12, e171104. [Google Scholar]
- Looney, C.E.; Stewart, J.A.E.; Wood, K.E.A. Mixed-provenance plantings and climatic transfer-distance affect the early growth of knobcone-monterey hybrid pine, a fire-resilient alternative for reforestation. New For. 2024, 55, 543–565. [Google Scholar] [CrossRef]
- Mulinazzi, T.E.; Fitzsimmons, E.J.; Schrock, S.D.; Roth, R. Economic Impact of Closing Low-Volume Rural Bridges. Econ. Impacts 2013, 2433, 116–120. [Google Scholar]
Disclaimer/Publisher’s Note: The statements, opinions and data contained in all publications are solely those of the individual author(s) and contributor(s) and not of MDPI and/or the editor(s). MDPI and/or the editor(s) disclaim responsibility for any injury to people or property resulting from any ideas, methods, instructions or products referred to in the content. |
© 2026 by the authors. Licensee MDPI, Basel, Switzerland. This article is an open access article distributed under the terms and conditions of the Creative Commons Attribution (CC BY) license.












