Abstract
Gummy stem blight caused by Stagonosporopsis cucurbitacearum is the most destructive disease of muskmelon cultivation. This study aimed to induce disease resistance against gummy stem blight in muskmelon by Trichoderma asperelloides PSU-P1. This study was arranged into two crops. Spore suspension at a concentration of 1 × 106 spores/mL of T. asperelloides PSU-P1 was applied to muskmelon to investigate gene expression. The expression of PR genes including chitinase (chi) and β-1,3-glucanase (glu) were determined by reverse transcription quantitative polymerase chain reaction (RT-qPCR), and enzyme activity was assayed by the DNS method. The effects of T. asperelloides PSU-P1 on growth, yield, and postharvest quality of muskmelon fruit were measured. A spore suspension at a concentration of 1 × 106 spore/mL of T. asperelloides PSU-P1 and S. cucurbitacearum was applied to muskmelons to determine the reduction in disease severity. The results showed that the expression of chi and glu genes in T. asperelloides PSU-P1-treated muskmelon plants was 7–10-fold higher than that of the control. The enzyme activities of chitinase and β-1,3-glucanase were 0.15–0.284 and 0.343–0.681 U/mL, respectively, which were higher than those of the control (pathogen alone). Scanning electron microscopy revealed crude metabolites extracted from T. asperelloides PSU-P1-treated muskmelon plants caused wilting and lysis of S. cucurbitacearum hyphae, confirming the activity of cell-wall-degrading enzymes (CWDEs). Application of T. asperelloides PSU-P1 increased fruit weight and fruit width; sweetness and fruit texture were not significantly different among treated muskmelons. Application of T. asperelloides PSU-P1 reduced the disease severity scale of gummy stem blight to 1.10 in both crops, which was significantly lower than that of the control (2.90 and 3.40, respectively). These results revealed that application of T. asperelloides PSU-P1 reduced disease severity against gummy stem blight by overexpressed PR genes and elevated enzyme activity in muskmelon plants.
1. Introduction
Gummy stem blight is a devastating disease of muskmelon cultivation. The disease is caused by the fungal pathogen Stagonosporopsis cucurbitacearum [1,2]. Interactions between the plant and fungi trigger a defense response in the plant, which is associated with disease resistance [3]. Plants have developed an elaborate defense response to combat such stresses [4,5]. Plants are also capable of producing pathogenesis-related (PR) protein to defend themselves from infecting fungi [6,7]. The PR proteins, PR2 (β-1,3-glucanase) and PR3 (chitinase), produced by plants are considered the main key enzymes responsible for degrading fungal cell walls, resulting in resistance against plant diseases [8,9]. β-1,3-Glucanase and chitinase hydrolyze the fungal cell wall components β-glucan and chitin, respectively, into small molecules [10,11]. Plants that contain high activity of β-1,3-glucanase and chitinase are able to resist plant diseases [12].
Trichoderma species are often collected and isolated from the soil rhizosphere and soil habitat [13]. Trichoderma species are known as good biological control agents (BCAs) to control fungal diseases with multifaceted mechanisms [14]. They are strong antagonists due to their capacity to compete for nutrients and space [15], produce antifungal metabolites [13,16], induce the defense response [17], and increase plant growth [18]. Some studies have shown that Trichoderma species can produce cell-wall-degrading enzymes (CWDEs) and release them into cell-free culture filtrate, which restricts fungal growth [19]. Furthermore, Trichoderma asperellum T1 can induce the defense response by elevating β-1,3-glucanase and chitinase enzyme activity against leaf spot in lettuce [5]. Therefore, the ability to produce CWDEs by antagonistic microorganisms and the ability to induce plants to produce those enzymes using a BCA may be of high interest for managing plant disease.
Our previous research found that T. asperelloides PSU-P1 acts as a biological control agent (BCA) with strong antifungal ability against S. cucurbitacearum, the pathogen of gummy stem blight, and can reduce disease severity at the seedling stage [20]. However, the plant response to the BCA with long-term use throughout the plant’s lifespan has not been clarified. Altogether, the ability of BCA to induce disease resistance in muskmelon in mature plants, to the harvesting stage, against gummy stem blight disease has also not been determined. Therefore, this research aimed to investigate the effect of T. asperelloides PSU-P1 on the expression of pathogenesis-related (PR) protein genes, the activity of cell-wall-degrading enzymes, and the postharvest quality of muskmelon.
2. Materials and Methods
2.1. Sources of Trichoderma and Pathogens
Trichoderma asperelloides PSU-P1 was screened for antifungal ability against S. cucurbitacearum in a previous study [20] and was used as a BCA for biotic stress in this study. Both T. asperelloides PSU-P1 and the fungal pathogen S. cucurbitacearum were obtained from the Culture Collection of Pest Management Division, Faculty of Natural Resources, Prince of Songkla University, Thailand. T. asperelloides PSU-P1 and S. cucurbitacearum were cultured on potato dextrose agar (PDA) and incubated at an ambient temperature of 28 ± 2 °C for 5 days before use in this study.
2.2. Plant Inoculation
Field trials were conducted to test the effect of Trichoderma on the induction of PR genes and CWDE activity. The experiment was set up in two crops: the first crop was cultivated from June to July 2020 and the second crop was cultivated from August to September 2020. Muskmelon plants were cultivated in a polyhouse with 28 ± 2 °C and 12/12 h light/dark cycle. A total of 20 muskmelon plants were grown in sterile soil for 14 days and then subjected to inoculation with T. asperelloides PSU-P1. A spore suspension of T. asperelloides PSU-P1 was prepared with distilled water (DW) and the concentration was adjusted to 1 × 106 spore/mL. The experiment was conducted by complete randomized design (CRD) with 10 replications (10 plants). The experiment included two treatments: DW, and drenching with T. asperelloides PSU-P1 alone. A total of 50 mL of T. asperelloides PSU-P1 spore suspension was applied to each muskmelon plant once a week, and young leaves of muskmelon plants were collected at 7, 14, 21, 28, 35, 42, and 49 days post-inoculation. T. asperelloides PSU-P1-treated muskmelon plants and those in the control group were subjected to RNA extraction and protein extraction for further study.
2.3. RNA Extraction and Quantitative RT-PCR
Young muskmelon leaves were harvested and subjected to RNA extraction by TriZol reagent (ThermoFisher, Waltham, MA, USA) according to the manufacturer’s instructions. A total of 0.1 g of young muskmelon leaves were ground by small mortar and pestle and added to TriZol reagent. After centrifugation (14,000× g), supernatants were collected and precipitated with absolute ethanol. Total extracted RNA was air-dried and dissolved in RNase-free DW. The concentration of RNA was measured and approximately 1 ng of total RNA was subjected to reverse transcription to single-strand cDNA followed by reverse transcription quantitative PCR (RT-qPCR) as previously described by Dumhai et al. [21]. The reaction mixture was analyzed using iScript One-Step RT-PCR reagent with SYBR Green (Bio-Rad, Hercules, CA, USA) and 1 ng of RNA templates. Primer pairs used for the amplification of chitinase (chi), β-1,3-glucanase (glu), and actin (act) genes are shown in Table 1. The actin gene was used as an internal reference gene to normalize the variation in input total cDNA templates between the control and Trichoderma-treated samples. Relative gene expression was subjected to analysis of fold change in expression relative to actin as a control by Bio-Rad CFX Manager analysis software (Bio-Rad, Hercules, CA, USA).
Table 1.
Specific primer pairs for the gene expression determinations with reverse transcription quantitative polymerase chain reaction (RT-qPCR).
2.4. Protein Extraction and Enzyme Assays
Muskmelon leaf samples (10 g) were ground using a small mortar and pestle in 25 mL of phosphate buffer at pH 7.0 for chitinase and β-1,3-glucanase assay. The homogenates were centrifuged at 14,000× g for 10 min at 4 °C, and supernatants were selected and subjected to enzyme assay immediately. The activity of chitinase and β-1,3-glucanase was determined by the 3,5-dinitrosalicylic acid (DNS) method [22]. For chitinase activity, the reaction mixture contained 250 µL of 1% (w/v) colloidal chitin in 50 mM KPB at pH 7.0 and 250 µL of crude enzyme. For β-1,3-glucanase activity, the reaction mixture contained 250 µL of 1% (w/v) laminarin in 50 mM acetate buffer at pH 5.5 and 250 µL of crude enzyme. The reaction mixtures were incubated at 50 °C for 30 min. The increase in reducing sugar products was measured using a UV–vis spectrophotometer (UV5300, METASH, Shanghai, China) at 575 nm and 550 nm for chitinase and β-1,3-glucanase, respectively. Enzyme activity was converted to units per milliliter (U/mL).
2.5. Scanning Electron Microscopy
If the crude metabolites extracted from T. asperelloides PSU-P1 contained CWDEs, incubating fungal mycelia with the crude metabolites could cause changes in hyphal morphology. To observe the morphology change of S. cucurbitacearum, scanning electron microscopy was conducted. Crude metabolites were prepared as described in Section 2.4. Agar plugs of S. cucurbitacearum cut from 7-day-old colonies were incubated with the crude metabolites of T. asperelloides PSU-P1-treated muskmelon plants at 37 °C for 1 h, whereas agar plugs of T. asperelloides PSU-P1 incubated in crude metabolites of uninoculated muskmelon served as control. Agar plugs were then fixed in 3% glutaraldehyde at 4 °C for 24 h. Agar plugs were dehydrated in an alcohol series of 30, 50, 60, 70, 80, 90, and 100%. The samples were dried with a critical point dryer (CPD) and sputter-coated with gold. The samples were observed by JSM-580 LV SEM (JEOL, Peabody, MA, USA) at the Scientific Equipment Center, Prince of Songkla University.
2.6. Effect of T. asperelloides PSU-P1 on Plant Growth and Postharvest Quality
The growth of muskmelon plants, yield, and quality of fruit were assessed on harvesting day. Stem diameter, shoot length, stem fresh weight of muskmelon plants, fruit weight, and fruit width, were measured. For postharvest quality, sweetness and fruit firmness were analyzed. Fruit firmness (stiffness) was measured by a System TA.XTplus Texture Analyzer (Stable Micro Systems, Godalming, UK) and expressed as bar. The total soluble solids of muskmelons were analyzed using a hand refractometer (N1; Atago Co., Ltd., Tokyo, Japan) and expressed in degrees Brix (°Brix) in muskmelon fruits.
2.7. Plant Inoculation and Disease Assessment
To test the effect of Trichoderma on the reduction of gummy stem blight disease, field trials were conducted. The experiment was set up in two crops as described in Section 2.2. A total of 40 muskmelon plants were grown in sterile soil for 14 days and then subjected to inoculation with T. asperelloides PSU-P1 or S. cucurbitacearum. Spore suspension of T. asperelloides PSU-P1and S. cucurbitacearum was prepared with DW and adjusted to a concentration of 1 × 106 spore/mL. The experiment was conducted by CRD with 10 replications (10 plants). The experiment was composed of four treatments: DW, drenching with T. asperelloides PSU-P1 alone, drenching with S. cucurbitacearum alone, and drenching with T. asperelloides PSU-P1 and challenging with S. cucurbitacearum. A total of 50 mL of T. asperelloides PSU-P1 and S. cucurbitacearum spore suspension was applied into each muskmelon plant once a week until harvesting day. Qualitative disease severity scale was determined on harvesting day by the method previously described by Sunpapao et al. [23], with some modifications, based on assessing the external symptoms of muskmelon plants (0 = no symptom, 1 = small brown symptom <1 cm, 2 = brown symptom >1 cm, 3 = brown symptom with gummy exudate, 4 = stem rot and collapse).
2.8. Statistical Analysis
Data on relative gene expression, enzyme activity, and plant growth were subjected to one-way analysis of variance (ANOVA) and the statistically significant differences of treated muskmelon plants and controls were analyzed by Student’s t-test and Duncan’s multiple range test and independent-sample t-test with threshold p < 0.05. Disease scales were subjected to ANOVA and analyzed by Kruskal–Wallis non-parametric statistical test. Statistically significant differences were analyzed by Mann–Whitney U test with threshold p < 0.01.
3. Results
3.1. Effect of Biotic Stress by T. asperelloides PSU-P1 on Gene Expression
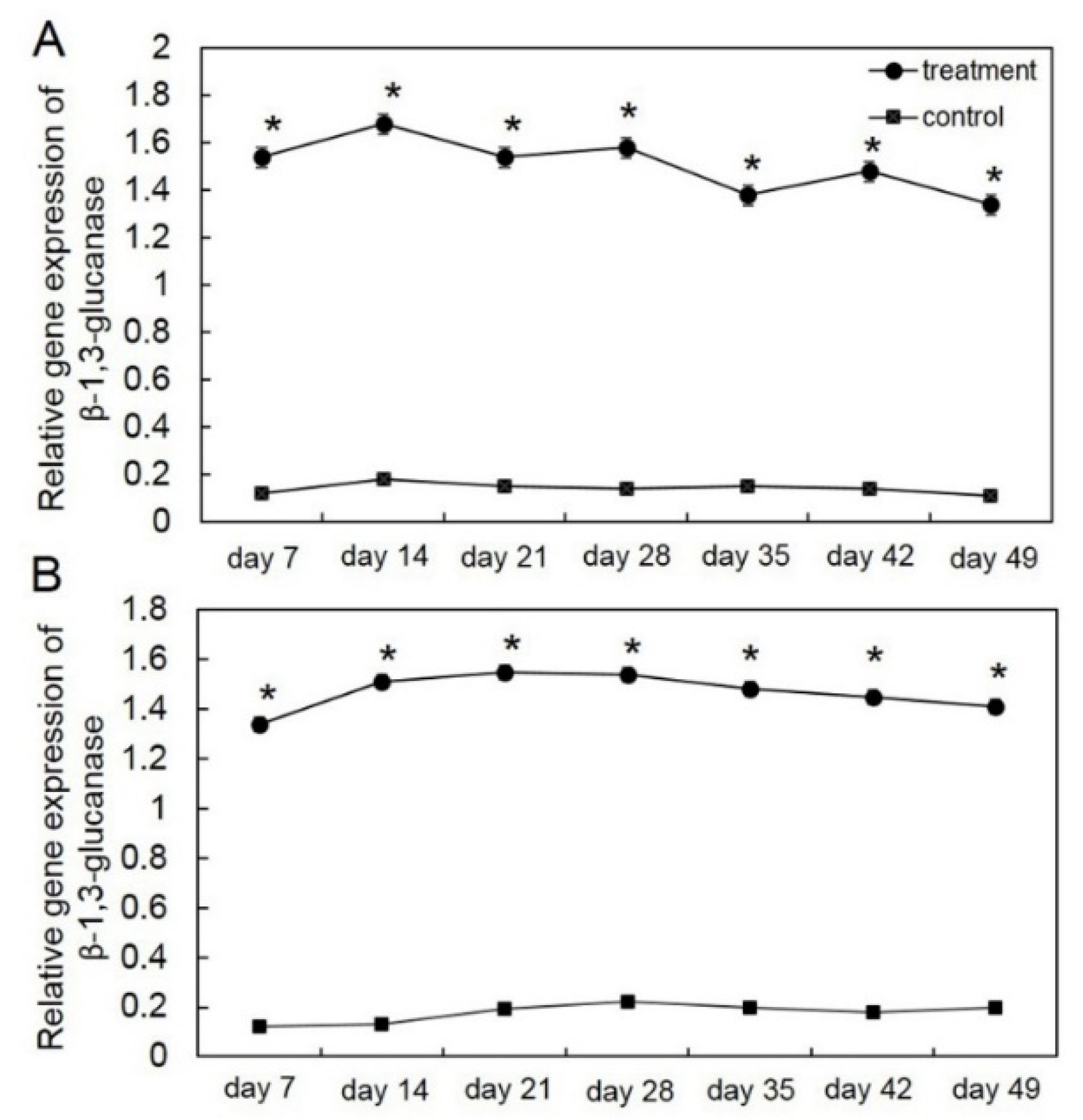
To examine the effect of biotic stress by T. asperelloides PSU-P1 on inducing the defense response in muskmelon, the expression of chi and glu genes was analyzed by RT-qPCR. The expression levels of chi and glu genes in T. asperelloides PSU-P1 were 7–10-fold higher than those of the control (Figure 1 and Figure 2). In T. asperelloides PSU-P1-treated muskmelon plants, the expression levels of chi were 0.2–0.32 for the 1st crop and 0.21–0.37 for the 2nd crop (Figure 1), while the expression levels of glu were 1.34–1.68 for the 1st crop and 1.34–1.55 for the 2nd crop (Figure 2); both these expression patterns were significantly higher than the levels in the control.
Figure 1.
Relative gene expression of chitinase in the first crop (A) and second crop (B) through reverse transcription quantitative PCR (RT-qPCR) in Trichoderma asperelloides PSU-P1-treated muskmelon plants and control plants. * Indicates a significant difference between treatment and control according to Student’s t-test with p < 0.05.
Figure 2.
Relative gene expression of β-1,3-glucanase in the first crop (A) and second crop (B) through reverse transcription quantitative PCR (RT-qPCR) in Trichoderma asperelloides PSU-P1-treated muskmelon plants and control plants. * Indicates a significant difference between treatment and control according to Student’s t-test with p < 0.05.
3.2. Application of T. asperelloides PSU-P1 Elevated Enzyme Activity in Muskmelon
We tested the effect of T. asperelloides PSU-P1 on CWDE activity in muskmelon plants from the seedling stage through to the harvesting stage. Inoculation of T. asperelloides PSU-P1 caused a high activity of CWDEs in this study. For the first crop, all T. asperelloides PSU-P1-treated muskmelon plants showed a significantly higher activity of chitinase and β-1,3-glucanase than those of the control (untreated muskmelon plants). The activities of chitinase and β-1,3-glucanase were 0.150–0.284 and 0.345–0.681 U/mL, respectively (Figure 3). For the second crop, the results were similar; the activities of chitinase and β-1,3-glucanase were 0.162–0.273 and 0.343–0.559 U/mL, respectively (Figure 4).
Figure 3.
Activity of chitinase in the first crop (A) and second crop (B) through enzyme assay in Trichoderma asperelloides PSU-P1-treated muskmelon and control plants. * Indicates a significant difference between treatment and control according to Student’s t-test with p < 0.05.
Figure 4.
Activity of β-1,3-glucanase in the first crop (A) and second crop (B) through enzyme assay in Trichoderma asperelloides PSU-P1-treated muskmelon and control plants. * Indicates a significant difference between treatment and control according to Student’s t-test with p < 0.05.
3.3. Effect of Crude Metabolites on Fungal Morphology
Crude metabolites extracted from T. asperelloides PSU-P1-treated muskmelon plants may contain CWDEs, which can cause morphology change, observed by wilting and lysis of S. cucurbitacearum hyphae. SEM micrographs showed wilted and lysed fungal morphology of S. cucurbitacearum incubated with T. asperelloides PSU-P1-treated muskmelon metabolites (Figure 5). The fungal morphology of S. cucurbitacearum incubated with untreated control metabolites remained healthy (Figure 5).
Figure 5.
Effect of crude metabolite of Trichoderma asperelloides PSU-P1 treated muskmelon: (A) Stagonosporopsis cucurbitacearum hyphae treated with PDB (control), and (B) S. cucurbitacearum hyphae treated with a crude metabolite of T. asperelloides PSU-P1 observed by scanning electron microscope (SEM).
3.4. Effect of T. asperelloides PSU-P1 on Plant Growth and Postharvest Quality of Muskmelon Fruit
To test the effect of T. asperelloides PSU-P1 on the growth and yield of muskmelon, an experiment in a polyhouse was conducted for two crops. After treatment with the spore suspension of T. asperelloides PSU-P1 for about 2 months, stem diameter and shoot length were not significantly different between control and T. asperelloides PSU-P1-treated muskmelon plants in both crops (Table 2). Stem fresh weight, fruit weight, and fruit width in T. asperelloides PSU-P1-treated muskmelon plants were significantly higher than those of the control in both crops (Table 2). To investigate the quality of muskmelon fruit, fruit sweetness and fruit firmness were measured, and the results displayed no significant difference between treatment and control for both crops (Table 3).
Table 2.
Effect of Trichoderma asperelloides PSU-P1 on muskmelon growth.
Table 3.
Effect of Trichoderma asperelloides PSU-P1 on postharvest quality of muskmelon.
3.5. Trichoderma asperelloides PSU-P1 Reduces Disease Severity in Field Crop
We tested the effect of T. asperelloides PSU-P1 on the reduction of gummy stem blight in field trials. Treatment with T. asperelloides PSU-P1 reduced the qualitative disease severity scale caused by S. cucurbitacearum in both crops. For the first crop, the disease severity scale of T. asperelloides PSU-P1-treated muskmelon plants was 1.10 ± 0.74, which was significantly lower than that of the control (pathogen alone), 2.90 ± 0.74 (Figure 6). Similar results were observed for the second crop. T. asperelloides PSU-P1-treated muskmelon plants exhibited a disease severity scale of 1.10 ± 0.74, significantly lower than that of the control (pathogen alone), 3.40 ± 0.70 (Figure 6).
Figure 6.
Qualitative disease severity scale of gummy stem blight in the first crop (A) and second crop (B). Representative images showing plants with qualitative severity scale ratings of: 0 (C), 1 (D), 2 (E), 3 (F), and 4 (G). T = T. asperelloides PSU-P1; P = S. cucurbitacearum; T + P = T. asperelloides PSU-P1 and S. cucurbitacearum. Different letters indicate statistically significant differences among treatments (p < 0.01) using Mann–Whitney U test.
4. Discussion
In this study, we tested the effect of T. asperelloides PSU-P1 in terms of the response of PR genes against gummy stem blight of muskmelon in field trials. The experiments were conducted on two crops, and we found that T. asperelloides PSU-P1 upregulated PR protein genes, resulting in the release of CWDEs in muskmelon plants, causing disease resistance. Furthermore, the application of T. asperelloides PSU-P1 reduced disease severity in muskmelon plants in both crops.
The ability of BCAs to act as biotic stresses in plants has been widely studied in several plant species. BCAs induce disease resistance by upregulating pathogenesis-related gene expression [24]. For instance, the BCAs T. viride and Bacillus subtilis upregulated chitinase gene expression against Fusarium oxysporum and Rhizoctonia solani in tomato plants [25]. The application of non-pathogenic Fusarium as a BCA upregulated chitinase and β-glucanase in common bean [26]. Our study is in agreement with those previously reported, and showed that application of T. asperelloides PSU-P1 to muskmelon plants upregulated the expression of chitinase and β-1,3-glucanase genes. The results from both crops also confirmed this phenomenon (Figure 1 and Figure 2). Therefore, our results suggest that the upregulation of PR protein genes is associated with disease resistance against gummy stem blight in muskmelon plants.
In this study, we tested the ability of T. asperelloides PSU-P1 as a BCA to elevate CWDEs in muskmelon plants. We found that application of T. asperelloides PSU-P1 caused high activity of chitinase and β-1,3-glucanase in both investigated crops. It is known that application of BCAs induces enzyme activity in plants. For instance, the application of a biocontrol agent induced the defense mechanism in coconut palms, resulting in reduced Ganoderma disease incidence in [27]. Application of T. asperellum MSST induced chitinase and β-1,3-glucanase activities in tomato plants [28]. Furthermore, Baiyee et al. [5] reported that T. asperellum T1 induced disease resistance against leaf spot disease on lettuce. Crude metabolites of BCA-treated plants include CWDEs, which can cause abnormal changes of fungal mycelia [5,29]. Our results showed that crude metabolites of T. asperelloides PSU-P1-treated muskmelon plants contained lytic enzymes, which was confirmed by SEM observation (Figure 5). Therefore, T. asperelloides PSU-P1 may induce and elevate CWDEs in muskmelon plants, which involves the suppression of fungal pathogens.
In order to reduce excess use of synthetic fungicides, Trichoderma species have been used as BCAs to control several plant species worldwide [30]. They have been used for controlling soilborne fungal pathogens [31,32] and airborne fungi [33,34]. The application of T. longibrachiatum and T. asperelloides increased plant biomass and reduced pathogen DNA in maize root [35]. Furthermore, a new species of T. phayaoense exhibited biological control activity against gummy stem blight and promoted plant growth in muskmelon in [36]. In our previous study, T. asperelloides PSU-P1 was screened because of its strong antifungal ability against S. cucurbitacearum [20] and was selected for use as a BCA in a field trial in this study. Our current results showed that the application of T. asperelloides PSU-P1 in both crops reduced the disease severity compared to control. This finding suggests that the application of T. asperelloides PSU-P1 as a BCA may be effective in managing gummy stem blight in muskmelon.
The aim of BCAs is not only to induce the defense response in plants, but also to promote plant growth in field trials. Trichoderma spp. promote soybean growth, with high phosphorus uptake [37]. The application of Trichoderma in foliar fertilizer increased shoot length and number of leaves and accelerated the appearance of shoots in black pepper [38]. The direct addition of T. longibrachiatum and T. asperelloides to the seeds showed yield improvement and increased the growth parameter and crop of maize compared with non-infected plants [35]. Our results are in agreement with those studies. The application of T. asperelloides PSU-P1 as a BCA promoted plant growth, increasing the fresh weight, fruit weight, and fruit width in muskmelon. The ability to promote plant growth by Trichoderma species may be due to the capacity to induce phytohormones in plants [39]. However, we did not determine the phytohormones in this study. Moreover, the application of Trichoderma species has been known to not only control plant diseases but also maintain postharvest quality in mango [40] and banana [41]. In this study, postharvest quality (sweetness and firmness) was not significantly different between T. asperelloides PSU-P1-treated and untreated muskmelon plants. This result suggests that the application of a BCA, T. asperelloides PSU-P1, did not cause a negative impact on the postharvest quality of muskmelon fruits.
5. Conclusions
Our current study revealed that a strong BCA (T. asperelloides PSU-P1) induced a defense response in muskmelon plants by the upregulation of chi and glu gene expression and elevating CWDEs (chitinase and β-1,3-glucanase). T. asperelloides PSU-P1 as a BCA could be used to manage gummy stem blight in field trials in both crops in this study. The use of T. asperelloides PSU-P1 increased the growth of muskmelon and maintained the postharvest quality of muskmelon fruit.
Author Contributions
Conceptualization, W.I. and A.S.; methodology, W.I.; software, N.S.; validation, P.W. and N.S.; formal analysis, W.I.; investigation, W.I.; resources, A.S.; data curation, N.S. and A.S.; writing—original draft preparation, W.I.; writing—review and editing, A.S. and N.S.; visualization, A.S.; supervision, A.S.; project administration, A.S.; funding acquisition, A.S. All authors have read and agreed to the published version of the manuscript.
Funding
This research is supported by the National Research Council of Thailand (NRCT): NRCT5-RSA63022-01 and the Center of Excellence on Agricultural Biotechnology, Office of the Permanent Secretary, Ministry of Higher Education, Science, Research and Innovation. (AG-BIO/MHESI).
Institutional Review Board Statement
Not applicable.
Informed Consent Statement
Not applicable.
Data Availability Statement
Not applicable.
Acknowledgments
The authors would like to thank Prince of Songkla University, the Center of Excellence in Agricultural and Natural Resources Biotechnology (CoE-ANRB) phase 3, Walailak University and Research Center of Microbial Diversity and Sustainable Utilization, Chiang Mai University for the facilities and the Center of Excellence on Agricultural Biotechnology, Office of the Permanent Secretary, Ministry of Higher Education, Science, Research and Innovation (AG-BIO/MHESI).
Conflicts of Interest
The authors declare no conflict of interest.
References
- Aveskamp, M.M.; de Gruyter, J.; Woudenberg, J.H.C.; Verkleyand, G.J.M.; Crous, P.W. Highlights of the Didymellaceae: A polyphasic approach to characterize Phoma and related pleosporalean genera. Stud. Mycol. 2010, 65, 281. [Google Scholar] [CrossRef] [PubMed]
- Nuangmek, W.; Aiduang, W.; Suwannarach, N.; Kumla, J.; Lumyong, S. First report of gummy stem blight caused by Stagonosporopsis cucurbitacearum on cantaloupe in Thailand. Can. J. Plant Pathol. 2018, 40, 306–311. [Google Scholar] [CrossRef]
- Nishad, R.; Ahmed, T.; Rahman, V.J.; Kareem, A. Modulation of plant defense system in response to microbial interactions. Front. Microbiol. 2020, 11, e1298. [Google Scholar] [CrossRef] [PubMed]
- Shen, Y.; Liu, N.; Li, C.; Wang, X.; Xu, X.; Chen, W.; Xing, G.; Zheng, W. The early response during the interaction of fungal phytopathogen and host plant. Open Biol. 2017, 7, e170057. [Google Scholar] [CrossRef] [PubMed] [Green Version]
- Baiyee, B.; Ito, S.; Sunapapo, A. Trichoderma asperellum T1 mediated antifungal activity and induced defense response against leaf spot fungi in lettuce (Lactuca sativa L.). Physiol. Mol. Plant Pathol. 2019, 106, 96–101. [Google Scholar] [CrossRef]
- Niderman, T.; Genetet, I.; Bruyère, T.; Gees, R.; Stintzi, A.; Legrand, M.; Fritig, B.; Mösinger, E. Pathogenesis-related PR-1 proteins are antifungal. Isolation and characterization of three 14-kilodalton proteins of tomato and of a basic PR-1 of tobacco with inhibitory activity against Phytophthora infestans. Plant Physiol. 1995, 108, 17–27. [Google Scholar] [CrossRef] [Green Version]
- Souza, T.P.; Dias, R.O.; Silva-Filho, M.C. Defense-related proteins involved in sugarcane responses to biotic stress. Genet. Mol. Biol. 2017, 40 (Suppl. 1), 360–372. [Google Scholar] [CrossRef] [Green Version]
- Chatterton, S.; Punja, Z.K. Chitinase and beta-1,3-glucanase enzyme production by the mycoparasite Clonostachys rosea f. catenulata against fungal plant pathogens. Can. J. Microbiol. 2009, 55, 356–567. [Google Scholar]
- Gupta, P.; Ravi, I.; Sharma, V. Induction of β-1,3-glucanase and chitinase activity in the defense response of Eruca sativa plants against the fungal pathogen Alternaria brassicicola. J. Plant Interact. 2013, 8, 155–161. [Google Scholar] [CrossRef]
- Vázquez-Garcidueñas, S.; Leal-Morales, C.A.; Herrera-Estrella, A. Analysis of the beta-1,3-glucanolytic system of the biocontrol agent Trichoderma harzianum. Appl. Environ. Microbiol. 1998, 64, 1442–1446. [Google Scholar] [CrossRef] [Green Version]
- Goughenour, K.D.; Whalin, J.; Slot, J.C.; Rappleye, C.A. Diversification of fungal chitinases and their functional differentiation in Histoplasma capsulatum. Mol. Biol. Evol. 2021, 38, 1339–1355. [Google Scholar] [CrossRef]
- Anguelova-Merhar, V.S.; VanDer Westhuizen, A.J.; Pretorius, Z.A. β-1,3-Glucanase and chitinase activities and the resistance response of wheat to leaf rust. J. Phytopath. 2008, 149, 381–384. [Google Scholar] [CrossRef]
- Phoka, N.; Suwannarach, N.; Lumyong, S.; Ito, S.-I.; Matsui, K.; Arikit, S.; Sunpapao, A. Role of volatiles from the endophytic fungus Trichoderma asperelloides PSU-P1 in biocontrol potential and in promoting the plant growth of Arabidopsis thaliana. J. Fungi 2020, 6, 341. [Google Scholar] [CrossRef]
- Benítez, T.; Rincón, A.M.; Limón, M.C.; Codón, A.C. Biocontrol mechanisms of Trichoderma strains. Int. Microbiol. 2004, 7, 249–260. [Google Scholar]
- Ruangwong, O.-U.; Pornsuriya, C.; Pitija, K.; Sunpapao, A. Biocontrol mechanisms of Trichoderma koningiopsis PSU3-2 against postharvest anthracnose of chili pepper. J. Fungi 2021, 7, 276. [Google Scholar] [CrossRef]
- Intana, W.; Kheawleng, S.; Sunpapao, A. Trichoderma asperellum T76-14 released volatile organic compounds against postharvest fruit rot in muskmelons (Cucumis melo) caused by Fusarium incarnatum. J. Fungi 2021, 7, 46. [Google Scholar] [CrossRef]
- Contreras-Cornejo, H.A.; Macías-Rodríguez, L.; Beltrán-Peña, E.; Herrera-Estrella, A.; López-Bucio, J. Trichoderma-induced plant immunity likely involves both hormonal- and camalexin-dependent mechanisms in Arabidopsis thaliana and confers resistance against necrotrophic fungi Botrytis cinerea. Plant Signal. Behav. 2011, 6, 1554–1563. [Google Scholar] [CrossRef] [Green Version]
- Contreras-Cornejo, H.A.; Macías-Rodríguez, L.; Cortés-Penagos, C.; López-Bucio, J. Trichoderma virens, a plant beneficial fungus, enhances biomass production and promotes lateral root growth through an auxin-dependent mechanism in Arabidopsis. Plant Physiol. 2009, 149, 1579–1592. [Google Scholar] [CrossRef] [Green Version]
- Wonglom, P.; Daengsuwan, W.; Ito, S.; Sunpapao, A. Biological control of Sclerotium fruit rot of snake fruit and stem rot of lettuce by Trichoderma sp. T76-12/2 and the mechanism involved. Physiol. Mol. Plant Pathol. 2019, 107, 1–7. [Google Scholar] [CrossRef]
- Ruangwong, O.-U.; Wonglom, P.; Phoka, N.; Suwannarach, N.; Lumyong, S.; Ito, S.-I.; Sunpapao, A. Biological control activity of Trichoderma asperelloides PSU-P1 against gummy stem blight in muskmelon (Cucumis melo). Physiol. Mol. Plant Pathol. 2021, 115, 101663. [Google Scholar] [CrossRef]
- Dumhai, R.; Wanchana, S.; Saensuk, C.; Choowongkomon, K.; Mahatheeranont, S.; Kraithong, T.; Toojinda, T.; Vanavichit, A.; Arikit, S. Discovery of a novel CnAMADH2 allele associated with higher levels of 2-acetyl-1-pyroline (2AP) in yellow dwarf coconut (Cocos nucifera L.). Sci. Hort. 2019, 243, 490–497. [Google Scholar] [CrossRef]
- Miller, G.L. Use of dinitrosalicylic acid reagent for determination of reducing sugar. Annl. Biochem. 1959, 31, 426–428. [Google Scholar] [CrossRef]
- Sunpapao, A.; Chairin, T.; Ito, S. The biocontrol by Streptomyces and Trichoderma of leaf spot disease caused by Curvularia oryzae in oil palm seedlings. Biol. Control 2018, 123, 36–42. [Google Scholar] [CrossRef]
- Singh, S.P.; Keswani, C.; Singh, S.P.; Sansinenea, E.; Hoat, T.X. Trichoderma spp. mediated induction of systemic defense response in brinjal against Sclerotinia sclerotiorum. Curr. Res. Microb. Sci. 2021, 2, 100051. [Google Scholar]
- Hafez, E.E.; Hashem, M.; Balbaa, M.M.; El-Saadani, M.A.; Ahmed, S.A. Induction of new defensin genes in tomato plants via pathogens biocontrol agent interaction. J. Plant Pathol. Microb. 2013, 4, 167. [Google Scholar]
- Porteous-Álvarez, A.J.; Mayo-Prieto, S.; Álvarez-García, S.; Reinoso, B.; Casquero, P.A. Genetic Response of Common Bean to the Inoculation with Indigenous Fusarium Isolates. J. Fungi 2020, 6, 228. [Google Scholar] [CrossRef] [PubMed]
- Karthikeyan, M.; Radhika, K.; Mathiyazhagan, S.; Bhaskaran, R.; Samiyappan, R.; Velazhahan, R. Induction of phenolics and defense-related enzymes in coconut (Cocos nucifera L.) roots treated with biocontrol agents. Braz. J. Plant Physiol. 2006, 18, 367–377. [Google Scholar] [CrossRef]
- Patel, S.; Saraf, M. Biocontrol efficacy of Trichoderma asperellum MSST against tomato wilting by Fusarium oxysporum f. sp. lycopersici. Arch. Phytopathol. Plant Prot. 2017, 50, 228–238. [Google Scholar] [CrossRef]
- Wonglom, P.; Ito, S.; Sunpapao, A. Volatile organic compounds emitted from endophytic fungus Trichoderma asperellum T1 mediate antifungal activity, defense response and plant growth promoting ability in lettuce (Lactuca sativa L.). Fungal Ecol. 2020, 43, 100867. [Google Scholar] [CrossRef]
- Kumar, M.; Ashraf, S. Role of Trichoderma spp. as a Biocontrol Agent of Fungal Plant Pathogens. In Probiotics and Plant Health; Kumar, V., Kumar, M., Sharma, S., Prasad, R., Eds.; Springer: Singapore, 2017. [Google Scholar] [CrossRef]
- Asad, S.A.; Ali, N.; Hameed, A.; Khan, S.A.; Ahmad, R.; Bilal, M.; Shahzad, M.; Tabassum, A. Biocontrol efficacy of different isolates of Trichoderma against soil borne pathogen Rhizoctonia solani. Pol. J. Microbiol. 2014, 63, 95–103. [Google Scholar] [CrossRef]
- Bastakoti, S.; Belbase, S.; Manandhar, S.; Arjyal, C. Trichoderma species as biocontrol agent against soil borne fungal pathogen. Nepal J. Biotechnol. 2017, 5, 39–45. [Google Scholar] [CrossRef] [Green Version]
- Begum, M.F.; Rahman, M.A.; Alam, M.F. Biological control of Alternaria fruit rot of chili by Trichoderma species under field conditions. Mycobiology 2010, 38, 113–117. [Google Scholar] [CrossRef] [Green Version]
- Arzanlou, M.; Khodaei, S.; Narmani, A.; Babai-Ahari, A.; Azar, A.M. Inhibitory effect of Trichoderma isolates on growth of Alternaria alternata, the causal agent of leaf spot disease on sunflower, under laboratory conditions. Arch. Phytopathol. Plant Prot. 2014, 47, 1592–1599. [Google Scholar] [CrossRef]
- Degani, O.; Dor, S. Trichoderma biological control to protect sensitive maize hybrids against late wilt disease in the field. J. Fungi 2021, 7, 315. [Google Scholar] [CrossRef]
- Nuangmek, W.; Aiduang, W.; Kumla, J.; Lumyong, S.; Suwannarach, N. Evaluation of a newly identified, endophytic fungus, Trichoderma phayaoense for plant growth promotion and biological control of gummy stem blight and wilt of muskmelon. Front. Microbiol. 2021, 12, 634772. [Google Scholar] [CrossRef]
- Bononi, L.; Chiaramonte, J.B.; Pansa, C.C.; Moitinho, M.A.; Melo, I.S. Phosphorus solubilizing Trichoderma spp. from Amazon soils improve soybean plant growth. Sci. Rep. 2020, 10, 2858. [Google Scholar] [CrossRef] [Green Version]
- Syam, N.; Sabahannur, S.; Nurdin, A. Effects of Trichoderma and foliar fertilizer on the vegetative growth of black pepper (Piper nigrum L.) seedlings. Int. J. Agron. 2021, 2021, e9953239. [Google Scholar] [CrossRef]
- Martínez-Medina, A.; Del Mar Alguacil, M.; Pascual, J.A.; Van Wees, S.C. Phytohormone profiles induced by trichoderma isolates correspond with their biocontrol and plant growth-promoting activity on melon plants. J. Chem. Ecol. 2014, 40, 804–815. [Google Scholar] [CrossRef]
- Aifaa, Y.N.H.; Suhanna, A. Effect of Trichoderma on postharvest quality of Harumanis man. J. Trop. Agric. Food Sci. 2015, 43, 21–28. [Google Scholar]
- Sangeetha, G.; Usharani, S.; Muthukumar, A. Biocontrol with Trichoderma species for the management of post-harvest crown rot of banana. Phytopathol. Mediterr. 2009, 48, 214–225. [Google Scholar]
Publisher’s Note: MDPI stays neutral with regard to jurisdictional claims in published maps and institutional affiliations. |
© 2022 by the authors. Licensee MDPI, Basel, Switzerland. This article is an open access article distributed under the terms and conditions of the Creative Commons Attribution (CC BY) license (https://creativecommons.org/licenses/by/4.0/).





