Abstract
To remove oxidizable polyphenolic compounds from wines, fining treatments with products of various origins are applied before or after fermentation. Seeking alternatives to the treatments with animal proteins or synthetic materials such as polyvinylpolypyrrolidone (PVPP), vegetal and mineral products are tested. One of these alternative agents is pea protein (P), which can be combined with chitosan (K), yeast cell walls (Y), active carbon (C), and/or Ca-bentonite (B). Aside from the proven polyphenol removal effect, these products can also have an impact on aroma. This research evaluates the effect of P and ternary combinations with P on the volatile compounds of aromatic wines from the Tămâioasă românească variety. Several variants of treatments with P and with ternary mixtures involving P were prepared in triplicate with a total dose of 20 g/hL of fining agent applied during the pre-fermentative phase. Volatile profiles were determined using a flash gas chromatograph with two short columns of different polarities. The chromatographic peak areas for the identified ethylic esters, acetates and terpenes were used to compare the fining treatment effects. To test the significant differences between experimental variants, the Analysis of Similarity (ANOSIM) was used. The influences of P used alone and PVPP used alone were both significantly different compared to control (untreated), but based on the dissimilarity index R, PVPP affected the volatile profile about twice as much as P, showing that pea protein is a good alternative for PVPP. The ethyl esters were especially reduced by PVPP, while P especially reduced the terpenes. From all the tested pea protein ternary agents, those containing bentonite (PCB and PYB) showed a significant reducing effect on all classes of compounds and therefore are not recommended. The combinations containing yeast cell walls, PCY and PKY, are the most interesting alternatives to both PVPP and P used independently, PCY being the least aggressive of all treatments on overall aroma, preserving well the aroma compounds of all determined classes, including terpenes.
1. Introduction
Treatments with several fining agents have been standard procedures in winemaking for a long time [1]. They are applied for several reasons, such as clarification and final wine stabilization or quality improvement. One of the purposes of the fining treatments is to partially reduce wine astringency and/or bitterness and even reduce colour intensity or modify colour shade by removing polyphenols.
The compounds used for fining act by binding chemically or physically with some of the wine components, which, after precipitation, are removed from the wine. Therefore, a fining agent is never perfect in targeting only a certain compound or class of compounds and will usually remove several types of compounds, some wanted and some unwanted. Thus, even when selecting agents to particularly remove excessive polyphenols, some of the beneficial compounds for wine aroma are inherently removed as well [2,3].
The fining agents established in the winemaking practice for polyphenol compound removal are usually the synthetic polymer polyvinylpolypyrrolidone (PVPP), proteins [4,5], mostly of animal origin [6], and inorganic products, such as activated carbon [7] or sometime bentonites [8,9]. After fining, the compounds, which are processing aids and not additives, precipitate with the targeted compounds and are subsequently removed from the must or wine through filtering and other procedures. However, some residues may still remain in the wine [5]. Thus, some people started to avoid products obtained with the use of animal proteins, on grounds that they proved to be allergenic or because the resulting wine is not compatible with a vegetarian/vegan diet. Additionally, PVPP, being obtained through synthesis, is regarded by some as non-natural and undesirable for use in food products, although no safety concern was found by EFSA for its reported uses and use levels [10].
To accommodate these new trends and perceptions regarding these wide-spread treatments, other alternative fining agents have been tested for some time, many with very good results.
In this way the plant protein from pea or potato, less allergenic and suitable for vegetarian nutrition, was proposed as an alternative to animal protein fining agents [11,12,13,14] or to PVPP. Additionally, yeast cell walls [15] and chitosan [16], both of microbiological origin and containing polyphenol-binding polysaccharides [17], were also tested for producing wines compatible with vegetarian diets. Other polysaccharides, such as k-carrageenan [18] and fibre from apples or grapes, were also tested before for wine fining, with different effects on certain types of phenols [19,20,21].
Another important aspect of fining is the moment of application. In this research, unlike in most fining cases, the treatments were not applied in the wine but in the must, in the hope that the impact on aroma is less significant, as the fermentation aroma, which is produced in a subsequent stage after the fining agents are removed from the must, would supposedly not be affected. This is especially important for a wine obtained from an aromatic grape variety, as is the case of Tămâioasa românească, which is appreciated for its specific varietal terpenic aroma (given by compounds such as trans-geraniol, β-linalool, nerol oxide, linalool oxide, α-terpinen-7-al, β-myrcene, cis-β-ocimene) but also for its esteric fermentation aroma (given by compounds such as ethyl butanoate, ethyl-2-methyl-butanoate, ethyl hexanoate, ethyl octanoate, ethyl decanoate, ethyl acetate, isoamyl acetate, cis-3-hexenyl acetate, 2-phenylethyl acetate) [22]. As the terpenic aroma of Tămâioasa românească is extracted from the grape skins, the maceration process, which is applied for extraction, is bound to also enrich the resulting must in polyphenols, which can sometimes exceed 400 mg/L [23,24], while normally, the total polyphenol amount in white wines ranges from 200 to 300 mg/L [25].
In this study, the main focus was put on pea protein (P) as a viable alternative to PVPP for partial polyphenol removal. As sometimes, due to their mechanisms of action, combining several fining agents into a complex product may produce a lesser or higher effect by acting synergistically or antagonistically, ternary combinations of pea protein and other fining agents were also prepared and evaluated. The (plant) proteins alone may interfere in the interactions between polyphenols and other wine components [26,27], but their fining power depends on many conditions and may also be influenced by the presence of other fining agents. A wealth of scientific literature shows that fining agents, depending on many factors, can have both positive and negative impact on wine volatile compounds [2,3], but the exact effects are far from being predictable. Generally, compounds such as bentonite [28,29] or active carbon [30] can remove more aggressively volatile compounds, but our assumption is that their effect may be balanced by the presence of organic fining agents, such as pea protein, yeast hulls, or chitosan. Also, a better clarification of the must with combined fining agents may lead to an enhancement of the fermentation aroma profile of the final wine.
Thus, in the ternary combinations, along with the pea protein, pairs of other materials were included, such as yeast cell walls, chitosan, activated carbon, and calcium bentonite. The tested combinations were previously evaluated in other experiments on a different batch of must from the same grape variety to determine their effectiveness in polyphenol removal [31]. The experiment showed that, compared to the case of control wines, both PVPP and pea protein, alone or in combinations, were able to decrease the amount of the total polyphenols under reductive winemaking conditions, while in the presence of oxygen, the oxidized polyphenols were not sufficiently removed by any of the fining agents. Under reductive conditions, irrespective of the treatment, the overall colour difference calculated on the CIELab parameters measured spectrophotometrically was not significantly influenced [31]. A detailed sensory analysis with human evaluators, performed on the wines obtained from the same batch of Tămâioasă românească must as the one used for the present volatile compound analysis, showed that the alternative treatments based on pea protein, especially those containing only pea protein and those with chitosan, led to wines with improved aromatic profile compared to the control wines or to the wines fined with the synthetic compound PVPP [32]. As their positive effect regarding the polyphenol removal and on the sensory profile of treated wines has already been demonstrated, this paper focuses on the evaluation of the impact of these fining agents on the aroma profile of wines determined with a more precise method based on gas chromatography. The ultimate aim was to propose to winemakers optimal fining alternatives to replace the traditional PVPP treatment, alternatives which would also be more acceptable to health-conscious consumers.
2. Materials and Methods
2.1. Winemaking and Fining Materials
Grapes of the Tamâioasa românească variety were harvested in September 2023 from the Pietroasa wine centre and processed into must. After destemming and crushing, the resulting mash was treated with 60 mg/kg potassium metabisulphite (BASF, Ludwigshafen am Rhein, Germany) and transferred through a cooling system into a stainless-steel tank of 1000 hL, with pectolytic enzyme in a dose of 0.8 mL/hL (Enozym Lux, Agrovin, Ciudad Real, Spain), added to allow for aroma extraction. During the next 24 h, the tanks were kept at 10–12 °C for a pre-fermentative maceration, mixing the phases by pumping for 2 min every 2 h. The homogenized mash was transferred into a pneumatic press in order to collect the free-run must and the must from the first pressing cycle (0.6 Bar).
Forty litres of the resulting homogenized turbid must were then transferred into 24 stainless-steel tanks of 50 L to prepare 8 experimental variants with 3 repetitions each. Fining treatments were applied in a total dose of 20 g/hL, a dose which included several fining compounds and ternary combinations, as described in Table 1. The fining agents used for tests are PVPP (SMARTVIN PVPP Enologica Vason, Settimo, Italy), pea protein (Proveget, Agrovin, Ciudad Real, Spain), and combinations of pea protein with two other agents such as chitosan (Kitosmart, Enologica Vason, Settimo, Italy), yeast cell walls (OENOLEES, Laffort, Floriac, France), active carbon (Acticarbone 2SW, CECA Arkema, Lannemezan, France), and/or Ca-bentonite (Microcol CL G, Laffort, Floriac, France). The total dosage selected for pea protein was based on the minimum dose recommended by the producer of pea protein (Agrovin, Ciudad Real, Spain), which suggests a treatment of must with a dose between 20 and 50 g/hL, in accordance with the OIV International Code of Oenological Practices [5], which allows for a maximum usage of 50 g/hL for the proteins of plant origin. As the approved treatment with PVPP cannot exceed 80 g/hL [5] and is usually recommended to be between 20 and 80 g/hL, the dose of 20 g/hL is also the minimum reasonable dose to be used in order to have an effect but also to make the treatments more economical. Accordingly, for the reason of comparison, all the treatments, including those with ternary products, were made with a total dose of 20 g/hL fining agents. Considering that at least some of the ternary combinations may render better results than the PVPP or PP used alone as fining agents, the exact ratio among pea protein and the other two compounds in these combinations is not disclosed at this time.
Table 1.
Fining treatments used in pre-fermentative phase.
The fining agents were left in contact with the musts for 24 h at 10 °C and then the decanted products were separated. The musts were transferred to clean 50 L stainless-steel tanks and inoculated with 25 g/hL yeast for fermentation (Arome plus Fermol, AEB Group, Brescia, Italy). The dry yeast, specially selected for its positive influence on the aroma of aromatic varieties, was activated in the presence of a nutrient based on a high content of natural amino acids (Fermoplus Tropical, AEB Group, Brescia, Italy), added in a ratio of 1:4 to the yeast. To ensure that sufficient assimilable nitrogen was available for the yeast, during the second day of fermentation, the must was supplemented with the same yeast nutrient in a dose of 20 g/hL. The fermentation process lasted 14 days under controlled temperature conditions (15 °C). When the fermentation was completed, the wines were racked from the lees and bottled in 0.75 L glass bottles.
2.2. Wine Analysis
To demonstrate that the fining treatments with the doses and combinations reported in Table 1 were effective in achieving the main purpose of their application and are able to partially remove polyphenols, the total polyphenol concentrations in the resulting wines were determined by an A15 Biochemistry Analyzer from the BioSystems, Barcelona, Spain, using the method with Folin–Ciocâlteu reagent [33,34]. The results are included in Table 2 and show that PVPP and all pea protein fining treatments reduced the total polyphenol concentration compared to non-treated samples. The polyphenol reductions obtained using pea protein and its combinations are similar to the one obtained with the PVPP (there is no statistical difference among them at the significance level p = 0.05).
Table 2.
Total polyphenol concentration of the wines obtained by pre-fermentation treatments with PVPP, pea protein (P), and P-based ternary combinations.
The volatile components of the wines were analysed with a gas chromatograph with two short columns of different polarities (DB5 and DB1701), which delivers a rapid separation of the main aroma compounds. The equipment, Heracles e-Nose from AlphaMOS, Toulouse, France, uses a syringe of 200 μL for gas injection from the wine sample headspace, according to a method developed in our laboratory [35,36]. The software Alpha Soft ver. 12.42 controls the autosampler, records the chromatograms on both columns, and allows data processing. From each of the 3 repetitions of the 8 variants (24 wine samples), the chromatographic determination was run in triplicate (72 GC determinations). In this way, for each variant, 9 GC records were obtained, forming a group. For each group of chromatograms, that is, for each experimental variant, averages of peak areas were calculated. Based on the average chromatographic peak areas and Kovats indices, the main volatile compounds separated were identified from the chemical database of the Heracles apparatus, AroChemBase, as well as from other external databases: Pherobase, Flavornet, NIST.
2.3. Statistical Analysis
For the comparison of total polyphenol results, the analysis of variance and the Tukey test were applied using Origin 9.0 software package (OriginLab, Northampton MA, USA). For the data obtained from the GC analysis, the ANOSIM and PCA methods were applied using the software Past ver4.06b for Windows, developed by Professor Øyvind Hammer, Natural History Museum, University of Oslo [37]. ANOSIM (analysis of similarity) is a non-parametric multivariate statistical analysis which allows for the determination of the statistically significant difference between groups simultaneously analysed. As a non-parametric method, it does not use the raw data but uses a matrix of Euclidian distances, which are transformed in ranks and create the dissimilarity matrix to describe pairwise distinction between several groups. Distances only quantify the differences between groups, with no consideration of what the two groups have in common. In this way, dissimilarities compare the difference to what the groups have in common, measuring the differences accordingly [38]. To determine the statistical significance, the pairwise ANOSIM post hoc test calculates the p-values and the dissimilarity values R. The dissimilarity index R typically varies from zero, meaning that no dissimilarity exists, and the value of 1 (or 100%), meaning a complete separation of each group from one another [39]. In other words, an R value close to 1 shows that the repetitions which form a group are more similar than the repetitions included in other groups. When R decreases, more overlapping is present, until there is no dissimilarity (R = 0). Thus, when R ≥ 0.75, the groups are considered to be highly differentiated, while for R between 0.50 and 0.75, the groups are sufficiently well differentiated. For R values between 0.25 and 0.50, the groups are hard to differentiate, and for R between 0.10 and 0.25, the groups are overlapping, being relatively similar, while for R < 0.1, the groups are considered practically identical.
For pairwise post hoc comparisons, a Bonferroni correction was applied by dividing the significance level (α = 0.05) by the number of comparisons (n = 28 in our case), thus leading to a new p level 0.05/n, called the adjusted significance level. For values under 0.05/n, the difference is statistically significant, values between 0.05/n and 0.05 may produce a type I error (and should be considered non-significant to reduce the possibility of committing such an error), while values over 0.05 show a non-significant difference.
Principal Component Analysis (PCA) is additionally used to reduce the amount of dataset complexity and to visually show the differences and similarities among the groups found by the ANOSIM method. The PCA method transforms the sets of data into principal components, which contain most of the identified variance. As our datasets contain chromatographic peak areas which could be very large, but are not necessarily more important than the small ones, these large values tend to have high leverage on the PCA, being included in PC1 irrespective of the maximum real variance in the dataset. To reduce skewness in data distributions and improve the symmetry and stability of variance, the data were log-transformed (log10(x)) before the PCA method was applied.
3. Results and Discussion
3.1. Volatile Profiles of the Samples
After the separation of volatile components introduced in the chromatograph from the sample headspace, several compounds were identified on at least one of the two chromatographic columns DB5 and DB1701 (Table 3), based on their retention Kovats indices on each column.
Table 3.
Peak areas of the volatile compounds identified on the chromatographic columns DB5 and DB1701. The compounds were grouped in accordance to their chemical classes, which are written with bold-italic font.
On these columns, aside from a few alcohols and aldehydes, the main identified compounds belonged to the classes of terpenes and esters (ethyl esters and acetates). The values of the peak areas of each identified chromatographic peak (volatile compound) are presented for each wine sample and repetition run in the Supplementary Table S1 (Excel file).
3.2. ANOSIM Analysis
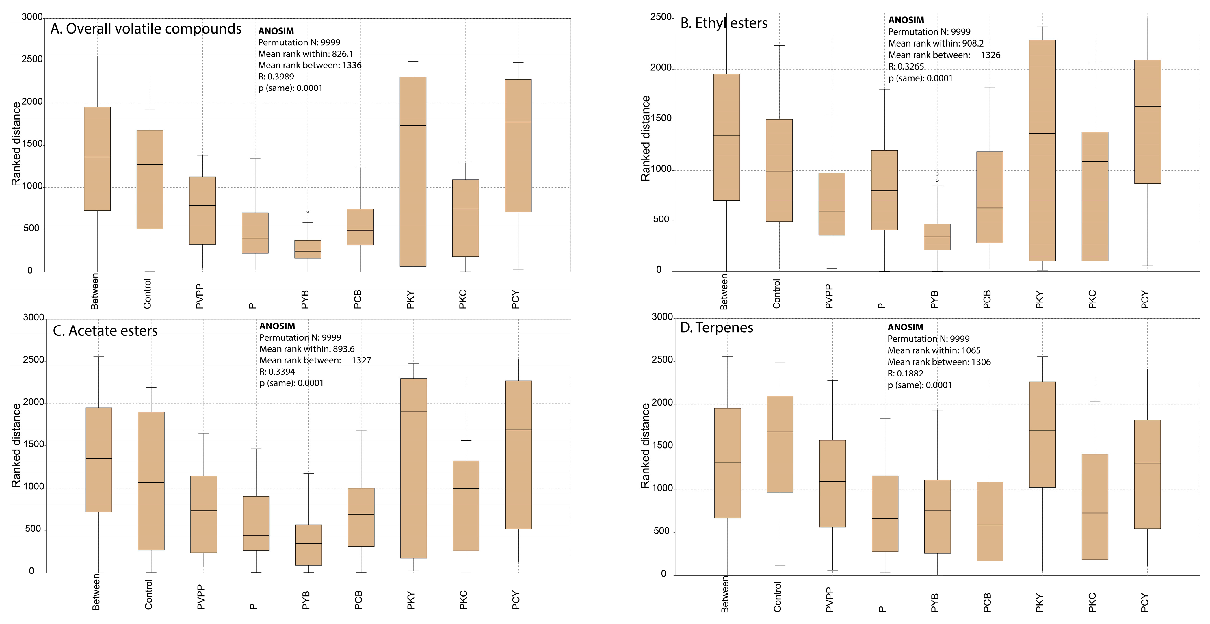
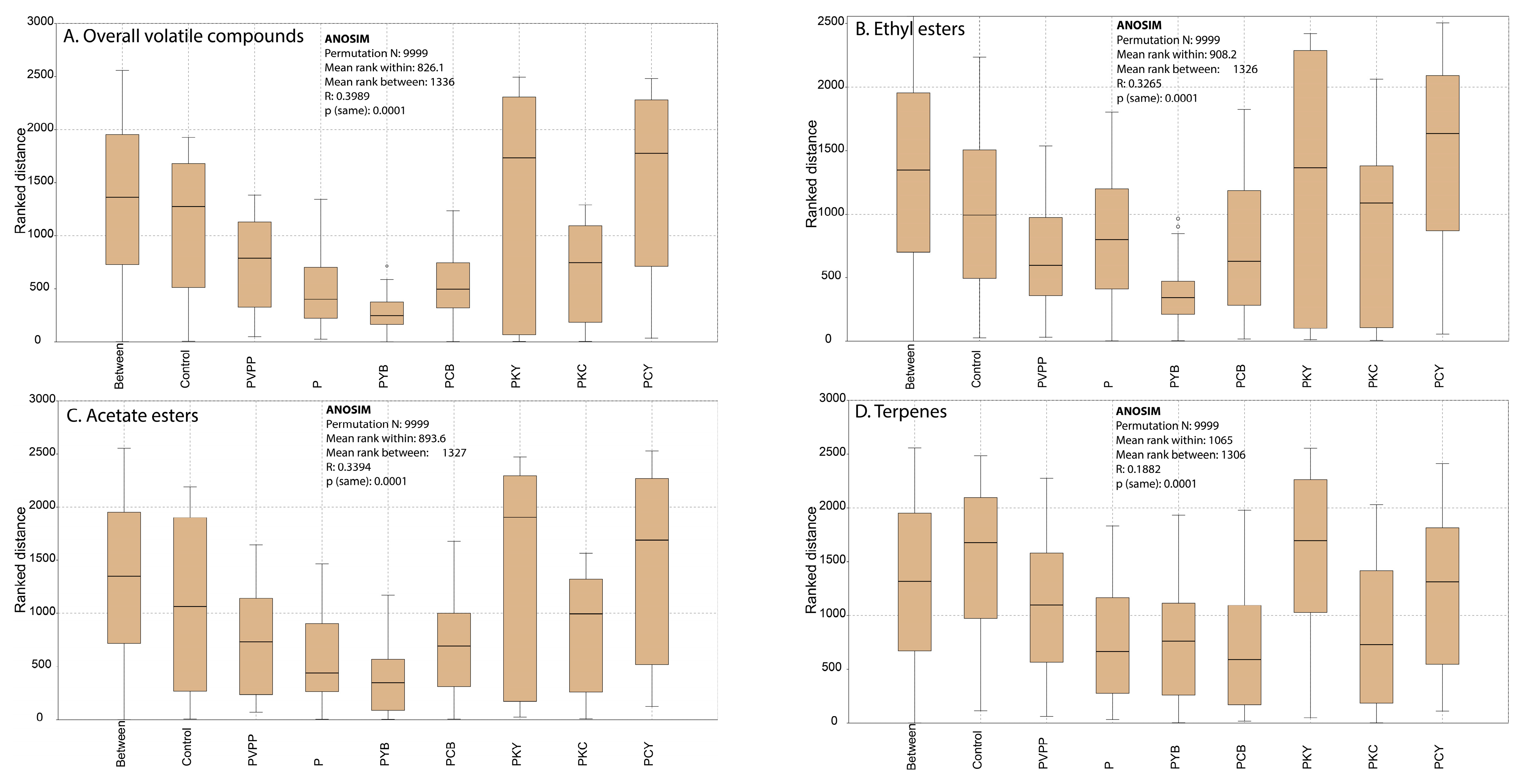
For the eight wine variants and their repetitions, the total chromatographic peak areas were grouped together for overall volatile compounds included in Table 3, as well as for all the identified ethyl esters, acetate esters, and terpenes. The wine variants were compared based on the peak area averages of overall volatile compounds (Figure 1A) and of main classes of compounds (Figure 1B–D) using multivariate analysis of similarity (ANOSIM). For an easy data interpretation, box-and-whisker plots (Figure 1) of inter-group and intra-group ranked distances of various chromatographic peak areas were created and the dissimilarity values R and the Bonferroni adjusted significance level were calculated (Table 4).
Figure 1.
Box-and-whisker plots of inter-group and intra-group ranked distances of various chromatographic peak areas resulting from multivariate analysis of similarity (ANOSIM). Boxes represent the interquartile range (IQR) between Q1 and Q3, and the horizontal line inside the box defines Q2, the median. Whiskers represent the lowest and highest values within the range of 1.5 × IQR, that is, Q1 − 1.5 × IQR and Q3 + 1.5 × IQR, respectively.
Table 4.
Pairwise ANOSIM post hoc test for various volatile compound groups (based on chromatographic peak areas)—dissimilarity index R and adjusted p-values *.
As seen in Figure 1, the overall volatile compounds are clearly reduced by traditional treatment with the PVPP and by the most promising alternative to PVPP, pea protein (P). Ethyl esters are especially reduced by PVPP (Figure 1B), and terpenes are especially reduced by P (Figure 1D). Other pea protein combinations can reduce the volatiles more or in a similar way as the P used independently, being clearly different from the control samples as well. The pea protein combinations with yeast cell walls, PCY and PKY, are the most similar to the untreated wines (control), preserving well all classes of compounds.
The effect of treatments is better observed when the pair-wise comparisons are being performed.
Table 4 contains the R values and adjusted p-values for pairwise ANOSIM post hoc test for various volatile groups, allowing us to establish which type of treatment generated significant differences in the aromatic profile of the wine. The differences are significant when the adjusted p values are lower than 0.0018 (adjusted p = 0.05/28) and the treatments are highly discriminated when the dissimilarity index R is over 0.75 and sufficiently well discriminated for R between 0.50 to 0.75. To conclude that observable differences are induced by the treatments, both parameters are taken into account (p < 0.0018, R < 0.5). These paired values are identified in the table with bold font. For some pairs, in which p < 0.0018 and R was only slightly over 0.5, italic font was used to signal a likely dissimilarity.
As it can be observed in Table 4, for the overall volatile compounds, samples treated with PVPP, with ternary combinations based on pea protein and bentonite (PYB, PCB), and with ternary combinations based on pea protein and chitosan (PKC, PKY) were clearly different from the control wines (column 1 in Table 4). PKY, due to the protective presence of yeast cell walls (Y), having an R just slightly under 0.5 (R = 0.4928), is less dissimilar, but still distinct compared to control regarding the overall volatile profile. At the same time, samples treated only with pea protein P and PCY are similar to the control wines in this regard.
Compared to samples treated with PVVP (column 2 in Table 4), we observe that none of the P and P ternary combinations are different, with the exception of PYB, which was at the limit, with R = 0.4674. All these P and P combinations, not being different from the PVPP as the overall aroma is concerned, can all be used as alternatives for PVPP.
Compared to samples treated with P only (column 3 in Table 4), samples containing bentonite (PYB and PCB) were highly dissimilar (R = 0.9945 and R = 0.8820, respectively), while the chitosan-containing sample PKY was also different, with R = 0.5144. Compared to each other, all ternary combinations do not lead to significant differences in aroma profile, and thus all these combinations are equivalent from this viewpoint.
When classes of volatile compounds are analysed, it becomes clear that most of the differences observed in the overall profile are due to differences in the ethyl esters profile. Thus, compared to control samples, the same PVPP samples, pea–bentonite samples PYB and PCB, and pea–chitosan PKC and PKY induce the most obvious differences regarding the ethyl esters. With R = 0.4650, samples treated only with pea protein (P) are less different from the control samples, while PCY is the least different from control, with R = 0.1584. Thus, pea protein can be seen as a good solution to preserve the typical ethyl esters of this variety, but the ternary combination of pea protein, yeast walls, and carbon could be even better.
As was the case of the overall aroma, for ethyl esters too, none of the P and P ternary combinations differ from the PVPP samples, with PYB being again at the borderline (R = 0.4311). However, regarding the ethyl esters, PYB is clearly dissimilar from the P samples (R = 0.7370), while no differences are statistically confirmed among ternary combinations with P protein.
For the volatile acetates, differences from the control samples were observed again for the treatments with combinations with bentonite and with chitosan, PYB and PCB and PKY and PKC, respectively, as well as borderline differences for PVPP (R = 0.4482). Compared to PVPP, only PYB showed some dissimilarity (R = 0.5171). Compared to samples only treated with P, the ternary combinations with bentonite PYB and PCB proved to influence the acetate profile. Here too, among ternary combinations with P protein, no dissimilarities were observed, even though compared to control wines, as well as P wines, the combinations with bentonite stand out for being different.
As Tămâioasa românească is primarily a terpenic aromatic variety appreciated especially for these aromatic traits, the influence of treatments on the terpene profile is of importance. Of all the treatments, those made with ternary combinations containing bentonite PYB and PCB induced clear differences compared to control samples (R = 0.52), but some borderline differences are also determined by the treatments with P (R = 0.4592), PVPP (R = 0.4465), and PKC (R = 0.4918). There are also borderline dissimilarities between samples treated with PVPP and with P (R = 0.4712), while compared to P samples only PKC is different (R = 0.5134). Among ternary combinations, no statistical differences are observed for terpenes as well. Regarding the preservation of terpenes in the produced wines, the treatments with ternary combinations containing pea protein and yeast cell walls (PKY, PCY) stood out as being the least aggressive, the terpenic profile being very similar (R around 0.2) to the one of the untreated (control) wines.
Of all the ternary combinations, PYB is strongly different (R > 0.9) from the control samples for the overall profile and for all types of esters (acetates and ethyl esters), while for the terpenes the influence is present but less important (R = 0.5261). This is an interesting observation, as the terpenes are highly important for the aromatic profile of this variety, which means that even the most aggressive ternary combination, which appears to be detrimental for the aromatic profile, most likely due to the presence in combination of bentonite, is less aggressive when it comes to terpenes. The same observation, even with slightly lower R values than in the case of PYB, is valid for the other combination with bentonite, PCB.
Conversely, the PCY combination shows a minimum effect on aroma compounds, being very similar to the control sample for all the classes of substances (R = 0.1584 for ethyl esters, R = 0.0744 for acetates and R = 0.2160 for terpenes). Of all the combinations, PCY appears to be the least aggressive on the aromatic profile and a good replacement for PVPP, with better results than P used alone (also seen in Figure 1).
The samples treated with the combination containing chitosan and yeast cell walls, PKY, were only at a limit significantly different from the control samples (R around 0.5), having, in accordance with the dissimilarity index R, a quite similar effect on volatiles as the treatment with PVPP. This is especially clear in the case of the effect on terpenes, where no difference compared to PVPP was found for all types of compounds (R between 0.0096 and 0.0679). Thus, if the classical treatment with PVPP is to be considered the reference treatment, the ternary combination PKY seems to be a good replacement as far as the effects on the aromatic profile are concerned (also seen in Figure 1).
The treatment with only pea protein can also be a good replacement, being also not significantly different from control or PVPP samples. However, the dissimilarity R values for treatment with P only were higher for the terpenes, approaching the limit of significance (R = 0.4592 compared to control and R = 0.4712 compared to PVPP samples). Thus, the ternary combinations based on yeast walls (PKY and PCY) proved to be much better than P in this respect (R value close to 0.2). This shows that pea protein treatment actually removes a part of the terpene compounds, while in the presence of yeast cell walls, this removal is attenuated.
3.3. PCA
The results obtained by ANOSIM analysis are also confirmed by the PCA performed based on the most representative volatile compounds which are influenced by the treatments. Moreover, for the treatments which had statistically proven effects on the aroma profile, PCA was able to show if the difference detected by ANOSIM was beneficial or detrimental. For PCA, one or two related alternative fining combinations were compared with the group of control samples and the group of reference treatment, PVPP. For brevity, only the fining treatments with specific effects on the volatile profile are included and discussed.
Thus, plots of PCA applied to the treatments with PKC (which affected all classes of compounds), PCB and PYB (which affected especially the esters), P (which affected more the terpenes), and PKY and PCY (which affected the least all classes of compounds) are presented in Figure 2, Figure 3, Figure 4 and Figure 5, respectively.
Figure 2.
Principal Component Analysis (PCA) biplot showing the relationship between the overall volatile compound variables and the sample groups of control, PVPP, and PKC samples. Vectors indicate variable direction and loading. Light-coloured ellipses represent 95% confidence intervals for each sample group.
Figure 3.
Principal Component Analysis (PCA) biplot showing the relationship between the overall volatile compound variables and the sample groups of control, PVPP, PCB, and PYB samples. Vectors indicate variable direction and loading. Light-coloured ellipses represent 95% confidence intervals for each sample group.
Figure 4.
Principal Component Analysis (PCA) biplot showing the relationship between the volatile terpene variables and the sample groups of control, PVPP and P samples. Vectors indicate variable direction and loading. Light-coloured ellipses represent 95% confidence intervals for each sample group.
Figure 5.
Principal Component Analysis (PCA) biplot showing the relationship between the overall volatile compound variables and the sample groups of control, PVPP, PKY and PCY samples. Vectors indicate variable direction and loading. Light-coloured ellipses represent 95% confidence intervals for each sample group.
In the biplot space, the variables (volatile compounds) placed in the same region as a certain group have a high contribution to it. The magnitude (loading) of the volatile compound vectors (lines) shows the strength of their contribution to each PC. When vectors point in the same direction, they represent positively correlated variables, and when they point is opposite directions, they represent negatively correlated variables, whereas vectors approaching right angles against the PC axes have low correlation on that respective variable.
Considering the fact that PKC had a major effect on all types of volatiles for its PCA, the overall volatile profile was used (Figure 2). It can be observed that the principal component 1 explains most of the variance (90.68%). The other principal component (PC2) explains only 9.32% of the variance and is especially determined by some compounds such as geranial, ethyl undecanoate, and dehydro-p-cymene. No clear separation of terpene and esters is obtained after the PCA, both principal components depending on substances from all volatile classes determined by gas chromatography.
The group of samples treated with the ternary combination PKC is partially overlapping with the group of PVPP, signifying that the PKC treatment could be a replacement for PVPP in this respect, but not the best one. Compared to PVPP, PKC is partly reducing the complexity of final wines.
Based on these compounds and their loadings on the PCA axes, the group of control samples is clearly separated from the PVPP group, showing an effect of the treatment on the overall volatile profile of wine and a loss of complexity due to the decrease in some terpene concentration (especially geraniol, linalool, α-terpineol, and limonen), as well as esters (ethyl hexanoate, octanoate, decanoate). This effect, determined in part by the presence of chitosan, was also confirmed in another study [40], in which the free terpenols, except α-terpineol, were found to decrease significantly after a treatment with 1 g/L chitosan, while the glycosylated terpenes and the fermentative aroma compounds were not affected by this addition. This fact also confirms that performing the treatments in the must, as performed in our study, leaves the glycosylated terpenes unaffected, thus able to hydrolyse during fermentation and confer the wine-specific aroma. Another study [41], showing that chitosan applied during fermentation has an impact on higher alcohols, acetates, ethyl esters, and fatty acids found in the final wines, seems to support the idea that fermentation aroma compounds may also be preserved by pre-fermentative treatment.
According to Figure 2, the untreated samples (control) are associated more with the following volatile compounds, which induce particular odours: trans-geraniol (floral-rose, citrus), α -terpineol (anise, pine-woody), limonene-1,2-epoxide (fresh citrus, green), cis-3-hexen-1-yl acetate (green-fruity), 3-methylbutyl acetate (banana), ethyl acetate (solvent, nail-polish remover), 1,8-cineole (sweet, mint, herbal type odour), ethyl isovalerate (apple), ethyl hexanoate (apple, pineapple), ethyl octanoate (fruit and flowers, waxy), and ethyl decanoate (waxy, brandy-like). Samples treated with PVPP and PKC are associated more with the following volatile compounds: hydroxy-citronellol (floral, lily and rose), β-citronellol (rose, sour, green, clove, sweet, citrus, floral), β-pinene (musty, green, sweet, pine, resin, turpentine, woody), cis-β-farnesene (citrus, herbal, woody), isovaleraldehyde (malt), 2-methylbutanal (almond), 2-methyl-1-butanol (malt), ethyl butanoate (fruits, pineapple), and 2-phenylethanol (rose-like).
For the PCB and PYB treatments, to better underline their negative effect on the ester compounds of aroma, PCA was computer-only, based on the ethyl esters and acetates (Figure 3).
As determined by ANOSIM analysis, the treatments performed with combinations in which bentonite was present (PCB, PYB) induced the greatest differences in all classes of the aroma profile. In Figure 3, the bentonite combination with yeast cell walls and pea protein (PYB) was found to be the most aggressive on the aroma when compared to both P and PVPP groups. The PCA confirms that the treatment with the ternary combination PYB induced a volatile profile less associated with the majority of the ethyl esters and acetates present in control wines. These esters are normally present in Tămâioasa românească wines, complementing the well-recognized terpene aromatic profile. As seen in Figure 3, only the ethyl butanoate (fruits, pineapple) is more associated with the PYB wines, but the complexity of the aroma profile given by the rest of the esters is much reduced. The samples produced with the classical PVPP treatment also displayed a reduction of esters and complexity compared to control wines but not as much as it was the case with the PYB treatment. This detrimental effect on aroma can be mainly explained by the presence of bentonite in the ternary mixture, which binds with proteins. Recently, it was demonstrated by spectroscopy that ethyl esters interact with proteins in wine [42], meaning that bentonite can remove not only proteins from wine but also protein–ester complexes.
As can also be seen in Figure 3, specific Muscat-type aroma compounds (geraniol, linalool, α-terpineol, limonen, geranial, β-citronellal) were also reduced by these combinations with bentonite. This is no surprise, as the effect of bentonite on terpenols was demonstrated previously on aromatic varieties [43]. However, the effect of bentonite on terpenes is much less important than is the case of ethyl ester removal in Muscat-type wines. Vicenzi et al. [44] demonstrated in a model solution that bentonite, in the presence of wine proteins, generally has a reduced effect on terpene removal but a significant one on fatty acids and ethyl esters, especially those with the longest carbon chains (ethyl octanoate and ethyl decanoate). This reduction in ethyl octanoate and decanoate by the fining agents with bentonite was also found in the present study.
Regarding the treatment with pea protein only, as the ANOSIM analysis proved, the most affected compounds were the terpenes. Therefore, the PCA for the treatment with P, compared to PVPP and control wines, took into account only the identified volatile terpenes (Figure 4).
The PCA for pea protein (Figure 4) shows a tendency of the P group of wines to shift in the biplot space toward lower contributions of the terpene compounds in their aromatic profile, but the effect is not statistically significant, all wine groups, control, PVPP and P, falling in the same 95% confidence interval.
The PCA diagrams for the least aggressive treatments on aroma, those with ternary combinations containing yeast cell walls, PKY and PCY, are shown in Figure 5. The fact that these ternary groups are both overlapping with the PVPP group means, actually, that these treatments are the best replacements for PVPP. The decision for using these two ternary fining agents in wines is to be taken with caution, as this mild effect on the aroma profile is also correlated with a lower power of polyphenol reduction compared to the power of PVPP (higher total polyphenol indices of about 5.7% and 7.3% were determined in wines treated with PKY and PKC, respectively, as compared to the reduction produced by PVPP [24]). This effect may be due to the binding of yeast cell walls to proteins, including the pea protein in the fining agent, as this mechanism of yeast cell wall chitin to reduce protein haze in wine was recently demonstrated [45].
4. Conclusions
Treatments applied in winemaking for polyphenol compound removal also affect the aromatic profile of wines. Several treatments proven to have effect on polyphenol removal, classic (PVPP) and new (pea protein and combinations), were applied in the pre-fermentative phase of winemaking. The resulting wines were compared to determine the fining combinations with the least influence on the aromatic profile.
Compared with the untreated wines, among the tested treatments, the ones with highest impact on aroma were those based on the widely used PVPP, as well as the combinations with bentonite (PYB, PCB) and combinations with carbon (PCB, PKC). These compounds affected significantly the overall aroma profile, particularly by reducing the ethyl ester and acetate classes of compounds. The combinations with bentonite (PYB, PCB) also had a significant impact in reducing the terpenes.
Pea protein used alone had a borderline detectable impact by reducing the overall aroma, ethyl esters, and terpenes compared to untreated wines. However, the influences of P used alone and PVPP were both significantly different compared to control (untreated wine) but, in accordance with the dissimilarity index R, PVPP (R = 0.6704) affected the volatile profile about twice as much as P (R = 0.3505). Compared to the samples treated with PVPP, the effect of pea protein is not statistically significant (R < 0.5) and it can be concluded that pea protein can be used as an alternative to PVPP in winemaking.
Pea protein combined with other fining agents may lead to different effects than P used alone. The PYB combination, due to the presence of bentonite, induced the most differences in the volatile profile, affecting all classes of volatile compounds, but especially esters, stripping the fruity flavours from the resulting wines. The PCB combination also reduced the complexity, with bentonite and possibly activated carbon acting on the overall volatile profile. Both these combinations reduced the aroma in a significant way compared to P alone or PVPP and therefore are not recommended for use.
However, two of the combinations containing yeast cell walls, PKY and PCY, are the most interesting alternatives to both PVPP and P alone. Their effect on the overall volatile profile of wines is borderline for PKY (R = 0.4928) and not significantly different for PCY (R = 0.1115) compared to untreated wines. Compared to P for the overall volatiles, PKY and PCY induced no observable difference (R values around 0.2). Most importantly, these combinations had no significant impact on terpenes, the resulting wines being, in this regard, similar to the samples treated with PVPP.
Supplementary Materials
The following supporting information can be downloaded at: https://www.mdpi.com/article/10.3390/beverages10030081/s1, Table S1: The peak areas of the compounds identified in the chromatograms obtained for each experimental wine sample based on their retention time and Kovats Retention Indices.
Author Contributions
Conceptualization, O.A.A. and G.A.C.; methodology O.A.A. and G.A.C.; software, G.A.C.; validation, O.A.A.; formal analysis, G.A.C.; investigation O.A.A. and G.A.C.; resources, O.A.A.; data curation, O.A.A.; writing—original draft preparation, O.A.A.; writing—review and editing, O.A.A.; supervision, O.A.A.; project administration, O.A.A.; funding acquisition, O.A.A. All authors have read and agreed to the published version of the manuscript.
Funding
This work was supported by the grants of the University of Agronomic Sciences and Veterinary Medicine of Bucharest, project number 849, acronym Fine4Pietroasa, within IPC 2023.
Data Availability Statement
Data for all the experiment are part of the project number 849, acronym Fine4Pietroasa, financed by grants of the University of Agronomic Sciences and Veterinary Medicine of Bucharest, within IPC 2023.
Acknowledgments
The must of Tămâioasă românească and some of the fining agents were provided by the Research and Development Station for Viticulture and Fruit culture Pietroasa—Istrița branch of University of Agronomic Sciences and Veterinary Medicine of Bucharest, Romania.
Conflicts of Interest
The authors declare no conflicts of interest.
References
- Zoecklein, B.W.; Fugelsang, K.C.; Gump, B.H.; Nury, F.S. Fining and Fining Agents. In Production Wine Analysis; Springer: Boston, MA, USA, 1990; pp. 355–377. [Google Scholar] [CrossRef]
- Ma, T.-Z.; Gong, P.-F.; Lu, R.-R.; Zhang, B.; Morata, A.; Han, S.-Y. Effect of different clarification treatments on the volatile composition and aromatic attributes of ‘Italian Riesling’ icewine. Molecules 2020, 25, 2657. [Google Scholar] [CrossRef] [PubMed]
- Granato, T.M.; Nasi, A.; Ferranti, P.; Iametti, S.; Bonomi, F. Fining white wine with plant proteins: Effects of fining on proanthocyanidins and aroma components. Eur. Food Res. Technol. 2014, 238, 265–274. [Google Scholar] [CrossRef]
- Smith, P.A.; McRae, J.M.; Bindon, K.A. Impact of winemaking practices on tannins. Aust. J. Grape Wine Res. 2015, 21, 601–614. [Google Scholar] [CrossRef]
- OIV. International Code of Œnological Practices. 2021. Available online: https://www.oiv.int/public/medias/7713/en-oiv-code-2021.pdf (accessed on 17 July 2024).
- Braga, A.; Cosme, F.; Ricardo-da-Silva, J.M.; Laureano, O. Gelatine, casein and potassium caseinate as distinct wine fining agents: Different effects on colour, phenolic compounds and sensory characteristics. OENO One 2007, 41, 203–214. [Google Scholar] [CrossRef]
- Filipe-Ribeiro, L.; Milheiro, J.; Matos, C.C.; Cosme, F.; Nunes, F.M. Data on changes in red wine phenolic compounds, headspace aroma compounds and sensory profile after treat-ment of red wines with activated carbons with different physicochemical characteristics. Data Brief. 2017, 12, 188–202. [Google Scholar] [CrossRef]
- He, S.; Hider, R.; Zhao, J.; Tian, B. Effect of bentonite fining on proteins and phenolic composition of Chardonnay and Sauvignon blanc wines. S. Afr. J. Enol. Vitic. 2020, 41, 113–120. [Google Scholar] [CrossRef]
- Dordoni, R.; Colangelo, D.; Giribaldi, M.; Giuffrida, M.G.; De Faveri, D.M.; Lambri, M. Effect of bentonite characteristics on wine proteins, polyphenols, and metals under conditions of different pH. Am. J. Enol. Vitic. 2015, 66, 518–530. [Google Scholar] [CrossRef]
- EFSA; Panel on Food Additives and Flavourings (FAF); Younes, M.; Aquilina, G.; Castle, L.; Engel, K.H.; Fowler, P.; Fürst, P.; Gürtler, R.; Gundert-Remy, U.; et al. Re-evaluation of polyvinylpyrrolidone (E 1201) and polyvinylpolypyrrolidone (E 1202) as food additives and extension of use of polyvinylpyrrolidone (E 1201). EFSA J. 2020, 18, e06215. [Google Scholar] [CrossRef]
- Marangon, M.; Vincenzi, S.; Curioni, A. Wine fining with plant proteins. Molecules 2019, 24, 2186. [Google Scholar] [CrossRef]
- Río Segade, S.; Paissoni, M.A.; Vilanova, M.; Gerbi, V.; Rolle, L.; Giacosa, S. Phenolic composition influences the effectiveness of fining agents in vegan-friendly red wine production. Molecules 2020, 25, 120. [Google Scholar] [CrossRef]
- Cojocaru, G.A.; Ilie, B.E.; Antoce, O.A. The effect of the pre-fermentative skin contact on the colour characteristics and total phenols of white wines. Sci. Papers. Ser. B Hortic. 2022, 66, 253–259. Available online: https://horticulturejournal.usamv.ro/pdf/2022/issue_1/Art40.pdf (accessed on 27 August 2024).
- Gambuti, A.; Rinaldi, A.; Moio, L. Use of patatin, a protein extracted from potato, as alternative to animal proteins in fining of red wine. Eur. Food Res. Technol. 2012, 235, 753–765. [Google Scholar] [CrossRef]
- Mekoue Nguela, J.; Sieczkowski, N.; Roi, S.; Vernhet, A. Sorption of grape proanthocyanidins and wine polyphenols by yeasts, inactivated yeasts, and yeast cell walls. J. Agric. Food Chem. 2015, 63, 660–670. [Google Scholar] [CrossRef] [PubMed]
- Picariello, L.; Errichiello, F.; Coppola, F.; Rinaldi, A.; Moio, L.; Gambuti, A. Effect of chitosan on the removal of different types of tannins from red wines. Appl. Sci. 2021, 11, 11743. [Google Scholar] [CrossRef]
- Nguyen, T.H.; Fleet, G.H.; Rogers, P.L. Composition of the cell walls of several yeast species. Appl. Microbiol. Biotechnol. 1998, 50, 206–212. [Google Scholar] [CrossRef]
- Arenas, I.; Ribeiro, M.; Filipe-Ribeiro, L.; Vilamarim, R.; Costa, E.; Siopa, J.; Cosme, F.; Nunes, F.M. Effect of pre-fermentative maceration and fining agents on protein stability, macromolecular, and phenolic composition of Albariño white wines: Comparative efficiency of chitosan, k-carrageenan and bentonite as heat stabilisers. Foods 2021, 10, 608. [Google Scholar] [CrossRef]
- Guerrero, R.F.; Smith, P.; Bindon, K.A. Application of insoluble fibers in the fining of wine phenolics. J. Agric. Food Chem. 2013, 61, 4424–4432. [Google Scholar] [CrossRef] [PubMed]
- Bindon, K.A.; Smith, P.A. Comparison of the affinity and selectivity of insoluble fibres and commercial proteins for wine proanthocyanidins. Food Chem. 2013, 136, 917–928. [Google Scholar] [CrossRef]
- Osete-Alcaraz, A.; Osete-Alcaraz, L.; Ortega-Regules, A.E.; Bautista-Ortín, A.B.; Gómez-Plaza, E. Grape pulp fiber as possible fining agents for red wine. Biomolecules 2022, 12, 1519. [Google Scholar] [CrossRef]
- Baniţă, C.; Antoce, O.A.; Cojocaru, G.A. Evaluation by a GC electronic nose of the differences in volatile profile induced by stopping fermentation with octanoic and decanoic acid to produce sweet wines. Chemosensors 2023, 11, 98. [Google Scholar] [CrossRef]
- Stoica, F.; Gheorghita, M. The influence of the maceration process on the terpenes and polyphenols complex of the flavour wines. Bull. UASVM 2008, 65, 421–424. Available online: https://ftp.fruit-technology.ro/index.php/agriculture/article/view/966 (accessed on 27 August 2024).
- Barbulescu, I.D.; Ciric, A.I.; Begea, M.; Matei, P.M.; Moisac, A.; Nita, A.; Frincu, M.; Banita, C.D.; Teodorescu, R.I.; Tudor, V.; et al. Tămâioasă românească and Busuioacă de Bohotin grapes—Valuable sources for wine production. Sci. Pap. Ser. B Hortic. 2022, LXVI, 171–176. Available online: https://horticulturejournal.usamv.ro/pdf/2022/issue_2/Art21.pdf (accessed on 27 August 2024).
- Mukamal, K.J.; Conigraves, K.M.; Mittleman, M.A.; Camargo, C.A., Jr.; Stampfer, M.J.; Willett, W.C.; Rimm, E.B. Roles of drinking pattern and type of alcohol consumed in coronary heart disease. N. Engl. J. Med. 2003, 348, 109–118. [Google Scholar] [CrossRef] [PubMed]
- Granato, T.M.; Ferranti, P.; Iametti, S.; Bonomi, F. Affinity and selectivity of plant proteins for red wine components relevant to color and aroma traits. Food Chem. 2018, 256, 235–243. [Google Scholar] [CrossRef] [PubMed]
- Granato, T.M.; Piano, F.; Nasi, A.; Ferranti, P.; Iametti, S.; Bonomi, F. Molecular basis of the interaction between proteins of plant origin and proanthocyanidins in a model wine system. J. Agric. Food Chem. 2010, 58, 11969–11976. [Google Scholar] [CrossRef]
- Ubeda, C.; Lambert-Royo, M.I.; Gil, I.; Cortiella, M.; Del Barrio-Galán, R.; Peña-Neira, A. Chemical, physical, and sensory effects of the use of bentonite at different stages of the production of traditional sparkling wines. Foods 2021, 10, 390. [Google Scholar] [CrossRef]
- Muñoz-Castells, R.; Moreno-García, J.; García-Martínez, T.; Mauricio, J.C.; Moreno, J. Effect of bentonite addition to Pedro Ximénez white grape musts before their fermentation with selected yeasts on the major volatile compounds and polyols of wines and tentative relationships with the sensorial evaluation. Molecules 2022, 27, 8057. [Google Scholar] [CrossRef]
- Balcerek, M.; Pielech-Przybylska, K.; Patelski, P.; Dziekońska-Kubczak, U.; Jusel, T. Treatment with activated carbon and other adsorbents as an effective method for the removal of volatile compounds in agricultural distillates. Food Addit. Contam. Part A 2017, 34, 714–727. [Google Scholar] [CrossRef]
- Antoce, O.A.; Cojocaru, G.A. Impact on UV-visible spectroscopy parameters of Tamaioasa romaneasca wines from musts clarified with pea protein based fining agents. Sci. Papers. Ser. B Hortic. 2024, LXVII, 247–253. Available online: https://horticulturejournal.usamv.ro/pdf/2024/issue_1/Art31.pdf (accessed on 27 August 2024).
- Antoce, O.A.; Cojocaru, G.A. Testing the potential of innovative treatments of white grape must with vegetal proteins—Sensory impact on wine. Sci. Pap. Ser. Manag. Econ. Eng. Agric. Rural. Dev. 2024, 24, 91–98. Available online: https://managementjournal.usamv.ro/pdf/vol.24_2/Art8.pdf (accessed on 27 August 2024).
- Singleton, V.L.; Rossi, J.A. Colorimetry of total phenolics with phosphomolybdic-phosphotungstic acid reagents. Am. J. Enol. Vitic. 1965, 30, 144–158. [Google Scholar] [CrossRef]
- International Organization of Vine and Wine (OIV). Compendium of International Methods of Wine and Must Analysis Vol. 1 & 2. 2024. Available online: https://www.oiv.int/sites/default/files/publication/2024-06/Compendium%20MA%20Wines%202024%20EN%20complet_0.pdf (accessed on 27 August 2024).
- Antoce, A.O.; Cojocaru, G.A. Evaluation by flash GC electronic nose of the effect of combinations of yeasts and nutrients on the aromatic profiles of Feteasca regala wines after two years of storage. Fermentation 2021, 7, 223. [Google Scholar] [CrossRef]
- Cojocaru, G.A.; Antoce, A.O. Influence of glutathione and ascorbic acid treatments during vinification of Feteasca Regala variety and their antioxidant effect on volatile profile. Biosensors 2019, 9, 140. [Google Scholar] [CrossRef]
- Past 4—The Past of the Future. Available online: https://www.nhm.uio.no/english/research/resources/past/ (accessed on 17 July 2024).
- Roberts, D.W. Distance, dissimilarity, and mean–variance ratios in ordination. Methods Ecol. Evol. 2017, 8, 1398–1407. [Google Scholar] [CrossRef]
- Rodney, D. Green, The Dissimilarity Index: A Tutorial, Howard University. Available online: https://coascenters.howard.edu/dissimilarity-index-tutorial#:~:text=The%20Index%20of%20Dissimilarity%20(DI)&text=Its%20minimum%20value%20is%20zero,each%20race%20from%20the%20other (accessed on 17 July 2024).
- Colangelo, D.; Torchio, F.; De Faveri, D.M.; Lambri, M. The use of chitosan as alternative to bentonite for wine fining: Effects on heat-stability, proteins, organic acids, colour, and volatile compounds in an aromatic white wine. Food Chem. 2018, 264, 301–309. [Google Scholar] [CrossRef]
- Scansani, S.; Rauhut, D.; Brezina, S.; Semmler, H.; Benito, S. The impact of chitosan on the chemical composition of wines fermented with Schizosaccharomyces pombe and Saccharomyces Cerevisiae. Foods 2020, 9, 1423. [Google Scholar] [CrossRef] [PubMed]
- Di Gaspero, M.; Ruzza, P.; Hussain, R.; Vincenzi, S.; Biondi, B.; Gazzola, D.; Siligardi, G.; Curioni, A. Spectroscopy reveals that ethyl esters interact with proteins in wine. Food Chem. 2017, 217, 373–378. [Google Scholar] [CrossRef]
- Lambri, M.; Dordoni, R.; Silva, A.; De Faveri, D.M. Comparing the impact of bentonite addition for both must clarification and wine fining on the chemical profile of wine from Chambave Muscat grapes. Int. J. Food Sci. Technol. 2012, 47, 1–12. [Google Scholar] [CrossRef]
- Vincenzi, S.; Panighel, A.; Gazzola, D.; Flamini, R.; Curioni, A. Study of combined effect of proteins and bentonite fining on the wine aroma loss. J. Agric. Food Chem. 2015, 63, 2314–2320. [Google Scholar] [CrossRef] [PubMed]
- Ndlovu, T.; Divol, B.; Bauer, F.F. Yeast cell wall chitin reduces wine haze formation. Appl. Environ. Microbiol. 2018, 84, e00668-18. [Google Scholar] [CrossRef]
Disclaimer/Publisher’s Note: The statements, opinions and data contained in all publications are solely those of the individual author(s) and contributor(s) and not of MDPI and/or the editor(s). MDPI and/or the editor(s) disclaim responsibility for any injury to people or property resulting from any ideas, methods, instructions or products referred to in the content. |
© 2024 by the authors. Licensee MDPI, Basel, Switzerland. This article is an open access article distributed under the terms and conditions of the Creative Commons Attribution (CC BY) license (https://creativecommons.org/licenses/by/4.0/).




