Calibration and Validation of an Operational Method to Estimate Actual Evapotranspiration in Mediterranean Wetlands
Abstract
1. Introduction
2. Materials and Methods
2.1. Study Region
2.2. Study Data
2.2.1. Eddy Covariance Observations
2.2.2. Meteorological Data
2.2.3. MODIS Images
2.2.4. LSA-SAF Images
2.3. ETa Modelling Strategy
2.4. Data Processing
3. Results
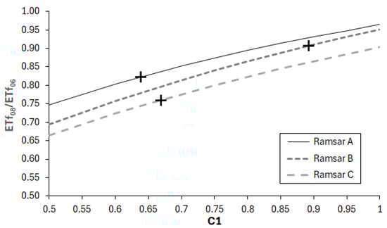
3.1. Regional NDVI-Cws Estimates
3.2. NDVI-Cws Estimates of Test Wetlands
4. Discussion and Conclusions
Author Contributions
Funding
Data Availability Statement
Acknowledgments
Conflicts of Interest
References
- Allen, R.G.; Tasumi, M.; Trezza, R. Satellite-based energy balance for mapping evapotranspiration with internalized calibration METRIC model. J. Irrig. Drain. Eng. 2007, 33, 380–394. [Google Scholar] [CrossRef]
- Tabari, H.; Talaee, P.H. Sensitivity of evapotranspiration to climatic change in different climates. Glob. Planet. Change 2014, 115, 16–23. [Google Scholar] [CrossRef]
- Rana, G.; Katerji, N. Measurement and estimation of actual evapotranspiration in the field under Mediterranean climate: A review. Eur. J. Agron. 2000, 13, 125–153. [Google Scholar] [CrossRef]
- Boulet, G.; Jarlan, J.; Olioso, A.; Nieto, E. Evapotranspiration in the Mediterranean region. In Water Resources in the Mediterranean Region; Elsevier: Amsterdam, The Netherlands, 2020; pp. 23–49. [Google Scholar] [CrossRef]
- He, M.; Kimball, J.S.; Yi, Y.; Running, S.W.; Guan, K.; Moreno, A.; Wu, X.; Maneta, M. Satellite data-driven modeling of field scale evapotranspiration in croplands using the MOD16 algorithm framework. Remote Sens. Environ. 2019, 230, 111201. [Google Scholar] [CrossRef]
- West, H.; Quinn, N.; Horswell, M. Remote sensing for drought monitoring & impact assessment: Progress, past challenges and future opportunities. Remote Sens. Environ. 2019, 232, 111251. [Google Scholar] [CrossRef]
- Zhang, K.; Kimball, J.S.; Running, S.W. A review of remote sensing based actual evapotranspiration estimation. WIREs Water 2016, 3, 834–853. [Google Scholar] [CrossRef]
- Liou, Y.-A.; Kar, S.K. Evapotranspiration estimation with remote sensing and various surface energy balance algorithms. A review. Energies 2014, 7, 2821–2849. [Google Scholar] [CrossRef]
- Jones, H.G.; Sirault, X.R.R. Scaling of thermal images at different spatial resolution: The mixed pixel problem. Agronomy 2014, 4, 380–396. [Google Scholar] [CrossRef]
- Guzinski, R.; Nieto, H.; Ramo Sánchez, R.; Sánchez, J.M.; Joma, I.; Zitouna-Chebbi, R.; Roupsard, O.; López-Urrea, R. Improving field-scale crop actual evapotranspiration monitoring with Sentinel-3, Sentinel-2, and Landsat data fusion. Int. J. Appl. Earth Obs. Geoinf. 2023, 125, 103587. [Google Scholar] [CrossRef]
- Pereira, L.S.; Paredes, P.; López-Urrea, R.; Hunsaker, D.J.; Mota, M.; Mohammadi Shad, Z. Standard single and basal crop coefficients for vegetable crops, an update of FAO56 crop water requirements approach. Agric. Water Manag. 2021, 243, 106196. [Google Scholar] [CrossRef]
- Maselli, F.; Papale, D.; Puletti, N.; Chirici, G.; Corona, P. Combining remote sensing and ancillary data to monitor the gross productivity of water-limited forest ecosystems. Remote Sens. Environ. 2009, 113, 657–667. [Google Scholar] [CrossRef]
- Glenn, E.P.; Nagler, P.L.; Huete, A.R. Vegetation index methods for estimating evapotranspiration by remote sensing. Surv. Geophys. 2010, 31, 531–555. [Google Scholar] [CrossRef]
- Senay, G.B. Modeling landscape evapotranspiration by integrating land surface phenology and a water balance algorithm. Algorithms 2008, 1, 52–68. [Google Scholar] [CrossRef]
- Senay, G.; Kagone, S.; Parrish, G.E.L.; Khand, K.; Boiko, O.; Velpuri, N.M. Improvements and evaluation of the agro-Hydrologic VegET model for large-area water budget analysis and drought monitoring. Hydrology 2023, 10, 168. [Google Scholar] [CrossRef]
- Maselli, F.; Papale, D.; Chiesi, M.; Matteucci, G.; Angeli, L.; Raschi, A.; Seufert, G. Operational monitoring of daily evapotranspiration by the combination of MODIS NDVI and ground meteorological data: Application and validation in Central Italy. Remote Sens. Environ. 2014, 152, 279–290. [Google Scholar] [CrossRef]
- Maselli, F.; Battista, P.; Chiesi, M.; Rapi, B.; Angeli, L.; Fibbi, L.; Magno, R.; Gozzini, B. Use of Sentinel-2 MSI data to monitor crop irrigation in Mediterranean areas. Int. J. Appl. Earth Obs. Geoinf. 2020, 93, 102216. [Google Scholar] [CrossRef]
- Fibbi, L.; Pieri, M.; Chiesi, M.; Gozzini, B.; Maselli, F. Integration of LSA SAF ET products and MODIS thermal infrared images for improved prediction of forest evapotranspiration. Remote Sens. Lett. 2025, 16, 400–411. [Google Scholar] [CrossRef]
- Gardner, R.C.; Finlayson, C. Global Wetland Outlook: State of the World’s Wetlands and Their Services to People; Ramsar Convention on Wetlands; Ramsar Convention Secretariat: Gland, Switzerland, 2018; p. 88. [Google Scholar]
- Sabbatini, S.; Mammarella, I.; Arriga, N.; Fratini, G.; Graf, A.; Hörtnagl, L.; Ibrom, A.; Longdoz, B.; Mauder, M.; Merbold, L.; et al. Eddy covariance raw data processing for CO2 and energy fluxes calculation at ICOS ecosystem stations. Int. Agrophysics 2018, 32, 495–515. [Google Scholar] [CrossRef]
- Pastorello, G.; Trotta, C.; Canfora, E.; Chu, H.; Christianson, D.; Cheah, Y.-W.; Poindexter, C.; Chen, J.; Elbashandy, A.; Humphrey, M.; et al. The FLUXNET2015 dataset and the ONEFlux processing pipeline for eddy covariance data. Sci. Data 2020, 7, 225. [Google Scholar] [CrossRef]
- Arriga, N.; Rannik, Ü.; Aubinet, M.; Carrara, A.; Vesala, T.; Papale, D. Experimental validation of footprint models for eddy covariance CO2 flux measurements above grassland by means of natural and artificial tracers. Agric. For. Meteorol. 2017, 242, 75–84. [Google Scholar] [CrossRef]
- ICOS. ICOS Ecosystem Station Labelling Report. Station IT-SR2 (San Rossore 2); ICOS: Viterbo, Italy, 2019; p. 24. [Google Scholar]
- Thornton, P.E.; Running, S.W.; White, M.A. Generating surfaces of daily meteorological variables over large regions of complex terrain. J. Hydrol. 1997, 190, 214–251. [Google Scholar] [CrossRef]
- Fibbi, L.; Maselli, F.; Pieri, M. Improved estimation of global solar radiation over rugged terrains by the disaggregation of Satellite Applications Facility on Land Surface Analysis data (LSA SAF). Meteorol. Appl. 2020, 27, e1940. [Google Scholar] [CrossRef]
- Didan, K.; Munoz, A.B.; Solano, R.; Huete, A. MODIS Vegetation Index User’s Guide (MOD13 Series); University of Arizona, Vegetation Index and Phenology Lab: Tucson, AZ, USA, 2015; 35p. [Google Scholar]
- Hulley, G.; Malakar, N.; Freepartner, R. Moderate Resolution Imaging Spectroradiometer (MODIS) Land Surface Temperature and Emissivity Product (MxD21) Algorithm Theoretical Basis Document, Collection-6, JPL Publication 12-17. 2016. Available online: https://modis.gsfc.nasa.gov/data/atbd/atbd_mod21.pdf (accessed on 14 April 2024).
- Ghilain, N.; Arboleda, A.; Gellens-Meulenberghs, F. Evapotranspiration modelling at large scale using near-real time MSG SEVIRI derived data. Hydrol. Earth Syst. Sci. 2011, 15, 771–786. [Google Scholar] [CrossRef]
- LSA SAF 2024. Algorithm Theoretical Basis Document Evapotranspiration & Surface Fluxes (DMETV3). EUMETSAT LSA SAF, Product LSA-312v.3, Document No. SAF/LAND/RMI/ATBD/METv3/1.0, Issue 2. Available online: https://nextcloud.lsasvcs.ipma.pt/s/7QLcZfABg5H6mkq?dir=/ATBD-Algorithm_Theoretial_Basis_Document (accessed on 10 January 2025).
- Jensen, M.E.; Haise, H.R. Estimating evapotranspiration from solar radiation. J. Irrig. Drain. Div. ASCE 1963, 89, 15–41. [Google Scholar] [CrossRef]
- Gutman, G.; Ignatov, A. The derivation of the green vegetation fraction from NOAA/AVHRR data for use in numerical weather prediction models. Int. J. Remote Sens. 1998, 19, 1533–1543. [Google Scholar] [CrossRef]
- Fibbi, L.; Pieri, M.; Chiesi, M.; Maselli, F. Use of LSA-SAF products to improve the operational estimation of forest evapotranspiration. J. Appl. Remote Sens. 2023, 17, 034503. [Google Scholar] [CrossRef]
- Senay, G.B.; Friedrichs, M.K.; Moron, C.; Parrish, G.E.L.; Schauer, M.; Khand, K.; Kagone, S.; Boiko, O.; Huntington, J. Mapping actual evapotranspiration using Landsat for the conterminous United States: Google Earth Engine implementation and assessment of the SSEBop model. Remote Sens. Environ. 2022, 275, 13011. [Google Scholar] [CrossRef]
- Nash, J.E.; Sutcliffe, J.V. River flow forecasting through conceptual models part I—A discussion of principles. J. Hydrol. 1970, 10, 282–290. [Google Scholar] [CrossRef]
- Allen, R.G. Using the FAO-56 dual crop coefficient method over an irrigated region as part of an evapotranspiration intercomparison study. J. Hydrol. 2000, 229, 27–41. [Google Scholar] [CrossRef]
- Hu, G.; Jia, L.; Menenti, M. Comparison of MOD16 and LSA-SAF MSG evapotranspiration products over Europe for 2011. Remote Sens. Environ. 2015, 156, 510–526. [Google Scholar] [CrossRef]
- Teuling, A.J.; Seneviratne, S.I.; Williams, C.; Troch, P.A. Observed timescales of evapotranspiration response to soil moisture. Geophys. Res. Lett. 2006, 33, L23403. [Google Scholar] [CrossRef]
- Mu, Q.; Zhao, M.; Running, S.W. Improvements to a MODIS global terrestrial evapotranspiration algorithm. Remote Sens. Environ. 2011, 115, 1781–1800. [Google Scholar] [CrossRef]
- Sepulcre-Canto, G.; Vogt, J.; Arboleda, A.; Antofie, T. Assessment of the EUMETSAT LSA-SAF evapotranspiration product for drought monitoring in Europe. Int. J. Appl. Earth Obs. Geoinf. 2014, 30, 190–202. [Google Scholar] [CrossRef]









| Ramsar Area | Geographical Position | Altitude (m a.s.l.) | Area (km2) | Mean Annual Temperature (°C) | Annual Rainfall (mm) | Main Biome Type |
|---|---|---|---|---|---|---|
| A | 43.80° N, 10.80° E | 20 | 24.4 | 15.9 | 960 | Grassland |
| B | 43.79° N, 10.30° E | 5 | 38.1 | 16.2 | 921 | Forest |
| C | 43.72° N, 10.31° E | 5 | 69.2 | 16.3 | 924 | Forest |
Disclaimer/Publisher’s Note: The statements, opinions and data contained in all publications are solely those of the individual author(s) and contributor(s) and not of MDPI and/or the editor(s). MDPI and/or the editor(s) disclaim responsibility for any injury to people or property resulting from any ideas, methods, instructions or products referred to in the content. |
© 2025 by the authors. Licensee MDPI, Basel, Switzerland. This article is an open access article distributed under the terms and conditions of the Creative Commons Attribution (CC BY) license (https://creativecommons.org/licenses/by/4.0/).
Share and Cite
Fibbi, L.; Arriga, N.; Chiesi, M.; Dell’Acqua, A.; Pieri, M.; Maselli, F. Calibration and Validation of an Operational Method to Estimate Actual Evapotranspiration in Mediterranean Wetlands. Hydrology 2025, 12, 139. https://doi.org/10.3390/hydrology12060139
Fibbi L, Arriga N, Chiesi M, Dell’Acqua A, Pieri M, Maselli F. Calibration and Validation of an Operational Method to Estimate Actual Evapotranspiration in Mediterranean Wetlands. Hydrology. 2025; 12(6):139. https://doi.org/10.3390/hydrology12060139
Chicago/Turabian StyleFibbi, Luca, Nicola Arriga, Marta Chiesi, Alessandro Dell’Acqua, Maurizio Pieri, and Fabio Maselli. 2025. "Calibration and Validation of an Operational Method to Estimate Actual Evapotranspiration in Mediterranean Wetlands" Hydrology 12, no. 6: 139. https://doi.org/10.3390/hydrology12060139
APA StyleFibbi, L., Arriga, N., Chiesi, M., Dell’Acqua, A., Pieri, M., & Maselli, F. (2025). Calibration and Validation of an Operational Method to Estimate Actual Evapotranspiration in Mediterranean Wetlands. Hydrology, 12(6), 139. https://doi.org/10.3390/hydrology12060139

