Highly Porous Polyimide Gel for Use as a Battery Separator with Room-Temperature Ionic Liquid Electrolytes
Abstract
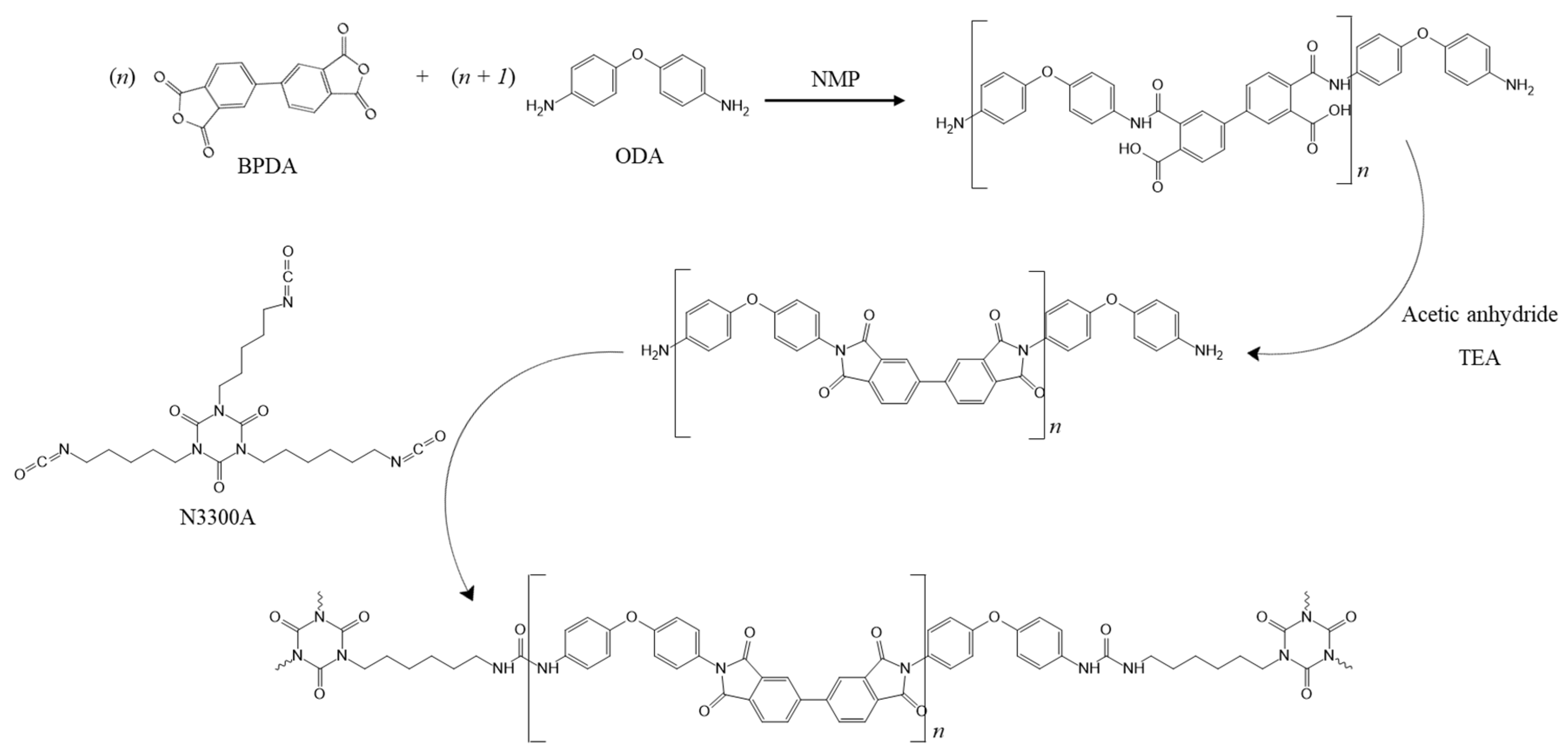
1. Introduction
2. Results and Discussion
| Run # | RTIL Type | n | Ionic Conductivity of RTIL/Li Salt Solvated PI Gel (mS/cm) | Loss in Ionic Conductivity (%) | Film Thickness of RTIL Solvated PI Gel (cm) |
|---|---|---|---|---|---|
| 1 a | A | 30 | 4.19 | (−) 42.4 | 0.0774 |
| 2 a | B | 30 | 1.49 | (−) 66.2 | 0.0738 |
| 3 a | C | 30 | 2.37 | (−) 50.7 | 0.0702 |
| 4 a | D | 30 | 3.91 | (+) 41.7 | 0.0834 |
| 5 a | E | 30 | 5.57 | (−) 16.0 | 0.0742 |
| 6 b | E | 60 | 3.23 | (−) 51.3 | 0.0158 |
| 7 b* | E | 60 | 2.84 | (−) 57.2 | 0.0158 |
| 8 c | E | 60 | 2.54 | (−) 61.7 | 0.0087 |
| 9 c | E | 60 | 1.69 | (−) 74.5 | 0.0036 |
| 10 c | F | 60 | 3.76 | (−) 73.3 | 0.0076 |
3. Conclusions
4. Materials and Methods
4.1. Materials
4.2. Preparation of Polyimide Gels
4.3. Properties of Polyimide Aerogel Films
4.4. Preparation of Electrolyte Solvated Polyimide Gels
4.5. Tensile Test of the PI Gel Film Separator Imbibed with EMIM-TFSI/Li Salt
4.6. Preparation of Electrodes and Fabrication of Lab Cells
4.7. Ionic Conductivity Measurement
Supplementary Materials
Author Contributions
Funding
Institutional Review Board Statement
Informed Consent Statement
Data Availability Statement
Acknowledgments
Conflicts of Interest
References
- Zhang, S.S. A Review on the Separators of Liquid Electrolyte Li-ion Batteries. J. Power Sources 2007, 164, 351–364. [Google Scholar] [CrossRef]
- Lee, H.; Yanilmaz, M.; Toprakci, O.; Fu, K.; Zhang, X. A Review of Recent Developments in Membrane Separators for Rechargeable Lithium-Ion Batteries. Energy Environ. Sci. 2014, 7, 3857–3886. [Google Scholar] [CrossRef]
- Choudhury, S.; Azizi, M.; Raguzin, I.; Göbel, M.; Michel, S.; Simon, F.; Willomitzer, A.; Mechtcherine, V.; Stamm, M.; Ionov, L. Effect of fibrous separators on the performance of lithium–sulfur batteries. Phys. Chem. Chem. Phys. 2017, 19, 11239–11248. [Google Scholar] [CrossRef]
- Cannarella, J.; Liu, X.; Leng, C.Z.; Shiko, P.D.; Gor, Y.; Arnold, C.B. Mechanical Properties of a Battery Separator under Compression and Tension. J. Electrochem. Soc. 2014, 161, F3117–F3122. [Google Scholar] [CrossRef]
- Scrosatti, B. Recent Advances in Lithium Ion Battery Materials. Electrochim. Acta 2000, 45, 2461–2466. [Google Scholar] [CrossRef]
- Liu, K.; Liu, Y.; Lin, D.; Pei, A.; Cui, Y. Materials for lithium-ion battery safety. Sci. Adv. 2018, 4, eaas9820. [Google Scholar] [CrossRef] [PubMed]
- Francis, C.F.; Kyratzis, I.L.; Best, A.S. Lithium-ion Battery Separators for Ionic-liquid Electrolytes: A Review. Adv. Mater. 2020, 32, 1904205. [Google Scholar] [CrossRef]
- Chen, W.; Wang, X.; Liang, J.; Chen, Y.; Ma, W.; Zhang, S. A High Performance Polyacrylonitrile Composite Separator with Cellulose Acetate and Nano-Hydroxyapatite for Lithium-Ion Batteries. Membranes 2022, 12, 124. [Google Scholar] [CrossRef]
- Kang, S.H.; Jang, J.-K.; Jeong, H.Y.; So, S.; Hong, S.-K.; Hong, Y.T.; Yoon, S.J.; Yu, D.M. Polyacrylonitrie/Phosphazene Composite-Based Heat-Resitant and Flame-Retardant Separators for Safe Lithium-Ion Batteries. ACS Appl. Energy Mater. 2022, 5, 2452–2461. [Google Scholar] [CrossRef]
- Arifeen, W.U.; Kim, M.; Ting, D.; Kurniawan, R.; Choi, J.; Yoo, K.; Ko, T.H. Hybrid thermal resistant electrospun polymer membrane as the separator of lithium ion batteries. Mater. Chem. Phys. 2020, 245, 122780. [Google Scholar] [CrossRef]
- Liu, R.; Yuan, B.; Zhong, S.; Liu, J.; Dong, L.; Ji, Y.; Dong, Y.; Yang, C.; He, W. Poly(vinylidene fluoride) separators for next-generation lithium based batteries. Nano Sel. 2021, 2, 2308–2345. [Google Scholar] [CrossRef]
- Dallaev, R.; Pisarenko, T.; Sobola, D.; Orudzhev, F.; Ramazanov, S.; Trčka, R. Brief Review of PVDF Properties and Applications Potential. Polymers 2022, 14, 4793. [Google Scholar] [CrossRef]
- Mahant, Y.P.; Kondawar, S.B.; Nandawar, D.V.; Kohnkar, P. Poly(methyl methacrylate) reinforced poly(vinylidene Flourinde) composites electrospun nanofibrous polymer electrolyes as potential separator for lithium ion batteries. Mater. Renew. Sustain. Energy 2018, 7, 5. [Google Scholar] [CrossRef]
- Zhang, H.; Zhang, Y.; Xu, T.; John, A.E.; Li, Y.; Li, W.; Zhu, B. Poly(m-phenylene isophthalamide) separator for improving the heat resistance and power density of lithium-ion batteries. J. Power Sources 2016, 329, 8–16. [Google Scholar] [CrossRef]
- Lin, G.; Bai, Z.; Liu, C.; Liu, S.; Han, M.; Huang, Y.; Liu, X. Mechanically robust, noflammable and surface crss-linking composite membranes with high wettability for dendrite-proof and high-safely lithium-ion batteries. J. Membr. Sci. 2022, 647, 120262. [Google Scholar] [CrossRef]
- Porporato, S.; Darjazi, H.; Gastaldi, M.; Piovano, A.; Perez, A.; Yécora, B.; Fina, A.; Meligrana, G.; Eia, G.A.; Gerbaldi, C. On the Use of Recycled PVB to Develop Sustainable Separators for Greener Li-Ion Batteries. Adv. Sustain. Syst. 2025, 9, 2400569. [Google Scholar] [CrossRef]
- Branco, L.C.; Rosa, J.N.; Ramos, J.J.M.; Afonso, C.A.M. Prepration and Characterization of New Room Temperature Ionic Liquids. Chem. Eur. J. 2002, 8, 3671–3677. [Google Scholar] [CrossRef] [PubMed]
- Hapiot, P.; Lagrost, C. Electrochemical Reactivity in Room-Temperature Ionic Liquids. Chem. Rev. 2008, 108, 2238–2264. [Google Scholar] [CrossRef]
- Murugesan, S.; Linhardt, R.J. Ionic Liquids in Carbohydrate Chemistry—Current Trends and Future Direction. Curr. Org. Synth. 2005, 2, 437–451. [Google Scholar] [CrossRef]
- Tang, X.; Lv, S.; Jiang, K.; Zhou, G.; Liu, X. Recent development of ionic liquid-based electrolytes in lithium-ion batteries. J. Power Sources 2022, 542, 231792. [Google Scholar] [CrossRef]
- Ngo, H.L.; LeCompte, K.; Hargens, L.; McEwen, A.B. Thermal Properties of Imidazolium Ionic Liquids. Thermochim. Acta 2000, 357–358, 97–102. [Google Scholar] [CrossRef]
- Xu, C.; Cheng, Z. Thermal Stability of Ionic Liquids: Current Status and Prospects for Future Development. Processes 2021, 9, 337. [Google Scholar] [CrossRef]
- Huie, M.M.; DiLeo, R.A.; Marschilok, A.C.; Takeuchi, K.J.; Takeuchi, E.S. Ionic Liquids Hybrid Electrolytes for Lithium-Ion Batteries: A Key Role of the Separator-Electrolyte Interface in Battery Electrochemistry. ACS Appl. Mater. Interfaces 2015, 7, 11724–11731. [Google Scholar] [CrossRef]
- Kirchhöfer, M.; von Zamory, J.; Paillard, E.; Passerini, S. Separators for Li-Ion and Li-Metal Battery Including Ionic Liquid Based Electrolytes Based on TFSI− and FSI− Anions. Int. J. Mol. Sci. 2014, 15, 14868–14890. [Google Scholar] [CrossRef]
- Evans, T.; Lee, J.-H.; Bhat, V.; Lee, S.-H. Electrospun Polyacrylonitrile Microfiber Separators for Ionic Liquid Electrolytes in Li-Ion Batteries. J. Power Sources 2015, 292, 1–6. [Google Scholar] [CrossRef]
- Sun, Y.; Wang, J.; Prausnitz, J. Interfacial properties between ionic-liquid-based electrolytes and lithium-ion-battery separator. AIChE J. 2021, 67, e1708. [Google Scholar] [CrossRef]
- Caimi, S.; Klaue, A.; Wu, H.; Morbidelli, M. Effect of SiO2 Nanoparticles on the Performance of PVdF/-HFP/Ionic Liquid Separator for Lithium-Ion Batteries. Nanomaterials 2018, 8, 926. [Google Scholar] [CrossRef]
- Eftekhamia, M.; Hasanpoor, M.; Forsyth, M.; Kerr, R.; Howlett, P. Toward Practical Li Metal Batteries: Importance of Separator Compatibility Using Ionic Liquid Electrolytes. ACS Appl. Energy Mater. 2019, 2, 6655–6663. [Google Scholar] [CrossRef]
- Cheruvally, G.; Kim, J.-K.; Choi, J.-W.; Ahn, J.-H.; Shin, Y.-J.; Manuel, J.; Raghavan, P.; Kim, K.-W.; Ahn, H.-J.; Choi, D.S.; et al. Electrospun Polymer Membrane Activated with Room Temperature Ionic Liquid: Novel Polymer Electrolytes for Lithium Batteries. J. Power Sources 2007, 172, 863–869. [Google Scholar] [CrossRef]
- Nguyen, B.N.; Meador, M.A.B.; Scheiman, D.; McCorkle, L. Polyimide Aerogels Using Triisocyanate as Cross-linker. ACS Appl. Mater. Interfaces 2017, 9, 27313–27321. [Google Scholar] [CrossRef]
- Nguyen, B.N.; Scheiman, D.; Meador, M.A.B.; Guo, J.; Hamilton, B.; McCorkle, A. Effect of Urea Links in the Backbone of Polyimide Aerogels. Appl. Polym. Mater. 2021, 3, 2027–2037. [Google Scholar] [CrossRef]
- Zheng, S.; Jiang, L.; Chang, F.; Zhang, C.; Ma, N.; Liu, X. Mechanically Strong and Thermally Stable Chemical Cross-Linked Polyimide Aerogels for Thermal Insulator. ACS Appl. Mater. Interfaces 2022, 14, 50129–50141. [Google Scholar] [CrossRef] [PubMed]
- Deng, Y.; Pan, Y.; Zhang, Z.; Fu, Y.; Gong, L.; Liu, C.; Yang, J.; Zhang, H.; Cheng, X. Novel Thermotolerant and Flexible Polyimide Aerogel Separator Achieving Advanced Lithium-Ion Batteries. Adv. Funct. Mater. 2022, 32, 2106176. [Google Scholar] [CrossRef]
- Wei, H.; Hu, X.; Deng, Y.; Wei, X.; Yang, Z.; Han, G. Distributed activation energy treatment of polyimide aerogel and its blocking effect on thermal runaway propagation of ternary battery. J. Energy Storage 2024, 90, 111744. [Google Scholar] [CrossRef]
- Wang, Y.; Zhou, K.; Cui, L.; Mei, J.; Li, S.; Li, L.; Fan, W.; Zhang, L.; Liu, T. Ion transport regulation of polyimide separator for safe and durable Li-metal battery. J. Power Sources 2024, 591, 233853. [Google Scholar] [CrossRef]
- Shi, J.; Hu, H.; Xia, Y.; Liu, Y.; Liu, Z. Polyimide matrix-enhanced cross-linked gel separator with three-dimensional heat-resistance skeleton for high-safety and high-power lithium ion batteries. J. Mater. Chem. A 2014, 2, 9134–9141. [Google Scholar] [CrossRef]
- Rinehart, S.J.; Nguyen, B.N.; Viggiano, R.P.; Meador, M.A.B.; Dadmum, M.D. Unexpexted Hierarchical Porosity in Polyimide Aerogels and Corresponding Solvated Gels. ACS Appl. Mater. Interfaces 2020, 12, 30457–30465. [Google Scholar] [CrossRef]
- Czlonka, S.; Bertino, M.F.; Kośny, J.; Shukla, N. Density and shrinkage as guiding criteria for the optimization of the thermal conductivity of poly(urethane)-glass aerogels. J. Sol-Gel Sci. Technol. 2020, 93, 149–167. [Google Scholar] [CrossRef]
- Data Obtained from Covestro Safety Data Sheet. Available online: https://solutions.covestro.com/en/products/desmodur/desmodur-n-3300a_000000000005743249#technicalpropertiesdatasheets (accessed on 29 October 2025).







| Type | Chemical Structure | Ionic Conductivity, mS/cm | Viscosity, cP (°C) | Density, g/cm3 | Decomposition Temperature (°C) |
|---|---|---|---|---|---|
| A | ![]() | 7.27 (20 °C) 8.24 (30 °C) | 27.9 (25 °C) | 1.45 | >200 |
| B | ![]() | 4.40 (20 °C) | 56.0 (19 °C) | 1.43 | N/A |
| C | ![]() | 4.81 (30 °C) | 46.9 (25 °C) | N/A | N/A |
| D | ![]() | 2.76 (25 °C) 8.87 (30 °C) | 35.0 (25 °C) | 1.49 | N/A |
| E | ![]() | 6.63 (20 °C) | 39.4 (20 °C) | 1.52 | 250 |
| F | ![]() | 14.1 (25 °C) | 33.8 (25 °C) | 1.28 | N/A |
Disclaimer/Publisher’s Note: The statements, opinions and data contained in all publications are solely those of the individual author(s) and contributor(s) and not of MDPI and/or the editor(s). MDPI and/or the editor(s) disclaim responsibility for any injury to people or property resulting from any ideas, methods, instructions or products referred to in the content. |
© 2026 by the authors. Licensee MDPI, Basel, Switzerland. This article is an open access article distributed under the terms and conditions of the Creative Commons Attribution (CC BY) license.
Share and Cite
Viggiano, R.P.; Wu, J.; Scheiman, D.A.; DeMattia, B.; Loyselle, P.; Nguyen, B.N. Highly Porous Polyimide Gel for Use as a Battery Separator with Room-Temperature Ionic Liquid Electrolytes. Gels 2026, 12, 108. https://doi.org/10.3390/gels12020108
Viggiano RP, Wu J, Scheiman DA, DeMattia B, Loyselle P, Nguyen BN. Highly Porous Polyimide Gel for Use as a Battery Separator with Room-Temperature Ionic Liquid Electrolytes. Gels. 2026; 12(2):108. https://doi.org/10.3390/gels12020108
Chicago/Turabian StyleViggiano, Rocco P., James Wu, Daniel A. Scheiman, Brianne DeMattia, Patricia Loyselle, and Baochau N. Nguyen. 2026. "Highly Porous Polyimide Gel for Use as a Battery Separator with Room-Temperature Ionic Liquid Electrolytes" Gels 12, no. 2: 108. https://doi.org/10.3390/gels12020108
APA StyleViggiano, R. P., Wu, J., Scheiman, D. A., DeMattia, B., Loyselle, P., & Nguyen, B. N. (2026). Highly Porous Polyimide Gel for Use as a Battery Separator with Room-Temperature Ionic Liquid Electrolytes. Gels, 12(2), 108. https://doi.org/10.3390/gels12020108







