Thermochemical Treatment of Nigerian Raw Clays for Oil and Gas Drilling Operations
Abstract
:1. Introduction
2. Materials and Methods
2.1. Materials and Equipment
2.2. Material Collection and Preparation
2.3. Sample Characterization
2.4. Sample Preparation
2.5. Testing Procedure
3. Discussion of Results
3.1. Characterization Results of the Local Clay Samples
3.2. Effect of the Thermochemical Treatment of the Local Raw Clay Materials
3.2.1. Mud Viscosity
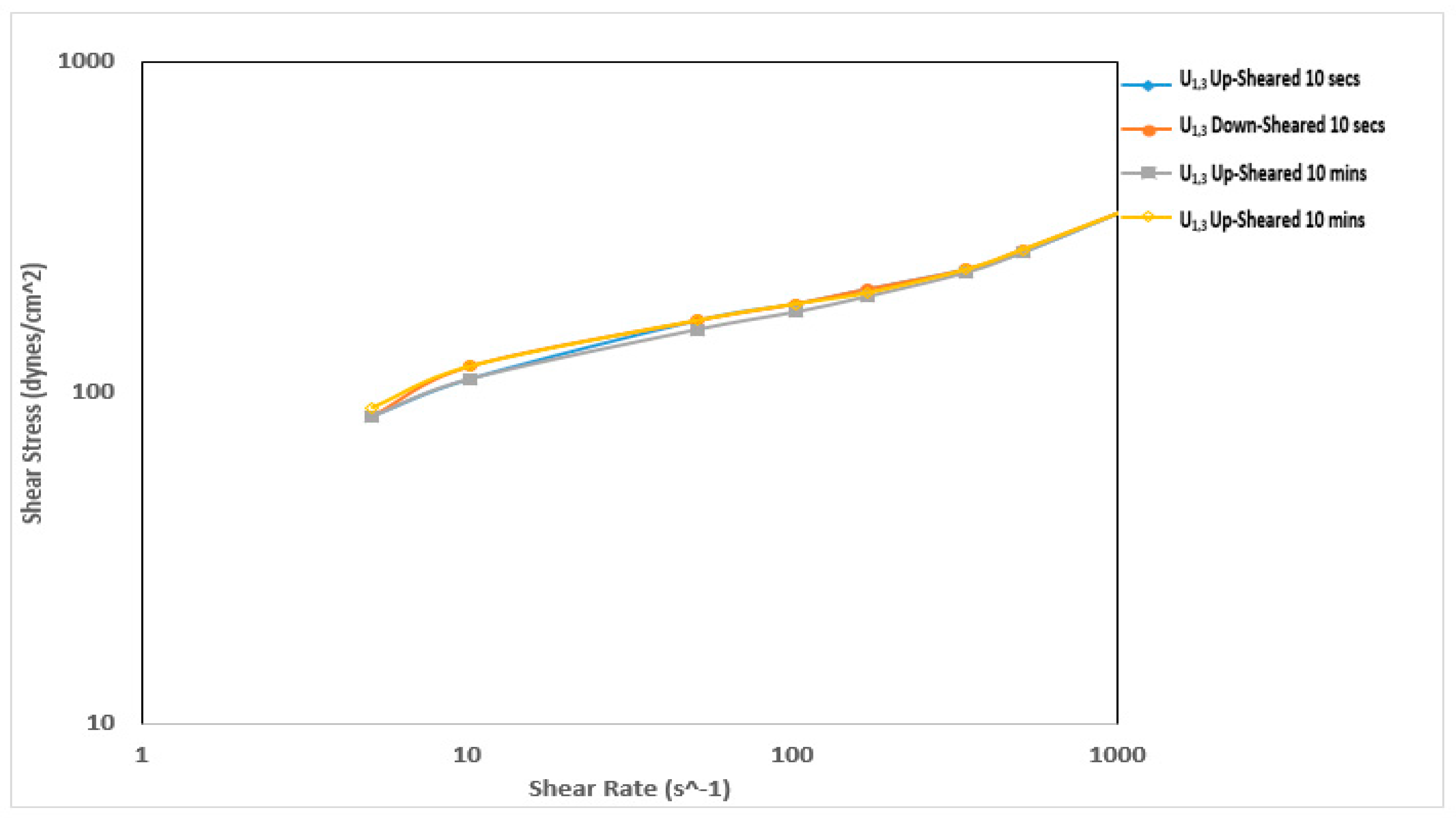
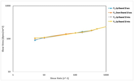
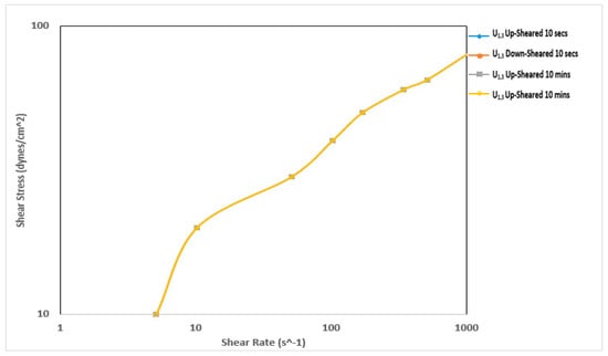
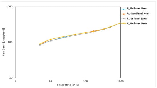
3.2.2. Shear Stress to Shear Rate Relationship
3.2.3. Plastic Viscosity, Yield Point, Flow Behavior Index, and Consistency Factor
3.2.4. Thixotropy Behavior
4. Conclusions
Author Contributions
Funding
Data Availability Statement
Acknowledgments
Conflicts of Interest
References
- Agwu, O.E.; Okon, A.N.; Udoh, F.D. A review of Nigerian bentonitic clays as drilling mud. Society of Petroleum Engineers—SPE Niger Annu. In Proceedings of the SPE Nigeria Annual International Conference and Exhibition, Lagos, Nigeria, 4–6 August 2015. [Google Scholar]
- Nlemedim, P.U.; Chime, T.O.; Omotioma, M.; Archibong, F.N.; Ajah, S.A. Comparative study of bentonite and Ikwo clay for oil-based drilling mud formulation. Geoenergy Sci. Eng. 2023, 229, 212089. [Google Scholar] [CrossRef]
- Afolabi, R.O.; Orodu, O.D.; Efeovbokhan, V.E. Properties and application of Nigerian bentonite clay deposits for drilling mud formulation: Recent advances and future prospects. Appl. Clay Sci. 2017, 143, 39–49. [Google Scholar] [CrossRef]
- Ahmed, H.M.; Kamal, M.S.; Al-Harthi, M. Polymeric and low molecular weight shale inhibitors: A review. Fuel 2019, 251, 187–217. [Google Scholar] [CrossRef]
- Oseh, J.O.; Mohd, N.M.N.A.; Gbadamosi, A.O.; Agi, A.; Blkoor, S.O.; Ismail, I.; Igwilo, K.C.; Igbafe, A.I. Polymer nanocomposites application in drilling fluids: A review. Geoenergy Sci. Eng. 2023, 222, 211416. [Google Scholar] [CrossRef]
- Dewu, B.B.; Arabi, S.A.; Oladipo, M.O.; Funtua, I.I.; Mohammed-Dabo, I.A.; Muhammad, A.M. Improvement of rheological properties of bentonitic clays using sodium carbonate and a synthetic viscosifier. Int. Arch. Appl. Sci. Technol. 2011, 2, 43–52. [Google Scholar]
- Akinwumi, A. Beneficiation of Nigeria Local Clay to Meet API Standard Specification for Drilling Fluid Formulation. Int. J. Eng. Sci. 2015, 5, 16–28. [Google Scholar]
- Wilfred, O.C.; Akinade, A.E. Comparative Study of Basic Properties of Mud Prepared with Nigerian Local Clay and Mud Prepared with Foreign Clay: A Case Study of Abbi Clay Deposit. Int. J. Eng. Technol. 2016, 8, 61–71. [Google Scholar] [CrossRef]
- Agwu, O.; Okon, A.; Akpanika, O. Activation of Local Bentonitic Clays for Use as Viscosifiers in Water-based Drilling Fluids. J. Sci. Res. Rep. 2016, 12, 1–11. [Google Scholar] [CrossRef]
- Magzoub, M.I.; Hussein, I.A.; Nasser, M.S.; Mahmoud, M.A.; Sultan, A.S.; Benamor, A. Effects of sodium carbonate addition, heat and agitation on swelling and rheological behavior of Ca-bentonite colloidal dispersions. Appl. Clay Sci. 2017, 147, 176–183. [Google Scholar] [CrossRef]
- James, O.O.; Mesubi, M.A.; Adekola, F.A.; Odebunmi, E.O.; Adekeye, J.I. Beneficiation and characterization of a bentonite from North-Eastern Nigeria. J. North Carol. Acad. Sci. 2008, 124, 154–158. [Google Scholar]
- Olatunde, A.O. Improvement of Rheological Properties of Drilling Fluid Using Locally Based Materials. Petrol. & Coal. 2012, 54, 65–75. [Google Scholar]
- Akinwumi, E.A.; Omolola, A. Suitability of Using Agbarha Clay for Drilling Mud Formulation in Oil and Gas Industry. Int. J. Eng. Sci. Emerg. Technol. 2020, 5, 359–365. [Google Scholar]
- Salawudeen, T.O.; Arinkoola, A.O.; Jimoh, M.O.; Salam, K.K.; Ogunmola, E.O. Effect of inert fibre on performance of B. Eurycoma as rheology and filtration control additive in water-based drilling fluid. Int. J. Pet. Eng. 2016, 2, 191. [Google Scholar] [CrossRef]
- Apugo-Nwosu, T.U.; Mohammed-Dabo, I.A.; Ahmed, A.S.; Abubakar, G.; Alkali, A.S.; Ayilara, S.I. Studies on the suitability of Ubakala bentonitic clay for oil well drilling mud formulation. Br. J. Appl. Sci. Technol. 2011, 1, 152–171. [Google Scholar] [CrossRef]
- Udoh, D.F.; Okon, N.A. Formulation of Water-Based Drilling Fluid using Local Materials. Asian J. Microbiol. Biotechnol. Environ. Sci. 2012, 14, 167–174. [Google Scholar]
- Dewu, B.B.M.; Oladipo, M.O.A.; Funtua, I.I.; Arabi, S.A.; Mohammed-Dabo, I.A.; Muhammad, A.A. Evaluation of Rheological and Other Physical Properties of Bentonite Clays from Fika Formation in Parts of North-Eastern Nigeria. Pet. Technol. Dev. J. 2012, 1, 885324. [Google Scholar]
- Arinkoola, A.O.; Salawudeen, T.O.; Salam, K.K.; Jimoh, M.O.; Abidemi, G.O.; Atitebi, Z.M. Optimization of Water-Based Drilling Fluid Produced Using Modified Nigerian Bentonite and Natural Biopolymers: Reduced Experiment and Response Surface Methodology. Iran. J. Chem. Eng. 2019, 16, 39–53. [Google Scholar]
- Udeagbara, S.G.; Ogiriki, S.O.; Afolabi, F.; Bodunde, E.J. Evaluation of the Effectiveness of Local Clay from Ebonyi State, Nigeria as a Substitute for Bentonite in Drilling Fluids. Int. J. Pet. Gas Eng. Res. 2019, 3, 1–10. [Google Scholar]
- Aghamelu, O.P.; Okogbue, C.O. Characterization of some clays from Nigeria for their use in drilling mud. Appl. Clay Sci. 2015, 116–117, 158–166. [Google Scholar] [CrossRef]
- Muhammed, N.S.; Olayiwola, T.; Elkatatny, S. A review on clay chemistry, characterization and shale inhibitors for water-based drilling fluids. J. Pet. Sci. Eng. 2021, 206, 109043. [Google Scholar] [CrossRef]
- Magzoub, M.I.; Hussein, I.A.; Nasser, M.S.; Mahmoud, M.A.; Sultan, A.S.; Benamor, A. An Investigation of the Swelling Kinetics of Bentonite Systems Using Particle Size Analysis. J. Dispers. Sci. Technol. 2019, 41, 817–827. [Google Scholar] [CrossRef]
- Mahmoud, M.; Mohamed, A.; Kamal, M.S.; Sultan, A.S.; Hussein, I.A. Upgrading Calcium-Bentonite to Sodium-Bentonite Using Seawater and Soda Ash. Energy Fuels 2019, 33, 10888–10894. [Google Scholar] [CrossRef]
- Ochieng, O. Characterization and classification of clay minerals for potential applications in Rugi Ward, Kenya. Afr. J. Environ. Sci. Technol. 2016, 10, 415–431. [Google Scholar] [CrossRef]
- Sun, L.; Tanskanen, J.T.; Hirvi, J.T.; Kasa, S.; Schatz, T.; Pakkanen, T.A. Molecular dynamics study of montmorillonite crystalline swelling: Roles of interlayer cation species and water content. Chem. Phys. 2015, 455, 23–31. [Google Scholar] [CrossRef]
- Arabi, A.S.; Dewu, B.B.M.; Oladipo, M.O.A.; Funtua, I.I. Mineralogy and rheology of raw and activated Turonian to Coniacian clays from Benue Trough, Northeastern Nigeria. Egypt. J. Pet. 2017, 27, 75–88. [Google Scholar] [CrossRef]
- Arabi, A.S.; Dewu, B.B.M.; Funtua, I.I.; Oladipo, M.O.A.; Tukur, M.; Bilal, S.; Babale, S.I. Morphology, rheology and thermal stability of drilling fluid formulated from locally beneficiated clays of Pindiga Formation, Northeastern Nigeria. Appl. Clay Sci. 2018, 161, 90–102. [Google Scholar] [CrossRef]
- Bourgoyne, A.D.; Chenevert, M.E.; Millhelm, K.K.; Young, F.S., Jr. Applied Drilling Engineering; Society of Petroleum Engineers: Richardson, TX, USA, 1991. [Google Scholar]
- American Petroleum Institute (API). Specification for Drilling Fluid Materials, 5th ed.; API: Houston, TX, USA, 1993; Standard No. API 13A. [Google Scholar]
- Maxey, J. Thixotropy and Yield Stress Behavior in Drilling Fluids. In Proceedings of the 2007 AADE National Technical Conference and Exhibition, Houston, TX, USA, 10–12 April 2007. [Google Scholar]
- Tehrani, A. Thixotropy in Water-Based Drilling Fluids. Ann. Trans. Nordic Rheol. Soc. 2008, 16, 103653. [Google Scholar]
- Gholami, R.; Elochukwu, H.; Fakhari, N.; Sarmadivaleh, M. A review on borehole instability in active shale formations: Interactions, mechanisms and inhibitors. Earth Sci. Rev. 2018, 177, 2–13. [Google Scholar] [CrossRef]
- Gomaa, I.; Mahmoud, M. Stimulating illitic sandstone reservoirs using in-situ generated HF with the aid of thermochemicals. J. Pet. Sci. Eng. 2020, 190, 107089. [Google Scholar] [CrossRef]
- Ogolo, O.; Arinkoola, A.; Osisanya, S.; Egede, F.; Chior, T.J. Rheological impact and economic implications of partial to total substitution of imported bentonite clay for oil and gas drilling operations in Nigeria. J. Pet. Explor. Prod. Technol. 2020, 11, 233–242. [Google Scholar] [CrossRef]
- Magzoub, M.; Mahmoud, M.; Nasser, M.; Hussein, I.; Elkatatny, S.; Sultan, A. Thermochemical Upgrading of Calcium Bentonite for Drilling Fluid Applications. ASME J. Energy Resour. Technol. 2018, 141, 042902. [Google Scholar] [CrossRef]










| Sample | Source of Clay | Mass of Clay (g) | Concentration of Additive | |
|---|---|---|---|---|
| MgO (wt.%) | Na2CO3 (wt.%) | |||
| P1,3 | Pindinga | 22 | 1 | 3 |
| P2,3 | 22 | 2 | 3 | |
| P3,3 | 22 | 3 | 3 | |
| U1,3 | Ubakala | 22 | 1 | 3 |
| U2,3 | 22 | 2 | 3 | |
| U3,3 | 22 | 3 | 3 | |
| Element | Pindinga | Ubakala | ||
|---|---|---|---|---|
| Before | After | Before | After | |
| Oxygen | 4.50% | 4.12% | 5.42% | 4.52% |
| Sodium | - | 10.85% | - | 8.24% |
| Magnesium | 2.97% | 19.49% | 4.41% | 35.27% |
| Aluminum | 33.17% | 21.35% | 39.21% | 22.39% |
| Silicon | 53.26% | 37.45% | 44.50% | 22.85% |
| Potassium | 3.50% | 3.57% | 3.68% | 3.48% |
| Calcium | 2.60% | 3.17% | 2.78% | 3.25% |
| Property | P1,3 (Before Heating) | P1,3 (After Heating) | U1,3 (Before Heating) | U1,3 (After Heating) |
|---|---|---|---|---|
| PV (cP) | 2.5 | 0.5 | 0.5 | 2.5 |
| YP (lbf/100sq.ft) | 1 | 13 | 5.5 | 5.5 |
| n | 0.777 | 0.052 | 0.115 | 0.392 |
| k | 0.027 | 9.734 | 2.921 | 0.694 |
| Property | P2,3 (Before Heating) | P2,3 (After Heating) | U2,3 (Before Heating) | U2,3 (After Heating) |
| PV (cP) | 0.5 | 1 | 0.5 | 3.5 |
| YP (lbf/100sq.ft) | 5 | 14 | 6 | 10.5 |
| n | 0.115 | 0.093 | 0.107 | 0.322 |
| k | 2.921 | 8.396 | 3.338 | 1.882 |
| Property | P3,3 (Before Heating) | P3,3 (After Heating) | U3,3 (Before Heating) | U3,3 (After Heating) |
| PV (cP) | 1.5 | 3.5 | 1 | 8 |
| YP (lbf/100sq.ft) | 5 | 17 | 6 | 19 |
| n | 0.299 | 0.227 | 0.193 | 0.374 |
| k | 1.005 | 4.968 | 2.107 | 2.618 |
Disclaimer/Publisher’s Note: The statements, opinions and data contained in all publications are solely those of the individual author(s) and contributor(s) and not of MDPI and/or the editor(s). MDPI and/or the editor(s) disclaim responsibility for any injury to people or property resulting from any ideas, methods, instructions or products referred to in the content. |
© 2023 by the authors. Licensee MDPI, Basel, Switzerland. This article is an open access article distributed under the terms and conditions of the Creative Commons Attribution (CC BY) license (https://creativecommons.org/licenses/by/4.0/).
Share and Cite
Ogolo, O.; Arinkoola, A.O.; Ngene, P.; Ogbaga, C.C.; Osisanya, S. Thermochemical Treatment of Nigerian Raw Clays for Oil and Gas Drilling Operations. ChemEngineering 2023, 7, 110. https://doi.org/10.3390/chemengineering7060110
Ogolo O, Arinkoola AO, Ngene P, Ogbaga CC, Osisanya S. Thermochemical Treatment of Nigerian Raw Clays for Oil and Gas Drilling Operations. ChemEngineering. 2023; 7(6):110. https://doi.org/10.3390/chemengineering7060110
Chicago/Turabian StyleOgolo, Oghenerume, Akeem O. Arinkoola, Peter Ngene, Chukwuma C. Ogbaga, and Samuel Osisanya. 2023. "Thermochemical Treatment of Nigerian Raw Clays for Oil and Gas Drilling Operations" ChemEngineering 7, no. 6: 110. https://doi.org/10.3390/chemengineering7060110
APA StyleOgolo, O., Arinkoola, A. O., Ngene, P., Ogbaga, C. C., & Osisanya, S. (2023). Thermochemical Treatment of Nigerian Raw Clays for Oil and Gas Drilling Operations. ChemEngineering, 7(6), 110. https://doi.org/10.3390/chemengineering7060110

