Comparison between Bilateral Ultrasound-Guided Quadratus Lumborum Block and Sacrococcygeal Epidural in Cats Undergoing Ovariectomy
Abstract
Simple Summary
Abstract
1. Introduction
2. Materials and Methods
2.1. Animals
2.2. Anaesthesia Protocol
2.3. Block Techniques
2.4. Data Collection
2.5. Postoperative Monitoring
2.6. Statistical Analysis
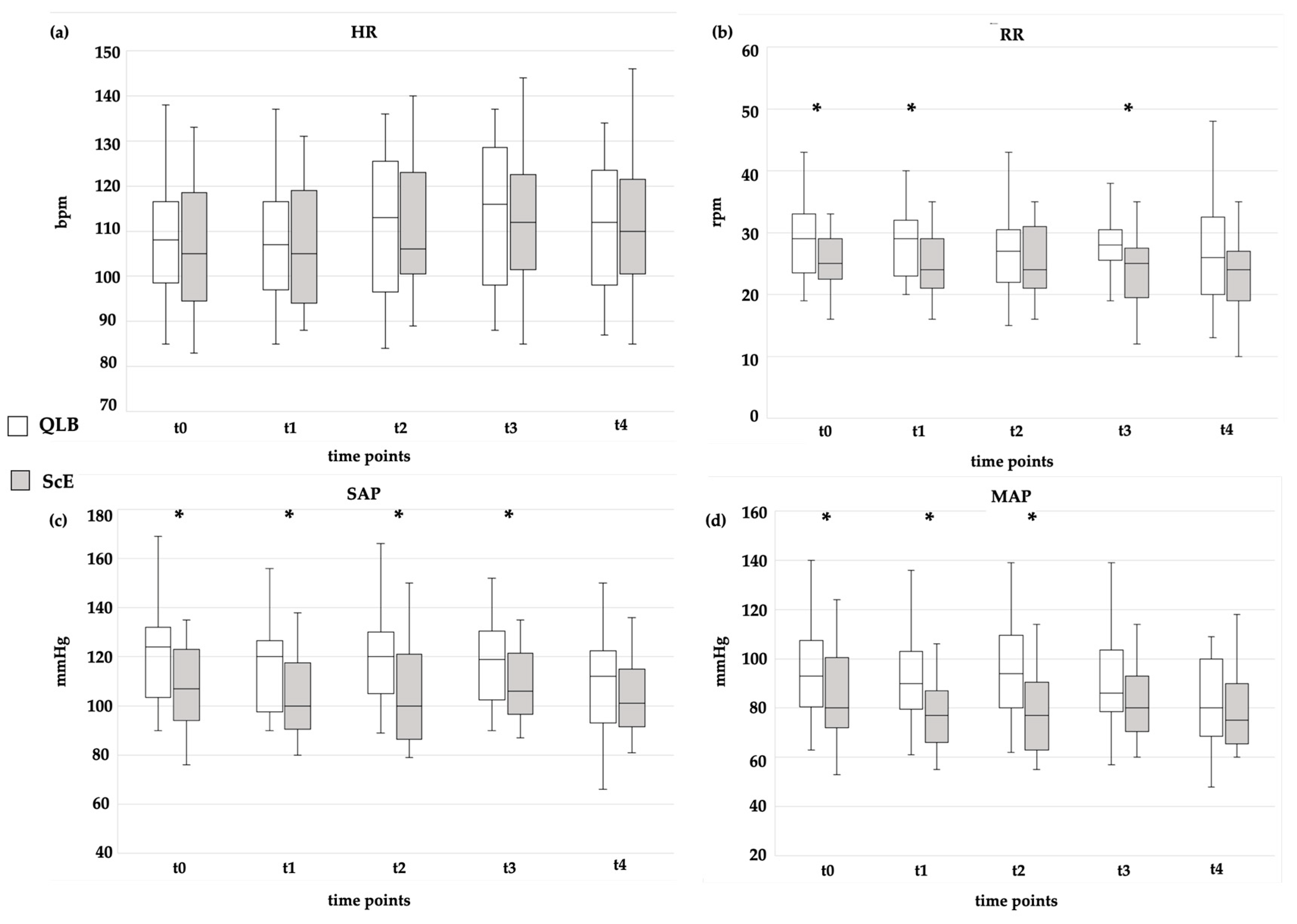
3. Results
4. Discussion
5. Conclusions
Supplementary Materials
Author Contributions
Funding
Institutional Review Board Statement
Informed Consent Statement
Data Availability Statement
Conflicts of Interest
References
- Zilberstein, L.F.; Moens, Y.P.; Leterrier, E. The effect of local anaesthesia on anaesthetic requirements for feline ovariectomy. Vet. J. 2008, 178, 214–218. [Google Scholar] [CrossRef] [PubMed]
- Skouropoulou, D.; Lacitignola, L.; Centonze, P.; Simone, A.; Crovace, A.M.; Staffieri, F. Perioperative analgesic effects of an ultrasound-guided transversus abdominis plane block with a mixture of bupivacaine and lidocaine in cats undergoing ovariectomy. Vet. Aneasth. Analg. 2018, 45, 374–383. [Google Scholar] [CrossRef] [PubMed]
- Garbin, M.; Ruel, H.L.M.; Watanabe, R.; Malo, A.; Monteiro, B.P.; Steagall, P.V. Analgesic efficacy of an ultrasound-guided transversus abdominis plane block with bupivacaine in cats: A randomised, prospective, masked, placebo-controlled clinical trial. J. Feline Med. Surg. 2023, 25, 1098612X231154463. [Google Scholar] [CrossRef] [PubMed]
- Sano, T.; Nishimura, R.; Kanazawa, H.; Igarashi, E.; Nagata, Y.; Mochizuki, M.; Sasaki, N. Pharmacokinetics of fentanyl after single intravenous injection and constant rate infusion in dogs. Vet. Aneasth. Analg. 2006, 33, 266–273. [Google Scholar] [CrossRef] [PubMed]
- Torruella, X.; Potter, J.; Huuskonen, V. Sacrococcygeal epidural administration of 0.5% bupivacaine in seven cats undergoing pelvic or hind limb orthopaedic procedures. Ir. Vet. J. 2023, 2, 76. [Google Scholar] [CrossRef]
- Salvatierra, D.N.A.; Linares, M.E.H.; Motta, L.; Martinez, M. Ultrasound-guided erector spinae interfascial plane block for spinal surgery in three cats. J. Feline Med. Surg. Open Rep. 2021, 7, 20551169211043814. [Google Scholar] [CrossRef]
- Josso, M.; Topie, O.; Bencharif, D.; Desbois, C.; Touzot-Jourde, G. Ultrasound-Guided Rectus Abdominis Sheath Block in Cats Undergoing Ovariectomy: A Prospective, Randomized, Investigator-Blinded, Placebo-Controlled Clinical Trial. Open Access J. Vet. Sci. Res. 2022, 7, 1–8. [Google Scholar] [CrossRef]
- Dourado, A.; Gomes, A.; Teixeira, P.; Azevedo, J.T.; Dias, I.R.; Pinelas, R. Antinociceptive Effect of a Sacro-Coccygeal Epidural of Morphine and Lidocaine in Cats Undergoing Ovariohysterectomy. Vet. Sci. 2022, 9, 623. [Google Scholar] [CrossRef]
- Dos-Santos, J.D.; Ginja, M.; Martins, J.; Cabral, P.; Alves-pimenta, S.; Otero, P.E.; Ribeiro, L.; Colaço, B. Can the ulstrasound-guided Quadratus lumborum block reduce the sympathetic activation in cats under ovariectomy? Abstract-Poster. In Proceedings of the 48th Wolrd Small Animal Veterinary Association Congress and FECAVA Eurocongress, Lisbon, Portugal, 27–28 September 2023; pp. 3–4. [Google Scholar]
- Dos-Santos, J.D.; Ginja, M.; Alves-pimenta, S.; Otero, P.E.; Ribeiro, L.; Colaço, B. A description of an ultrasound-guided technique for a quadratus lumborum block in the cat: A cadaver study. Vet. Aneasth. Analg. 2021, 48, 804–808. [Google Scholar] [CrossRef]
- Torres, C.L.; Felisberto, R.; Economou, A.; Flaherty, D.; Moreno, A.B.; Tayari, H. Ultrasound-Guided Dorsolateral Approach for Quadratus Lumborum Block in Rabbits (Oryctolagus cuniculus): A Prospective, Randomized, Blinded, Cadaveric Study Comparing Four Different Injectate Volumes. Animals 2023, 13, 2559. [Google Scholar] [CrossRef]
- Viscasillas, J.; Sanchis-mora, S.; Burillo, P.; Esteve, V.; Del Romero, A.; Lafuente, P.; Redondo, J.I. Evaluation of Quadratus Lumborum Block as Part of an Opioid-Free Anaesthesia for Canine Ovariohysterectomy. Animals 2021, 11, 3424. [Google Scholar] [CrossRef] [PubMed]
- Viscasillas, J.; Cañón, A.; Hernández, E.; Martínez, A.; Marti-Scharfhausen, R.; Lafuente, P.; Redondo, J.I. Clinical Assessment of Introducing Locoregional Anaesthesia Techniques as Part as the Intraoperative Analgesia Management for Canine Ovariohysterectomy in a Veterinary Teaching Hospital. Animals 2022, 12, 1939. [Google Scholar] [CrossRef] [PubMed]
- Lamont, L.A. Multimodal pain management in veterinary medicine: The physiologic basis of pharmacologic therapies. Vet. Clin. N. Am. Small Anim. Pract. 2008, 38, 1173–1186. [Google Scholar] [CrossRef] [PubMed]
- DeRossi, R.; Hermeto, L.; Jardim, P.; de Andrade Bicudo, N.; de Assis, K.T. Postoperative Pain Control in Cats: Clinical Trials with Pre-Emptive Lidocaine Epidural Co-Administered with Morphine or Methadone. J. Feline Med. Surg. 2016, 18, 882–888. [Google Scholar] [CrossRef] [PubMed]
- Dourado, A.; Cordero, I.S.; Rodrigues-Gomes, A.F.; Lobo, L.; Dias, I.R. Transient skin and fur color change after trichotomy of the sacrococcygeal region for epidural anesthesia in a domestic cat (Felis catus). Braz. J. Vet. Res. Anim. Sci. 2021, 58, e180388. [Google Scholar] [CrossRef]
- Otero, P.E.; Verdier, N.; Zaccagnini, A.S.; Fuensalida, S.E.; Tarragona, L.; Portela, D.A. The use of a nerve stimulation test to confirm sacrococcygeal epidural needle placement in cats. Vet. Aneasth. Analg. 2015, 42, 115–118. [Google Scholar] [CrossRef]
- Credie, L.; Luna, S. The use of ultrasound to evaluate sacrococcygeal epidural injections in cats. Can. Vet. J. 2018, 59, 143–146. [Google Scholar] [PubMed]
- Haro, P.; Laredo, F.; Gil, F.; Belda, E.; Ayala, M.D.; Soler, M.; Agut, A. Validation of the dorsal approach for the blockade of the femoral nerve using ultrasound and nerve electrolocation in cats. J. Feline Med. Surg. 2016, 18, 620–625. [Google Scholar] [CrossRef]
- Lebeaux, M.I. Experimental epidural anaesthesia in the dog with lignocaine and bupivacaine. Br. J. Anaesth. 1973, 45, 549–555. [Google Scholar] [CrossRef][Green Version]
- Castro, D.S.; Soares, J.H.; Gress, M.A.; Otero, P.E.; Marostica, E.; Ascoli, F.O. Hypoventilation exacerbates the cardiovascular depression caused by a high volume of lumbosacral epidural bupivacaine in two isoflurane-anesthetized dogs. Vet. Aneasth. Analg. 2016, 43, 235–237. [Google Scholar] [CrossRef]
- Troncy, E.; Junot, S.; Keroack, S.; Sammut, V.; Pibarot, P.; Genevois, J.P.; Cuvelliez, S. Results of preemptive epidural administration of morphine with or without bupivacaine in dogs and cats undergoing surgery: 265 Cases (1997–1999). J. Am. Vet. Med. Assoc. 2002, 221, 666–672. [Google Scholar] [CrossRef] [PubMed]
- Eappen, S.; Kissin, I. Effect of subarachnoid bupivacaine block on anesthetic requirements for thiopental in rats. Anesthesilogy 1998, 88, 1036–1042. [Google Scholar] [CrossRef] [PubMed]
- Cima, D.S.; Credie, L.F.G.A.; Futema, F.; Otero, P.E.; Marostica, E.; Ascoli, F.O. Lumbar Epidural: Anatomical and Clinical Study in Dogs Submitted to Ovariohysterectomy. Front. Vet. Sci. 2020, 7, 527812. [Google Scholar] [CrossRef] [PubMed]
- Evangelista, M.C.; Benito, J.; Monteiro, B.P.; Watanabe, R.; Doodnaught, G.M.; Pang, D.S.J.; Steagall, P.V. Clinical applicability of the Feline Grimace Scale: Real-time versus image scoring and the influence of sedation and surgery. PeerJ 2020, 8, e8967. [Google Scholar] [CrossRef] [PubMed]
- Evangelista, M.C.; Steagall, P.V. Agreement and reliability of the Feline Grimace Scale among cat owners, veterinarians, veterinary students and nurses. Sci. Rep. 2021, 11, 5262. [Google Scholar] [CrossRef] [PubMed]
- Watanabe, R.; Monteiro, B.P.; Ruel, H.L.M.; Cheng, A.; Marangoni, S.; Steagall, P.V. The Effects of Sedation with Dexmedetomidine–Butorphanol and Anesthesia with Propofol–Isoflurane on Feline Grimace Scale©Scores. Animals 2022, 12, 2914. [Google Scholar] [CrossRef] [PubMed]
- Lacassie, H.J.; Habib, A.S.; Lacassie, H.P.; Columb, M.O. Motor blocking minimal local anesthetic concentration of bupivacaine, levobupivacaine, and ropivacaine in labor. Reg. Anesth. Pain Med. 2007, 32, 323–329. [Google Scholar] [CrossRef]
- Valverde, A. Epidural Analgesia and Anesthesia in Dogs and Cats. Vet. Clin. N. Am. Small Anim. Pract. 2008, 38, 1205–1230. [Google Scholar] [CrossRef]
- Abelson, A.L.; Armitage-Chan, E.; Lindsey, J.C.; Wetmore, L.A. A comparison of epidural morphine with low dose bupivacaine versus epidural morphine alone on motor and respiratory function in dogs following splenectomy. Vet. Aneasth. Analg. 2011, 38, 213–223. [Google Scholar] [CrossRef]


| Rating | Classification | Description |
|---|---|---|
| 0 | Normal motor response | Normal ability to walk or stand |
| 1 | Partial motor blockade | Incomplete ability to bear weight, incomplete flexion of the stifle, muscle tone weaker than in the contralateral limb |
| 2 | Complete motor blockade | Inability to stand and walk with the blocked limb, knee in extension touching the floor, limb paralysed |
| Variable | QLB (n = 25) | ScE (n = 25) | p Value |
|---|---|---|---|
| Body weight (kg) | 3.50 ± 0.93 | 3.50 ± 0.68 | 0.993 |
| BCS (1–9) (median [IQR]) | 4 [2] | 4 [2] | 0.968 |
| Haematocrit (%) | 33.00 ± 0.76 | 34.78 ± 1.33 | 0.325 |
| Glucose | 220.36 ± 15.86 | 209.24 ± 17.79 | 0.572 |
| Total protein (g dL−1) | 7.55 ± 0.14 | 7.48 ± 0.12 | 0.420 |
| Platelets (×103 µL−1) | 255.68 ± 24.60 | 285.76 ± 27.64 | 0.682 |
| Anaesthesia time (min) | 27.72 ± 3.36 | 28.12 ± 3.89 | 0.699 |
| Time to extubation (min) | 8.40 ± 2.89 | 11.40 ± 3.50 | 0.002 * |
| n | QLB | ScE | p Value | |
|---|---|---|---|---|
| Rescue | 8/25 | 5/25 (20%) | 3/25 (12%) | 0.351 |
| Hypotension | 15/25 | 4/25 (16%) | 11/25 (44%) | 0.031 * |
| Rating | n | QLB | ScE | |
|---|---|---|---|---|
| Motor block | ||||
| 2 h | 0 | 29 | 25 (100%) | 4 (16%) ** |
| 1 | 7 | 0 | 7 (28%) ** | |
| 2 | 14 | 0 | 14 (56%) ** | |
| 6 h | 0 | 50 | 25 (100%) | 25 (100%) |
| 1 | 0 | 0 | 0 | |
| 2 | 0 | 0 | 0 | |
Disclaimer/Publisher’s Note: The statements, opinions and data contained in all publications are solely those of the individual author(s) and contributor(s) and not of MDPI and/or the editor(s). MDPI and/or the editor(s) disclaim responsibility for any injury to people or property resulting from any ideas, methods, instructions or products referred to in the content. |
© 2024 by the authors. Licensee MDPI, Basel, Switzerland. This article is an open access article distributed under the terms and conditions of the Creative Commons Attribution (CC BY) license (https://creativecommons.org/licenses/by/4.0/).
Share and Cite
dos-Santos, J.D.; Ginja, M.; Martins, J.; Cabral, P.; Alves-Pimenta, S.; Ribeiro, L.; Otero, P.E.; Colaço, B. Comparison between Bilateral Ultrasound-Guided Quadratus Lumborum Block and Sacrococcygeal Epidural in Cats Undergoing Ovariectomy. Vet. Sci. 2024, 11, 25. https://doi.org/10.3390/vetsci11010025
dos-Santos JD, Ginja M, Martins J, Cabral P, Alves-Pimenta S, Ribeiro L, Otero PE, Colaço B. Comparison between Bilateral Ultrasound-Guided Quadratus Lumborum Block and Sacrococcygeal Epidural in Cats Undergoing Ovariectomy. Veterinary Sciences. 2024; 11(1):25. https://doi.org/10.3390/vetsci11010025
Chicago/Turabian Styledos-Santos, José Diogo, Mário Ginja, João Martins, Patrícia Cabral, Sofia Alves-Pimenta, Lénio Ribeiro, Pablo E. Otero, and Bruno Colaço. 2024. "Comparison between Bilateral Ultrasound-Guided Quadratus Lumborum Block and Sacrococcygeal Epidural in Cats Undergoing Ovariectomy" Veterinary Sciences 11, no. 1: 25. https://doi.org/10.3390/vetsci11010025
APA Styledos-Santos, J. D., Ginja, M., Martins, J., Cabral, P., Alves-Pimenta, S., Ribeiro, L., Otero, P. E., & Colaço, B. (2024). Comparison between Bilateral Ultrasound-Guided Quadratus Lumborum Block and Sacrococcygeal Epidural in Cats Undergoing Ovariectomy. Veterinary Sciences, 11(1), 25. https://doi.org/10.3390/vetsci11010025

