Next Article in Journal
Doxycycline Attenuates Doxorubicin-Induced Cardiotoxicity by Improving Myocardial Energy Metabolism in Rats
Previous Article in Journal
Bioprosthetic Aortic Valve Thrombosis and Literature Review
 
 
Font Type:
Arial Georgia Verdana
Font Size:
Aa Aa Aa
Line Spacing:
Column Width:
Background:
Systematic Review

Epicardial Adipose Tissue in Patients with Coronary Artery Disease: A Meta-Analysis

1
Department of Cardiovascular Surgery, Union Hospital, Tongji Medical College, Huazhong University of Science and Technology, Wuhan 430022, China
2
Department of Ultrasound Medicine, Union Hospital, Tongji Medical College, Huazhong University of Science and Technology, Wuhan 430022, China
*
Author to whom correspondence should be addressed.
These authors contributed equally to this work.
J. Cardiovasc. Dev. Dis. 2022, 9(8), 253; https://doi.org/10.3390/jcdd9080253
Submission received: 26 June 2022 / Revised: 2 August 2022 / Accepted: 3 August 2022 / Published: 8 August 2022
(This article belongs to the Topic Biomarkers in Cardiovascular Disease—Chances and Risks)

Abstract

Objective: The aim of this study is to assess the association between epicardial adipose tissue (EAT) and coronary artery disease (CAD) via meta−analysis. Methods: Specific searches of online databases from January 2000 to May 2022 were conducted. All observational studies evaluating the association between EAT and CAD in PubMed, Web of Science, and the Cochrane Library databases were screened. A meta-analysis was conducted following the Preferred Reporting Items for Systematic Reviews and Meta−Analyses guidelines (PRISMA). In total, 21 studies encompassing 4975 subjects met the inclusion criteria, including 2377 diagnosed and assigned as the CAD group, while the other 2598 were assigned as the non−CAD group. Subjects in the CAD group were further divided into the severe stenosis group (stenosis ≥ 50%, n = 846) and the mild/moderate stenosis group (stenosis < 50%, n = 577). Results: Both the volume and thickness of EAT in the CAD group were larger compared to the non−CAD group (p < 0.00001). In a subgroup analysis within the CAD group, the severe stenosis group had a larger volume and thickness with respect to EAT when compared to the mild/moderate group (p < 0.001). Conclusions: The enlargement of EAT presented in CAD patients with an association with CAD severity. Although limited by different CAD types and measuring methods for EAT, as well as a smaller sample size, our results suggest that EAT is a novel predictor and a potential therapeutic target for CAD.

1. Introduction

Coronary artery disease (CAD) is a cardiovascular disease caused by reduced blood flow in the coronary arteries [1,2]. The clinical manifestations of CAD include silent myocardial ischemia, angina pectoris, acute coronary syndromes (unstable angina pectoris, myocardial infarction), and sudden cardiac death [3]. Adipose tissue is the largest endocrine organ in the human body, which plays an essential role in the supply of energy [4,5,6]. Recently, the relationship between adipose tissue and CAD has gained increasing attention. Relevant studies may provide new approaches for the treatment of CAD.
Epicardial adipose tissue (EAT) is a type of visceral adipose tissue surrounding the myocardium and visceral layer of the pericardium [7,8]. In distinct conditions, EAT can secrete pro- and anti-inflammatory factors (e.g., TNF-α, IL-6, adiponectin, and leptin) through paracrine or endocrine [9,10,11]. Evidence shows that EAT is involved in the local regulation of myocardial and coronary function by modulating lipid metabolism and energy homeostasis [12]. By regulating the release / uptake of free fatty acids (FFAs), EAT plays an important role in CAD by supporting the efficiency of myocardial glucose utilization [13,14]. Clinically, the volume and thickness of EAT have been measured by cardiac magnetic resonance imaging (MRI), computed tomography (CT) [15], and echocardiography (echo) [16]. Several studies have shown that enlarged EAT is associated with the occurrence and development of CAD [17], which was later termed a potential predictor of the disease [16,18,19,20,21]. According to existing research, we speculate that the enlargement of EAT has been gradually becoming one of the key risk factors for the development of CAD [12,20,22,23]. However, a more specific correlation between EAT and CAD has yet to be clearly studied.
In the past few years, several studies have reported abnormally enlarged EAT in CAD patients [24,25]. However, due to the lack of a larger sample size and potential confounding factors, including differences in the EAT measures and CAD grades in these studies, the strength of previous evidence is limited. Therefore, in order to provide a comprehensive overview of this issue, we conducted a meta-analysis to assess the relationship between EAT and CAD.

2. Methods

2.1. Literature Search and Selection

We conducted a comprehensive systematic literature search of online databases, including PubMed, Embase, Web of Science, and the Cochrane Library from January 2000 to May 2022. To identify and retrieve all potentially relevant articles regarding this topic, all combinations of the following search terms were included: (coronary artery disease OR CAD, myocardial ischemia OR ischemic heart disease) AND (epicardial fat tissue OR epicardial adipose tissue OR subepicardial adipose tissue OR subepicardial fat tissue). An additional manual search was performed by analyzing the reference list of original publications and review articles.
All the search results were evaluated according to the Preferred Reporting Items for Systematic Reviews and Meta-Analyses (PRISMA) statement [26]. The diagnostic criteria for coronary heart disease established by the World Health Organization are: at least 1 coronary artery stenosis ≥ 50% in the right coronary artery, left main trunk, anterior descending or circumflex artery and its main branches [27,28]. In the single−vessel disease group, coronary artery stenosis was ≥50%. The stenosis of any two coronary artery lesions in the double−vessel disease group was greater than or equal to 50%. In the multivessel disease group, the stenosis of 3 coronary artery lesions was greater than or equal to 50%. CAD is defined as the presence of stenosis of any severity in at least one coronary artery segment [29]. However, the definition of CAD severity varied across studies. For instance, one study defined the degree of coronary artery stenosis as mild (<50%), moderate (50–69%), and severe (≥70%) [30]. In other studies, severe stenosis was only considered when coronary angiography showed stenosis in any vessel exceeding 50% [31,32,33,34], 70% [35,36], or even 75% [37,38,39,40]. In this study, we found that when any coronary artery stenosis ≥ 50%, obvious symptoms, including chest pain and chest tightness, are recorded. These symptoms can arise during myocardial ischemia or hypoxia due to the narrowing of blood vessels, which causes serious damage to patients’ health and lives [41]. In order to include more reliable studies, we defined 50% stenosis as a cutoff point for the severity of coronary artery disease whereby ≥ 50% stenosis in any single vessel in a coronary angiography was considered to belong to the significant stenosis group and others (<50%) were considered to belong to the mild/moderate stenosis group. In addition, we also classified stable angina (SA) and unstable angina (UA) as being part of the mild/moderate stenosis group and non-ST-segment elevation myocardial infarction (NSTEMI) and ST-segment elevation myocardial infarction (STEMI) as being part of the severe stenosis group, in accordance with the previously published standard [41].
The thickness of EAT typically describes the vertical distance of the echo-transparent zone between the pericardium visceral layer and the ventricle epicardium, and the mean thickness was calculated using average measurements of 3 cardiac cycles [42,43]. The volume of EAT describes the volume between the pericardium and the ventricular wall, with attenuation ranging from −250 HU to −30 HU measured by CT. The sum of EAT volume was calculated by adding up EAT areas using transverse sections from the atrial appendage up to the apex, with 1.0 cm spacing between each image [44].
Therefore, the inclusion criteria for studies were as follows: (1) CAD patients were an experimental group and non−CAD patients were a control group; (2) the quantitative measurement of EAT volume or thickness by echocardiography (echo), cardiac magnetic resonance imaging (MRI), or CT; (3) studies comparing differences in EAT between CAD patients and non−CAD patients; (4) studies with a reported mean, standard deviation (SD), and recorded sample sizes for CAD and non−CAD patients; and (5) observational studies. Exclusion criteria: (1) experimental animal studies, reviews, or non-English literature and (2) studies that did not provide sufficient information about the dataset (mean, SD, and sample sizes).

2.2. Data Extraction and Quality Assessment

Data extraction and literature quality assessment were performed independently by 2 investigators (Q.W. and Y.Y.). A Microsoft Excel database was used to record all available information, including basic details such as the number of people, sex, age, period, the volume or thickness of EAT, the number and location of coronary stenosis, the method of measuring EAT, etc. For quality assessment of the included studies, continuous and observational studies were assessed using the Cochrane Handbook for Systematic Reviews of Interventions (version 5.1.0) and the modified Newcastle–Ottawa Scale (NOS), respectively. Any disagreements were resolved by another investigator (C.W.).

2.3. Statistical Analysis

A meta-analysis was performed between the CAD and non−CAD groups. Pooled odds ratios (ORs) with 95% confidence intervals (95%CIs) were estimated as pooled standard mean differences (SMD) with 95%CIs for consecutive variation. Heterogeneity was quantified by I2 statistic, where a value of 50% or greater indicated significant heterogeneity. When I2 > 50%, a random−effects model was chosen to pool the results, and when I2 < 50%, a fixed-effects model was used. A funnel plot test was used to detect publication bias. All statistical analyses were performed using Review Manager version 5.4.

3. Results

3.1. Study Selection and Quality Assessment

According to the search strategy, 825 citations were obtained from the online database from 1 January 2000 to 1 May 2022. Seventy-six publications were included by manually searching the reference lists and reviewing the articles. After the removal of duplicates, 311 records remained in total. Then, 230 records were excluded by viewing titles and abstracts. Among the remaining 81 records, 60 citations were removed for various reasons. Finally, 21 full−text studies were suitable for this meta-analysis (Figure 1). The characteristics, quality evaluation, and demographics of the included studies are summarized in Table 1.

3.2. CAD Group versus Non-CAD Group

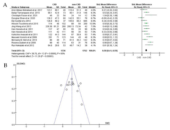
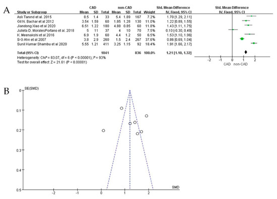
For all 21 studies reporting EAT in CAD, 14 of them detected the volume of EAT with CT. The volume of EAT in the CAD group (n = 1336) was significantly larger than that of the non-CAD group (n = 1762) (SMD: 0.50; 95%CI: 0.41, 0.59; I2 = 65%, p < 0.00001) (Figure 2A,B). In the other seven studies, the thickness of EAT detected by echocardiography was also significantly larger in the CAD group (n = 1041) than in the non−CAD group (n = 836) (SMD: 1.21; 95%CI: 1.10, 1.32; I2 = 93%; p < 0.00001) (Figure 3A,B).
Analysis of the funnel plots of the two study groups (Figure 3A,B) revealed significant heterogeneity; the publication biases of the included studies may influence our meta-analysis results. We performed sensitivity analyses by removing individual studies one by one and performing additional meta−analyses with each study removed. We assessed the effect of each deletion on the pooled SMD. On the basis of the sensitivity analysis results, we observed that two studies interfered with the findings, making our meta−analysis statistically unstable [24,36]. When these two studies were excluded, the heterogeneity was significantly reduced (I2 = 31%; SMD: 0.50; 95%CI: 0.41, 0.59; p < 0.00001) (Figure 4A,B). Among studies measuring EAT thickness, a sensitivity analysis was performed. After removing each study, none of the studies were observed to affect the overall effect, suggesting that our meta-analysis was statistically stable.

3.3. Subgroup Analysis

To further investigate whether EAT is associated with CAD severity, we performed a subgroup analysis. Seven studies providing data on the relationship between EAT and CAD severity were included. In studies detecting EAT by CT, the volume of EAT in the severe CAD group (n = 320) was significantly larger than in the mild/moderate group (n = 172) (SMD: 0.33; 95%CI: 0.14, 0.52; I2 = 85%; p = 0.0007) (Figure 5A,B). Similarly, the thickness of EAT detected by echo was also significantly larger in the severe CAD group (n = 526) when compared with that of the mild/moderate group (n = 405) (SMD: 0.88; 95%CI: 0.74, 1.03; I2 = 97%; p < 0.00001) (Figure 6A,B).
In the subgroup analysis, we found high heterogeneity and performed a sensitivity analysis. In studies detecting EAT volume with CT, we observed one study (Mancio et al.) [24] that interfered with the findings (I2 = 85%). When this study was excluded, heterogeneity (I2 = 45%) was significantly reduced; however, the result was unable to achieve statistical significance (p = 0.46) (Figure 7A,B). This should mainly be attributed to the limited sample size. In studies detecting EAT thickness with echo, we were unable to perform a sensitivity analysis due to the limited sample size, and we could not determine whether EAT thickness was associated with CAD severity.

3.4. Publication Bias and Sensitivity Analysis

Funnel plots indicated a symmetric distribution of the included studies. Sensitivity analyses confirmed the robustness of the results.

4. Discussion

This meta-analysis included 21 studies involving 1336 CAD patients and 1762 non-CAD patients. Our results showed that CAD patients tend to have larger EAT, supporting the association between enlarged EAT and the development of CAD. Moreover, we also concluded that patients with severe CAD have larger EAT than those with mild / moderate CAD when the high heterogeneity was not adjusted. After adjusting for study heterogeneity, several factors, such as different CAD types, EAT measure methods, and smaller sample sizes, may have led to insignificant differences. Thus, further studies with larger numbers, consistent measuring methods, and more specific CAD subtypes are required to confirm the association between EAT and CAD severity.
EAT is an extremely active adipose tissue with unique biological, molecular, and anatomical characteristics [63,64] that acts as an endocrine organ [7,19,65] to influence adjacent blood vessels through paracrine and endocrine signaling. EAT is capable of secreting inflammatory factors such as: TNFα [66], IL6 [67], adiponectin [68], leptin [69], etc. [11,70,71]. EAT is also a lipid storage unit and is actively involved in lipid metabolism and the energy homeostasis of the myocardium through the synthesis and release of FFAs [72]. Under physiological conditions, EAT exerts cardioprotective effects through its anti-atherosclerotic and anti−inflammatory properties, as well as high FFA release/uptake rates [73]. However, abnormally enlarged EAT will secrete a variety of bioactive substances as well as excess fatty acids, leading to systemic inflammation, insulin resistance, and dyslipidemia, which ultimately contribute to the development of atherosclerosis [74,75]. In recent years, research studying the relationship between EAT and CAD has gradually increased [12,76,77,78], but the reason for enlarged EAT in CAD patients remains unclear [30]. Therefore, we performed a meta-analysis to further explore the relationship between EAT and CAD.
According to our measurement methods, the properties of EAT were described as either CT−measured EAT volume or echo−measured EAT thickness. Regardless of measurement methods, our results showed that the volume and thickness of EAT in CAD patients are consistently larger than in non-CAD patients. To avoid heterogeneity between studies, we conducted a sensitivity analysis and excluded two studies [24,36]. Similar results were also achieved following adjustment. The main reasons for increased heterogeneity were as follow: (1) the methods of measuring and calculating EAT were not identical; (2) variation in the study populations and the classification of coronary obstruction severity; and (3) the comparison between ischemic and non-ischemic cardiomyopathy was unspecific with respect to the concept of CAD. In subgroup analyses, both the volume and the thickness of EAT were significantly larger in severe CAD patients (stenosis ≥ 50%) when compared with mild/moderate CAD patients. After adjusting heterogeneity, one study was excluded, but no significant difference was identified for EAT volume. However, due to limited samples, we could not conduct any further analyses of EAT thickness. Thus, our results suggested that enlarged EAT is associated with CAD severity, but this needs further verification in the future using a larger sample size.
The measurement methods of EAT include CT [16], echo [55], MRI [79], SPECT [80], and others, which can be used to measure the volume or thickness of EAT [8]. In normal hearts, EAT covers 80% of the surface [13,20]. The distribution of EAT is uneven, being more concentrated in the atrioventricular and interventricular grooves and around the epicardial coronary arteries. A smaller amount of EAT is found around the atria, over the free wall of the right ventricle, and on the apex of the left ventricle. Echo is currently the most convenient method of measuring EAT thickness, which is characterized by high repeatability and low cost [42,81,82,83]. However, echo cannot be used to perform the volumetric evaluation of EAT. The results of echo are highly dependent on the individual patient’s acoustic window, which may be suboptimal in obese patients due to fat impedance, leading to measurement errors [84]. CT is a simpler measurement method to measure the volume of EAT, with a higher spatial resolution providing a more accurate and reproducible quantification of EAT. It can also be used to quantify the volume of pericoronal adipose tissue (PCAT) and evaluate coronary arteries [85,86]. However, the result of CT is highly dependent on different standards in the attenuation range and errors caused by human factors between different observers and measurers. MRI and SPECT are used less frequently. In this study, a total of 14 studies measuring EAT volume by CT and 7 studies measuring EAT thickness by echo were included. Different measurement methods may bias the results of the analysis.
Consistent with previous studies, our study shows that, compared with non-CAD patients, the EAT of CAD patients is significantly enlarged, indicating that EAT may be involved in the occurrence of CAD, which may provide new ideas for further CAD research, diagnoses, and treatments and has certain clinical significance. However, the previous studies did not consider the influence of factors such as CAD classification and EAT measurement methods. Our findings suggest that EAT is consistently and abnormally elevated in CAD patients compared with non−CAD patients, even across different types of CAD or different EAT measurement methods, suggesting that abnormally enlarged EAT can serve as a predictor of CAD [17,78,87].

5. Limitations

Firstly, this is a retrospective study with a limited population, which limits our ability to compare the diagnostic accuracy of different subgroups. Secondly, the impact of potential factors such as blood lipids, BMI, and insulin resistance on the study should also be given consideration. In addition, this study focused on the quantitative comparison of EAT between CT and echo but did not consider the impact of the measurement location, method, or standard on EAT. Finally, the most important limitation is represented by the large heterogeneity among the studies. Although the heterogeneity was minimized with sensitivity analysis, it is still affected by the different standards of different experiments, so the results should be verified by prospective studies.

6. Conclusions

Our study shows that CAD patients have larger EAT compared to non−CAD patients, which provides a new approach for the diagnosis, treatment, and understanding of CAD. However, whether or not EAT can be used for the early assessment or diagnosis of CAD needs further confirmation. In general, our meta-analysis showed that patients with CAD have higher amounts of EAT than patients with non−CAD, regardless of CAD severity, multivessel stenotic CAD, or the EAT measurement methods used. This suggests that abnormally enlarged EAT may be involved in the development of CAD and is a useful predictor and potential therapeutic target for CAD.

Author Contributions

Conceptualization and study design, Q.W. and X.C.; literature search, data extraction, literature quality assessment, Q.W., Y.Y. and R.T.; statistical analysis and manuscript writing, Q.W. and C.W.; manuscript revising, Q.W., J.C. and X.C. All authors have read and agreed to the published version of the manuscript.

Funding

This research was funded by the National Natural Science Foundation of China (No. 81873489).

Institutional Review Board Statement

The study was conducted according to the guidelines of the Declaration of Helsinki; the twenty-one papers involved in the meta-analysis have been conducted in accordance with and with the approval of local ethics committees/review boards.

Informed Consent Statement

Informed consent was obtained from all subjects involved in the study.

Data Availability Statement

Data can be obtained by contacting the corresponding author.

Conflicts of Interest

We declare that we have no conflict of interest.

References

  1. Khera, A.V.; Kathiresan, S. Genetics of Coronary Artery Disease: Discovery, Biology and Clinical Translation. Nat. Rev. Genet. 2017, 18, 331–344. [Google Scholar] [CrossRef] [PubMed]
  2. Malakar, A.K.; Choudhury, D.; Halder, B.; Paul, P.; Uddin, A.; Chakraborty, S. A Review on Coronary Artery Disease, Its Risk Factors, and Therapeutics. J. Cell. Physiol. 2019, 234, 16812–16823. [Google Scholar] [CrossRef] [PubMed]
  3. Fox, K.A.; Metra, M.; Morais, J.; Atar, D. The Myth of ‘Stable’ Coronary Artery Disease. Nat. Rev. Cardiol. 2020, 17, 9–21. [Google Scholar] [CrossRef] [PubMed]
  4. Sakers, A.; de Siqueira, M.K.; Seale, P.; Villanueva, C.J. Adipose-Tissue Plasticity in Health and Disease. Cell 2022, 185, 419–446. [Google Scholar] [CrossRef]
  5. Harvey, I.; Boudreau, A.; Stephens, J.M. Adipose Tissue in Health and Disease. Open Biol. 2020, 10, 200291. [Google Scholar] [CrossRef]
  6. Yan, L.; Ding, S.; Chen, Y.; Xiang, M.; Xie, Y. Cardiac Adipose Tissue Contributes to Cardiac Repair: A Review. Stem Cell Rev. Rep. 2021, 17, 1137–1153. [Google Scholar]
  7. Gabriela, B.; Miksztowicz, V.; Morales, C.; Barchuk, M. Epicardial Adipose Tissue in Cardiovascular Disease. Adv. Exp. Med. Biol. 2019, 1127, 131–143. [Google Scholar]
  8. Monti, C.B.; Codari, M.; de Cecco, C.N.; Secchi, F.; Sardanelli, F.; Stillman, A.E. Novel Imaging Biomarkers: Epicardial Adipose Tissue Evaluation. Br. J. Radiol. 2020, 93, 20190770. [Google Scholar] [CrossRef]
  9. Vishal, V.; Blythe, H.; Wood, E.G.; Sandhar, B.; Sarker, S.-J.; Balmforth, D.; Ambekar, S.G.; Yap, J.; Edmondson, S.J.; di Salvo, C.; et al. Obesity and Diabetes Are Major Risk Factors for Epicardial Adipose Tissue Inflammation. JCI Insight 2021, 6, 16. [Google Scholar]
  10. McLaughlin, T.; Schnittger, I.; Nagy, A.; Zanley, E.; Xu, Y.; Song, Y.; Nieman, K.; Tremmel, J.A.; Dey, D.; Boyd, J.; et al. Relationship between Coronary Atheroma, Epicardial Adipose Tissue Inflammation, and Adipocyte Differentiation across the Human Myocardial Bridge. J. Am. Heart Assoc. 2021, 10, e021003. [Google Scholar] [CrossRef]
  11. Gruzdeva, O.V.; Dyleva, Y.A.; Belik, E.V.; Sinitsky, M.Y.; Stasev, A.N.; Kokov, A.N.; Brel, N.K.; Krivkina, E.O.; Bychkova, E.E.; Tarasov, R.S.; et al. Relationship between Epicardial and Coronary Adipose Tissue and the Expression of Adiponectin, Leptin, and Interleukin 6 in Patients with Coronary Artery Disease. J. Pers. Med. 2022, 12, 129. [Google Scholar] [CrossRef]
  12. Tanaka, K.; Fukuda, D.; Sata, M. Roles of Epicardial Adipose Tissue in the Pathogenesis of Coronary Atherosclerosis—An Update on Recent Findings. Circ. J. 2020, 85, 2–8. [Google Scholar] [CrossRef]
  13. Ayton, S.L.; Gulsin, G.S.; McCann, G.P.; Moss, A.J. Epicardial Adipose Tissue in Obesity-Related Cardiac Dysfunction. Heart 2022, 108, 339–344. [Google Scholar] [CrossRef] [PubMed]
  14. Konwerski, M.; Gąsecka, A.; Opolski, G.; Grabowski, M.; Mazurek, T. Role of Epicardial Adipose Tissue in Cardiovascular Diseases: A Review. Biology 2022, 11, 355. [Google Scholar] [CrossRef] [PubMed]
  15. Yuvaraj, J.; Cheng, K.; Lin, A.; Psaltis, P.J.; Nicholls, S.J.; Wong, D.T.L. The Emerging Role of Ct-Based Imaging in Adipose Tissue and Coronary Inflammation. Cells 2021, 10, 1196. [Google Scholar] [CrossRef] [PubMed]
  16. Guglielmo, M.; Lin, A.; Dey, D.; Baggiano, A.; Fusini, L.; Muscogiuri, G.; Pontone, G. Epicardial Fat and Coronary Artery Disease: Role of Cardiac Imaging. Atherosclerosis 2021, 321, 30–38. [Google Scholar] [CrossRef]
  17. Bettencourt, N.; Toschke, A.M.; Leite, D.; Rocha, J.; Carvalho, M.; Sampaio, F.; Xará, S.; Leite-Moreira, A.; Nagel, E.; Gama, V. Epicardial Adipose Tissue Is an Independent Predictor of Coronary Atherosclerotic Burden. Int. J. Cardiol. 2012, 158, 26–32. [Google Scholar] [CrossRef]
  18. Ledda, R.E.; Milanese, G.; Sverzellati, N. Might Eat Composition Help to Predict Coronary Artery Disease Severity? Int. J. Cardiol. 2021, 327, 39. [Google Scholar] [CrossRef]
  19. Ansaldo, A.M.; Montecucco, F.; Sahebkar, A.; Dallegri, F.; Carbone, F. Epicardial Adipose Tissue and Cardiovascular Diseases. Int. J. Cardiol. 2019, 278, 254–260. [Google Scholar] [CrossRef]
  20. Madonna, R.; Massaro, M.; Scoditti, E.; Pescetelli, I.; de Caterina, R. The Epicardial Adipose Tissue and the Coronary Arteries: Dangerous Liaisons. Cardiovasc. Res. 2019, 115, 1013–1025. [Google Scholar] [CrossRef]
  21. Russo, R.; di Iorio, B.; di Lullo, L.; Russo, D. Epicardial Adipose Tissue: New Parameter for Cardiovascular Risk Assessment in High Risk Populations. J. Nephrol. 2018, 31, 847–853. [Google Scholar] [CrossRef] [PubMed]
  22. Yamada, H. Epicardial Adipose Tissue Volume Is Not a Simple Marker of Coronary Artery Disease. Int. J. Cardiol. 2021, 322, 45. [Google Scholar] [CrossRef] [PubMed]
  23. Karampetsou, N.; Alexopoulos, L.; Minia, A.; Pliaka, V.; Tsolakos, N.; Kontzoglou, K.; Perrea, D.N.; Patapis, P. Epicardial Adipose Tissue as an Independent Cardiometabolic Risk Factor for Coronary Artery Disease. Cureus 2022, 14, e25578. [Google Scholar] [CrossRef] [PubMed]
  24. Mancio, J.; Azevedo, D.; Saraiva, F.; Azevedo, A.I.; Pires-Morais, G.; Leite-Moreira, A.; Falcao-Pires, I.; Lunet, N.; Bettencourt, N. Epicardial Adipose Tissue Volume Assessed by Computed Tomography and Coronary Artery Disease: A Systematic Review and Meta-Analysis. Eur. Heart J. Cardiovasc. Imaging 2018, 19, 490–497. [Google Scholar] [CrossRef] [PubMed]
  25. Hajsadeghi, F.; Nabavi, V.; Bhandari, A.; Choi, A.; Vincent, H.; Flores, F.; Budoff, M.; Ahmadi, N. Increased Epicardial Adipose Tissue Is Associated with Coronary Artery Disease and Major Adverse Cardiovascular Events. Atherosclerosis 2014, 237, 486–489. [Google Scholar] [CrossRef]
  26. Page, M.J.; McKenzie, J.E.; Bossuyt, P.M.; Boutron, I.; Hoffmann, T.C.; Mulrow, C.D.; Shamseer, L.; Tetzlaff, J.M.; Akl, E.A.; Brennan, S.E.; et al. The Prisma 2020 Statement: An Updated Guideline for Reporting Systematic Reviews. BMJ 2021, 372, n71. [Google Scholar] [CrossRef]
  27. Tachibana, M.; Miyoshi, T.; Osawa, K.; Toh, N.; Oe, H.; Nakamura, K.; Naito, T.; Sato, S.; Kanazawa, S.; Ito, H. Measurement of Epicardial Fat Thickness by Transthoracic Echocardiography for Predicting High-Risk Coronary Artery Plaques. Heart Vessel. 2016, 31, 1758–1766. [Google Scholar] [CrossRef]
  28. Xiao, J.; Lu, Y.; Yang, X. Ultrasound Detection of Epicardial Adipose Tissue Combined with Ischemic Modified Albumin in the Diagnosis of Coronary Heart Disease. Heart Surg. Forum 2020, 23, E461–E464. [Google Scholar] [CrossRef]
  29. Jia, S.; Liu, Y.; Yuan, J. Evidence in Guidelines for Treatment of Coronary Artery Disease. Adv. Exp. Med. Biol. 2020, 1177, 37–73. [Google Scholar]
  30. Tran, T.; Small, G.; Cocker, M.; Yam, Y.; Chow, B.J.W. A Single Slice Measure of Epicardial Adipose Tissue Can Serve as an Indirect Measure of Total Epicardial Adipose Tissue Burden and Is Associated with Obstructive Coronary Artery Disease. Eur. Heart J. Cardiovasc. Imaging 2014, 15, 423–430. [Google Scholar] [CrossRef]
  31. Morales-Portano, J.D.; Peraza-Zaldivar, J.Á.; Suárez-Cuenca, J.A.; Aceves-Millán, R.; Amezcua-Gómez, L.; Ixcamparij-Rosales, C.H.; Trujillo-Cortés, R.; Robledo-Nolasco, R.; Mondragón-Terán, P.; de Vaca, R.P.; et al. Echocardiographic Measurements of Epicardial Adipose Tissue and Comparative Ability to Predict Adverse Cardiovascular Outcomes in Patients with Coronary Artery Disease. Int. J. Cardiovasc. Imaging 2018, 34, 1429–1437. [Google Scholar] [CrossRef] [PubMed]
  32. Muthalaly, R.G.; Nerlekar, N.; Wong, D.T.L.; Cameron, J.D.; Seneviratne, S.K.; Ko, B.S. Epicardial Adipose Tissue and Myocardial Ischemia Assessed by Computed Tomography Perfusion Imaging and Invasive Fractional Flow Reserve. J. Cardiovasc. Comput. Tomogr. 2017, 11, 46–53. [Google Scholar] [CrossRef]
  33. Nabati, M.; Saffar, N.; Yazdani, J.; Parsaee, M.S. Relationship between Epicardial Fat Measured by Echocardiography and Coronary Atherosclerosis: A Single-Blind Historical Cohort Study. Echocardiography 2013, 30, 505–511. [Google Scholar] [CrossRef] [PubMed]
  34. Shambu, S.K.; Desai, N.; Sundaresh, N.; Babu, M.S.; Madhu, B.; Gona, O.J. Study of Correlation between Epicardial Fat Thickness and Severity of Coronary Artery Disease. Indian Heart J. 2020, 72, 445–447. [Google Scholar] [CrossRef] [PubMed]
  35. Rajani, R.; Shmilovich, H.; Nakazato, R.; Nakanishi, R.; Otaki, Y.; Cheng, V.Y.; Hayes, S.W.; Thomson, L.E.J.; Friedman, J.D.; Slomka, P.J.; et al. Relationship of Epicardial Fat Volume to Coronary Plaque, Severe Coronary Stenosis, and High-Risk Coronary Plaque Features Assessed by Coronary Ct Angiography. J. Cardiovasc. Comput. Tomogr. 2013, 7, 125–132. [Google Scholar] [CrossRef] [PubMed]
  36. Hassan, M.; Said, K.; Rizk, H.; ElMogy, F.; Donya, M.; Houseni, M.; Yacoub, M. Segmental Peri-Coronary Epicardial Adipose Tissue Volume and Coronary Plaque Characteristics. Eur. Heart J. Cardiovasc. Imaging 2016, 17, 1169–1177. [Google Scholar] [CrossRef]
  37. Hirata, Y.; Yamada, H.; Kusunose, K.; Iwase, T.; Nishio, S.; Hayashi, S.; Bando, M.; Amano, R.; Yamaguchi, K.; Soeki, T.; et al. Clinical Utility of Measuring Epicardial Adipose Tissue Thickness with Echocardiography Using a High-Frequency Linear Probe in Patients with Coronary Artery Disease. J. Am. Soc. Echocardiogr. 2015, 28, 10. [Google Scholar] [CrossRef]
  38. Chen, O.; Sharma, A.; Ahmad, I.; Bourji, N.; Nestoiter, K.; Hua, P.; Hua, B.; Ivanov, A.; Yossef, J.; Klem, I.; et al. Correlation between Pericardial, Mediastinal, and Intrathoracic Fat Volumes with the Presence and Severity of Coronary Artery Disease, Metabolic Syndrome, and Cardiac Risk Factors. Eur. Heart J. Cardiovasc. Imaging 2015, 16, 37–46. [Google Scholar] [CrossRef]
  39. Cabrera-Rego, J.O. Echocardiographic Measurement of Epicardial Fat Thickness: In Search for a Consensus/Correlation of Echocardiographic Epicardial Fat Thickness with Severity of Coronary Artery Disease-an Observational Study. Anadolu Kardiyol. Derg. 2012, 12, 5. [Google Scholar]
  40. Okura, K.; Maeno, K.; Okura, S.; Takemori, H.; Toya, D.; Tanaka, N.; Miyayama, S. Pericardial Fat Volume Is an Independent Risk Factor for the Severity of Coronary Artery Disease in Patients with Preserved Ejection Fraction. J. Cardiol. 2015, 65, 37–41. [Google Scholar] [CrossRef]
  41. Sulava, E.F.; Johnson, J.C. Management of Coronary Artery Disease. Surg. Clin. North Am. 2022, 102, 449–464. [Google Scholar] [CrossRef] [PubMed]
  42. Iacobellis, G.; Willens, H.J. Echocardiographic Epicardial Fat: A Review of Research and Clinical Applications. J. Am. Soc. Echocardiogr. 2009, 22, 12. [Google Scholar] [CrossRef] [PubMed]
  43. Rosito, G.A.; Massaro, J.M.; Hoffmann, U.; Ruberg, F.L.; Mahabadi, A.A.; Vasan, R.S.; O’Donnell, C.J.; Fox, C.S. Pericardial Fat, Visceral Abdominal Fat, Cardiovascular Disease Risk Factors, and Vascular Calcification in a Community-Based Sample: The Framingham Heart Study. Circulation 2008, 117, 605–613. [Google Scholar] [CrossRef] [PubMed]
  44. Sarin, S.; Wenger, C.; Marwaha, A.; Qureshi, A.; Go, B.D.M.; Woomert, C.A.; Clark, K.; Nassef, L.A.; Shirani, J. Clinical Significance of Epicardial Fat Measured Using Cardiac Multislice Computed Tomography. Am. J. Cardiol. 2008, 102, 767–771. [Google Scholar] [CrossRef] [PubMed]
  45. Tsushima, H.; Yamamoto, H.; Kitagawa, T.; Urabe, Y.; Tatsugami, F.; Awai, K.; Kihara, Y. Association of Epicardial and Abdominal Visceral Adipose Tissue with Coronary Atherosclerosis in Patients with a Coronary Artery Calcium Score of Zero. Circ. J. 2015, 79, 1084–1091. [Google Scholar] [CrossRef]
  46. Wang, J.; Wang, L.; Peng, Y.; Zhang, L.; Jiang, S.; Gong, J. Association of Pericardial Adipose Tissue Volume with Presence and Severity of Coronary Atherosclerosis. Clin. Invest. Med. 2013, 36, E143–E150. [Google Scholar] [CrossRef]
  47. Konishi, M.; Sugiyama, S.; Sugamura, K.; Nozaki, T.; Ohba, K.; Matsubara, J.; Matsuzawa, Y.; Sumida, H.; Nagayoshi, Y.; Nakaura, T.; et al. Association of Pericardial Fat Accumulation Rather Than Abdominal Obesity with Coronary Atherosclerotic Plaque Formation in Patients with Suspected Coronary Artery Disease. Atherosclerosis 2010, 209, 573–578. [Google Scholar] [CrossRef]
  48. Djaberi, R.; Schuijf, J.D.; van Werkhoven, J.M.; Nucifora, G.; Jukema, J.W.; Bax, J.J. Relation of Epicardial Adipose Tissue to Coronary Atherosclerosis. Am. J. Cardiol. 2008, 102, 1602–1607. [Google Scholar] [CrossRef]
  49. Nakazato, R.; Dey, D.; Cheng, V.Y.; Gransar, H.; Slomka, P.J.; Hayes, S.W.; Thomson, L.E.J.; Friedman, J.D.; Min, J.K.; Berman, D.S. Epicardial Fat Volume and Concurrent Presence of Both Myocardial Ischemia and Obstructive Coronary Artery Disease. Atherosclerosis 2012, 221, 422–426. [Google Scholar] [CrossRef]
  50. Harada, K.; Amano, T.; Kataoka, T.; Takeshita, M.; Harada, K.; Kunimura, A.; Takayama, Y.; Shinoda, N.; Kato, B.; Uetani, T.; et al. Impact of Abdominal and Epicardial Fat on the Association between Plasma Adipocytokine Levels and Coronary Atherosclerosis in Non-Obese Patients. Atherosclerosis 2014, 237, 671–676. [Google Scholar] [CrossRef]
  51. Kunita, E.; Yamamoto, H.; Kitagawa, T.; Ohashi, N.; Oka, T.; Utsunomiya, H.; Urabe, Y.; Tsushima, H.; Awai, K.; Budoff, M.J.; et al. Prognostic Value of Coronary Artery Calcium and Epicardial Adipose Tissue Assessed by Non-Contrast Cardiac Computed Tomography. Atherosclerosis 2014, 233, 447–453. [Google Scholar] [CrossRef] [PubMed]
  52. Iwasaki, K.; Matsumoto, T.; Aono, H.; Furukawa, H.; Samukawa, M. Relationship between Epicardial Fat Measured by 64-Multidetector Computed Tomography and Coronary Artery Disease. Clin. Cardiol. 2011, 34, 166–171. [Google Scholar] [CrossRef] [PubMed]
  53. Bachar, G.N.; Dicker, D.; Kornowski, R.; Atar, E. Epicardial Adipose Tissue as a Predictor of Coronary Artery Disease in Asymptomatic Subjects. Am. J. Cardiol. 2012, 110, 534–538. [Google Scholar] [CrossRef]
  54. Meenakshi, K.; Rajendran, M.; Srikumar, S.; Chidambaram, S. Epicardial Fat Thickness: A Surrogate Marker of Coronary Artery Disease—Assessment by Echocardiography. Indian Heart J. 2016, 68, 336–341. [Google Scholar] [CrossRef]
  55. Ahn, S.G.; Lim, H.S.; Joe, D.Y.; Kang, S.J.; Choi, B.J.; Choi, S.Y.; Yoon, M.H.; Hwang, G.S.; Tahk, S.J.; Shin, J.H. Relationship of Epicardial Adipose Tissue by Echocardiography to Coronary Artery Disease. Heart 2008, 94, e7. [Google Scholar] [CrossRef]
  56. Harada, K.; Amano, T.; Uetani, T.; Tokuda, Y.; Kitagawa, K.; Shimbo, Y.; Kunimura, A.; Kumagai, S.; Yoshida, T.; Kato, B.; et al. Cardiac 64-Multislice Computed Tomography Reveals Increased Epicardial Fat Volume in Patients with Acute Coronary Syndrome. Am. J. Cardiol. 2011, 108, 1119–1123. [Google Scholar] [CrossRef]
  57. Mahabadi, A.A.; Balcer, B.; Dykun, I.; Forsting, M.; Schlosser, T.; Heusch, G.; Rassaf, T. Cardiac Computed Tomography-Derived Epicardial Fat Volume and Attenuation Independently Distinguish Patients with and without Myocardial Infarction. PLoS ONE 2017, 12, e0183514. [Google Scholar] [CrossRef]
  58. Hell, M.M.; Ding, X.; Rubeaux, M.; Slomka, P.; Gransar, H.; Terzopoulos, D.; Hayes, S.; Marwan, M.; Achenbach, S.; Berman, D.S.; et al. Epicardial Adipose Tissue Volume but Not Density Is an Independent Predictor for Myocardial Ischemia. J. Cardiovasc. Comput. Tomogr. 2016, 10, 141–149. [Google Scholar] [CrossRef]
  59. Tamarappoo, B.; Dey, D.; Shmilovich, H.; Nakazato, R.; Gransar, H.; Cheng, V.Y.; Friedman, J.D.; Hayes, S.W.; Thomson, L.E.J.; Slomka, P.J.; et al. Increased Pericardial Fat Volume Measured from Noncontrast Ct Predicts Myocardial Ischemia by Spect. JACC Cardiovasc. Imaging 2010, 3, 1104–1112. [Google Scholar] [CrossRef]
  60. Fisser, C.; Colling, S.; Debl, K.; Hetzenecker, A.; Sterz, U.; Hamer, O.W.; Fellner, C.; Maier, L.S.; Buchner, S.; Arzt, M. The Impact of Epicardial Adipose Tissue in Patients with Acute Myocardial Infarction. Clin. Res. Cardiol. 2021, 110, 1637–1646. [Google Scholar] [CrossRef]
  61. Shan, D.; Wang, X.; Dou, G.; Zhang, W.; Jing, J.; He, B.; Li, Y.; Chen, Y.; Yang, J. Vascular-Specific Epicardial Adipose Tissue in Predicting Functional Myocardial Ischemia for Patients with Stable Chest Pain. J. Thromb. Thrombolysis 2021, 51, 915–923. [Google Scholar] [CrossRef] [PubMed]
  62. Tanındı, A.; Kocaman, S.A.; Erkan, A.F.; Uğurlu, M.; Alhan, A.; Töre, H.F. Epicardial Adipose Tissue Thickness Is Associated with Myocardial Infarction and Impaired Coronary Perfusion. Anatol. J. Cardiol. 2015, 15, 224–231. [Google Scholar] [CrossRef] [PubMed]
  63. Gaborit, B.; Venteclef, N.; Ancel, P.; Pelloux, V.; Gariboldi, V.; Leprince, P.; Amour, J.; Hatem, S.N.; Jouve, E.; Dutour, A.; et al. Human Epicardial Adipose Tissue Has a Specific Transcriptomic Signature Depending on Its Anatomical Peri-Atrial, Peri-Ventricular, or Peri-Coronary Location. Cardiovasc. Res. 2015, 108, 62–73. [Google Scholar] [CrossRef] [PubMed]
  64. Cherian, S.; Lopaschuk, G.D.; Carvalho, E. Cellular Cross-Talk between Epicardial Adipose Tissue and Myocardium in Relation to the Pathogenesis of Cardiovascular Disease. Am. J. Physiol. Endocrinol. Metab. 2012, 303, E937–E949. [Google Scholar] [CrossRef] [PubMed]
  65. Villasante Fricke, A.C.; Iacobellis, G. Epicardial Adipose Tissue: Clinical Biomarker of Cardio-Metabolic Risk. Int. J. Mol. Sci. 2019, 20, 5989. [Google Scholar] [CrossRef] [PubMed]
  66. Gormez, S.; Demirkan, A.; Atalar, F.; Caynak, B.; Erdim, R.; Sozer, V.; Gunay, D.; Akpinar, B.; Ozbek, U.; Buyukdevrim, A.S. Adipose Tissue Gene Expression of Adiponectin, Tumor Necrosis Factor-A and Leptin in Metabolic Syndrome Patients with Coronary Artery Disease. Intern. Med. 2011, 50, 805–810. [Google Scholar] [CrossRef][Green Version]
  67. Eiras, S.; Teijeira-Fernández, E.; Shamagian, L.G.; Fernandez, A.L.; Vazquez-Boquete, A.; Gonzalez-Juanatey, J.R. Extension of Coronary Artery Disease Is Associated with Increased Il-6 and Decreased Adiponectin Gene Expression in Epicardial Adipose Tissue. Cytokine 2008, 43, 174–180. [Google Scholar] [CrossRef]
  68. Yañez-Rivera, T.G.; Baños-Gonzalez, M.A.; Ble-Castillo, J.L.; Torres-Hernandez, M.E.; Torres-Lopez, J.E.; Borrayo-Sanchez, G. Relationship between Epicardial Adipose Tissue, Coronary Artery Disease and Adiponectin in a Mexican Population. Cardiovasc. Ultrasound 2014, 12, 35. [Google Scholar] [CrossRef]
  69. Zhang, T.; Yang, P.; Li, T.; Gao, J.; Zhang, Y. Leptin Expression in Human Epicardial Adipose Tissue Is Associated with Local Coronary Atherosclerosis. Med. Sci. Monit. 2019, 25, 9913–9922. [Google Scholar] [CrossRef]
  70. Du, Y.; Ji, Q.; Cai, L.; Huang, F.; Lai, Y.; Liu, Y.; Yu, J.; Han, B.; Zhu, E.; Zhang, J.; et al. Association between Omentin-1 Expression in Human Epicardial Adipose Tissue and Coronary Atherosclerosis. Cardiovasc. Diabetol. 2016, 15, 90. [Google Scholar] [CrossRef]
  71. Gruzdeva, O.V.; Belik, E.V.; Dyleva, Y.A.; Borodkina, D.A.; Sinitsky, M.Y.; Naumov, D.Y.; Bychkova, E.E.; Fanaskova, E.V.; Palicheva, E.I.; Kuzmina, A.A.; et al. Expression of Adipocytokines in Heart Fat Depots Depending on the Degree of Coronary Artery Atherosclerosis in Patients with Coronary Artery Disease. PLoS ONE 2021, 16, e0248716. [Google Scholar] [CrossRef] [PubMed]
  72. Iacobellis, G.; Bianco, A.C. Epicardial Adipose Tissue: Emerging Physiological, Pathophysiological and Clinical Features. Trends Endocrinol. Metab. TEM 2011, 22, 450–457. [Google Scholar] [CrossRef] [PubMed]
  73. Ouwens, D.M.; Sell, H.; Greulich, S.; Eckel, J. The Role of Epicardial and Perivascular Adipose Tissue in the Pathophysiology of Cardiovascular Disease. J. Cell. Mol. Med. 2010, 14, 2223–2234. [Google Scholar] [CrossRef] [PubMed]
  74. Luna-Luna, M.; Medina-Urrutia, A.; Vargas-Alarcón, G.; Coss-Rovirosa, F.; Vargas-Barrón, J.; Pérez-Méndez, Ó. Adipose Tissue in Metabolic Syndrome: Onset and Progression of Atherosclerosis. Arch. Med. Res. 2015, 46, 392–407. [Google Scholar] [CrossRef]
  75. Packer, M. Epicardial Adipose Tissue May Mediate Deleterious Effects of Obesity and Inflammation on the Myocardium. J. Am. Coll. Cardiol. 2018, 71, 2360–2372. [Google Scholar] [CrossRef]
  76. Iwayama, T.; Nitobe, J.; Watanabe, T.; Ishino, M.; Tamura, H.; Nishiyama, S.; Takahashi, H.; Arimoto, T.; Shishido, T.; Miyashita, T.; et al. Role of Epicardial Adipose Tissue in Coronary Artery Disease in Non-Obese Patients. J. Cardiol. 2014, 63, 344–349. [Google Scholar] [CrossRef]
  77. Lu, Y.; Wang, T.; Zhan, R.; Wang, X.; Ruan, X.; Qi, R.; Huang, S. Effects of Epicardial Adipose Tissue Volume and Density on Cardiac Structure and Function in Patients Free of Coronary Artery Disease. Jpn. J. Radiol. 2020, 38, 666–675. [Google Scholar] [CrossRef]
  78. Liu, Z.; Wang, S.; Wang, Y.; Zhou, N.; Shu, J.; Stamm, C.; Jiang, M.; Luo, F. Association of Epicardial Adipose Tissue Attenuation with Coronary Atherosclerosis in Patients with a High Risk of Coronary Artery Disease. Atherosclerosis 2019, 284, 230–236. [Google Scholar] [CrossRef]
  79. Petrini, M.; Alì, M.; Cannaò, P.M.; Zambelli, D.; Cozzi, A.; Codari, M.; Malavazos, A.E.; Secchi, F.; Sardanelli, F. Epicardial Adipose Tissue Volume in Patients with Coronary Artery Disease or Non-Ischaemic Dilated Cardiomyopathy: Evaluation with Cardiac Magnetic Resonance Imaging. Clin. Radiol. 2019, 74, e1–e81. [Google Scholar] [CrossRef]
  80. Mazurek, T.; Kobylecka, M.; Zielenkiewicz, M.; Kurek, A.; Kochman, J.; Filipiak, K.J.; Mazurek, K.; Huczek, Z.; Królicki, L.; Opolski, G. Pet/Ct Evaluation of F-Fdg Uptake in Pericoronary Adipose Tissue in Patients with Stable Coronary Artery Disease: Independent Predictor of Atherosclerotic Lesions’ Formation? J. Nucl. Cardiol. 2017, 24, 1075–1084. [Google Scholar] [CrossRef]
  81. Iacobellis, G.; Willens, H.J.; Barbaro, G.; Sharma, A.M. Threshold Values of High-Risk Echocardiographic Epicardial Fat Thickness. Obesity 2008, 16, 887–892. [Google Scholar] [CrossRef] [PubMed]
  82. Sade, L.E.; Eroglu, S.; Bozbaş, H.; Ozbiçer, S.; Hayran, M.; Haberal, A.; Müderrisoğlu, H. Relation between Epicardial Fat Thickness and Coronary Flow Reserve in Women with Chest Pain and Angiographically Normal Coronary Arteries. Atherosclerosis 2009, 204, 580–585. [Google Scholar] [CrossRef] [PubMed]
  83. Jeong, J.-W.; Jeong, M.H.; Yun, K.H.; Oh, S.K.; Park, E.M.; Kim, Y.K.; Rhee, S.J.; Lee, E.M.; Lee, J.; Yoo, N.J.; et al. Echocardiographic Epicardial Fat Thickness and Coronary Artery Disease. Circ. J. 2007, 71, 536–539. [Google Scholar] [CrossRef] [PubMed]
  84. Antonini-Canterin, F.; Pellegrinet, M.; Marinigh, R.; Favretto, G. Role of Cardiovascular Ultrasound in the Evaluation of Obese Subjects. J. Cardiovasc. Echogr. 2014, 24, 67–71. [Google Scholar] [CrossRef] [PubMed]
  85. Nerlekar, N.; Baey, Y.-W.; Brown, A.J.; Muthalaly, R.G.; Dey, D.; Tamarappoo, B.; Cameron, J.D.; Marwick, T.H.; Wong, D.T. Poor Correlation, Reproducibility, and Agreement between Volumetric Versus Linear Epicardial Adipose Tissue Measurement: A 3d Computed Tomography Versus 2d echocardiography comparison. JACC Cardiovasc. Imaging 2018, 11, 1035–1036. [Google Scholar] [CrossRef]
  86. Ridker, P.M.; Libby, P.; MacFadyen, J.G.; Thuren, T.; Ballantyne, C.; Fonseca, F.; Koenig, W.; Shimokawa, H.; Everett, B.M.; Glynn, R.J. Modulation of the Interleukin-6 Signalling Pathway and Incidence Rates of Atherosclerotic Events and All-Cause Mortality: Analyses from the Canakinumab Anti-Inflammatory Thrombosis Outcomes Study (Cantos). Eur. Heart J. 2018, 39, 3499–3507. [Google Scholar] [CrossRef]
  87. Parisi, V.; Petraglia, L.; Formisano, R.; Caruso, A.; Grimaldi, M.G.; Bruzzese, D.; Grieco, F.V.; Conte, M.; Paolillo, S.; Scatteia, A.; et al. Validation of the Echocardiographic Assessment of Epicardial Adipose Tissue Thickness at the Rindfleisch Fold for the Prediction of Coronary Artery Disease. Nutr. Metab. Cardiovasc. Dis. 2020, 30, 99–105. [Google Scholar] [CrossRef]
Figure 1. Flow chart of study selection in the meta-analysis.
Figure 1. Flow chart of study selection in the meta-analysis.
Jcdd 09 00253 g001
Figure 2. SMD by EAT volume between CAD patients and non−CAD patients. (A): Forest plot; (B): funnel plot.
Figure 2. SMD by EAT volume between CAD patients and non−CAD patients. (A): Forest plot; (B): funnel plot.
Jcdd 09 00253 g002
Figure 3. SMD by EAT thickness between CAD patients and non−CAD patients. (A) Forest plot; (B) funnel plot.
Figure 3. SMD by EAT thickness between CAD patients and non−CAD patients. (A) Forest plot; (B) funnel plot.
Jcdd 09 00253 g003
Figure 4. SMD of EAT volume between CAD patients and non−CAD patients after sensitivity analysis. (A): Forest plot; (B) funnel plot.
Figure 4. SMD of EAT volume between CAD patients and non−CAD patients after sensitivity analysis. (A): Forest plot; (B) funnel plot.
Jcdd 09 00253 g004
Figure 5. SMD of EAT volume between patients with severe CAD and mild / moderate CAD. (A): Forest plot; (B): funnel plot.
Figure 5. SMD of EAT volume between patients with severe CAD and mild / moderate CAD. (A): Forest plot; (B): funnel plot.
Jcdd 09 00253 g005
Figure 6. SMD of EAT thickness between patients with severe CAD and mild/moderate CAD. (A): Forest plot; (B): funnel plot.
Figure 6. SMD of EAT thickness between patients with severe CAD and mild/moderate CAD. (A): Forest plot; (B): funnel plot.
Jcdd 09 00253 g006
Figure 7. SMD of EAT volume between patients with severe CAD and mild/moderate CAD after sensitivity analysis. (A): Forest plot; (B): funnel plot.
Figure 7. SMD of EAT volume between patients with severe CAD and mild/moderate CAD after sensitivity analysis. (A): Forest plot; (B): funnel plot.
Jcdd 09 00253 g007
Table 1. Characteristics of included studies in the meta-analysis.
Table 1. Characteristics of included studies in the meta-analysis.
AuthorYearCountryStudy PeriodNMale (%)Age (yr)MethodExpressionStudy TypeQuality Score
Hiroshi Tsushima et al. [45]2015Japan01/2008–04/20133525761 ± 11CTVolumeRetrospective6
Jing Wang et al. [46]2013China12/2006–01/201031068.462.69 ± 10.78CTVolumeRetrospective6
Masaaki Konishi et al. [47]2009Japan04/2006–12/20081715960 ± 11CTVolumeRetrospective7
Roxana Djaberi et al. [48]2008The NetherlandsNA1905556 ± 12CTVolumeRetrospective7
Ryo Nakazato et al. [49]2012USANA9268.571 ± 11CTVolumeRetrospective8
Ken Harada et al. [50]2014Japan01/2008–02/20091647065 ± 10CTVolumeRetrospective6
Eiji Kunital et al. [51]2014Japan11/2004–09/20097226165.0 ± 10.9CTVolumeRetrospective6
Kohichiro Iwasaki et al. [52]2011Japan06/2008–05/200919762.465.1 ± 9.9CTVolumeRetrospective6
Gil N. Bachar et al. [53]2012Israel11/2007–01/200919085.356.48 ± 9.2CTThicknessRetrospective6
K. Meenakshi et al. [54]2016IndiaNA11063.652.6 ± 0.6EchoThicknessRetrospective6
S-G Ahn et al. [55]2007KoreaNA52750.758 ± 11EchoThicknessProspective8
Sunil Kumar Shambu et al. [34]2020India02/2017–01/201950336.659.8 ± 12.3CTThicknessRetrospective6
Jiandong Xiao et al. [28]2020China05/2017–12/201824095.456.66 ± 8.33EchoThicknessRetrospective6
Ken Harada et al. [56]2011Japan2009–20101707765 ± 12CTVolumeProspective6
Amir Abbas Mahabadi et al. [57]2017Germany2010–20159460.666.9 ± 14.7CTVolumeRetrospective6
Michaela M. Hell et al. [58]2016Germany2002–20082139060 ± 10CTVolumeProspective7
Balaji Tamarappoo et al. [59]2010AmericanNA21990.460.3 ± 10.4SPECTVolumeProspective7
Christoph Fisser et al. [60]2021GermanyNA6683.355 ± 10CTVolumeProspective6
Dongkai Shan et al. [61]2020China2012–201613866.761.7 ± 8.9CTVolumeRetrospective8
Julieta D. MoralesPorta et al. [31]2018Korea2013–201610780.463.6 ± 9.67EchoThicknessProspective8
Aslı Tanınd et al. [62]2015Turkey2012–20122008063 ± 13EchoThicknessProspective8
Publisher’s Note: MDPI stays neutral with regard to jurisdictional claims in published maps and institutional affiliations.

Share and Cite

MDPI and ACS Style

Wang, Q.; Chi, J.; Wang, C.; Yang, Y.; Tian, R.; Chen, X. Epicardial Adipose Tissue in Patients with Coronary Artery Disease: A Meta-Analysis. J. Cardiovasc. Dev. Dis. 2022, 9, 253. https://doi.org/10.3390/jcdd9080253

AMA Style

Wang Q, Chi J, Wang C, Yang Y, Tian R, Chen X. Epicardial Adipose Tissue in Patients with Coronary Artery Disease: A Meta-Analysis. Journal of Cardiovascular Development and Disease. 2022; 9(8):253. https://doi.org/10.3390/jcdd9080253

Chicago/Turabian Style

Wang, Qingpeng, Jiangyang Chi, Chen Wang, Yun Yang, Rui Tian, and Xinzhong Chen. 2022. "Epicardial Adipose Tissue in Patients with Coronary Artery Disease: A Meta-Analysis" Journal of Cardiovascular Development and Disease 9, no. 8: 253. https://doi.org/10.3390/jcdd9080253

APA Style

Wang, Q., Chi, J., Wang, C., Yang, Y., Tian, R., & Chen, X. (2022). Epicardial Adipose Tissue in Patients with Coronary Artery Disease: A Meta-Analysis. Journal of Cardiovascular Development and Disease, 9(8), 253. https://doi.org/10.3390/jcdd9080253

Note that from the first issue of 2016, this journal uses article numbers instead of page numbers. See further details here.

Article Metrics

Back to TopTop