Imaging Predictors of Left Ventricular Functional Recovery after Reperfusion Therapy of ST-Elevation Myocardial Infarction Assessed by Cardiac Magnetic Resonance
Abstract
1. Background
2. Methods and Materials
2.1. Study Design and Patient Population
2.2. Cardiac Magnetic Resonance
2.3. Image Analysis
2.4. Statistical Analysis
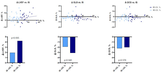
3. Results
4. Discussion
- AAR (quantified using T2-weighted images) and IS (quantified using LGE images) predict LVEF and LV GLS but not LV GCS improvement after STEMI;
- Acute myocardial injury characteristics quantified by CMR correlate with the extent of LV systolic dysfunction in the acute STEMI phase;
- MSI is associated with improvement in LV GCS after acute STEMI.
4.1. Myocardial Area-at-Risk
4.2. Quantification of Myocardial Scar Using Late Enhancement Imaging
4.3. Myocardial Salvage Index
5. Limitations
6. Conclusions
Author Contributions
Funding
Institutional Review Board Statement
Informed Consent Statement
Data Availability Statement
Acknowledgments
Conflicts of Interest
Abbreviations
| AAR | Area at risk |
| CMR | Cardiovascular magnetic resonance |
| CRP | C-reactive protein |
| FT | Feature tracking |
| GCS | Global circumferential strain |
| GLS | Global longitudinal strain |
| IS | Infarct size |
| LGE | Late gadolinium enhancement |
| LV | Left ventricle/left ventricular |
| LVEF | Left ventricular ejection fraction |
| MI | Myocardial infarction |
| MSI | Myocardial salvage index |
| MVO | Microvascular obstruction |
| PPCI | Primary percutaneous coronary intervention |
| STEMI | ST-segment elevation myocardial infarction |
References
- Ibanez, B.; James, S.; Agewall, S.; Antunes, M.J.; Bucciarelli-Ducci, C.; Bueno, H.; Caforio, A.L.P.; Crea, F.; Goudevenos, J.A.; Halvorsen, S.; et al. 2017 ESC Guidelines for the management of acute myocardial infarction in patients presenting with ST-segment elevation. Eur. Heart J. 2018, 39, 119–177. [Google Scholar] [CrossRef] [PubMed]
- Figtree, G.A.; Vernon, S.T.; Hadziosmanovic, N.; Sundström, J.; Alfredsson, J.; Arnott, C.; Delatour, V.; Leósdóttir, M.; Hagström, E. Mortality in STEMI patients without standard modifiable risk factors: A sex-disaggregated analysis of SWEDEHEART registry data. Lancet 2021, 397, 1085–1094. [Google Scholar] [CrossRef] [PubMed]
- Nepper-Christensen, L.; Lønborg, J.; Høfsten, D.E.; Ahtarovski, K.A.; Bang, L.E.; Helqvist, S.; Kyhl, K.; Køber, L.; Kelbæk, H.; Vejlstrup, N.; et al. Benefit from reperfusion with primary percutaneous coronary intervention beyond 12 hours of symptom duration in patients with ST-segment-elevation myocardial infarction. Circ. Cardiovasc. Interv. 2018, 11, e006842. [Google Scholar] [CrossRef] [PubMed]
- Daubert, M.A.; White, J.A.; Al-Khalidi, H.R.; Velazquez, E.J.; Rao, S.V.; Crowley, A.L.; Zeymer, U.; Kasprzak, J.D.; Guetta, V.; Krucoff, M.W.; et al. Cardiac remodeling after large ST-elevation myocardial infarction in the current therapeutic era: Cardiac Remodeling after STEMI. Am. Heart J. 2020, 223, 87–97. [Google Scholar] [CrossRef]
- van der Bijl, P.; Abou, R.; Goedemans, L.; Gersh, B.J.; Holmes, D.R.; Ajmone Marsan, N.; Delgado, V.; Bax, J.J. Left ventricular remodelling after ST-segment elevation myocardial infarction: Sex differences and prognosis. ESC Heart Fail. 2020, 7, 474–481. [Google Scholar] [CrossRef]
- Pfeffer, M.A.; Braunwald, E. Ventricular remodeling after myocardial infarction: Experimental observations and clinical implications. Circulation 1990, 81, 1161–1172. [Google Scholar] [CrossRef]
- Podlesnikar, T.; Pizarro, G.; Fernández-Jiménez, R.; Montero-Cabezas, J.M.; Greif, N.; Sánchez-González, J.; Bucciarelli-Ducci, C.; Marsan, N.A.; Fras, Z.; Bax, J.J.; et al. Left ventricular functional recovery of infarcted and remote myocardium after ST-segment elevation myocardial infarction (METOCARD-CNIC randomized clinical trial substudy). J. Cardiovasc. Magn. Reson. 2020, 22, 44. [Google Scholar] [CrossRef]
- Sheriff, A.; Kayser, S.; Brunner, P.; Vogt, B. C-Reactive Protein Triggers Cell Death in Ischemic Cells. Front. Immunol. 2021, 12, 630430. [Google Scholar] [CrossRef]
- Ries, W.; Torzewski, J.; Heigl, F.; Pfluecke, C.; Kelle, S.; Darius, H.; Ince, H.; Mitzner, S.; Nordbeck, P.; Butter, C.; et al. C-Reactive Protein Apheresis as Anti-inflammatory Therapy in Acute Myocardial Infarction: Results of the CAMI-1 Study. Front. Cardiovasc. Med. 2021, 8, 591714. [Google Scholar] [CrossRef]
- Marcos-Garces, V.; Gavara, J.; Lopez-Lereu, M.P.; Monmeneu, J.V.; Rios-Navarro, C.; De Dios, E.; Perez, N.; Cànoves, J.; Gonzalez, J.; Minana, G.; et al. Ejection Fraction by Echocardiography for a Selective Use of Magnetic Resonance after Infarction. Circ. Cardiovasc. Imaging 2020, 13, e01149. [Google Scholar] [CrossRef]
- Bochaton, T.; Lassus, J.; Paccalet, A.; Derimay, F.; Rioufol, G.; Prieur, C.; Bonnefoy-Cudraz, E.; da Silva, C.C.; Bernelin, H.; Amaz, C.; et al. Association of myocardial hemorrhage and persistent microvascular obstruction with circulating inflammatory biomarkers in STEMI patients. PLoS ONE 2021, 16, e0245684. [Google Scholar] [CrossRef] [PubMed]
- Redfors, B.; Mohebi, R.; Giustino, G.; Chen, S.; Selker, H.P.; Thiele, H.; Patel, M.R.; Udelson, J.E.; Ohman, E.M.; Eitel, I.; et al. Time Delay, Infarct Size, and Microvascular Obstruction after Primary Percutaneous Coronary Intervention for ST-Segment–Elevation Myocardial Infarction. Circ. Cardiovasc. Interv. 2021, 14, e009879. [Google Scholar] [CrossRef] [PubMed]
- Eitel, I.; Desch, S.; De Waha, S.; Fuernau, G.; Gutberlet, M.; Schuler, G.; Thiele, H. Long-term prognostic value of myocardial salvage assessed by cardiovascular magnetic resonance in acute reperfused myocardial infarction. Heart 2011, 97, 2038–2045. [Google Scholar] [CrossRef]
- Reindl, M.; Tiller, C.; Holzknecht, M.; Lechner, I.; Eisner, D.; Riepl, L.; Pamminger, M.; Henninger, B.; Mayr, A.; Schwaiger, J.P.; et al. Global longitudinal strain by feature tracking for optimized prediction of adverse remodeling after ST-elevation myocardial infarction. Clin. Res. Cardiol. 2021, 110, 61–71. [Google Scholar] [CrossRef] [PubMed]
- Lapinskas, T.; Schnackenburg, B.; Kouwenhoven, M.; Gebker, R.; Berger, A.; Zaliunas, R.; Pieske, B.; Kelle, S. Fatty metaplasia quantification and impact on regional myocardial function as assessed by advanced cardiac MR imaging. Magn. Reson. Mater. Physics Biol. Med. 2018, 31, 75–85. [Google Scholar] [CrossRef] [PubMed]
- Iwahashi, N.; Kirigaya, J.; Abe, T.; Horii, M.; Toya, N.; Hanajima, Y.; Takahashi, H.; Akiyama, E.; Okada, K.; Matsuzawa, Y.; et al. Impact of three-dimensional global longitudinal strain for patients with acute myocardial infarction. Eur. Heart J.—Cardiovasc. Imaging 2020, 81, jeaa241. [Google Scholar] [CrossRef]
- Suinesiaputra, A.; Bluemke, D.A.; Cowan, B.R.; Friedrich, M.G.; Kramer, C.M.; Kwong, R.; Plein, S.; Schulz-Menger, J.; Westenberg, J.J.M.; Young, A.A.; et al. Quantification of LV function and mass by cardiovascular magnetic resonance: Multi-center variability and consensus contours. J. Cardiovasc. Magn. Reson. 2015, 17, 63. [Google Scholar] [CrossRef]
- Cerqueira, M.D.; Weissman, N.J.; Dilsizian, V.; Jacobs, A.K.; Kaul, S.; Laskey, W.K.; Pennell, D.J.; Rumberger, J.A.; Ryan, T.J.; Verani, M.S. Standardized Myocardial Segmentation and Nomenclature for Tomographic Imaging of the Heart. J. Cardiovasc. Magn. Reson. 2002, 4, 203–210. [Google Scholar] [CrossRef]
- Mikami, Y.; Kolman, L.; Joncas, S.X.; Stirrat, J.; Scholl, D.; Rajchl, M.; Lydell, C.P.; Weeks, S.G.; Howarth, A.G.; White, J.A. Accuracy and reproducibility of semi-automated late gadolinium enhancement quantification techniques in patients with hypertrophic cardiomyopathy. J. Cardiovasc. Magn. Reson. 2014, 16, 85. [Google Scholar] [CrossRef]
- Schulz-Menger, J.; Bluemke, D.A.; Bremerich, J.; Flamm, S.D.; Fogel, M.A.; Friedrich, M.G.; Kim, R.J.; Von Knobelsdorff-Brenkenhoff, F.; Kramer, C.M.; Pennell, D.J.; et al. Standardized image interpretation and post-processing in cardiovascular magnetic resonance—2020 update: Society for Cardiovascular Magnetic Resonance (SCMR): Board of Trustees Task Force on Standardized Post-Processing. J. Cardiovasc. Magn. Reson. 2020, 22, 19. [Google Scholar] [CrossRef]
- Garg, P.; Broadbent, D.A.; Swoboda, P.P.; Foley, J.R.J.; Fent, G.J.; Musa, T.A.; Ripley, D.P.; Erhayiem, B.; Dobson, L.E.; McDiarmid, A.K.; et al. Acute Infarct Extracellular Volume Mapping to Quantify Myocardial Area at Risk and Chronic Infarct Size on Cardiovascular Magnetic Resonance Imaging. Circ. Cardiovasc. Imaging 2017, 10, e006182. [Google Scholar] [CrossRef] [PubMed]
- Caturano, A.; Galiero, R.; Pafundi, P.C.; Cesaro, A.; Vetrano, E.; Palmiero, G.; Rinaldi, L.; Salvatore, T.; Marfella, R.; Sardu, C.; et al. Does a strict glycemic control during acute coronary syndrome play a cardioprotective effect? Pathophysiology and clinical evidence. Diabetes Res. Clin. Pract. 2021, 178, 108959. [Google Scholar] [CrossRef] [PubMed]
- Kim, R.J.; Wu, E.; Rafael, A.; Chen, E.L.; Parker, M.A.; Simonetti, O.; Klocke, F.J.; Bonow, R.O.; Judd, R.M. The use of contrast-enhanced magnetic resonance imaging to identify reversible myocardial dysfunction. N. Engl. J. Med. 2000, 343, 1445–1453. [Google Scholar] [CrossRef] [PubMed]
- Dall’Armellina, E.; Karia, N.; Lindsay, A.C.; Karamitsos, T.D.; Ferreira, V.; Robson, M.D.; Kellman, P.; Francis, J.M.; Forfar, C.; Prendergast, B.D.; et al. Dynamic changes of edema and late gadolinium enhancement after acute myocardial infarction and their relationship to functional recovery and salvage index. Circ. Cardiovasc. Imaging 2011, 4, 228–236. [Google Scholar] [CrossRef] [PubMed]
- Mahrholdt, H.; Wagner, A.; Judd, R.M.; Sechtem, U.; Kim, R.J. Delayed enhancement cardiovascular magnetic resonance assessment of non-ischaemic cardiomyopathies. Eur. Heart J. 2005, 26, 1461–1474. [Google Scholar] [CrossRef]
- Eitel, I.; Stiermaier, T.; Lange, T.; Rommel, K.P.; Koschalka, A.; Kowallick, J.T.; Lotz, J.; Kutty, S.; Gutberlet, M.; Hasenfuß, G.; et al. Cardiac Magnetic Resonance Myocardial Feature Tracking for Optimized Prediction of Cardiovascular Events Following Myocardial Infarction. JACC Cardiovasc. Imaging 2018, 11, 1433–1444. [Google Scholar] [CrossRef]
- Stone, G.W.; Selker, H.P.; Thiele, H.; Patel, M.R.; Udelson, J.E.; Ohman, E.M.; Maehara, A.; Eitel, I.; Granger, C.B.; Jenkins, P.L.; et al. Relationship between Infarct Size and Outcomes Following Primary PCI Patient-Level Analysis from 10 Randomized Trials. J. Am. Coll. Cardiol. 2016, 67, 1674–1683. [Google Scholar] [CrossRef]
- Elias, J.; van Dongen, I.M.; Hoebers, L.P.; Ouweneel, D.M.; Claessen, B.E.P.M.; Råmunddal, T.; Laanmets, P.; Eriksen, E.; Piek, J.J.; van der Schaaf, R.J.; et al. Recovery and prognostic value of myocardial strain in ST-segment elevation myocardial infarction patients with a concurrent chronic total occlusion. Eur. Radiol. 2020, 30, 600–608. [Google Scholar] [CrossRef]
- Larose, E.; Rodés-Cabau, J.; Pibarot, P.; Rinfret, S.; Proulx, G.; Nguyen, C.M.; Déry, J.P.; Gleeton, O.; Roy, L.; Noël, B.; et al. Predicting Late Myocardial Recovery and Outcomes in the Early Hours of ST-Segment Elevation Myocardial Infarction. Traditional Measures Compared with Microvascular Obstruction, Salvaged Myocardium, and Necrosis Characteristics by Cardiovascular Magnetic R. J. Am. Coll. Cardiol. 2010, 55, 2459–2469. [Google Scholar] [CrossRef]
- Judd, R.M.; Kim, R.J. Imaging time after Gd-DTPA injection is critical in using delayed enhancement to determine infarct size accurately with magnetic resonance imaging. Circulation 2002, 106, 10. [Google Scholar] [CrossRef]
- Hammer-Hansen, S.; Patricia Bandettini, W.; Hsu, L.Y.; Leung, S.W.; Shanbhag, S.; Mancini, C.; Greve, A.M.; Køber, L.; Thune, J.J.; Kellman, P.; et al. Mechanisms for overestimating acute myocardial infarct size with gadolinium-enhanced cardiovascular magnetic resonance imaging in humans: A quantitative and kinetic study. Eur. Heart J. Cardiovasc. Imaging 2016, 17, 76–84. [Google Scholar] [CrossRef] [PubMed]
- Jablonowski, R.; Engblom, H.; Kanski, M.; Nordlund, D.; Koul, S.; Van Der Pals, J.; Englund, E.; Heiberg, E.; Erlinge, D.; Carlsson, M.; et al. Contrast-Enhanced CMR Overestimates Early Myocardial Infarct Size: Mechanistic Insights Using ECV Measurements on Day 1 and Day 7. JACC Cardiovasc. Imaging 2015, 8, 1379–1389. [Google Scholar] [CrossRef] [PubMed]
- Schulz-Menger, J.; Gross, M.; Messroghli, D.; Uhlich, F.; Dietz, R.; Friedrich, M.G. Cardiovascular magnetic resonance of acute myocardial infarction at a very early stage. J. Am. Coll. Cardiol. 2003, 42, 513–518. [Google Scholar] [CrossRef] [PubMed]
- Bulluck, H.; Dharmakumar, R.; Arai, A.E.; Berry, C.; Hausenloy, D.J. Cardiovascular magnetic resonance in acute st-segment-elevation myocardial infarction: Recent advances, controversies, and future directions. Circulation 2018, 137, 1949–1964. [Google Scholar] [CrossRef] [PubMed]
- Eitel, I.; Desch, S.; Fuernau, G.; Hildebrand, L.; Gutberlet, M.; Schuler, G.; Thiele, H. Prognostic Significance and Determinants of Myocardial Salvage Assessed by Cardiovascular Magnetic Resonance in Acute Reperfused Myocardial Infarction. J. Am. Coll. Cardiol. 2010, 55, 2470–2479. [Google Scholar] [CrossRef] [PubMed]
- Masci, P.G.; Ganame, J.; Strata, E.; Desmet, W.; Aquaro, G.D.; Dymarkowski, S.; Valenti, V.; Janssens, S.; Lombardi, M.; Van de Werf, F.; et al. Myocardial Salvage by CMR Correlates with LV Remodeling and Early ST-Segment Resolution in Acute Myocardial Infarction. JACC Cardiovasc. Imaging 2010, 3, 45–51. [Google Scholar] [CrossRef]
- Mäkikallio, T.H.; Barthel, P.; Schneider, R.; Bauer, A.; Tapanainen, J.M.; Tulppo, M.P.; Schmidt, G.; Huikuri, H.V. Prediction of sudden cardiac death after acute myocardial infarction: Role of Holter monitoring in the modern treatment era. Eur. Heart J. 2005, 26, 762–769. [Google Scholar] [CrossRef]
- Huikuri, H.V.; Raatikainen, M.J.P.; Moerch-Joergensen, R.; Hartikainen, J.; Virtanen, V.; Boland, J.; Anttonen, O.; Hoest, N.; Boersma, L.V.A.; Platou, E.S. Prediction of fatal or near-fatal cardiac arrhythmia events in patients with depressed left ventricular function after an acute myocardial infarction. Eur. Heart J. 2009, 30, 689–698. [Google Scholar] [CrossRef]
- Hohnloser, S.H.; Kuck, K.H.; Dorian, P.; Roberts, R.S.; Hampton, J.R.; Hatala, R.; Fain, E.; Gent, M.; Connolly, S.J.; on behalf of the DINAMIT Investigators; et al. Prophylactic Use of an Implantable Cardioverter–Defibrillator after Acute Myocardial Infarction. N. Engl. J. Med. 2004, 351, 2481–2488. [Google Scholar] [CrossRef]
- Steinbeck, G.; Andresen, D.; Seidl, K.; Brachmann, J.; Hoffmann, E.; Wojciechowski, D.; Kornacewicz-Jach, Z.; Sredniawa, B.; Lupkovics, G.; Hofgärtner, F.; et al. Defibrillator Implantation Early after Myocardial Infarction. N. Engl. J. Med. 2009, 361, 1427–1436. [Google Scholar] [CrossRef]
- Ibanez, B.; Aletras, A.H.; Arai, A.E.; Arheden, H.; Bax, J.; Berry, C.; Bucciarelli-Ducci, C.; Croisille, P.; Dall’Armellina, E.; Dharmakumar, R.; et al. Cardiac MRI Endpoints in Myocardial Infarction Experimental and Clinical Trials: JACC Scientific Expert Panel. J. Am. Coll. Cardiol. 2019, 74, 238–256. [Google Scholar] [CrossRef] [PubMed]
- de Waha, S.; Eitel, I.; Desch, S.; Fuernau, G.; Lurz, P.; Stiermaier, T.; Blazek, S.; Schuler, G.; Thiele, H. Prognosis after ST-elevation myocardial infarction: A study on cardiac magnetic resonance imaging versus clinical routine. Trials 2014, 15, 249. [Google Scholar] [CrossRef] [PubMed]
- Shang, Q.; Patel, S.; Steinmetz, M.; Schuster, A.; Danford, D.A.; Beerbaum, P.; Sarikouch, S.; Kutty, S. Myocardial deformation assessed by longitudinal strain: Chamber specific normative data for CMR-feature tracking from the German competence network for congenital heart defects. Eur. Radiol. 2018, 28, 1257–1266. [Google Scholar] [CrossRef] [PubMed]
- Morais, P.; Marchi, A.; Bogaert, J.A.; Dresselaers, T.; Heyde, B.; D’hooge, J.; Bogaert, J. Cardiovascular magnetic resonance myocardial feature tracking using a non-rigid, elastic image registration algorithm: Assessment of variability in a real-life clinical setting. J. Cardiovasc. Magn. Reson. 2017, 19, 24. [Google Scholar] [CrossRef] [PubMed]
- Doudesis, D.; Lee, K.K.; Boeddinghaus, J.; Bularga, A.; Ferry, A.V.; Tuck, C.; Lowry, M.T.H.; Lopez-Ayala, P.; Nestelberger, T.; Koechlin, L.; et al. Machine learning for diagnosis of myocardial infarction using cardiac troponin concentrations. Nat. Med. 2023, 29, 14–17. [Google Scholar] [CrossRef] [PubMed]







| Parameter | Value |
|---|---|
| Study population (number) | 66 |
| Age (years) | 57.5 ± 10.1 (36–80) |
| Male sex | 55 (83.3) |
| BMI (kg/m2) | 27.4 ± 6.1 |
| Smoking | 51 (77.3) |
| Hypertension | 37 (56.1) |
| Diabetes | 13 (19.7) |
| Dyslipidemia | 37 (56.1) |
| Medical treatment before hospitalization | |
| ACE inhibitor | 6 (9.1) |
| ARB | 11 (16.7) |
| Beta-blocker | 10 (15.2) |
| Statin | 5 (7.6) |
| Antiplatelet | 5 (7.6) |
| Basic clinical characteristics | |
| Killip class 1 | 57 (86.4) |
| Killip class 2 | 9 (13.6) |
| Anterior STEMI | 36 (54.5) |
| Time to PPCI (hours) | 4.5 ± 2.6 |
| Number of affected coronary vessels | |
| 1 | 29 (43.9) |
| 2 | 25 (37.9) |
| 3 | 12 (18.2) |
| Parameter | Day 1 | Week 12 | p-Value |
|---|---|---|---|
| LVEDVi, mL/m2 | 86.37 ± 15.58 | 85.75 ± 17.44 | 0.704 |
| LVESVi, mL/m2 | 41.30 ± 10.99 | 38.61 ± 13.78 | 0.036 |
| CI, L/min/m2 | 2.99 ± 0.64 | 2.83 ± 0.54 | 0.033 |
| LVEF, % | 52.45 ± 7.07 | 55.78 ± 7.80 | <0.001 |
| LV GLS (%) | −20.18 ± 4.49 | −22.06 ± 5.39 | 0.002 |
| LV GCS (%) | −25.68 ± 4.46 | −27.26 ± 6.37 | 0.018 |
| IS (%) | 23.59 ± 11.69 | 18.29 ± 8.32 | <0.001 |
| AAR (%) | 37.19 ± 14.79 | 1.44 ± 7.08 | <0.001 |
| MVO (%) | 1.04 ± 2.79 | 0.0 ± 0.0 | <0.001 |
| Infarct Size (n = 66) | Area at Risk (n = 46) | Myocardial Salvage index (n = 46) | ||||
|---|---|---|---|---|---|---|
| r | p-Value | r | p-Value | r | p-Value | |
| Baseline | ||||||
| LVEF (%) | −0.479 | <0.001 | −0.433 | 0.003 | 0.206 | 0.169 |
| LV GLS (%) | 0.441 | <0.001 | 0.501 | <0.001 | −0.085 | 0.575 |
| LV GCS (%) | 0.396 | 0.001 | 0.342 | 0.020 | 0.167 | 0.267 |
| Improvement | ||||||
| ΔLVEF (%) | 0.118 | 0.371 | 0.236 | 0.124 | 0.116 | 0.452 |
| ΔLV GLS (%) | −0.077 | 0.562 | −0.269 | 0.081 | −0.217 | 0.162 |
| ΔLV GCS (%) | 0.074 | 0.575 | −0.124 | 0.421 | −0.347 | 0.021 |
Disclaimer/Publisher’s Note: The statements, opinions and data contained in all publications are solely those of the individual author(s) and contributor(s) and not of MDPI and/or the editor(s). MDPI and/or the editor(s) disclaim responsibility for any injury to people or property resulting from any ideas, methods, instructions or products referred to in the content. |
© 2023 by the authors. Licensee MDPI, Basel, Switzerland. This article is an open access article distributed under the terms and conditions of the Creative Commons Attribution (CC BY) license (https://creativecommons.org/licenses/by/4.0/).
Share and Cite
Virbickiene, A.; Lapinskas, T.; Garlichs, C.D.; Mattecka, S.; Tanacli, R.; Ries, W.; Torzewski, J.; Heigl, F.; Pfluecke, C.; Darius, H.; et al. Imaging Predictors of Left Ventricular Functional Recovery after Reperfusion Therapy of ST-Elevation Myocardial Infarction Assessed by Cardiac Magnetic Resonance. J. Cardiovasc. Dev. Dis. 2023, 10, 294. https://doi.org/10.3390/jcdd10070294
Virbickiene A, Lapinskas T, Garlichs CD, Mattecka S, Tanacli R, Ries W, Torzewski J, Heigl F, Pfluecke C, Darius H, et al. Imaging Predictors of Left Ventricular Functional Recovery after Reperfusion Therapy of ST-Elevation Myocardial Infarction Assessed by Cardiac Magnetic Resonance. Journal of Cardiovascular Development and Disease. 2023; 10(7):294. https://doi.org/10.3390/jcdd10070294
Chicago/Turabian StyleVirbickiene, Agneta, Tomas Lapinskas, Christoph D. Garlichs, Stephan Mattecka, Radu Tanacli, Wolfgang Ries, Jan Torzewski, Franz Heigl, Christian Pfluecke, Harald Darius, and et al. 2023. "Imaging Predictors of Left Ventricular Functional Recovery after Reperfusion Therapy of ST-Elevation Myocardial Infarction Assessed by Cardiac Magnetic Resonance" Journal of Cardiovascular Development and Disease 10, no. 7: 294. https://doi.org/10.3390/jcdd10070294
APA StyleVirbickiene, A., Lapinskas, T., Garlichs, C. D., Mattecka, S., Tanacli, R., Ries, W., Torzewski, J., Heigl, F., Pfluecke, C., Darius, H., Ince, H., Nordbeck, P., Butter, C., Schuster, A., Mitzner, S., Dobiliene, O., Sheriff, A., & Kelle, S. (2023). Imaging Predictors of Left Ventricular Functional Recovery after Reperfusion Therapy of ST-Elevation Myocardial Infarction Assessed by Cardiac Magnetic Resonance. Journal of Cardiovascular Development and Disease, 10(7), 294. https://doi.org/10.3390/jcdd10070294

