Use of Fumaric Acid to Inhibit Malolactic Fermentation in Bottled Rioja Wines: Effect in pH and Volatile Acidity Control
Abstract
1. Introduction
2. Materials and Methods
2.1. Wines
2.2. Fumaric Acid
2.3. Inoculations
2.4. Analysis
2.5. Statistical Treatments
3. Results
4. Discussion
5. Conclusions
Author Contributions
Funding
Data Availability Statement
Acknowledgments
Conflicts of Interest
References
- Cofran, D.R.; Meyer, B.J. The effect of fumaric acid on malo-lactic fermentation. Am. J. Enol. Vitic. 1970, 21, 189–192. [Google Scholar]
- Tchelistcheff, A.; Peterson, R.G.; Van Gelderen, M. Control of malolactic fermentation in wine. Am. J. Enol. Vitic. 1971, 22, 1–5. [Google Scholar]
- Pilone, G.J.; Rankine, B.C.; Pilone, D.A. Inhibiting malo-lactic fermentation in Australian dry red wines by adding fumaric acid. Am. J. Enol. Vitic. 1974, 25, 99–107. [Google Scholar] [CrossRef]
- Morata, A.; Bañuelos, M.A.; López, C.; Song, C.; Vejarano, R.; Loira, I.; Palomero, F.; Suarez Lepe, J.A. Use of fumaric acid to control pH and inhibit malolactic fermentation in wines. Food Addit. Contam. Part A 2020, 37, 228–238. [Google Scholar] [CrossRef] [PubMed]
- Bauer, R.; Dicks, L.M.T. Control of Malolactic Fermentation in Wine. A Review. S. Afr. J. Enol. Vitic. 2004, 25, 74–88. [Google Scholar] [CrossRef]
- Barnes, R.H.; Karatzas, K.A.G. Investigation into the antimicrobial activity of fumarate against Listeria monocytogenes and its mode of action under acidic conditions. Int. J. Food Microbiol. 2020, 324, 108614. [Google Scholar] [CrossRef] [PubMed]
- Vital-Lopez, F.G.; Wallqvist, A.; Reifman, J. Bridging the gap between gene expression and metabolic phenotype via kinetic models. BMC Syst. Biol. 2013, 7, 63. [Google Scholar] [CrossRef]
- OIV (International Organization of Vine and Wine). Method OIV-MA-AS313-04, Organic Acids Detection by HPLC. Compendium of International Methods of Analysis of Wines and Musts 2(OIV-MA-AS313-04); OIV (International Organization of Vine and Wine): Paris, French, 2009; pp. 1–3. [Google Scholar]
- Fernández-Vázquez, D.; Rozès, N.; Canals, J.M.; Bordons, A.; Reguant, C.; Zamora, F. New enzymatic method for estimating fumaric acid in wines. OENO One 2021, 55, 273–281. [Google Scholar] [CrossRef]
- Morata, A.; Bañuelos, M.A.; Loira, I.; Villegas, A.; González, C.; Suarez Lepe, J.A. Empleo de ácido fumárico y quitosano para inhibir la fermentación maloláctica. ACE Rev. Enol. 2020. Available online: https://www.acenologia.com/fml_fumarico_quitosano_cienc176_0620/ (accessed on 20 September 2022).
- FAO-WHO. Codex Alimentarius. 2015. Available online: https://www.fao.org/fao-who-codexalimentarius/sh-proxy/en/?lnk=1&url=https%253A%252F%252Fworkspace.fao.org%252Fsites%252Fcodex%252FShared%2BDocuments%252FArchive%252FMeetings%252FCCFA%252Fccfa47%252Ffa47_10s.pdf (accessed on 20 September 2022).
- Gancel, A.-L.; Payan, C.; Koltunova, T.; Jourdes, M.; Christmann, M.; Teissedre, P.-L. Solubility, acidifying power and sensory properties of fumaric acid in water, hydro-alcoholic solutions, musts and wines compared to tartaric, malic, lactic and citric acids. OENO One 2022, 56, 137–154. [Google Scholar] [CrossRef]
- Morata, A.; Bañuelos, M.A.; López, C.; Adell, E. Use of fumaric acid to control pH and inhibit malolactic fermentation in wines. In Proceedings of the Ives Science Meeting, Margaux-Cantenac, France, 16–17 June 2022. [Google Scholar]
- Camarasa, C.; Grivet, J.-P.; Dequin, S. Investigation by 13C-NMR and tricarboxylic acid (TCA) deletion mutant analysis of pathways for succinate formation in Saccharomyces cerevisiae during anaerobic fermentation. Microbiology 2003, 149, 2669–2678. [Google Scholar] [CrossRef]
- OIV (International Organization of Vine and Wine). International Organisation of Vine and Wine. Compendium of International Methods of Wine and Must Analysis; OIV (International Organization of Vine and Wine): Paris, French, 2022; Volume 1. [Google Scholar]
- Bartowsky, E.; Costello, P.; Chambers, P. Emerging trends in MLF. Aust. J. Grape Wine Res. 2015, 21, 663–669. [Google Scholar] [CrossRef]
- Vilela-Moura, A.; Schuller, D.; Mendes-Faia, R.D.; Silva, A.; Chaves, S.R.; Sousa, M.J.; Côrte-Real, M. The impact of acetate metabolism on yeast fermentative performance and wine quality: Reduction of volatile acidity of grape musts and wines. Appl. Microbiol. Biotechnol. 2011, 89, 271–280. [Google Scholar] [CrossRef]
- Morata, A.; Escott, C.; Bañuelos, M.A.; Loira, I.; del Fresno, J.M.; González, C.; Suárez-Lepe, J.A. Contribution of Non-Saccharomyces Yeasts to Wine Freshness. A Review. Biomolecules 2020, 10, 34. [Google Scholar] [CrossRef] [PubMed]
- Ugliano, M.; Moio, L. Changes in the concentration of yeast-derived volatile compounds of red wine during malolactic fermentation with four commercial starter cultures of Oenococcus oeni. J. Agric. Food Chem. 2005, 53, 10134–10139. [Google Scholar] [CrossRef] [PubMed]
- Sumby, K.M.; Grbin, P.R.; Jiranek, V. Implications of new research and technologies for malolactic fermentation in wine. Appl. Microbiol. Biotechnol. 2014, 98, 8111–8132. [Google Scholar] [CrossRef]
- Capozzi, V.; Tufariello, M.; De Simone, N.; Fragasso, M.; Grieco, F. Biodiversity of oenological lactic acid bacteria: Species- and strain-dependent plus/minus effects on wine quality and safety. Fermentation 2021, 7, 24. [Google Scholar] [CrossRef]
- Krieger-Weber, S.; Heras, J.M.; Suarez, C. Lactobacillus plantarum, a new biological tool to control malolactic fermentation: A review and an outlook. Beverages 2020, 6, 23. [Google Scholar] [CrossRef]
- Guzzo, J.; Jobin, M.P.; Delmas, F.; Fortier, L.C.; Garmyn, D.; Tourdot-Maréchal, R.; Lee, B.; Diviès, C. Regulation of stress response in Oenococcus oeni as a function of environmental changes and growth phase. Int. J. Food Microbiol. 2000, 55, 27–31. [Google Scholar] [CrossRef]
- Guzzon, R.; Nardin, T.; Larcher, R. The controversial relationship between chitosan and the microorganisms involved in the production of fermented beverages. Eur. Food Res. Technol. 2022, 248, 751–765. [Google Scholar] [CrossRef]
- Bağder Elmacı, S.; Gülgör, G.; Tokatlı, M.; Erten, H.; İşci, A.; Özçelik, F. Effectiveness of chitosan against wine-related microorganisms. Antonie van Leeuwenhoek 2015, 107, 675–686. [Google Scholar] [CrossRef] [PubMed]

), control with FA (
), control with LAB (
), and control with FA and LAB (
). Volatile acidity in control (
), control with FA (
), control with LAB (
), and control with FA and LAB (
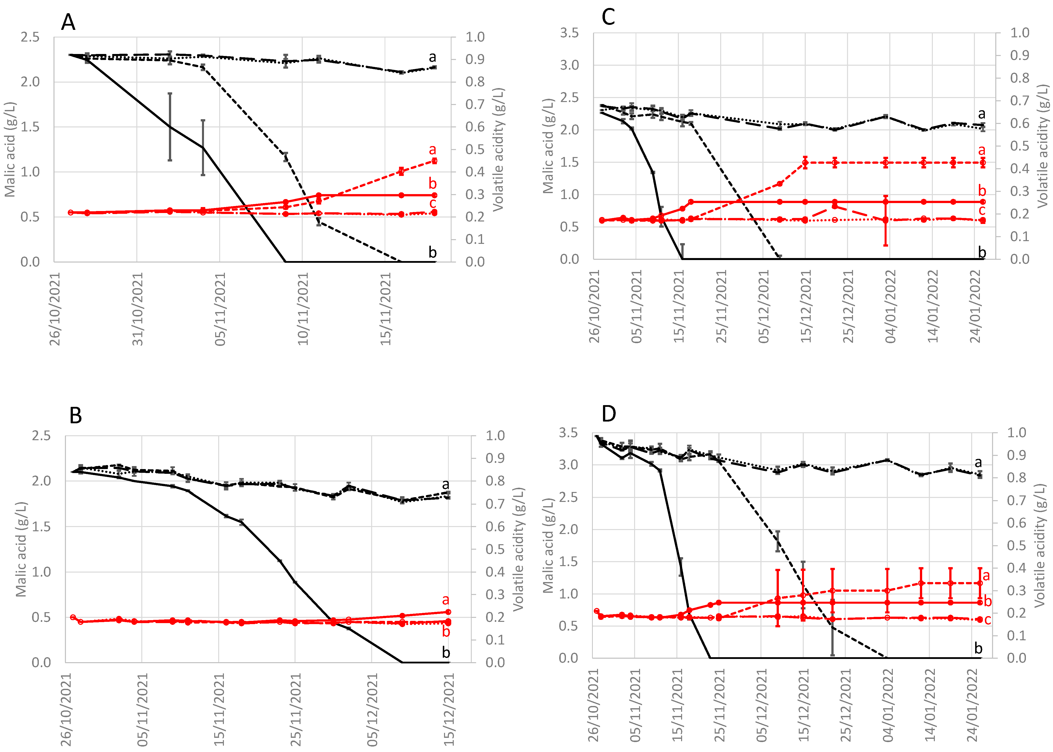
). (A,B) red wines from Tempranillo and Garnacha, respectively, (C) rose, (D) white wine. Values are the means and bars are standard deviations of three independent fermentations. Letters of last day represent significant differences.
), control with FA (
), control with LAB (
), and control with FA and LAB (
). Volatile acidity in control (
), control with FA (
), control with LAB (
), and control with FA and LAB (
). (A,B) red wines from Tempranillo and Garnacha, respectively, (C) rose, (D) white wine. Values are the means and bars are standard deviations of three independent fermentations. Letters of last day represent significant differences.
), control with FA (
), control with LAB (
), and control with FA and LAB (
). Volatile acidity in control (
), control with FA (
), control with LAB (
), and control with FA and LAB (
). Values are the means and bars are standard deviations of triplicate independent fermentations. Letters of last day represent significant differences.
), control with FA (
), control with LAB (
), and control with FA and LAB (
). Volatile acidity in control (
), control with FA (
), control with LAB (
), and control with FA and LAB (
). Values are the means and bars are standard deviations of triplicate independent fermentations. Letters of last day represent significant differences.

| Wine | Variety | Year | Ethanol Content | Color Intensity | A280 nm | Residual Sugars |
|---|---|---|---|---|---|---|
| % vol. | Absorbance units | Absorbance units | g/L | |||
| Red | Tempranillo | 2018 | 13.0 | 19.2 | 64 | 2.0 |
| Red | Tempranillo | 2020 | 14.0 | 21.0 | 77 | 2.0 |
| Red | Tempranillo | 2020 | 13.1 | 13.5 | 57 | 1.9 |
| Rose | Tempranillo | 2020 | 14.0 | 1.0 | 10 | 2.3 |
| White | Viura | 2020 | 12.5 | - | 2.1 | |
| Red | Tempranillo | 2021 | 14.2 | 12.8 | 60 | 3.5 |
| Red | Tempranillo | 2021 | 14.4 | 17.8 | 74 | 2.2 |
| MLF started | ||||||
| Red | Garnacha | 2021 | 14.3 | 11.6 | 58 | 2.4 |
| Rose | Tempranillo | 2021 | 14.2 | 0.7 | 10 | 2.1 |
| White | Viura | 2021 | 13.3 | - | 1.8 |
| Wine | Variety | Year | MLF | n | MH2 | pH | Volatile Acidity | ||
|---|---|---|---|---|---|---|---|---|---|
| Initial | Final | Initial | Final | ||||||
| Red | Tempranillo | 2018 | Spontaneous | 12 | 3.02 | <0.05 | 3.49 | 3.65 | 0.22 |
| Inhibited FH2 | 12 | 3.02 | 3.00 | 3.49 | 3.48 | 0.17 | |||
| Red | Tempranillo | 2020 | Spontaneous | 2 | 2.30 | <0.05 a | 3.62 | 3.77 | 0.45 ± 0.01 ef |
| Inoculated Oo | 2 | 2.27 | <0.05 a | 3.62 | 3.77 | 0.43 ± 0.00 f | |||
| Inhibited FH2 | 2 | 2.26 | 2.26 ± 0.02 d | 3.55 | 3.52 | 0.20 ± 0.00 ab | |||
| Inoculated Oo FH2 | 2 | 2.27 | 2.29 ± 0.01 de | 3.52 | 3.51 | 0.19 ± 0.01 ab | |||
| Red | Tempranillo | 2020 | Spontaneous | 2 | 1.58 | <0.05 a | 3.67 | 3.77 | 0.51 ± 0.06 de |
| Inoculated Oo | 2 | 1.55 | <0.05 a | 3.67 | 3.78 | 0.73 ± 0.08 de | |||
| Inhibited FH2 | 2 | 1.60 | 1.52 ± 0.28 c | 3.58 | 3.62 | 0.21 ± 0.03 ab | |||
| Inoculated Oo FH2 | 2 | 1.60 | 1.17 ± 0.14 b | 3.58 | 3.63 | 0.21 ± 0.01 ab | |||
| Rose | Tempranillo | 2020 | Spontaneous | 2 | 2.24 | <0.05 a | 3.63 | 3.80 | 0.20 ± 0.02 ab |
| Inoculated Oo | 2 | 2.27 | <0.05 a | 3.63 | 3.77 | 1.77 ± 0.11 g | |||
| Inhibited FH2 | 2 | 2.36 | 2.41 ± 0.04 f | 3.50 | 3.51 | 0.05 ± 0.01 a | |||
| Inoculated Oo FH2 | 2 | 2.34 | 2.18 ± 0.04 d | 3.50 | 3.56 | 0.15 ± 0.01 ab | |||
| White | Viura | 2020 | Spontaneous | 2 | 2.29 | <0.05 a | 3.33 | 3.49 | 0.28 ± 0.01 bc |
| Inoculated Oo | 2 | 2.24 | <0.05 a | 3.33 | 3.48 | 0.55 ± 0.25 cd | |||
| Inhibited FH2 | 2 | 2.24 | 2.21 ± 0.02 d | 3.21 | 3.26 | 0.14 ± 0.01 ab | |||
| Inoculated Oo FH2 | 2 | 2.30 | 2.18 ± 0.04 d | 3.25 | 3.26 | 0.15 ± 0.01 ab | |||
| Red | Tempranillo | 2021 | Spontaneous | 3 | 2.30 ± 0.00 c | <0.05 a | 3.66 | 3.85 | 0.45 ± 0.01 g |
| Inoculated Oo | 3 | <0.05 a | 3.80 | 0.30 ± 0.01 e | |||||
| Inhibited FH2 | 3 | 2.16 ± 0.01 f | 3.59 | 0.22 ± 0.01 bc | |||||
| Inoculated Oo FH2 | 3 | 2.16 ± 0.01 f | 3.59 | 0.22 ± 0.01 b | |||||
| Red | Tempranillo | 2021 | Spontaneous | 3 | 1.52 ± 0.00 a | <0.05 a | 3.61 | 3.80 | 0.45 ± 0.01 g |
| MLF started | Inoculated Oo | 3 | <0.05 a | 3.80 | 0.45 ± 0.01 g | ||||
| Inhibited FH2 | 3 | <0.05 a | 3.74 | 0.43 ± 0.01 g | |||||
| Inoculated Oo FH2 | 3 | <0.05 a | 3.74 | 0.43 ± 0.01 g | |||||
| Red | Garnacha | 2021 | Spontaneous | 3 | 2.10 ± 0.00 b | 1.88 ± 0.01 c | 3.47 | 3.40 | 0.18 ± 0.01 a |
| Inoculated Oo | 3 | <0.05 a | 3.49 | 0.22 ± 0.01 bc | |||||
| Inhibited FH2 | 3 | 1.82 ± 0.01 b | 3.32 | 0.18 ± 0.01 a | |||||
| Inoculated Oo FH2 | 3 | 1.84 ± 0.03 b | 3.32 | 0.17 ± 0.01 a | |||||
| Rose | Tempranillo | 2021 | Spontaneous | 3 | 2.29 ± 0.00 c | <0.05 a | 3.55 | 3.81 | 0.43 ± 0.02 g |
| Inoculated Oo | 3 | <0.05 a | 3.79 | 0.25 ± 0.01 d | |||||
| Inhibited FH2 | 3 | 2.07 ± 0.04 e | 3.52 | 0.17 ± 0.01 a | |||||
| Inoculated Oo FH2 | 3 | 2.02 ± 0.05 d | 3.52 | 0.17 ± 0.02 a | |||||
| White | Viura | 2021 | Spontaneous | 3 | 3.45 ± 0.00 d | <0.05 a | 3.32 | 3.42 | 0.33 ± 0.07 f |
| Inoculated Oo | 3 | <0.05 a | 3.49 | 0.25 ± 0.01 cd | |||||
| Inhibited FH2 | 3 | 2.84 ± 0.01 g | 3.26 | 0.17 ± 0.01 a | |||||
| Inoculated Oo FH2 | 3 | 2.85 ± 0.05 g | 3.25 | 0.17 ± 0.00 a | |||||
Disclaimer/Publisher’s Note: The statements, opinions and data contained in all publications are solely those of the individual author(s) and contributor(s) and not of MDPI and/or the editor(s). MDPI and/or the editor(s) disclaim responsibility for any injury to people or property resulting from any ideas, methods, instructions or products referred to in the content. |
© 2023 by the authors. Licensee MDPI, Basel, Switzerland. This article is an open access article distributed under the terms and conditions of the Creative Commons Attribution (CC BY) license (https://creativecommons.org/licenses/by/4.0/).
Share and Cite
Morata, A.; Adell, E.; López, C.; Palomero, F.; Suárez, E.; Pedrero, S.; Bañuelos, M.A.; González, C. Use of Fumaric Acid to Inhibit Malolactic Fermentation in Bottled Rioja Wines: Effect in pH and Volatile Acidity Control. Beverages 2023, 9, 16. https://doi.org/10.3390/beverages9010016
Morata A, Adell E, López C, Palomero F, Suárez E, Pedrero S, Bañuelos MA, González C. Use of Fumaric Acid to Inhibit Malolactic Fermentation in Bottled Rioja Wines: Effect in pH and Volatile Acidity Control. Beverages. 2023; 9(1):16. https://doi.org/10.3390/beverages9010016
Chicago/Turabian StyleMorata, Antonio, Elena Adell, Carmen López, Felipe Palomero, Elena Suárez, Silvia Pedrero, María Antonia Bañuelos, and Carmen González. 2023. "Use of Fumaric Acid to Inhibit Malolactic Fermentation in Bottled Rioja Wines: Effect in pH and Volatile Acidity Control" Beverages 9, no. 1: 16. https://doi.org/10.3390/beverages9010016
APA StyleMorata, A., Adell, E., López, C., Palomero, F., Suárez, E., Pedrero, S., Bañuelos, M. A., & González, C. (2023). Use of Fumaric Acid to Inhibit Malolactic Fermentation in Bottled Rioja Wines: Effect in pH and Volatile Acidity Control. Beverages, 9(1), 16. https://doi.org/10.3390/beverages9010016

