Biomonitoring-Based Risk Assessment of Pyrethroid Exposure in the U.S. Population: Application of High-Throughput and Physiologically Based Kinetic Models
Abstract
1. Introduction
2. Materials and Methods
2.1. Problem Definition
- Model Specification: The uncertainty in model specification was addressed by comparing estimations using two reverse dosimetry modeling approaches. Estimates from other available resources (e.g., official databases, publications) were incorporated for exposure comparison.
- Linkage of Pyrethroids and Metabolites: Five downstream metabolites are associated with four upstream pyrethroid exposures. The pyrethroid PBK model quantified the fraction of metabolites formed from a parent compound by calibrated model parameter using human TK data [34]. The high-throughput approach also addresses the stoichiometric fraction of transformation between multiple parent compounds and their metabolites.
- Non-detect Values below the Limit of Detection (LOD): Nondetect values below the LOD introduce uncertainty in exposure estimation. Bayesian inference with the PBK model was used to predict these non-detect values. The high-throughput method assumes that population urine concentrations are log-normally distributed across all compounds, allowing non-detect values to be imputed using the geometric mean and standard deviation of the simulated distribution.
- Short Half-Lives of Pyrethroids and Metabolites: Pyrethroids and their metabolites typically have short half-lives less than 24 h [35], meaning their concentrations change rapidly over a short period. NHANES spot urine samples were used as surrogates for 24-h average urinary concentrations. This may underestimate the daily dose rate due to random sampling times relative to exposure events [36]. Under the same daily exposure dose but with different dosing time intervals, biomonitoring using spot urine samples and 24-h averages can vary widely. Human urinary half-lives of approximately 12 h have been measured for several pyrethroids following oral exposures [37,38]. Kinetic simulations indicate that once-daily exposures lead to within-day peaks in urinary concentration approximately two- to three-fold higher than the steady-state average concentration for compounds with a half-life of 12 h [39]. Additionally, factors such as hydration status, creatinine excretion rate, and metabolism patterns can impact concentrations by a factor of 2 to 3 [40]. The exposure difference from urine concentration to exposure was addressed by quantifying the variation in observed data and intake prediction.
2.2. NHANES Biomonitoring Data
2.3. The Physiologically Based Kinetic Model
2.4. Bayesian Population Modeling
2.5. High-Throughput Model and Other Exposure Prediction Tools
2.6. Exposure Variability
2.7. Bayesian Benchmark Dose Modeling
2.8. Risk Estimates
2.9. Computational Settings and Evaluation
3. Results
3.1. Exploratory Analysis of the Biomonitoring Data
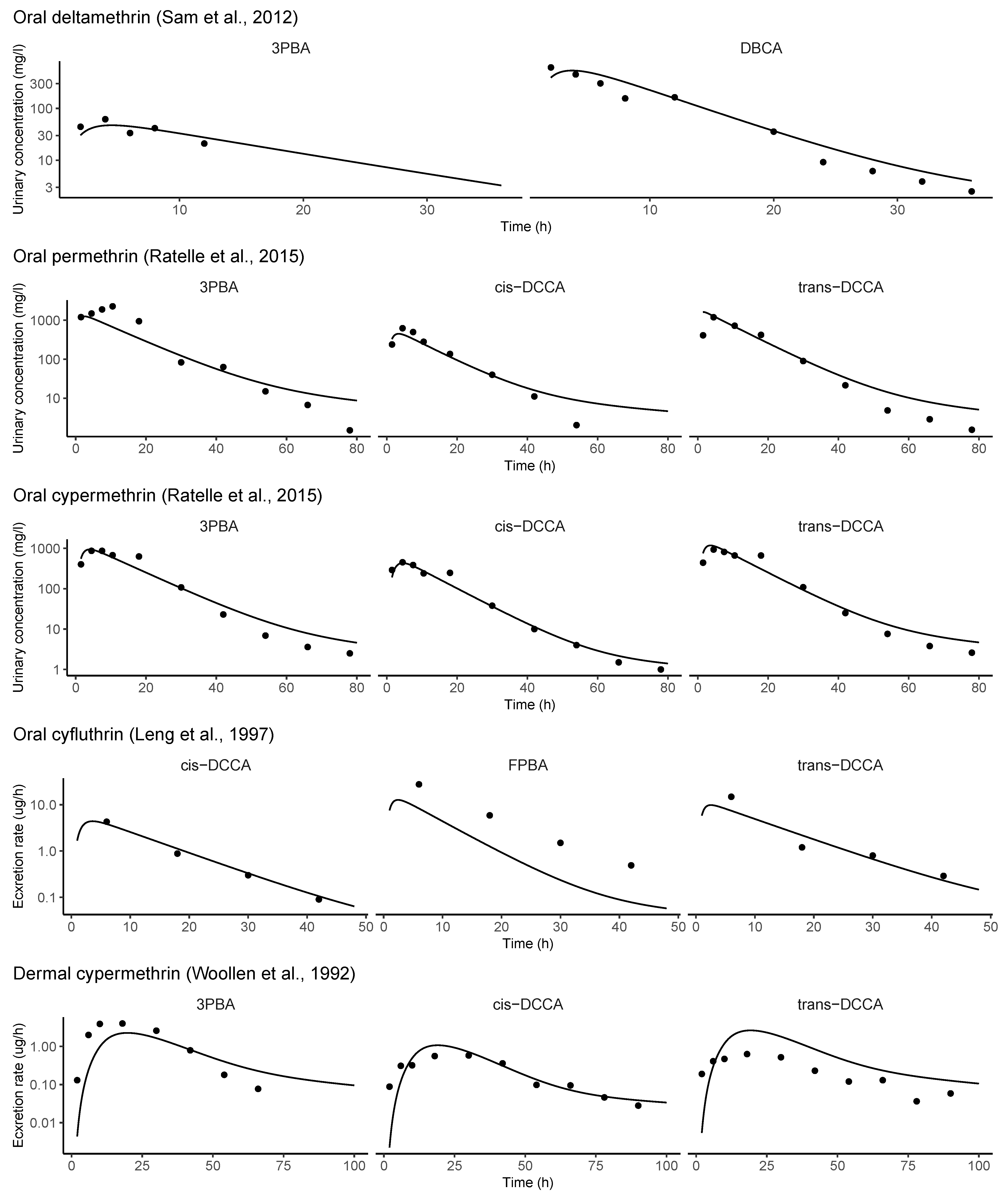
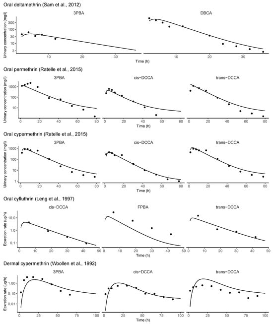
3.2. Model Evaluation
3.3. Exposure Variability, Trend, and Similarity
3.4. Risk Assessment
4. Discussion
Supplementary Materials
Author Contributions
Funding
Institutional Review Board Statement
Informed Consent Statement
Data Availability Statement
Acknowledgments
Conflicts of Interest
Abbreviations
| 3PBA | 3-Phenoxybenzoic Acid |
| BMD | Benchmark Dose |
| BMDL | Benchmark Dose Lower Confidence Limit |
| DBCA | 3-(2,2-Dibromovinyl)-2,2-Dimethylcyclopropane Carboxylic Acid |
| DCCA | 3-(2,2-Dichlorovinyl)-2,2-Dimethylcyclopropane-1-Carboxylic Acid |
| DPR | Department of Pesticide Regulation |
| EPA | Environmental Protection Agency |
| FPBA | 4-Fluoro-3-Phenoxybenzoic Acid |
| LOD | Limit of Detection |
| MOE | Margin of Exposure |
| MOIE | Margin of Internal Exposure |
| NHANES | National Health and Nutrition Examination Survey |
| NOAEL | No-Observed-Adverse-Effect Level |
| PAD | Population-Adjusted Dose |
| PBK | Physiologically Based Kinetic |
| POD | Point of Departure |
| RfD | Reference Dose |
| SHEDS | Stochastic Human Exposure and Dose Simulation |
| TD | Toxicodynamics |
| TK | Toxicokinetics |
| USDA | United States Department of Agriculture |
Appendix A
Appendix A.1. Tables
| 1999–2000 | 2001–2002 | 2007–2008 | 2009–2010 | 2011–2012 | 2013–2014 | 2015–2016 | |
|---|---|---|---|---|---|---|---|
| 3PBA | 0.1 | 0.1 | 0.1 | 0.1 | 0.1 | 0.1 | 0.1 |
| FPBA | 0.2 | 0.2 | 0.1 | 0.1 | 0.1 | 0.1 | 0.1 |
| trans-DCCA | 0.4 | 0.4 | 0.6 | 0.6 | 0.6 | 0.6 | 0.6 |
| DBCA | 0.1 | 0.1 | 0.5 | 0.5 | |||
| cis-DCCA | 0.1 | 0.1 |
| 3PBA | FPBA | DBCA | cis-DCCA | Trans-DCCA | |
|---|---|---|---|---|---|
| Cyfluthrin | x | x | x | ||
| Cypermetrhin | x | x | x | ||
| Deltamethrin | x | x | |||
| Permethrin | x | x | x |
| Parameter | Description | Unit | Value | Reference |
|---|---|---|---|---|
| BW | Body Weight | kg | Observed | |
| UrineCreatinine | Urine Creatinine | mg creatinine/dL urine | Observed | |
| DailyCreatinine | Daily Creatinine | mg creatinine/day | Estimated | [28] |
| DLM_KA | Uptake rate of deltamethrin | /h | 1.51 | [34] |
| cisPRM_KA | Uptake rate of cis-permetrhin | /h | 0.52 | [34] |
| tranPRM_KA | Uptake rate of trans-permethrin | /h | 1.3 | [34] |
| cisCPM_KA | Uptake rate of cis-cypermethrin | /h | 0.52 | [34] |
| tranCPM_KA | Uptake rate of trans-cypermethrin | /h | 1.3 | [34] |
| cisCYF_KA | Uptake rate of cis-cyfluthrin | /h | 0.52 | [34] |
| tranCYF_KA | Uptake rate of trans-cyfluthrin | /h | 1.3 | [34] |
| DLM_Kfec | Fecal excretion rate of deltamethrin | /h | 0.59 | [34] |
| cisPRM_Kfec | Fecal excretion rate of cis-permetrhin | /h | 0.39 | [34] |
| tranPRM_Kfec | Fecal excretion rate of trans-permethrin | /h | 0.85 | [34] |
| cisCPM_Kfec | Fecal excretion rate of cis-cypermethrin | /h | 0.39 | [34] |
| tranCPM_Kfec | Fecal excretion rate of trans-cypermethrin | /h | 0.85 | [34] |
| cisCYF_Kfec | Fecal excretion rate of cis-cyfluthrin | /h | 0.39 | [34] |
| tranCYF_Kfec | Fecal excretion rate of trans-cyfluthrin | /h | 0.85 | [34] |
| DLM_3PBA | Metabolic fraction of deltamethrin to 3PBA | - | 0.15 | [34] |
| DLM_DBCA | Metabolic fraction of deltamethrin to DCCA | - | 0.73 | [34] |
| cisPRM_3PBA | Metabolic fraction of cis-permethrin to 3PBA | - | 0.37 | [34] |
| cisPRM_DCCA | Metabolic fraction of cis-permethrin to DCCA | - | 0.37 | [34] |
| transPRM_3PBA | Metabolic fraction of trans-permethrin to 3PBA | - | 0.85 | [34] |
| transPRM_DCCA | Metabolic fraction of trans-permethrin to DCCA | - | 0.61 | [34] |
| cisCPM_3PBA | Metabolic fraction of cis-cypermethrin to 3PBA | - | 0.16 | [34] |
| cisCPM_DCCA | Metabolic fraction of cis-cypermethrin to DCCA | - | 0.32 | [34] |
| transCPM_3PBA | Metabolic fraction of trans-cypermethrin to 3PBA | - | 0.39 | [34] |
| transCPM_DCCA | Metabolic fraction of trans-cypermethrin to DCCA | - | 0.57 | [34] |
| cisCYF_FPBA | Metabolic fraction of cis-cyfluthrin to FPBA | - | 0.1 | [34] |
| cisCYF_DCCA | Metabolic fraction of cis-cyfluthrin to DCCA | - | 0.27 | [34] |
| transCYF_FPBA | Metabolic fraction of trans-cyfluthrin to 3PBA | - | 0.23 | [34] |
| transCYF_DCCA | Metabolic fraction of trans-cyfluthrin to DCCA | - | 0.35 | [34] |
| Parameter Type | No. of Parameter | SD | Truncation (±nxSD) |
|---|---|---|---|
| Plasma unbound fraction | 1 | 0.1 | 2 |
| Partition coefficient | 7 | 0.3 | 3 |
| Permeability area cross product | 3 | 0.3 | 3 |
| Uptake and fecal excretion rate | 2 | 0.4 | 3 |
| Clearance rate | 2 | 0.4 | 3 |
| 1999–2000 | 2001–2002 | 2007–2008 | 2009–2010 | 2011–2012 | 2013–2014 | 2015–2016 | |
|---|---|---|---|---|---|---|---|
| 3PBA | 68.74 | 77.04 | 65.02 | 72.34 | 91.00 | 88.25 | 95.70 |
| FPBA | 3.04 | 0.49 | 6.55 | 4.63 | 15.34 | 10.18 | 13.02 |
| trans-DCCA | 33.24 | 28.31 | 15.83 | 11.62 | 7.65 | 24.62 | 37.49 |
| DBCA | 0.63 | 0.88 | 1.46 | 1.48 | |||
| cis-DCCA | 41.59 | 33.08 |
Appendix A.2. Figures

References
- Burns, C.J.; Pastoor, T.P. Pyrethroid epidemiology: A quality-based review. Crit. Rev. Toxicol. 2018, 48, 297–311. [Google Scholar] [CrossRef] [PubMed]
- Park, J.; Park, S.K.; Choi, Y.H. Environmental pyrethroid exposure and diabetes in US adults. Environ. Res. 2019, 172, 399–407. [Google Scholar] [CrossRef] [PubMed]
- Bao, W.; Liu, B.; Simonsen, D.W.; Lehmler, H.J. Association between exposure to pyrethroid insecticides and risk of all-cause and cause-specific mortality in the general US adult population. JAMA Intern. Med. 2020, 180, 367–374. [Google Scholar] [CrossRef]
- Kim, U.J.; Hong, M.; Choi, Y.H. Environmental pyrethroid exposure and cognitive dysfunction in US older adults: The NHANES 2001–2002. Int. J. Environ. Res. Public Health 2021, 18, 12005. [Google Scholar] [CrossRef]
- Zartarian, V.; Xue, J.; Glen, G.; Smith, L.; Tulve, N.; Tornero-Velez, R. Quantifying children’s aggregate (dietary and residential) exposure and dose to permethrin: Application and evaluation of EPA’s probabilistic SHEDS-Multimedia model. J. Expo. Sci. Environ. Epidemiol. 2012, 22, 267–273. [Google Scholar] [CrossRef]
- Bravo, N.; Garí, M.; Grimalt, J.O. Occupational and residential exposures to organophosphate and pyrethroid pesticides in a rural setting. Environ. Res. 2022, 214, 114186. [Google Scholar] [CrossRef]
- Tulve, N.S.; Egeghy, P.P.; Fortmann, R.C.; Xue, J.; Evans, J.; Whitaker, D.A.; Croghan, C.W. Methodologies for estimating cumulative human exposures to current-use pyrethroid pesticides. J. Expo. Sci. Environ. Epidemiol. 2011, 21, 317–327. [Google Scholar] [CrossRef]
- Xue, J.; Zartarian, V.; Tornero-Velez, R.; Tulve, N.S. EPA’s SHEDS-multimedia model: Children’s cumulative pyrethroid exposure estimates and evaluation against NHANES biomarker data. Environ. Int. 2014, 73, 304–311. [Google Scholar] [CrossRef] [PubMed]
- U.S. EPA. Standard Operating Procedures for Residential Pesticide Exposure Assessment. 2012. Available online: https://www.epa.gov/pesticide-science-and-assessing-pesticide-risks/standard-operating-procedure-residential-exposure (accessed on 3 March 2023).
- U.S. EPA. Draft Protocol for Measuring Children’s Non-Occupational Exposure to Pesticides by All Relevant Pathways (EPA/600/R-03/026). Available online: https://nepis.epa.gov/Exe/ZyPDF.cgi/10004SF1.PDF?Dockey=10004SF1.PDF (accessed on 3 March 2023).
- Zartarian, V.G.; Ozkaynak, H.; Burke, J.M.; Zufall, M.J.; Rigas, M.L.; Furtaw, E.J., Jr. A modeling framework for estimating children’s residential exposure and dose to chlorpyrifos via dermal residue contact and nondietary ingestion. Environ. Health Perspect. 2000, 108, 505–514. [Google Scholar] [CrossRef]
- Xue, J.; Zartarian, V.; Mintz, B.; Weber, M.; Bailey, K.; Geller, A. Modeling tribal exposures to methyl mercury from fish consumption. Sci. Total Environ. 2015, 533, 102–109. [Google Scholar] [CrossRef]
- Zartarian, V.; Xue, J.; Tornero-Velez, R.; Brown, J. Children’s lead exposure: A multimedia modeling analysis to guide public health decision-making. Environ. Health Perspect. 2017, 125, 097009. [Google Scholar] [CrossRef] [PubMed]
- Tornero-Velez, R.; Davis, J.; Scollon, E.J.; Starr, J.M.; Setzer, R.W.; Goldsmith, M.R.; Chang, D.T.; Xue, J.; Zartarian, V.; De Vito, M.J.; et al. A pharmacokinetic model of cis-and trans-permethrin disposition in rats and humans with aggregate exposure application. Toxicol. Sci. 2012, 130, 33–47. [Google Scholar] [CrossRef] [PubMed]
- Isaacs, K.K.; Glen, W.G.; Egeghy, P.; Goldsmith, M.R.; Smith, L.; Vallero, D.; Brooks, R.; Grulke, C.M.; Grulke, H.O. SHEDS-HT: An integrated probabilistic exposure model for prioritizing exposures to chemicals with near-field and dietary sources. Environ. Sci. Technol. 2014, 48, 12750–12759. [Google Scholar] [CrossRef] [PubMed]
- Barr, D.B.; Olsson, A.O.; Wong, L.Y.; Udunka, S.; Baker, S.E.; Whitehead, R.D., Jr.; Magsumbol, M.S.; Williams, B.L.; Needham, L.L. Urinary concentrations of metabolites of pyrethroid insecticides in the general US population: National Health and Nutrition Examination Survey 1999–2002. Environ. Health Perspect. 2010, 118, 742–748. [Google Scholar] [CrossRef]
- Quindroit, P.; Crépet, A.; Brochot, C. Estimating human exposure to pyrethroids’ mixtures from biomonitoring data using physiologically based pharmacokinetic modeling. Environ. Res. 2021, 192, 110281. [Google Scholar] [CrossRef]
- Tarazona, J.V.; Cattaneo, I.; Niemann, L.; Pedraza-Diaz, S.; González-Caballero, M.C.; de Alba-Gonzalez, M.; Cañas, A.; Dominguez-Morueco, N.; Esteban-López, M.; Castaño, A.; et al. A tiered approach for assessing individual and combined risk of pyrethroids using human biomonitoring data. Toxics 2022, 10, 451. [Google Scholar] [CrossRef]
- Blount, B.C.; Valentin-Blasini, L.; Osterloh, J.D.; Mauldin, J.P.; Pirkle, J.L. Perchlorate exposure of the US population, 2001–2002. J. Expo. Sci. Environ. Epidemiol. 2007, 17, 400–407. [Google Scholar] [CrossRef]
- Sobus, J.R.; DeWoskin, R.S.; Tan, Y.M.; Pleil, J.D.; Phillips, M.B.; George, B.J.; Christensen, K.; Schreinemachers, D.M.; Williams, M.A.; Hubal, E.A.C.; et al. Uses of NHANES biomarker data for chemical risk assessment: Trends, challenges, and opportunities. Environ. Health Perspect. 2015, 123, 919–927. [Google Scholar] [CrossRef]
- Apel, P.; Lamkarkach, F.; Lange, R.; Sissoko, F.; David, M.; Rousselle, C.; Schoeters, G.; Kolossa-Gehring, M. Human biomonitoring guidance values (HBM-GVs) for priority substances under the HBM4EU Initiative–New values derivation for deltamethrin and cyfluthrin and overall results. Int. J. Hyg. Environ. Health 2023, 248, 114097. [Google Scholar] [CrossRef]
- Morgan, M.K.; Sheldon, L.S.; Croghan, C.W.; Jones, P.A.; Chuang, J.C.; Wilson, N.K. An observational study of 127 preschool children at their homes and daycare centers in Ohio: Environmental pathways to cis-and trans-permethrin exposure. Environ. Res. 2007, 104, 266–274. [Google Scholar] [CrossRef]
- Trunnelle, K.J.; Bennett, D.H.; Tulve, N.S.; Clifton, M.S.; Davis, M.D.; Calafat, A.M.; Moran, R.; Tancredi, D.J.; Hertz-Picciotto, I. Urinary pyrethroid and chlorpyrifos metabolite concentrations in Northern California families and their relationship to indoor residential insecticide levels, part of the Study of Use of Products and Exposure Related Behavior (SUPERB). Environ. Sci. Technol. 2014, 48, 1931–1939. [Google Scholar] [CrossRef] [PubMed]
- Aylward, L.L.; Hays, S.M.; Zidek, A. Variation in urinary spot sample, 24 h samples, and longer-term average urinary concentrations of short-lived environmental chemicals: Implications for exposure assessment and reverse dosimetry. J. Expo. Sci. Environ. Epidemiol. 2017, 27, 582–590. [Google Scholar] [CrossRef]
- Egeghy, P.P.; Lorber, M. An assessment of the exposure of Americans to perfluorooctane sulfonate: A comparison of estimated intake with values inferred from NHANES data. J. Expo. Sci. Environ. Epidemiol. 2011, 21, 150–168. [Google Scholar] [CrossRef]
- Lin, Y.S.; Morozov, V.; Kadry, A.R.; Caffrey, J.L.; Chou, W.C. Reconstructing population exposures to acrylamide from human monitoring data using a pharmacokinetic framework. Chemosphere 2023, 331, 138798. [Google Scholar] [CrossRef] [PubMed]
- Wambaugh, J.F.; Setzer, R.W.; Reif, D.M.; Gangwal, S.; Mitchell-Blackwood, J.; Arnot, J.A.; Joliet, O.; Frame, A.; Rabinowitz, J.; Knudsen, T.B.; et al. High-throughput models for exposure-based chemical prioritization in the ExpoCast project. Environ. Sci. Technol. 2013, 47, 8479–8488. [Google Scholar] [CrossRef]
- Stanfield, Z.; Setzer, R.W.; Hull, V.; Sayre, R.R.; Isaacs, K.K.; Wambaugh, J.F. Bayesian inference of chemical exposures from NHANES urine biomonitoring data. J. Expo. Sci. Environ. Epidemiol. 2022, 32, 833–846. [Google Scholar] [CrossRef] [PubMed]
- Ring, C.L.; Arnot, J.A.; Bennett, D.H.; Egeghy, P.P.; Fantke, P.; Huang, L.; Isaacs, K.K.; Jolliet, O.; Phillips, K.A.; Price, P.S.; et al. Consensus modeling of median chemical intake for the US population-based on predictions of exposure pathways. Environ. Sci. Technol. 2018, 53, 719–732. [Google Scholar] [CrossRef]
- Tan, Y.M.; Liao, K.H.; Conolly, R.B.; Blount, B.C.; Mason, A.M.; Clewell, H.J. Use of a physiologically based pharmacokinetic model to identify exposures consistent with human biomonitoring data for chloroform. J. Toxicol. Environ. Health Part A 2006, 69, 1727–1756. [Google Scholar] [CrossRef]
- Allen, B.C.; Eric Hack, C.; Clewell, H.J. Use of Markov Chain Monte Carlo analysis with a physiologically-based pharmacokinetic model of methylmercury to estimate exposures in US women of childbearing age. Risk Anal. Int. J. 2007, 27, 947–959. [Google Scholar] [CrossRef]
- Lyons, M.A.; Yang, R.S.; Mayeno, A.N.; Reisfeld, B. Computational toxicology of chloroform: Reverse dosimetry using Bayesian inference, Markov chain Monte Carlo simulation, and human biomonitoring data. Environ. Health Perspect. 2008, 116, 1040–1046. [Google Scholar] [CrossRef]
- Moreau, M.; Leonard, J.; Phillips, K.A.; Campbell, J.; Pendse, S.N.; Nicolas, C.; Phillips, M.; Yoon, M.; Tan, Y.M.; Smith, S.; et al. Using exposure prediction tools to link exposure and dosimetry for risk-based decisions: A case study with phthalates. Chemosphere 2017, 184, 1194–1201. [Google Scholar] [CrossRef] [PubMed]
- Quindroit, P.; Beaudouin, R.; Brochot, C. Estimating the cumulative human exposures to pyrethroids by combined multi-route PBPK models: Application to the French population. Toxicol. Lett. 2019, 312, 125–138. [Google Scholar] [CrossRef]
- Hays, S.M.; Becker, R.A.; Leung, H.W.; Aylward, L.L.; Pyatt, D.W. Biomonitoring equivalents: A screening approach for interpreting biomonitoring results from a public health risk perspective. Regul. Toxicol. Pharmacol. 2007, 47, 96–109. [Google Scholar] [CrossRef] [PubMed]
- Aylward, L.L.; Kirman, C.R.; Adgate, J.L.; McKenzie, L.M.; Hays, S.M. Interpreting variability in population biomonitoring data: Role of elimination kinetics. J. Expo. Sci. Environ. Epidemiol. 2012, 22, 398–408. [Google Scholar] [CrossRef]
- Leng, G.; Kühn, K.H.; Idel, H. Biological monitoring of pyrethroids in blood and pyrethroid metabolites in urine: Applications and limitations. Sci. Total Environ. 1997, 199, 173–181. [Google Scholar] [CrossRef] [PubMed]
- Woollen, B.H.; Marsh, J.R.; Laird, W.J.D.; Lesser, J.E. The metabolism of cypermethrin in man: Differences in urinary metabolite profiles following oral and dermal administration. Xenobiotica 1992, 22, 983–991. [Google Scholar] [CrossRef]
- Aylward, L.L.; Irwin, K.; St-Amand, A.; Nong, A.; Hays, S.M. Screening-level Biomonitoring Equivalents for tiered interpretation of urinary 3-phenoxybenzoic acid (3-PBA) in a risk assessment context. Regul. Toxicol. Pharmacol. 2018, 92, 29–38. [Google Scholar] [CrossRef]
- Scher, D.P.; Alexander, B.H.; Adgate, J.L.; Eberly, L.E.; Mandel, J.S.; Acquavella, J.F.; Bartels, M.J.; Brzak, K.A. Agreement of pesticide biomarkers between morning void and 24-h urine samples from farmers and their children. J. Expo. Sci. Environ. Epidemiol. 2007, 17, 350–357. [Google Scholar] [CrossRef]
- Song, G.; Moreau, M.; Efremenko, A.; Lake, B.G.; Wu, H.; Bruckner, J.V.; White, C.A.; Osimitz, T.G.; Creek, M.R.; Hinderliter, P.M.; et al. Evaluation of age-related pyrethroid pharmacokinetic differences in rats: Physiologically-based pharmacokinetic model development using in vitro data and in vitro to in vivo extrapolation. Toxicol. Sci. 2019, 169, 365–379. [Google Scholar] [CrossRef]
- Mallick, P.; Moreau, M.; Song, G.; Efremenko, A.Y.; Pendse, S.N.; Creek, M.R.; Osimitz, T.G.; Hines, R.N.; Hinderliter, P.; Clewell, H.J.; et al. Development and application of a life-stage physiologically based pharmacokinetic (PBPK) model to the assessment of internal dose of pyrethroids in humans. Toxicol. Sci. 2020, 173, 86–99. [Google Scholar] [CrossRef]
- Mallick, P.; Song, G.; Efremenko, A.Y.; Pendse, S.N.; Creek, M.R.; Osimitz, T.G.; Hines, R.N.; Hinderliter, P.; Clewell, H.J.; Lake, B.G.; et al. Physiologically Based Pharmacokinetic Modeling in Risk Assessment: Case Study With Pyrethroids. Toxicol. Sci. 2020, 176, 460–469. [Google Scholar] [CrossRef] [PubMed]
- Mirfazaelian, A.; Kim, K.B.; Anand, S.S.; Kim, H.J.; Tornero-Velez, R.; Bruckner, J.V.; Fisher, J.W. Development of a Physiologically Based Pharmacokinetic Model for Deltamethrin in the Adult Male Sprague-Dawley Rat. Toxicol. Sci. 2006, 93, 432–442. [Google Scholar] [CrossRef] [PubMed]
- Tornero-Velez, R.; Mirfazaelian, A.; Kim, K.B.; Anand, S.S.; Kim, H.J.; Haines, W.T.; Bruckner, J.V.; Fisher, J.W. Evaluation of deltamethrin kinetics and dosimetry in the maturing rat using a PBPK model. Toxicol. Appl. Pharmacol. 2010, 244, 208–217. [Google Scholar] [CrossRef] [PubMed]
- Beaudouin, R.; Micallef, S.; Brochot, C. A stochastic whole-body physiologically based pharmacokinetic model to assess the impact of inter-individual variability on tissue dosimetry over the human lifespan. Regul. Toxicol. Pharmacol. 2010, 57, 103–116. [Google Scholar] [CrossRef] [PubMed]
- Leng, G.; Leng, A.; Kühn, K.H.; Lewalter, J. Human dose-excretion studies with the pyrethroid insecticide cyfluthrin: Urinary metabolite profile following inhalation. Xenobiotica 1997, 27, 1273–1283. [Google Scholar] [CrossRef]
- Ratelle, M.; Côté, J.; Bouchard, M. Toxicokinetics of permethrin biomarkers of exposure in orally exposed volunteers. Toxicol. Lett. 2015, 232, 369–375. [Google Scholar] [CrossRef]
- Ratelle, M.; Coté, J.; Bouchard, M. Time profiles and toxicokinetic parameters of key biomarkers of exposure to cypermethrin in orally exposed volunteers compared with previously available kinetic data following permethrin exposure. J. Appl. Toxicol. 2015, 35, 1586–1593. [Google Scholar] [CrossRef]
- Dionisio, K.L.; Phillips, K.; Price, P.S.; Grulke, C.M.; Williams, A.; Biryol, D.; Hong, T.; Isaacs, K.K. The Chemical and Products Database, a resource for exposure-relevant data on chemicals in consumer products. Sci. Data 2018, 5, 180125. [Google Scholar] [CrossRef]
- Wambaugh, J.F.; Rager, J.E. Exposure forecasting–ExpoCast–for data-poor chemicals in commerce and the environment. J. Expo. Sci. Environ. Epidemiol. 2022, 32, 783–793. [Google Scholar] [CrossRef]
- Faure, S.; Noisel, N.; Werry, K.; Karthikeyan, S.; Aylward, L.L.; St-Amand, A. Evaluation of human biomonitoring data in a health risk based context: An updated analysis of population level data from the Canadian Health Measures Survey. Int. J. Hyg. Environ. Health 2020, 223, 267–280. [Google Scholar] [CrossRef]
- Wolansky, M.J.; Gennings, C.; Crofton, K.M. Relative Potencies for Acute Effects of Pyrethroids on Motor Function in Rats. Toxicol. Sci. 2006, 89, 271–277. [Google Scholar] [CrossRef] [PubMed]
- U.S. EPA. DER for M.J. Wolansky, C. Gennings, K.M. Crofton (2006) “Relative Potencies for AcuteEffects of Pyrethroids on Motor Function in Rats”. Office of Research andDevelopment, US EPA, Research Triangle Park, NC, MRID 47885701.Toxicological Sciences 89(1):271–277. 2018. Available online: https://www.regulations.gov/document/EPA-HQ-OPP-2008-0331-0064 (accessed on 3 March 2023).
- Shao, K.; Shapiro, A.J. A Web-Based System for Bayesian Benchmark Dose Estimation. Environ. Health Perspect. 2018, 126, 017002. [Google Scholar] [CrossRef] [PubMed]
- Beauvais, S.L.; Silva, M.H.; Powell, S. Human health risk assessment of endosulfan. Part III: Occupational handler exposure and risk. Regul. Toxicol. Pharmacol. 2010, 56, 28–37. [Google Scholar] [CrossRef] [PubMed]
- Bessems, J.G.M.; Paini, A.; Gajewska, M.; Worth, A. The margin of internal exposure (MOIE) concept for dermal risk assessment based on oral toxicity data – A case study with caffeine. Toxicology 2017, 392, 119–129. [Google Scholar] [CrossRef]
- Scollon, E.J.; Starr, J.M.; Crofton, K.M.; Wolansky, M.J.; DeVito, M.J.; Hughes, M.F. Correlation of tissue concentrations of the pyrethroid bifenthrin with neurotoxicity in the rat. Toxicology 2011, 290, 1–6. [Google Scholar] [CrossRef]
- Bois, F.Y. GNU MCSim: Bayesian statistical inference for SBML-coded systems biology models. Bioinformatics 2009, 25, 1453–1454. [Google Scholar] [CrossRef]
- Gelman, A.; Rubin, D.B. Inference from iterative simulation using multiple sequences. Stat. Sci. 1992, 7, 457–472. [Google Scholar] [CrossRef]
- Stanfield, Z.; Setzer, R.W.; Hull, V.; Sayre, R.R.; Isaacs, K.K.; Wambaugh, J.F. Characterizing Chemical Exposure Trends from NHANES Urinary Biomonitoring Data. Environ. Health Perspect. 2024, 132, 017009. [Google Scholar] [CrossRef]
- Wu, C.; Feng, C.; Qi, X.; Wang, G.; Zheng, M.; Chang, X.; Zhou, Z. Urinary metabolite levels of pyrethroid insecticides in infants living in an agricultural area of the Province of Jiangsu in China. Chemosphere 2013, 90, 2705–2713. [Google Scholar] [CrossRef]
- U.S. EPA. Deltamethrin. Draft Human Health Risk Assessment for Registration Review. 2017. Available online: https://www.regulations.gov/document/EPA-HQ-OPP-2009-0637-0036 (accessed on 3 March 2023).
- Desai, S.; Wilson, J.; Ji, C.; Sautner, J.; Prussia, A.J.; Demchuk, E.; Mumtaz, M.M.; Ruiz, P. The role of simulation science in public health at the agency for toxic substances and disease registry: An overview and analysis of the last decade. Toxics 2024, 12, 811. [Google Scholar] [CrossRef]
- Kissel, J.C.; Curl, C.L.; Kedan, G.; Lu, C.; Griffith, W.; Barr, D.B.; Needham, L.L.; Fenske, R.A. Comparison of organophosphorus pesticide metabolite levels in single and multiple daily urine samples collected from preschool children in Washington State. J. Expo. Sci. Environ. Epidemiol. 2005, 15, 164–171. [Google Scholar] [CrossRef] [PubMed]
- U.S. EPA. Cyfluthrin and Beta-Cyfluthrin. Draft Human Health Risk Assessment for Registration Review. 2017. Available online: https://www.regulations.gov/document/EPA-HQ-OPP-2010-0684-0102 (accessed on 3 March 2023).
- U.S. EPA. Permethrin Human Health Draft Risk Assessment in Support of Registration Review. 2017. Available online: https://www.regulations.gov/document/EPA-HQ-OPP-2011-0039-0088 (accessed on 3 March 2023).
- U.S. EPA. Pyrethrins/Pyrethroid Cumulative Risk Assessment. 2011. Available online: https://www.regulations.gov/document/EPA-HQ-OPP-2011-0746-0003 (accessed on 3 March 2023).
- U.S. EPA. Cypermethrin, Zeta-Cypermethrin, and Alpha-Cypermethrin. Draft Human Health Risk Assessment for Registration Review. 2018. Available online: https://www.regulations.gov/document/EPA-HQ-OPP-2012-0167-0116 (accessed on 3 March 2023).
- Wolansky, M.J.; Gennings, C.; DeVito, M.J.; Crofton, K.M. Evidence for dose-additive effects of pyrethroids on motor activity in rats. Environ. Health Perspect. 2009, 117, 1563–1570. [Google Scholar] [CrossRef] [PubMed]
- Arnot, J.A.; Toose, L.; Armitage, J.M.; Sangion, A.; Looky, A.; Brown, T.N.; Li, L.; Becker, R.A. Developing an internal threshold of toxicological concern (iTTC). J. Expo. Sci. Environ. Epidemiol. 2022, 32, 877–884. [Google Scholar] [CrossRef]
- Chiu, W.A.; Rusyn, I. Advancing chemical risk assessment decision-making with population variability data: Challenges and opportunities. Mamm. Genome 2018, 29, 182–189. [Google Scholar] [CrossRef] [PubMed]
- Thépaut, E.; Bisson, M.; Brochot, C.; Personne, S.; Appenzeller, B.M.R.; Zaros, C.; Chardon, K.; Zeman, F. PBPK modeling to support risk assessment of pyrethroid exposure in French pregnant women. Environ. Res. 2024, 251, 118606. [Google Scholar] [CrossRef]
- Sam, C.; Jones, K. Biological monitoring for exposure to deltamethrin: A human oral dosing study and background levels in the UK general population. Toxicol. Lett. 2012, 213, 35–38. [Google Scholar]








Disclaimer/Publisher’s Note: The statements, opinions and data contained in all publications are solely those of the individual author(s) and contributor(s) and not of MDPI and/or the editor(s). MDPI and/or the editor(s) disclaim responsibility for any injury to people or property resulting from any ideas, methods, instructions or products referred to in the content. |
© 2025 by the authors. Licensee MDPI, Basel, Switzerland. This article is an open access article distributed under the terms and conditions of the Creative Commons Attribution (CC BY) license (https://creativecommons.org/licenses/by/4.0/).
Share and Cite
Hsieh, N.-H.; Kwok, E.S.C. Biomonitoring-Based Risk Assessment of Pyrethroid Exposure in the U.S. Population: Application of High-Throughput and Physiologically Based Kinetic Models. Toxics 2025, 13, 216. https://doi.org/10.3390/toxics13030216
Hsieh N-H, Kwok ESC. Biomonitoring-Based Risk Assessment of Pyrethroid Exposure in the U.S. Population: Application of High-Throughput and Physiologically Based Kinetic Models. Toxics. 2025; 13(3):216. https://doi.org/10.3390/toxics13030216
Chicago/Turabian StyleHsieh, Nan-Hung, and Eric S. C. Kwok. 2025. "Biomonitoring-Based Risk Assessment of Pyrethroid Exposure in the U.S. Population: Application of High-Throughput and Physiologically Based Kinetic Models" Toxics 13, no. 3: 216. https://doi.org/10.3390/toxics13030216
APA StyleHsieh, N.-H., & Kwok, E. S. C. (2025). Biomonitoring-Based Risk Assessment of Pyrethroid Exposure in the U.S. Population: Application of High-Throughput and Physiologically Based Kinetic Models. Toxics, 13(3), 216. https://doi.org/10.3390/toxics13030216

