Assessment of the Impact of Climate Change on Snow Distribution and River Flows in a Snow-Dominated Mountainous Watershed in the Western Hindukush–Himalaya, Afghanistan
Abstract
1. Introduction
2. Study Area
3. Materials and Methods
3.1. Datasets
3.2. Methods
4. Results and Discussion
4.1. Degree-Day Factor and Precipitation Gradient Optimization
4.2. Spatial and Temporal Snow Cover Simulation
4.3. Simulation of Streamflow Using Simulated SCA
4.4. Impact of Future Climate Scenarios on Snow Cover Distributions and Streamflows
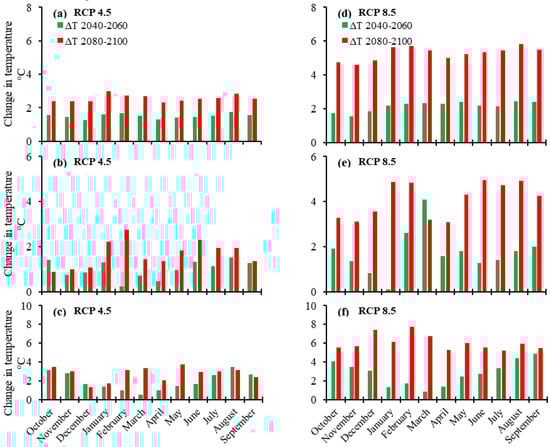
4.4.1. Projected Future Temperature and Precipitation
4.4.2. Projected Snow Cover Area Distribution
4.4.3. Projected River Flows
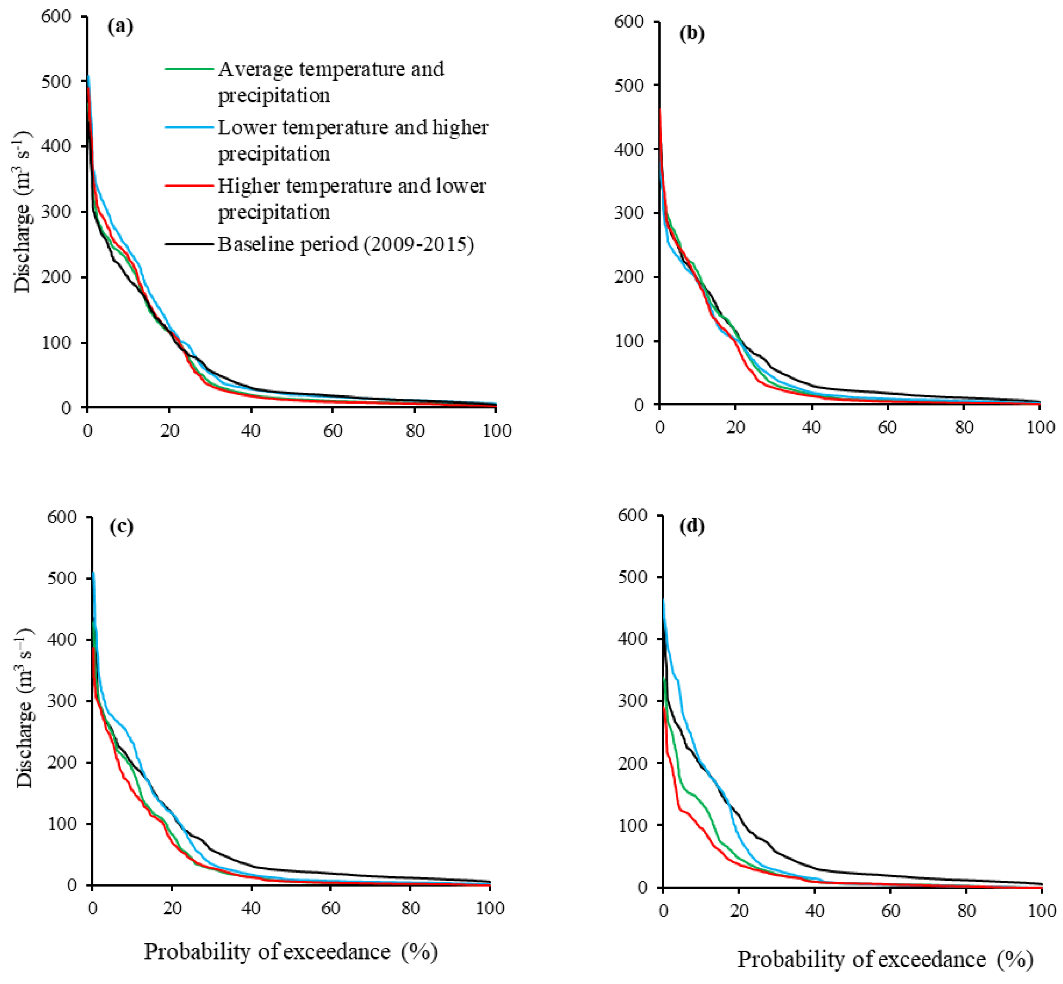
4.4.4. Projected Flow Regime
5. Conclusions
Supplementary Materials
Author Contributions
Funding
Acknowledgments
Conflicts of Interest
References
- Haddeland, I.; Heinke, J.; Biemans, H.; Eisner, S.; Florke, M.F.; Hanasaki, N.; Konzmann, M.; Ludwig, F. Global water resources affected by human interventionss and climate change. Proc. Natl. Acad. Sci. USA 2014, 111, 3251–3256. [Google Scholar] [CrossRef]
- Nepal, S. Impacts of climate change on the hydrological regime of the Koshi river basin in the Himalayan region. J. Hydro-Environ. Res. 2016, 10, 76–89. [Google Scholar] [CrossRef]
- You, Q.; Ren, G.Y.; Zhang, Y.Q.; Ren, Y.; Sun, X.B.; Zhan, Y.J.; Shrestha, A.B.; Krishnan, R. An overview of studies of observed climate change in the Hindu Kush Himalayan (HKH) region. Adv. Clim. Chang. Res. 2017, 8, 141–147. [Google Scholar] [CrossRef]
- Kumar, P.; Kotlarski, S.; Moseley, C.; Sieck, K.; Frey, H.; Stoffel, M.; Jacob, D. Response of Karakoram-Himalayan glaciers to climate variability and climatic change: A regional climate model assessment. Geophys. Res. Lett. 2015, 42, 1818–1825. [Google Scholar] [CrossRef]
- Pelto, M. Recent Climate Change Impacts on Mountain Glaciers. Available online: https://search.ebscohost.com/login.aspx?direct=true&scope=site&db=nlebk&db=nlabk&AN=1412837 (accessed on 1 September 2020).
- Shrestha, S.; Nepal, S. Water Balance Assessment under Different Glacier Coverage Scenarios in the Hunza Basin. Water 2019, 11, 1124. [Google Scholar] [CrossRef]
- Williams, M.W. The Status of Glaciers in the Hindu Kush–Himalayan Region. Mt. Res. Dev. 2013, 33, 114–115. [Google Scholar] [CrossRef]
- Bajracharya, S.R.; Maharjan, S.B.; Shrestha, F.; Guo, W.Q.; Liu, S.; Immerzeel, W.W.; Shrestha, B. The glaciers of the Hindu Kush Himalayas: Current status and observed changes from the 1980s to 2010. Int. J. Water Resour. Dev. 2015, 31, 161–173. [Google Scholar] [CrossRef]
- Mukherji, A.; Molden, D.; Nepal, S.; Rasul, G.; Wagnon, P. Himalayan waters at the crossroads: Issues and challenges. Int. J. Water Resour. Dev. 2015, 31, 151–160. [Google Scholar] [CrossRef]
- Nepal, S.; Shrestha, A.B. Impact of climate change on the hydrological regime of the Indus, Ganges and Brahmaputra river basins: A review of the literature. Int. J. Water Resour. Dev. 2015, 31, 201–218. [Google Scholar] [CrossRef]
- Prasad, A.K.; Yang, K.H.S.; El-Askary, H.; Kafatos, M. Melting of major Glaciers in the western Himalayas: Evidence of climatic changes from long term MSU derived tropospheric temperature trend (1979–2008). Ann. Geophys. 2009, 27, 4505–4519. [Google Scholar] [CrossRef]
- Lutz, A.F.; Ter Maat, H.W.; Biemans, H.; Shrestha, A.B.; Wester, P.; Immerzeel, W.W. Selecting representative climate models for climate change impact studies: An advanced envelope-based selection approach. Int. J. Clim. 2016, 36, 3988–4005. [Google Scholar] [CrossRef]
- Lutz, A.F.; Ter Maat, H.W.; Wijngaard, R.R.; Biemans, H.; Syed, A.; Shrestha, A.B.; Wester, P.; Immerzeel, W.W. South Asian river basins in a 1.5 °C warmer world. Reg. Environ. Chang. 2018, 19, 833–847. [Google Scholar] [CrossRef]
- Su, B.; Huang, J.; Gemmer, M.; Jian, D.; Tao, H.; Jiang, T.; Zhao, C. Statistical downscaling of CMIP5 multi-model ensemble for projected changes of climate in the Indus River Basin. Atmos. Res. 2016, 178, 138–149. [Google Scholar] [CrossRef]
- Bokhari, S.A.A.; Ahmad, B.; Ali, J.; Ahmad, S.; Mushtaq, H.; Rasul, G. Future Climate Change Projections of the Kabul River Basin using a Multi-model Ensemble of High-Resolution Statistically Downscaled Data. Earth Syst. Environ. 2018, 2, 477–497. [Google Scholar] [CrossRef]
- Muhammad, A.; Evenson, G.R.; Unduche, F.; Stadnyk, T.A. Climate Change Impacts on Reservoir Inflow in the Prairie Pothole Region: A Watershed Model Analysis. Water 2020, 12, 271. [Google Scholar] [CrossRef]
- Jiang, T.; Fischer, T.; Lu, X. Larger Asian rivers: Climate, hydrology and ecosystems. Quat. Int. 2011, 244, 127–129. [Google Scholar] [CrossRef]
- Khadka, D.; Babel, M.S.; Shrestha, S.; Tripathi, N.K. Climate change impact on glacier and snow melt and runoff in Tamakoshi basin in the Hindu Kush Himalayan (HKH) region. J. Hydrol. 2014, 511, 49–60. [Google Scholar] [CrossRef]
- Armstrong, R.L.; Rittger, K.; Brodzik, M.J.; Racoviteanu, A.; Barrett, A.P.; Khalsa, S.J.S.; Raup, B.; Hill, A.F.; Khan, A.L.; Wilson, A.M.; et al. Runoff from glacier ice and seasonal snow in High Asia: Separating melt water sources in river flow. Reg. Environ. Chang. 2018, 19, 1249–1261. [Google Scholar] [CrossRef]
- Immerzeel, W.W.; Droogers, P.; de Jong, S.M.; Bierkens, M. Large-scale monitoring of snow cover and runoff simulation in Himalayan river basins using remote sensing. Remote. Sens. Environ. 2009, 113, 40–49. [Google Scholar] [CrossRef]
- Kour, R.; Patel, N.; Krishna, A.P. Assessment of temporal dynamics of snow cover and its validation with hydro-meteorological data in parts of Chenab Basin, western Himalayas. Sci. China Earth Sci. 2016, 59, 1081–1094. [Google Scholar] [CrossRef]
- Winiger, M.; Gumpert, M.; Yamout, H. Karakorum-Hindukush-western Himalaya: Assessing high-altitude water resources. Hydrol. Process. 2005, 19, 2329–2338. [Google Scholar] [CrossRef]
- Hasson, S.U.; Böhner, J.; Lucarini, V. Prevailing climatic trends and runoff response from Hindukush–Karakoram–Himalaya, upper Indus Basin. Earth Syst. Dyn. 2017, 8, 337–355. [Google Scholar] [CrossRef]
- Immerzeel, W.W.; van Beek, L.P.H.; Bierkens, M.F.P. Climate Change Will Affect the Asian Water Towers. Science 2010, 328, 1382–1385. [Google Scholar] [CrossRef]
- Immerzeel, W.W.; van Beek, L.P.H.; Konz, M.; Shrestha, A.B.; Bierkens, M.F.P. Hydrological response to climate change in a glacierized catchment in the Himalayas. Clim. Chang. 2012, 110, 721–736. [Google Scholar] [CrossRef] [PubMed]
- Wang, J.; Li, S. Effect of climatic change on snowmelt runoffs in mountainous regions of inland rivers in Northwestern China. Sci. China Ser. D 2006, 49, 881–888. [Google Scholar] [CrossRef]
- Wijngaard, R.R. Climate Change in Mountainous River Basins: Understanding Climate Change Impacts and Challenges Across Different Spatial Scales. Ph.D. Thesis, Utrecht University, Uthrecht, The Netherlands, 2019. [Google Scholar]
- Hayat, H.; Akbar, T.A.; Tahir, A.A.; Hassan, Q.K.; Dewan, A.; Irshad, M. Simulating Current and Future River-Flows in the Karakoram and Himalayan Regions of Pakistan Using Snowmelt-Runoff Model and RCP Scenarios. Water 2019, 11, 761. [Google Scholar] [CrossRef]
- Brubaker, K.; Rango, A.; Kustas, W. Incorporating Radiation Inputs into the Snowmelt Runoff Model. Hydrol. Process. 1996, 10, 1329–1343. [Google Scholar] [CrossRef]
- Rajkumari, S.; Chiphang, N.; Kiba, L.G.; Bandyopadhyay, A.; Bhadra, A. Development and application of a spatially distributed snowmelt runoff model for limited data condition. Arab. J. Geosci. 2019, 12, 488. [Google Scholar] [CrossRef]
- Martinec, J.; Rango, A.; Roberts, R. Snowmelt Runoff Model (SRM) User’s Manual; New Mexico State University: Las Cruces, NM, USA, 2008. [Google Scholar]
- Zhang, G.; Xie, H.; Yao, T.; Li, H.; Duan, S. Quantitative water resources assessment of Qinghai Lake basin using Snowmelt Runoff Model (SRM). J. Hydrol. 2014, 519, 976–987. [Google Scholar] [CrossRef]
- Xie, S.; Du, J.; Zhou, X.; Zhang, X.; Feng, X.; Zheng, W.; Li, Z.; Xu, C.Y. A progressive segmented optimization algorithm for calibrating time-variant parameters of the snowmelt runoff model (SRM). J. Hydrol. 2018, 566, 470–483. [Google Scholar] [CrossRef]
- Butt, M.J.; Bilal, M. Application of snowmelt runoff model for water resource management. Hydrol. Process. 2011, 25, 3735–3747. [Google Scholar] [CrossRef]
- Panday, P.; Williams, C.A.; Frey, K.E.; Brown, M. Application and evaluation of a snowmelt runoff model in the Tamor River basin, Eastern Himalaya using a Markov Chain Monte Carlo (MCMC) data assimilation approach. Hydrol. Process. 2013, 28, 5337–5353. [Google Scholar] [CrossRef]
- Yu, M.; Chen, X.; Li, L.; Bao, A.; de La Paix, M.J. Incorporating accumulated temperature and algorithm of snow cover calculation into the snowmelt runoff model. Hydrol. Process. 2012, 27, 3589–3595. [Google Scholar] [CrossRef]
- Munir, M.B. Climate change impact on flow discharge of neelum river catchment using Snowmelt Runoff Model. In Proceedings of the IEEE International Conference on Space Science and Communication (IconSpace), Melaka, Malaysia, 1–3 July 2013; pp. 350–355. [Google Scholar]
- Tahir, A.A.; Hakeem, S.A.; Hu, T.; Hayat, H.; Yasir, M. Simulation of snowmelt-runoff under climate change scenarios in a data-scarce mountain environment. Int. J. Digit. Earth 2017, 12, 910–930. [Google Scholar] [CrossRef]
- Tahir, A.A.; Chevallier, P.; Arnaud, Y.; Neppel, L.; Ahmad, B. Modeling snowmelt-runoff under climate scenarios in the Hunza River basin, Karakoram Range, Northern Pakistan. J. Hydrol. 2011, 409, 104–117. [Google Scholar] [CrossRef]
- Adnan, M.; Nabi, G.; Poomee, M.S.; Ashraf, A. Snowmelt runoff prediction under changing climate in the Himalayan cryosphere: A case of Gilgit River Basin. Geosci. Front. 2017, 8, 941–949. [Google Scholar] [CrossRef]
- Adnan, M.; Nabi, G.; Kang, S.; Zhang, G.; Adnan, R.M.; Anjum, M.N.; Iqbal, M.; Ali, A.F. Snowmelt Runoff Modelling under Projected Climate Change Patterns in the Gilgit River Basin of Northern Pakistan. Pol. J. Environ. Stud. 2017, 26, 525–542. [Google Scholar] [CrossRef]
- Hayat, H.; Tahir, A.A.; Wajid, S.; Abbassi, A.M.; Zubair, F.; Hashmi, Z.U.R.; Khan, A.; Khan, A.J.; Irshad, M. Simulation of the meltwater under different climate change scenarios in a poorly gauged snow and glacier-fed chitral river catchment (Hindukush region). Geocarto Int. 2019, 1–17. [Google Scholar] [CrossRef]
- Azmat, M.; Qamar, M.U.; Huggel, C.; Hussain, E. Future climate and cryosphere impacts on the hydrology of a scarcely gauged catchment on the Jhelum river basin, Northern Pakistan. Sci. Total. Environ. 2018, 639, 961–976. [Google Scholar] [CrossRef]
- Khadka, A.; Devkota, L.; Kayastha, R. Impact of Climate Change on the Snow Hydrology of Koshi River Basin. J. Hydrol. Meteorol. 2016, 9, 28–44. [Google Scholar] [CrossRef]
- Ma, Y.; Huang, Y.; Chen, X.; Li, Y.P.; Bao, A. Modelling Snowmelt Runoff under Climate Change Scenarios in an Ungauged Mountainous Watershed, Northwest China. Math. Probl. Eng. 2013, 2013, 1–9. [Google Scholar] [CrossRef]
- Azizi, A.H.; Asaoka, Y. Incorporating snow model and snowmelt runoff model for streamflow simulation in a snow-dominated mountainous basin in the western Hindukush-Himalaya region. Hydrol. Res. Lett. 2020, 14, 34–40. [Google Scholar] [CrossRef]
- Azizi, A.H.; Asaoka, Y. Estimating spatial and temporal snow distribution using numerical model and satellite remote sensing in the western hindukush-himalaya region. Jpn. Soc. Civ. Eng. Ser. G 2019, 75, I_125–I_134. [Google Scholar] [CrossRef]
- Kazama, S.; Izumi, H.; Sarukkalige, P.R.; Nasu, T.; Sawamoto, M. Estimating snow distribution over a large area and its application for water resources. Hydrol. Process. 2008, 22, 2315–2324. [Google Scholar] [CrossRef]
- Asaoka, Y.; Kominami, Y. Spatial snowfall distribution in mountainous areas estimated with a snow model and satellite remote sensing. Hydrol. Res. Lett. 2012, 6, 1–6. [Google Scholar] [CrossRef][Green Version]
- Asaoka, Y.; Kominami, Y. Incorporation of satellite-derived snow-cover area in spatial snowmelt modeling for a large area: Determination of a gridded degree-day factor. Ann. Glaciol. 2013, 54, 205–213. [Google Scholar] [CrossRef]
- Bajracharya, S.R.; Shrestha, B.R. The Status of Glaciers in the Hindu Kush-Himalayan Region; International Centre for Integrated Mountain Development (ICIMOD): Kathmandu, Nepal, 2011; pp. 24–29. [Google Scholar]
- Favre, R.; Kamal, G.M. Watershed Atlas of Afghanistan, 1st ed.; Working Document for Planners; Ministry of Irrigation Water Resources and Environment: Kabul, Afghanistan; Food and Agriculture Organization of the United Nations (FAO): Rome, Italy, 2004.
- Shroder, J.F. Watersheds of Want. In Natural Resources in Afghanistan; Chapter 5; Shroder, J.F., Ed.; Elsevier: Amsterdam, The Netherlands, 2014; pp. 138–180. [Google Scholar] [CrossRef]
- Akhtar, F.; Awan, U.K.; Tischbein, B.; Liaqat, U.W. Assessment of Irrigation Performance in Large River Basins under Data Scarce Environment—A Case of Kabul River Basin, Afghanistan. Remote. Sens. 2018, 10, 972. [Google Scholar] [CrossRef]
- Tachikawa, T.; Kaku, M.; Iwasaki, A.; Gesch, D.B.; Oimoen, M.J.; Zhang, Z.; Danielson, J.J.; Krieger, T.; Curtis, B.; Haase, J.; et al. ASTER Global Digital Elevation Model Version 2—Summary of Validation Results; NASA: Washington, DC, USA, 2011; p. 27.
- Akhtar, F.; Awan, U.K.; Tischbein, B.; Liaqat, U.W. A phenology based geo-informatics approach to map land use and land cover (2003–2013) by spatial segregation of large heterogenic river basins. Appl. Geogr. 2017, 88, 48–61. [Google Scholar] [CrossRef]
- Akhtar, F. Water Availability and Demand Analysis in the Kabul River Basin, Afghanistan. Ph.D. Thesis, University of Bonn, Bonn, Germany, 2017. [Google Scholar]
- Gurung, D.R.; Giriraj, A.; Aung, K.S.; Shrestha, B.R.; Kulkarni, A.V. Snow-Cover Mapping and Monitoring in the Hindu Kush-Himalayas; International Centre for Integrated Mountain Development (ICIMOD): Kathmandu, Nepal, 2011. [Google Scholar]
- Hall, D.K.; Riggs, G.A.; Salomonson, V.V.; Digirolamo, N.E.; Bayr, K.J. MODIS snow-cover products. Remote Sens. Environ. 2002, 83, 181–194. [Google Scholar] [CrossRef]
- Tekeli, A.E.; Akyürek, Z.; Şorman, A.A.; Şensoy, A. Using MODIS snow cover maps in modeling snowmelt runoff process in the eastern part of Turkey. Remote. Sens. Environ. 2005, 97, 216–230. [Google Scholar] [CrossRef]
- Karimi, H.; Zeinivand, H.; Tahmasebipour, N.; Haghizadeh, A.; Miryaghoubzadeh, M. Comparison of SRM and WetSpa models efficiency for snowmelt runoff simulation. Environ. Earth Sci. 2016, 75, 664. [Google Scholar] [CrossRef]
- Azmat, M.; Wahab, A.; Huggel, C.; Qamar, M.U.; Hussain, E.; Ahmad, S.; Waheed, A.; Ahmed, S. Climatic and hydrological projections to changing climate under CORDEX-South Asia experiments over the Karakoram-Hindukush-Himalayan water towers. Sci. Total. Environ. 2020, 703, 135010. [Google Scholar] [CrossRef]
- Liston, G.E.; Elder, K. A Distributed Snow-Evolution Modeling System (SnowModel). J. Hydrometeorol. 2006, 7, 1259–1276. [Google Scholar] [CrossRef]
- Sturm, M.; Taras, B.; Liston, G.E.; Derksen, C.; Jonas, T.; Lea, J. Estimating Snow Water Equivalent using Snow Depth Data and Climate Classes. J. Hydrometeorol. 2010, 11, 1380–1394. [Google Scholar] [CrossRef]
- Kumar, M.; Marks, D.; Dozier, J.; Reba, M.; Winstral, A. Evaluation of distributed hydrologic impacts of temperature-index and energy-based snow models. Adv. Water Resour. 2013, 56, 77–89. [Google Scholar] [CrossRef]
- Hock, R. Temperature index melt modelling in mountain areas. J. Hydrol. 2003, 282, 104–115. [Google Scholar] [CrossRef]
- Singh, P.; Jain, S.K. Modelling of streamflow and its components for a large Himalayan basin with predominant snowmelt yields. Hydrol. Sci. J. 2003, 48, 257–276. [Google Scholar] [CrossRef]
- Martinec, J. Snowmelt—runoff model for stream flow forecasts. Hydrol. Res. 1975, 6, 145–154. [Google Scholar] [CrossRef]
- Krause, P.; Boyle, D.P.; Bäse, F. Comparison of different efficiency criteria for hydrological model assessment. Adv. Geosci. 2005, 5, 89–97. [Google Scholar] [CrossRef]
- Sidiqi, M.; Shrestha, S.; Ninsawat, S. Projection of Climate Change Scenarios in the Kabul River Basin, Afghanistan. Curr. Sci. 2018, 114, 1304. [Google Scholar] [CrossRef]
- Akhtar, M.; Ahmad, N.; Booij, M.J. The impact of climate change on the water resources of Hindukush–Karakorum–Himalaya region under different glacier coverage scenarios. J. Hydrol. 2008, 355, 148–163. [Google Scholar] [CrossRef]
- Hay, L.E.; Wilby, R.L.; Leavesley, G.H. A comparison of delta change and downscaled GCM scenarios for three mountainous basins in the United States1. J. Am. Water Resour. Assoc. 2000, 36, 387–397. [Google Scholar] [CrossRef]
- Szczypta, C.; Gascoin, S.; Houet, T.; Hagolle, O.; Dejoux, J.F.; Vigneau, C.; Fanise, P. Impact of climate and land cover changes on snow cover in a small Pyrenean catchment. J. Hydrol. 2015, 521, 84–99. [Google Scholar] [CrossRef]
- Fowler, H.J.; Blenkinsop, S.; Tebaldi, C. Linking climate change modelling to impacts studies: Recent advances in downscaling techniques for hydrological modelling. Int. J. Clim. 2007, 27, 1547–1578. [Google Scholar] [CrossRef]
- Van Vuuren, D.P.; Edmonds, J.; Kainuma, M.; Riahi, K.; Thomson, A.; Hibbard, K.; Hurtt, G.C.; Kram, T.; Krey, V.; Lamarque, J.F.; et al. The representative concentration pathways: An overview. Clim. Chang. 2011, 109, 5–31. [Google Scholar] [CrossRef]
- Dahal, V.; Shakya, N.M.; Bhattarai, R. Estimating the Impact of Climate Change on Water Availability in Bagmati Basin. Nepal. Environ. Process. 2016, 3, 1–17. [Google Scholar] [CrossRef]
- Rajbhandari, R.; Shrestha, A.B.; Nepal, S.; Wahid, S. Projection of Future Climate over the Koshi River Basin Based on CMIP5 GCMs. Atmos. Clim. Sci. 2016, 6, 190–204. [Google Scholar] [CrossRef]
- Sanjay, J.; Krishnan, R.; Shrestha, A.B.; Rajbhandari, R.; Ren, G.Y. Downscaled climate change projections for the Hindu Kush Himalayan region using CORDEX South Asia regional climate models. Adv. Clim. Chang. Res. 2017, 8, 185–198. [Google Scholar] [CrossRef]
- Pendergrass, A.G.; Knutti, R.; Lehner, F.; Deser, C.; Sanderson, B. Precipitation variability increases in a warmer climate. Sci. Rep. 2017, 7, 17966. [Google Scholar] [CrossRef]
- Amin, A.; Nasim, W.; Mubeen, M.; Sarwar, S.; Urich, P.; Ahmad, A.; Wajid, A.; Khaliq, T.; Rasul, F.; Hammad, H.M.; et al. Regional climate assessment of precipitation and temperature in Southern Punjab (Pakistan) using SimCLIM climate model for different temporal scales. Theor. Appl. Clim. 2016, 131, 121–131. [Google Scholar] [CrossRef]
- Etter, S.; Addor, N.; Huss, M.; Finger, D.C. Climate change impacts on future snow, ice and rain runoff in a Swiss mountain catchment using multi-dataset calibration. J. Hydrol. Reg. Stud. 2017, 13, 222–239. [Google Scholar] [CrossRef]
- Soncini, A.; Bocchiola, D.; Confortola, G.; Bianchi, A.; Rosso, R.; Mayer, C.; Lambrecht, A.; Palazzi, E.; Smiraglia, C.; Diolaiuti, G. Future Hydrological Regimes in the Upper Indus Basin: A Case Study from a High-Altitude Glacierized Catchment. J. Hydrometeorol. 2015, 16, 306–326. [Google Scholar] [CrossRef]
- Barnett, T.P.; Adam, J.C.; Lettenmaier, D.P. Potential impacts of a warming climate on water availability in snow-dominated regions. Nat. Cell Biol. 2005, 438, 303–309. [Google Scholar] [CrossRef] [PubMed]













| Station Name | Latitude | Longitude | Elevation (m) | Data Provided |
|---|---|---|---|---|
| Tang-i-Gulbahar | 35.15932778 | 69.28868333 | 1625 | Precipitation, Temperature, Discharge |
| Omarz | 35.37582500 | 69.64085278 | 2042 | Precipitation, Temperature |
| Doabi | 35.34829722 | 69.61877222 | 2059 | Precipitation, Temperature |
| Keraman | 35.28355278 | 69.65692778 | 2232 | Precipitation, Temperature |
| Khawak | 35.56481111 | 69.89494167 | 2405 | Precipitation, Temperature |
| Nazdik-i-Khawak | 35.56796944 | 69.90390833 | 2407 | Precipitation, Temperature |
| ID | Model | Resolution | Institution |
|---|---|---|---|
| 1 | CMCC-CM | 0.7° × 0.7° | Euro-Mediterranean Center on Climate Change (CMCC), Italy |
| 2 | CNRM-CM5 | 1.4° × 1.4° | Centre National de Recherches Météorologiques-Centre Européen de Recherche et de Formation Avancée en Calcul Scientifique (CNRM-CERFACS), France |
| 3 | CSIRO-Mk3.6 | 1.9° × 1.9° | CSIRO Marine and Atmospheric Research and the Queensland Climate Change Centre of Excellence (CSIRO-QCCCE), Australia |
| 4 | GFDL CM3 | 2.5° × 2.0° | The Geophysical Fluid Dynamics Laboratory in the National Oceanic and Atmospheric Administration (NOAA, GFDL, USA) |
| 5 | HadGEM2-AO | 1.9° × 1.2° | Institute of Meteorological Research/Korea Meteorological Administration (NIMR-KMA), Korea |
| 6 | MIROC5 | 1.4° × 1.4° | Atmosphere and Ocean Research Institute (The University of Tokyo), National Institute for Environmental Studies, and Japan Agency for Marine Earth Science and Technology (JAMSTEC), Japan |
| 7 | MPI-ESM-MR | 1.9° × 1.9° | Max Planck Institute for Meteorology (MPI-M), Germany |
| 8 | MRI-CGCM3 | 1.1° × 1.1° | Meteorological Research Institute (MRI), Japan |
| GCMs | RCP 4.5 | RCP 8.5 | ||
|---|---|---|---|---|
| ∆T 2040–2060 | ∆T 2080–2100 | ∆T 2040–2060 | ∆T 2080–2100 | |
| CMCC-CM | 1.69 °C | 2.72 °C | 3.03 °C | 6.05 °C |
| CNRM-CM5 | 1.93 °C | 2.76 °C | 2.26 °C | 4.88 °C |
| CSRIO-Mk3.6 | 1.69 °C | 2.67 °C | 2.05 °C | 5.09 °C |
| GFDL CM3 | 1.94 °C | 4.36 °C | 2.80 °C | 7.41 °C |
| HadGEM2-OA | 0.69 °C | 1.68 °C | 1.06 °C | 4.09 °C |
| MIROC5 | 1.83 °C | 2.55 °C | 2.44 °C | 5.30 °C |
| MPI-ESM-MR | 1.00 °C | 1.65 °C | 1.84 °C | 4.55 °C |
| MRI-CGCM3 | 1.29 °C | 2.17 °C | 1.74 °C | 4.86 °C |
| Average | 1.51 °C | 2.57 °C | 2.15 °C | 5.28 °C |
| Standard deviation | 0.46 °C | 0.85 °C | 0.63 °C | 1.03 °C |
| Average − Standard deviation | 1.04 °C | 1.72 °C | 1.53 °C | 4.25 °C |
| Average + Standard deviation | 1.97 °C | 3.42 °C | 2.78 °C | 6.31 °C |
| GCMs | RCP 4.5 | RCP 8.5 | ||
|---|---|---|---|---|
| ∆P 2040–2060 | ∆P 2080–2100 | ∆P 2040–2060 | ∆P 2080–2100 | |
| CMCC-CM | 1.00 | 0.97 | 1.13 | 1.01 |
| CNRM-CM5 | 0.94 | 0.95 | 1.04 | 0.88 |
| CSRIO-Mk3.6 | 1.05 | 1.02 | 0.98 | 0.84 |
| GFDL CM3 | 0.93 | 1.07 | 1.00 | 1.13 |
| HadGEM2-OA | 0.98 | 0.92 | 0.87 | 0.94 |
| MIROC5 | 1.01 | 0.99 | 1.00 | 0.99 |
| MPI-ESM-MR | 0.90 | 1.00 | 1.00 | 1.14 |
| MRI-CGCM3 | 0.94 | 0.94 | 0.88 | 0.89 |
| Average | 0.97 | 0.98 | 0.99 | 0.98 |
| Standard deviation | 0.05 | 0.05 | 0.08 | 0.11 |
| Average − Standard deviation | 0.92 | 0.93 | 0.90 | 0.86 |
| Average + Standard deviation | 1.02 | 1.03 | 1.07 | 1.09 |
| Seasons | RCP4.5 Mid-21st Century | RCP8.5 Mid-21st Century | RCP4.5 Late-21st Century | RCP8.5 Late-21st Century |
|---|---|---|---|---|
| Average temperature and precipitation | ||||
| Autumn | −85 | −108 | −229 | −577 |
| Winter | −69 | −121 | −187 | −575 |
| Spring | −242 | −426 | −495 | −1117 |
| Summer | −131 | −186 | −205 | −256 |
| Higher temperature and lower precipitation | ||||
| Autumn | −249 | −406 | −317 | −815 |
| Winter | −35 | −113 | −198 | −859 |
| Spring | −156 | −381 | −642 | −1299 |
| Summer | −164 | −227 | −226 | −257 |
| Lower temperature and higher precipitation | ||||
| Autumn | 108 | −53 | 67 | −348 |
| Winter | 3 | −128 | −112 | −309 |
| Spring | −60 | −435 | −269 | −614 |
| Summer | −61 | −151 | −147 | −242 |
| Seasons | RCP4.5 Mid-21st Century | RCP8.5 Mid-21st Century | RCP4.5 Late-21st Century | RCP8.5 Late-21st Century |
|---|---|---|---|---|
| Average temperature and precipitation | ||||
| Autumn | −5 | −7 | −8 | −8 |
| Winter | −2 | −3 | −3 | −0.2 |
| Spring | 20 | 25 | 5 | −20 |
| Summer | −30 | −49 | −57 | −81 |
| Higher temperature and lower precipitation | ||||
| Autumn | −7 | −8 | −9 | −8 |
| Winter | −3 | −4 | −3 | 1 |
| Spring | 26 | 18 | 3 | −49 |
| Summer | −32 | −60 | −70 | −83 |
| Lower temperature and higher precipitation | ||||
| Autumn | −1 | −6 | −7 | −8 |
| Winter | −1 | −1 | −3 | −1 |
| Spring | 31 | 2 | 32 | 48 |
| Summer | −5 | −38 | −39 | −71 |
© 2020 by the authors. Licensee MDPI, Basel, Switzerland. This article is an open access article distributed under the terms and conditions of the Creative Commons Attribution (CC BY) license (http://creativecommons.org/licenses/by/4.0/).
Share and Cite
Azizi, A.H.; Asaoka, Y. Assessment of the Impact of Climate Change on Snow Distribution and River Flows in a Snow-Dominated Mountainous Watershed in the Western Hindukush–Himalaya, Afghanistan. Hydrology 2020, 7, 74. https://doi.org/10.3390/hydrology7040074
Azizi AH, Asaoka Y. Assessment of the Impact of Climate Change on Snow Distribution and River Flows in a Snow-Dominated Mountainous Watershed in the Western Hindukush–Himalaya, Afghanistan. Hydrology. 2020; 7(4):74. https://doi.org/10.3390/hydrology7040074
Chicago/Turabian StyleAzizi, Abdul Haseeb, and Yoshihiro Asaoka. 2020. "Assessment of the Impact of Climate Change on Snow Distribution and River Flows in a Snow-Dominated Mountainous Watershed in the Western Hindukush–Himalaya, Afghanistan" Hydrology 7, no. 4: 74. https://doi.org/10.3390/hydrology7040074
APA StyleAzizi, A. H., & Asaoka, Y. (2020). Assessment of the Impact of Climate Change on Snow Distribution and River Flows in a Snow-Dominated Mountainous Watershed in the Western Hindukush–Himalaya, Afghanistan. Hydrology, 7(4), 74. https://doi.org/10.3390/hydrology7040074

